Водопроводная вода сокращает продолжительность жизни мышей при длительном фракционированном γ-облучении
- Авторы: Никитенко О.В.1,2, Бычкова Т.М.1,2, Утина Д.М.3, Гаевский В.Н.3, Ушаков И.Б.2, Иванов А.А.1,2,3
-
Учреждения:
- Государственный научный центр РФ — Институт медико-биологических проблем Российской академии наук
- Государственный научный центр РФ — Федеральный медицинский биофизический центр им. А.И. Бурназяна ФМБА России
- Объединенный институт ядерных исследований
- Выпуск: Том 64, № 2 (2024)
- Страницы: 195-203
- Раздел: Модификация радиационных эффектов
- URL: https://journals.rcsi.science/0869-8031/article/view/267014
- DOI: https://doi.org/10.31857/S0869803124020083
- EDN: https://elibrary.ru/NAUHFA
- ID: 267014
Цитировать
Полный текст
Аннотация
Оценка роли социально-бытовых факторов в формировании радиорезистентности при хроническом облучении и изыскание способов ее повышения являются важными для понимания механизмов повреждающего действия радиации и разработки практических методов снижения радиационного риска у профессионалов, контактирующих с ионизирующим излучением и пациентов, подвергающихся лучевой терапии. В данной работе исследовали способность повлиять на продолжительность жизни животных, подвергшихся воздействию γ-излучения фракционно в течение длительного времени, путем замены питьевой воды с водопроводной на дистиллированную. Самки мышей ICR (CD-1) были подвержены воздействию тотального γ-излучения 60Со еженедельно фракционно в течение 33 нед, начиная с возраста 9 нед. Доза однократного облучения составила 50 мГр, средняя мощность дозы 2 мГр/с. Суммарная доза облучения составила 1.65 Гр. Контрольные необлученные мыши и облученные животные были разделены на две группы. Первая получала водопроводную воду, а вторая — дистиллированную в течение всего эксперимента. У необлученных животных, содержавшихся на водопроводной воде, отмечено статистически незначимое (p = 0.483, log-rank test) сокращение средней продолжительности жизни по сравнению с мышами, содержавшимися на дистиллированной воде. У животных после воздействия γ-излучения 60Со отмечено статистически значимое (р = 0.0013) снижение продолжительности жизни при содержании на водопроводной воде и статистически незначимое (р = 0.1511) при содержании на дистиллированной воде. Водопроводная вода и облучение проявили отчетливый синергизм при комбинированном воздействии на организм мышей, выразившийся в более чем трехкратном уменьшении срока пострадиационного укорочения продолжительности жизни. Дистиллированная вода снизила скорость гибели облученных животных и модифицировала скорость гибели необлученных животных. Наши данные демонстрируют тот факт, что сокращение продолжительности жизни мышей, содержавшихся на водопроводной воде, вызванное длительным фракционированным облучением, может быть снижено при содержании животных на дистиллированной воде.
Полный текст
Расчеты риска, обусловленного ионизирующим излучением, базируются на эпидемиологическом изучении населения, выжившего после атомных бомбардировок в Хиросиме и Нагасаки [1, 2], персонала предприятий атомной промышленности [3], населения, проживающего в зоне их влияния [4], и в меньшей степени — лиц, подвергшихся лучевой терапии. Несмотря на высокую ценность данных радиационной эпидемиологии, они бывают сложны для обсуждения с точки зрения дозиметрии и социально-экономических и территориальных особенностей различных исследованных групп.
В этой связи эксперименты на животных, проводимые при дозиметрическом контроле различных условий облучения, а также условий содержания животных, являются важной научной поддержкой для обоснования допустимых радиационных рисков [5–7].
Начиная с 1960-х годов в Институте медико-биологических проблем РАН были проведены систематические исследования, в том числе хронический эксперимент на собаках [8], по оценке радиационных рисков для космонавтов в ходе длительных космических полетов. В экспериментах, проводимых в ИМБП РАН и за рубежом, в качестве средств снижения повреждающих эффектов радиации помимо фармакологических препаратов, использовали различные водные режимы, в том числе воду с пониженным содержанием дейтерия [9, 10]. Дискуссия вокруг возможности токсических и канцерогенных эффектов водопроводной воды, содержащей остаточный хлор и хлорорганические соединения [11, 12], подтолкнула нас к необходимости исследования комбинированного воздействия длительного фракционированного γ-излучения 60Со и водопроводной воды, что и стало целью нашей работы. Подобного подхода к проблеме в доступной литературе мы не встретили. Анализ продолжительности жизни экспериментальных животных проведен в настоящей работе. Другие соматические и поведенческие показатели состояния животных, использованные в этой работе, будут приведены в следующей статье.
