The Effect of γ-Irradiation on Mortality and Biomass of the Terrestrial Mollusk F. Fruticum M.
- Authors: Cherkasova E.E.1, Lavrentyeva G.V.1,2, Synzynys B.I.1, Mirzeabasov O.A.1, Pavlov A.N.3
-
Affiliations:
- Obninsk Institute for Nuclear Power Engineering, branch of the National Research Nuclear University MEPhI
- Bauman Moscow State Technical University (Kaluga Branch)
- Russian Institute of Radiology and Agroecology
- Issue: Vol 63, No 3 (2023)
- Pages: 285-299
- Section: General Radiobiology
- URL: https://journals.rcsi.science/0869-8031/article/view/137687
- DOI: https://doi.org/10.31857/S0869803123030049
- EDN: https://elibrary.ru/XYSVSI
- ID: 137687
Cite item
Full Text
Abstract
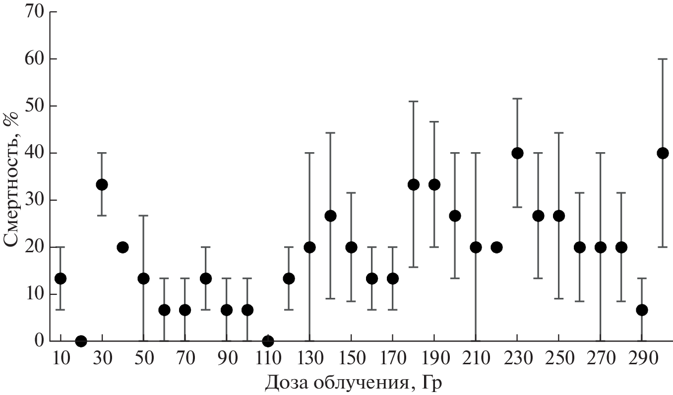
The results of the study of relevant indicators of mortality and biomass after ɣ-irradiation in the dose of 10–300 Gy of the terrestrial mollusk F. fruticum M. are presented. Mollusks of the second age group were selected. The age of the mollusks was determined by the number of revolutions of the shell. The conditions of keeping the mollusk in the laboratory were experimentally selected in such a way that the survival rate in the control group was 100%. The duration of the experiment (210 days) and the range of radiation doses (10–300 Gy) made it possible to establish the LD50/60 index for a terrestrial mollusk of the second age group. It is 115.6 ± ± 33.8 Gy. LD50/60 was determined by the calculated method of probit analysis using the least squares method. Three dose ranges (10–100, 110–170 and 180–300 Gy of changes in the studied relevant indicators were established. For each time range, starting from 60 days after irradiation, a linear threshold dependence with three dose ranges was established: a dose-independent plateau at low radiation doses, a dose-dependent range with an increase in the radiation dose, and a dose-independent plateau when absolute mortality occurs.
About the authors
E. E. Cherkasova
Obninsk Institute for Nuclear Power Engineering, branch of the National Research Nuclear University MEPhI
Author for correspondence.
Email: Caterinacherkasova@yandex.ru
Russia,
Obninsk
G. V. Lavrentyeva
Obninsk Institute for Nuclear Power Engineering, branch of the National Research Nuclear University MEPhI; Bauman Moscow State Technical University (Kaluga Branch)
Email: Caterinacherkasova@yandex.ru
Russia,
Obninsk; Russia, Kaluga
B. I. Synzynys
Obninsk Institute for Nuclear Power Engineering, branch of the National Research Nuclear University MEPhI
Email: Caterinacherkasova@yandex.ru
Russia,
Obninsk
O. A. Mirzeabasov
Obninsk Institute for Nuclear Power Engineering, branch of the National Research Nuclear University MEPhI
Email: Caterinacherkasova@yandex.ru
Russia,
Obninsk
A. N. Pavlov
Russian Institute of Radiology and Agroecology
Email: Caterinacherkasova@yandex.ru
Russia, Obninsk
References
- ICRP. Environmental Protection: The Concept and Use of Reference Animals and Plants. Publication 108 // Ann. ICRP. 2008. 251 p.
- ICRP. Environmental Protection: Transfer Parameters for Reference Animals and Plants. Publication 114 // Ann. ICRP. 2009. 111 p.
- ICRP. Protection of the Environment under Different Exposure Situations. Publication 124 // Ann. ICRP. 2014. 59 p.