МАТЕРИАЛЫ И МЕТОДИКА
Мыши и их содержание
Эксперимент выполнен на 80 самках мышей SPF-категории, аутбредных ICR (CD1), полученных из Питомника лабораторных животных РАН г. Пущино. Животных содержали в конвенциональных условиях в пластиковых клетках (площадь пола 710 см2) по 10 животных. Каждая клетка имела этикетку, на которой были указаны исходное число животных, вид воды, дата начала эксперимента, дата облучения, даты гибели животных. Клетки осматривали ежедневно. Клетки находились в комнате площадью 15 м2, с потолками высотой 3 м, при температуре 23 ± 2˚С, влажности 60 ± 10٪, естественном освещении и атмосферном давлении, с принудительной вентиляцией. Мыши получали стандартный гранулированный корм фирмы “Чара” для SPF-грызунов (ad libitum). В качестве подстилки использовали стружку лиственных пород деревьев. Половина животных получали водопроводную воду, соответствующую ГОСТу [СанПиН 2.1.4.1074-01] из муниципального водопровода г. Дубна Московской области, а вторая — свежеприготовленную дистиллированную воду без дополнительной очистки, с электропроводностью менее 5 мСм/м. Измерение объема выпитой воды и замену бутылок проводили еженедельно.
Обслуживающий персонал использовал защитную одежду: халаты, маски, перчатки, шапочки и сменную обувь.
Возраст мышей при поступлении был 4 нед. После наблюдения в течение 5 нед и контроля роста массы мышей было начато радиационное воздействие. Средняя исходная масса тела мышей в четырех группах, рандомизированных по массе животных, составила 26.5 г.
Экспериментальные группы по 20 мышей
Группа № 1 — мыши получали водопроводную воду и были облучены.
Группа № 2 — мыши получали водопроводную воду и не были облучены (ложнооблученный, транспортный контроль).
Группа № 3 — мыши получали дистиллированную воду и были облучены.
Группа № 4 — мыши получали дистиллированную воду и не были облучены (ложнооблученный, транспортный контроль).
Облучение
Животных подвергали воздействию γ-квантов от источника, содержащего 60Со, на медицинской установке “Рокус М”. Тотальное, одностороннее в дорсовентральном направлении облучение проводили в пластиковом радиационно-проницаемом контейнере, ограничивающем вертикальное перемещение животных, одновременно по 10 мышей. Дозиметрию осуществляли с помощью дозиметра PTW UNIDOS-E с ионизационной камерой TM30013-03378. Облучение животных групп № 1 и 3 было начато при возрасте мышей 9 нед и проводилось 1 раз в неделю в дозе 50 мГр при средней мощности дозы 2 мГр/с. Проведено 33 сеанса в суммарной дозе 1.65 Гр.
Эксперименты проводились в соответствии с “Правилами проведения работ с использованием экспериментальных животных” (приказ Министерства здравоохранения СССР № 755 от 12.08.1977) и “Международными рекомендациями по проведению биомедицинских исследований с использованием животных” Совета международных медицинских научных организаций (CIOMS), Женева, 1985 г. Исследование одобрено на заседании местного Комитета по биоэтике (Протокол № 136 от 2 июня 2004 г.) ФГБУ ГНЦ ФМБЦ им. А.И. Бурназяна ФМБА России).
Статистический анализ
Среднюю продолжительность жизни мышей оценивали по средней арифметической и ошибке средней (М±m) сут, а также по медиане (Ме). Статистическую значимость различий определяли по критерию Стьюдента и U-критерию Манна–Уитни. При анализе динамики выживаемости мышей был использован метод Каплана–Майера [13]. Кривые выживаемости были проанализированы log-rank тестами для средних продолжительностей жизни. Скорость гибели животных в зависимости от возраста определяли по методу Гомпертца [14] для разных возрастных групп, начиная с возраста 290 сут, т.е. после окончания облучения, с временным интервалом 150 сут. Скорость смертности (ωt) рассчитывали по формуле [14]:
где 2h — временной интервал, N(t) — число выживших животных за время t.
Для установления симметричности распределения показателя средней продолжительности жизни нами была использована стандартная формула:
где μ — среднее отклонение индивидуальных значений признака от его среднеарифметической величины (центральный момент третьего порядка), ϭ3 — среднее квадратичное отклонение, возведенное в третью степень.
РЕЗУЛЬТАТЫ
Данные, характеризующие выживаемость мышей, подверженных воздействию γ-излучения 60Со фракционно в суммарной дозе 1.65 Гр, и необлученных мышей представлены на рис. 1 и табл. 1. В табл. 1 показана средняя продолжительность жизни этих мышей (М). Необлученные мыши, содержавшиеся на водопроводной воде, прожили в среднем 798.3 сут, а на дистиллированной – 814.9 сут. Разница составила 16.6 сут, однако эти различия не были статистически значимыми (р = 0.483, log-rank test). Длительное фракционное воздействие γ-излучения 60Со статистически значимо снизило среднюю продолжительность жизни мышей, содержавшихся на водопроводной воде, на 162.6 сут, с 798.3 сут до 635.7 (р = 0.0013). Средняя продолжительность жизни облученных мышей, содержавшихся на дистиллированной воде, составила 765.3 сут, а контрольных необлученных 814,9 сут. Разница составила 49.6 сут. Однако это различие оказалось статистически незначимым, ни по одному из использованных критериев (р = 0.15 log-rank test), в силу малого числа животных в экспериментальных группах. Средние продолжительности жизни облученных мышей, содержавшихся на водопроводной и дистиллированной воде, составили 635.7 и 765.3 сут соответственно. Содержание облученных мышей на дистиллированной воде статистически значимо повысило их продолжительность жизни на 129.6 сут (р = 0.01, log-rank test) по сравнению с водопроводной водой, что указывает на способность дистиллированной воды снижать способность длительного фракционированного воздействие γ-излучения 60Со укорачивать продолжительность жизни.
На рис. 1, А виден отчетливый левый сдвиг кривой выживания облученных мышей, содержавшихся на водопроводной воде, по отношению к необлученным животным. На рис. 1, Г наблюдается отчетливый левый сдвиг кривой выживания облученных мышей, содержавшихся на ВВ, по отношению к облученным мышам, содержавшимися на ДВ. На рис. 1, Б левый сдвиг кривой выживания облученных мышей, содержавшихся на ДВ, по отношению к необлученным мышам, содержавшимся на ДВ, наблюдается лишь в период 900–1000 суток жизни. Минимальные различия, небольшой левый сдвиг, наблюдается кривой выживания необлученных мышей, содержавшихся на ВВ (рис. 1, В), по отношению к кривой выживания необлученных мышей, содержавшихся на ДВ в возрасте после 900 сут.
Рис. 1. Кумулятивная выживаемость мышей ICR (CD-1) по Каплану–Майеру облученных фракционно в суммарной дозе 1.65 Гр и необлученных: А — облученные (2) и необлученные (1), содержавшиеся на водопроводной воде; Б — облученные (4) и необлученные (3), содержавшиеся на дистиллированной воде; В — необлученные, содержавшиеся на водопроводной (1) и дистиллированной (3) воде; Г — облученные, содержавшиеся на водопроводной (2) и дистиллированной (4) воде.
Fig. 1. Cumulative survival of ICR mice (CD-1) according to Kaplan–Meier fractionally irradiated in a total dose of 1.65 Gy and unirradiated: A — irradiated (2) and non-irradiated (1), kept on tap water; B — irradiated (4) and non-irradiated (3), kept on distilled water; С — non-irradiated, kept on tap (1) and distilled (3) water; D — irradiated, kept on tap (2) and distilled (4) water.
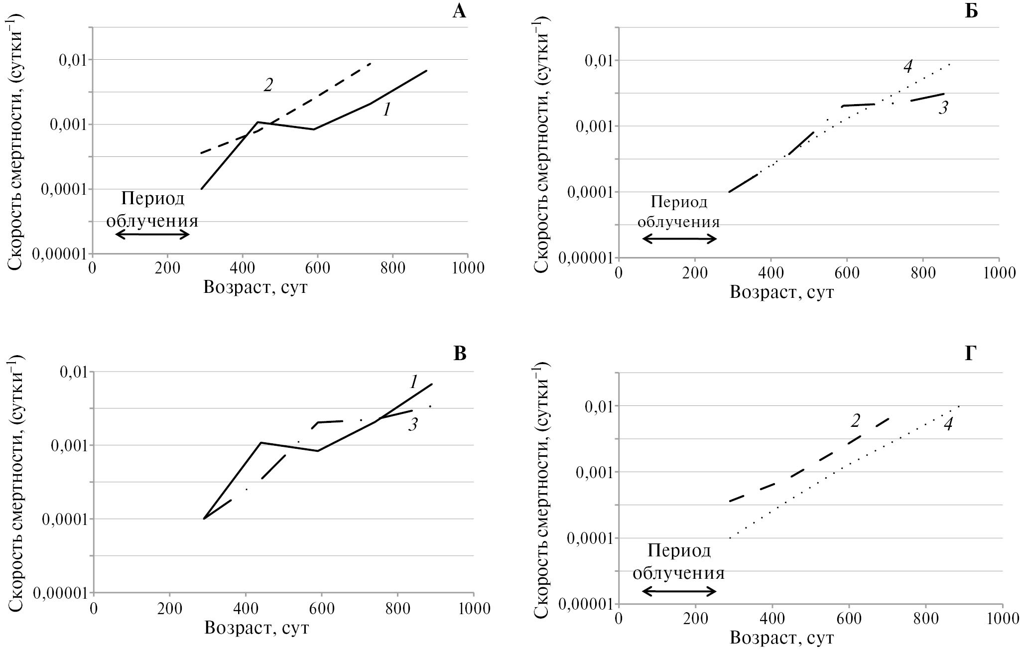
Скорости смертности мышей в различные возрастные периоды характеризуют кривые Гомпертца (рис. 2), построенные для всех групп мышей.
Рис. 2. Скорость смертности самок мышей ICR (CD-1), облученных фракционно в суммарной дозе 1.65 Гр и необлученных (графики Гомпертца): А — облученные (2) и необлученные (1), содержавшиеся на водопроводной воде; Б — облученные (4) и необлученные (3), содержавшиеся на дистиллированной воде; В — необлученные, содержавшиеся на водопроводной (1) и дистиллированной (3) воде; Г — облученные, содержавшиеся на водопроводной (2) и дистиллированной (4) воде.
Fig. 2. Death rate of female ICR (CD-1) mice fractionally irradiated at a total dose of 1,65 Gy and not irradiated (Gompertz plots): A — irradiated (2) and non-irradiated (1), kept on tap water; B — irradiated (4) and non-irradiated (3), kept on distilled water; B — non-irradiated, kept on tap (1) and distilled (3) water; D — irradiated, kept on tap (2) and distilled (4) water.
Логарифм скорости смертности мышей является функцией их возраста. Во всех группах мышей отмечается прогрессивное повышение скорости смертности при увеличении возраста, однако в различных группах имеются особенности уровня скорости смертности на отдельных участках кривых Гомпертца. Зависимость скорости смертности у облученных мышей, содержавшихся как на ВВ, так и на ДВ носили прямолинейный характер, при этом во всех возрастных интервалах скорость смертности в группе мышей, содержавшихся на ВВ превысила показатель у животных, содержавшихся на ДВ (рис. 2, Г). У необлученных животных имело место кратковременное увеличение скорости смертности — более раннее на 400 сут у мышей, потреблявших ВВ, и несколько смещенное в область 600 сут у животных, получавших ДВ (рис. 2, А, 2, Б).
При сопоставлении (табл. 1) результатов оценки СПЖ по средней арифметической (М) и медиане (Ме) выявлено существенное различие: Ме в 1–3-ей группах оказалась выше, чем М. Это различие подтвердил расчет коэффициента асимметрии (Аs) распределений по СПЖ во всех группах. Установлено наличие отрицательной асимметрии, указывающее на тот факт, что экспериментальные данные находятся слева от медианы. Наиболее сильное отклонение наблюдается в группах облученных животных. В контрольных группах прослеживается стремление к симметрии. Однако в группе ВВ асимметрия близка к умеренной, а в группе ДВ отмечается минимальная асимметрия.
Таблица 1. Показатели выживаемости мышей, самок ICR (CD-1), содержавшихся на водопроводной (ВВ) и дистиллированной (ДВ) воде в ходе и после еженедельного фракционированного воздействия γ-излучения 60Co (50 мГр × 33 фракции) в возрастной период 60–290 сут
Table 1. Survival rates of mice, females, ICR (CD-1), kept on tap (TW) and distilled (DW) water during and after weekly fractionated exposure to 60Co γ-radiation (50 mGy × 33 fractions) at the age of 60–290 days
Группы мышей | Показатели | ||
СПЖ, (М ± m) сут | СПЖ, Ме | коэффициент ассиметрии, Аs | |
Облученные. содержавшиеся на ВВ | 635.7 ± 44.1 | 692.5 | –1.2 |
Необлученные. содержавшиеся на ВВ | 798.3 ± 43.8* | 841.5 | –0.6 |
Облученные. содержавшиеся на ДВ | 765.3 ± 45.2* | 797.5 | –1.7 |
Необлученные. содержавшиеся на ДВ | 814.9 ± 44.4* | 811.5 | –0.1 |
Примечания. СПЖ — средняя продолжительность жизни; * статистически значимые различия по сравнению с группой № 1 (t-критерий Стьюдента p ≤ 0.05. U-критерий Манна–Уитни p ≤ 0.01 и log-rank test p ≤ 0.05). | |||
ОБСУЖДЕНИЕ
Средняя продолжительность жизни необлученных мышей, самок, аутбредных ICR (CD-1), содержавшихся в конвенциональных условиях 814.9 сут (табл. 1) оказалась сопоставима с показателем у самок В6С3F1 мышей, содержавшихся в SPF-условиях [15] 860.5 сут. Эти данные указывают на относительное эпидемическое благополучие в нашем виварии и на возможность сопоставления полученных результатов с литературными данными. Принципиальным отличием от условий содержания животных в указанной публикации [16] является использование нами в качестве питьевой воды дистиллированной воды, не содержащей хлора и его органических производных, а также других потенциально токсичных веществ. Тогда как в экспериментах [16] животные получали водопроводную воду, а в работах [15, 17] питьевая вода была специально хлорирована, 10 ppm.
Выбранная нами схема радиационного воздействия на мышей не была случайной. Эта доза в определенной мере имитировала дозу, допустимую для космонавтов за весь период трудовой деятельности — 1 Гр [18], с поправкой для мышей, как более радиорезистентного вида млекопитающих [19].
Воздействие γ-излучения 60Со было начато после достижения половозрелости и продолжалось на протяжении длительного периода (230 сут), имитирующего период трудовой деятельности человека с напряженными условиями труда и высокими радиационными нагрузками. По основному радиобиологическому эффекту хронического радиационного воздействия (сокращению продолжительности жизни) избранная нами схема хорошо согласовалась с эффектом более длительного радиационного воздействия (400 сут) с меньшей мощностью дозы γ-излучения в существенно большей суммарной дозе 8.0 Гр [17]. Сокращение средней продолжительности жизни облученных мышей в наших экспериментах при использовании в качестве питьевой воды из водопровода составило 162.6 сут, а в цитированной [17] работе, выполненной на самках мышей B6C3F1 содержавшихся в SPF условиях, 119.6 и 176 сут при разных суммарных дозах хронического облучения [15]. В наших экспериментах с дистиллированной водой этот эффект снизился более чем в 3 раза. Разница между средней продолжительностью жизни облученных и необлученных мышей, содержавшихся на дистиллированной воде, составила только 49.6 сут. Динамика выживаемости (рис. 1) и скорость гибели облученных мышей (рис. 2) в сравниваемых группах животных, содержавшихся на водопроводной и дистиллированной воде были однотипны по конфигурации, но по обоим показателям группа животных, содержавшихся на водопроводной воде, превосходила группу, потреблявшую ДВ.
Таким образом, совершенно очевидно, что содержание облученных мышей на водопроводной воде приводит к сокращению их продолжительности жизни и увеличивает скорость их гибели по сравнению с облученными в той же дозе и по той же схеме мышами, содержавшимися на дистиллированной воде.
В чем причина полученных различий?
По нашим данным, содержание необлученных животных на водопроводной воде статистически незначимо сокращает их среднюю продолжительность жизни, но увеличивает их скорость смертности (табл. 1, рис. 2) в ранний период после радиационного воздействия, увеличивает коэффициент асимметрии индивидуальных значений средней продолжительности жизни (табл. 1) по сравнению с необлученными животными, содержащимися на дистиллированной воде. Все это указывает на определенные изменения в организме мышей, потреблявших водопроводную воду. Остается необоснованной причина этих проявлений. Это могут быть токсичные вещества, содержащиеся в водопроводной воде на уровне, не превышающем предельно допустимую концентрацию, или изменение метаболизма в организме мышей, получавших деминерализованную воду.
Первое предположение нам представляется наиболее вероятным. Известно мутагенное и генотоксическое действие хлорированной воды [20]. В эксперименте с хроническим облучением мышей, содержавшихся на воде с добавлением минимального количества хлора — 10 ppm — [21] основной причиной ранней смертности были злокачественные лимфомы. Значение хлора в питьевой воде в развитии рака мочевого пузыря отмечено у человека [22]. Гипохлорит натрия, используемый для дезинфекции водопроводной воды, обладает отчетливой мутагенностью как для микроорганизмов — Salmonella typhimurium, так и в культуре клеток — фибробласты китайского хомячка [23]. Второе предположение менее вероятно. В соответствии с рекомендациями ВОЗ [24], дистиллированная вода сама по себе пригодна для питья при условии обеспечения минералами за счет, в частности, продуктов питания. Использованный в экспериментах корм для грызунов является полноценным по содержанию минералов. Однако полностью исключить этот фактор на данном этапе нельзя.
Радиационное воздействие γ-излучения 60Со в дозе 1.65 Гр мышей, содержавшихся на дистиллированной воде, обусловило статистически незначимое небольшое снижение их продолжительности жизни (49,6 сут) по сравнению с необлученными животными, получавшими дистиллированную воду. Снижение продолжительности жизни необлученных мышей, содержавшихся на водопроводной воде, также оказалось статистически незначимым по отношению к величине этого показателя у мышей, получивших дистиллированную воду — снижение на 16.6 сут. Комбинированное воздействие этих факторов — облучение и содержание на водопроводной воде — обусловило выраженное — на 179.2 сут – статистически значимое снижение продолжительности жизни. В данном случае имеет место потенцирование (синергизм) эффекта радиационного воздействия и содержания на водопроводной воде.
Данные, приведенные в этой статье, не позволяют детально обсуждать возможные молекулярные механизмы выявленного эффекта. Тем не менее, исходя из общепринятой концепции о важной роли радиационно-индуцированных радикалов в механизме повреждающего действия ионизирующей радиации, можно предположить, что при потреблении водопроводной воды в организм поступают продукты, в том числе хлор и его производные с выраженными оксидантными свойствами, которые способны потенцировать эффект хронического радиационного воздействия. Известно [17], что N-Acetyl-L-cysteine (NAC), обладающий выраженными антиоксидантными свойствами при хроническом поступлении с питьевой водой в организм мышей в период длительного, в течение 400 сут, γ-облучения в суммарной дозе 8 Гр, обеспечивает статистически значимое на 59 сут увеличение средней продолжительности жизни. Нельзя исключить в данном случае способность NAC инактивировать оксидативные свойства хлорированной питьевой воды, еще до ее поступления в организм мышей.
Учет качества питьевой воды, по нашему мнению, необходим как в радиобиологических экспериментах, так и в радиационно-эпидемиологических исследованиях.
ЗАКЛЮЧЕНИЕ
Увеличение средней продолжительности жизни мышей после длительного фракционированного воздействия γ-излучения 60Со достигается использованием в качестве питьевой дистиллированной воды взамен водопроводной. При этом более чем трехкратное уменьшение срока пострадиационного сокращения продолжительности жизни, а также снижение скорости гибели облученных животных. Соматические эффекты и уровень поведенческих показателей у мышей в проведенных экспериментах будут представлены в следующей статье.
БЛАГОДАРНОСТИ
Мы благодарим за техническую помощь сотрудников лаборатории радиационной биологии ОИЯИ Ю.С. Северюхина, К.Н. Ляхову, И.А. Колесникову, а также старшего научного сотрудника ФМБЦ им. А.И. Бурназяна ФМБА России канд. физ.-мат. наук Е.А. Анненкову за помощь при статистической обработке данных.
Работа выполнена в рамках базовой темы НИР РАН № 65.2 и НИР “Технология-3” (номер регистрации НИР в системе ЕГИСУ НИОКТР: 1230113001053).
Авторы декларируют отсутствие явных и потенциальных конфликтов интересов, связанных с публикацией статьи.
Об авторах
Ольга Васильевна Никитенко
Государственный научный центр РФ — Институт медико-биологических проблем Российской академии наук; Государственный научный центр РФ — Федеральный медицинский биофизический центр им. А.И. Бурназяна ФМБА России
Автор, ответственный за переписку.
Email: dorozhkina88@mail.ru
ORCID iD: 0000-0001-9011-4500
Россия, Москва; Москва
Таисия Михайловна Бычкова
Государственный научный центр РФ — Институт медико-биологических проблем Российской академии наук; Государственный научный центр РФ — Федеральный медицинский биофизический центр им. А.И. Бурназяна ФМБА России
Email: taisiabichkova@mail.ru
ORCID iD: 0000-0003-2678-6964
Россия, Москва; Москва
Дина Михайловна Утина
Объединенный институт ядерных исследований
Email: din-din-86@mail.ru
Россия, Дубна
Виктор Николаевич Гаевский
Объединенный институт ядерных исследований
Email: gaevskij2011@yandex.ru
Россия, Дубна
Игорь Борисович Ушаков
Государственный научный центр РФ — Федеральный медицинский биофизический центр им. А.И. Бурназяна ФМБА России
Email: iushakov@fmbcfmba.ru
ORCID iD: 0000-0002-0270-8622
Россия, Москва
Александр Александрович Иванов
Государственный научный центр РФ — Институт медико-биологических проблем Российской академии наук; Государственный научный центр РФ — Федеральный медицинский биофизический центр им. А.И. Бурназяна ФМБА России; Объединенный институт ядерных исследований
Email: a1931192@mail.ru
ORCID iD: 0000-0001-8403-8636
Россия, Москва; Москва; Дубна
Список литературы
- Pierce D.A., Shimizu Y., Preston D.L. et al. Studies of the mortality of atomic bomb survivors. Report 12, part 1. Cancer: 1950–1990. J. Radiat. Res. 1996; 146, 1–27. PMID: 8677290.
- Katayama H., Matsuura M., Endo S. et al. Reassessment of the cancer mortality risk among Hiroshima atomic-bomb survivors using a new dosimetry system, ABS2000D, compared with ABS93D. J. Radiat. Res. 2002; 43, 53–64. https://doi.org/10.1269/jrr.43.53. PMID: 12056330
- Cardis E., Gilbert E.S., Carpenter L. et al. Effects of low doses and low dose rates of external ionizing radiation: cancer mortality among nuclear industry workers in three countries. J. Radiat. Res. 1995; 142 (2): 117–32. PMID: 7724726.
- Аклеев А.В. Хронический лучевой синдром у жителей прибрежных сел реки Теча. Челябинск: Книга, 2012. 464 с. [Akleyev A.V. Chronic radiation syndrome among residents of the Techa River riverside villages. Chelyabinsk: Kniga, 2012. 464 p. (In Russ.)]
- Mole R. H. Shortening of life by chronic irradiation: The experimental facts. Nature. 1957; 180: 456–460.
- Storer J. B., Mitchell T. J., Fry R. J. M. Extrapolation of the relative risk of radiogenic neoplasms across mouse strains and to man. J. Radiat. Res. 1988; 114: 331–353.
- Fry R. J. M. Effects of low doses of radiation. Health Phys. 1996; 70: 823–827.
- Шафиркин А.В., Григорьев Ю.Г. Межпланетные и орбитальные космические полеты. Радиационный риск для космонавтов (радиобиологическое обоснование). М.: Экономика, 2009. 639 c. [Shafirkin A.V., Grigoryev Y.G. Interplanetary and orbital space flights. The radiation risk to astronauts (Radiobiological basis). M.: Economica, 2009. 639 p. (In Russ.)]
- Иванов А.А., Ушаков И.Б., Куликова Е.И. и др. Легкоизотопная вода — средство лечения острой лучевой болезни. Авиакосм. и экол. медицина. 2013. Т. 47. № 5. С. 40–44. [Ivanov A.A., Ushakov I.B., Kulikova E.I. et al. Light-Isotope Water as a Therapeutic Agent for Acute Radiation Disease. Aerospace and Environmental Medicine. 2013; 47(5):40–44. (In Russ.)].
- Laissue J.A., Altermatt H.J., Bally E., Gebbers J.O. Protection of mice from whole body gamma irradiation by deuteration of drinking water: hematologic findings. Experim. Hematol. 1987; 15(2): 177–180.
- Chlorinated drinking-water; chlorination by-products; some other halogenated compounds; cobalt and cobalt compounds. International Agency for Research on Cancer (IARC) Working Group, Lyon, 12–19 June 1990. IARC Monogr. Eval. Carcinog. Risks Hum. 1991/ Vol. 52. P. 45–399.
- National Toxicology Program. NTP Toxicology and Carcinogenesis Studies of Chlorinated Water (CAS Nos. 7782-50-5 and 7681-52-9) and Chloraminated Water (CAS No. 10599-90-3) (Deionized and Charcoal-Filtered) in F344/N Rats and B6C3F1 Mice (Drinking Water Studies). Natl. Toxicol. Program.Tech. Rep. Ser. 1992. Vol. 392. P. 1–466.
- Kaplan E.L., Meier P. Non-parametric estimation from incomplete observations. J. Am. Stat. Association. 1958; 53(282): 457–481. https://doi.org/10.2307/2281868
- Sacher G.A. On the statistical nature of mortality, with especial reference to chronic radiation mortality. Radiology. 1956; 67(2): 250-258. https://doi.org/10.1148/67.2.250
- Tanaka S., Tanaka I.B. 3rd, Sasagawa S. et al. No lengthening of life span in mice continuously exposed to gamma rays at very low dose rates. J. Radiat. Res. 2003; 160 (3): 376–379. https://doi.org/10.1667/RR3042
- Бычкова Т.М., Никитенко О.В., Утина Д.М., Иванов А.А. Влияние длительного фракционированного γ-облучения на продолжительность жизни мышей. Авиакосм. и экол. медицина. 2022. Т. 56. № 4. С. 77–82. [Bychkova T.M., Nikitenko O.V., Utina D.M., Ivanov А.А. Effect of long-term fractionated γ-irradiation on mice lifespan. Aerospace and Environmental Medicine. 2022; 56 (4):77–82. (In Russ.)]. https://doi.org/10.21687/0233-528X-2022-56-4-77-82
- Yamauchi K., Tsutsumi Y., Ichinohe K. et al. Effects of N-acetylcysteine on life shortening induced by chronic low dose-rate gamma-ray exposure in mice. Int. J. Radiat. Res. 2019;17(1):67–73. https://doi.org/10.18869/acadpub.ijrr.17.1.67
- Санитарные правила и нормы. СанПиН 2.6.1. 44-03-2004. Методические указания МУ 2.6.1. 44-03-2004. Ограничение облучения космонавтов при околоземных космических полетах (ООКОКП-2004). М.: Федеральное управление “Медбиоэкстрем”, 2004. [Sanitary rules and norms. SanPiN 2.6.1. 44-03-2004. Guidelines MU 2.6.1. 44-03-2004. Limit exposure of astronauts in near-earth space flights (OOKOK-2004). Moscow: The Federal office “Medbioekstrem”, 2004. (In Russ.)]
- Alpen E.L. Comparison of hematological responses and radiation recovery in several mammalian species. Effects of ionizing radiation on the hematopoietic tissue proceeding of a panel. Vienna, 1967, P. 103–110.
- Rincón-Bedoya E., Velásquez N., Quijano J., Bravo-Linares C. Mutagenicity and genotoxicity of water treated for human consumption induced by chlorination by-products. J. Environ. Health. 2013;75(6):28–36.
- Tanaka I.B. 3rd, Tanaka S., Ichinohe K. et al. Cause of death and neoplasia in mice continuously exposed to very low dose rates of gamma rays. J. Radiat. Res. 2007;167(4):417–37. https://doi.org/10.1667/RR0728.1
- Cantor K.P., Hoover R., Hartge P. et al. Bladder cancer, drinking water source, and tap water consumption: a case-control study. J. Nat. Cancer Institute. 1987;79(6):1269–79.
- Ishidate M. Jr., Sofuni T., Yoshikawa K. et al. Primary mutagenicity screening of food additives currently used in Japan. Food Chem. Toxicol. 1984;22(8):623–36. https://doi.org/10.1016/0278-6915(84)90271-0
- WHO Library Cataloguing in Publication Data Guidelines for Drinking – water Quality. 4th Ed., WHO 2011; 584 p.
Дополнительные файлы