- Sources and effects of ionizing radiation: United Nations Scientific Committee on the Effects of Atomic Radiation: UNSCEAR 2008 Report to the General Assembly // United Nations Scientific Committee on the Effects of Atomic Radiation. V. 2. New York: Annexes D and E, 2011. 95 p.
- Шаров А.Н., Холодкевич С.В. О некоторых особенностях использования пресноводных двустворчатых моллюсков при проведении экотоксикологических исследований на основе мониторинга их кардиоритма волоконно-оптическим методом // Принципы экологии. 2015. № 2. С. 21–28. [Sharov A., Kholodkevich S. Some features of using heart rate monitoring of freshwater bivalve mollusсs with a fiber-optical method for ecotoxicological research // Principy jekologii. 2015. V. 2. P. 21–28. (In Russ.)]
- Golubev A. Ionizing radiation long-term impact on biota in water bodies with different levels radioactive contamination in Belarusian sector of Chernobyl nuclear accident zone // Radioprot. 2011. V. 46. № 6. P. 393–399.
- Лаврентьева Г.В., Шошина Р.Р., Мирзеабасов О.А. и др. Оценка влияния 90Sr на морфометрические показатели и уровень белков металлотионеинов в мягких тканях сухопутных моллюсков Bradybaena fruticum на биотопе регионального хранилища радиоактивных отходов // Радиация и риск. 2017. Т. 26. № 4. С.110–114. [Lavrentyeva G.V., Shoshina R.R., Mirzeabasov O.A. et al. Impact of 90Sr on morphometric indices and metallothioneins level in the soft tissues of Bradybaena Fruticum inhabiting the regional radioactive wastes storage facility // Radiation and risk. 2017. V. 26. № 4. P. 110–114. (In Russ.)]
- Гребенников М.Е., Хохуткин И.М. Содержание тяжелых металлов в наземных моллюсках в районе Среднеуральского медеплавильного завода // Мат. науч.-практ. конф. “Экологические основы стабильного развития Прикамья”. Пермь, 2000. 92 с. [Grebennikov M.E., Hohutkin I.M. Soderzhanie tjazhelyh metallov v nazemnyh molljuskah v rajone Sredne-ural’skogo medeplavil’nogo zavoda // Materialy nauchno-prakticheskoj konferencii “Jekologicheskie osnovy stabil’nogo razvitija Prikam’ja”. Perm’, 2000. 92 p. (In Russ.)]
- Петухова Г.А. Моллюски как чувствительные тест-индикаторы состояния перифитона при действии антропогенного пресса загрязнителей // Вестн. Тюменского гос. ун-та. 2005. № 5. С. 97–100. [Petuhova G.A. Mollyuski kak chuvstvitel’nye test-indi-katory sostoyaniya perifitona pri dejstvii antropogennogo pressa zagryaznitelej // Vestnik Tyumenskogo gosudarstvennogo universiteta. 2005. № 5. P. 97–100. (In Russ.)]
- Дедков В.П., Румянцева Е.Г. Новая технология культивирования виноградной улитки Helix Pomatia L. В условиях Калининградской области // Вестник РГУ им. Канта. Естественные науки. 2008. Вып 7. С. 87–94. [Dedkov V.P., Rumyanceva E.G. Novaya tekhnologiya kul’tivirovaniya vinogradnoj ulitki Helix Pomatia L. v usloviyah Kaliningradskoj oblasti // Vestnik RGU im. Kanta. Estestvennye nauki. 2008. V. P. 7: 87–94. (In Russ.)]
- Резник Е.П., Попов В.Н. Разведение улиток Helix Lucorum и Helix Albescens (Helicidae) в условиях фермерского хозяйства в Крыму // Экосистемы, их оптимизация и охрана. 2010. № 2 (21). С. 153–157. [Reznik E.P., Popov V.N. Razvedenie ulitok Helix Lucorum i Helix Albescens (Helicidae) v usloviyah fermerskogo hozyajstva v Krymu // Ekosistemy, ih optimizaciya i ohrana. 2010. №. 2. № 21. P. 153–157. (In Russ.)]
- Вычалковская Н.В. Особенности размножения наземных моллюсков braphuiopsis Cylindrica в лабораторных условиях // Вестн. зоологии. 2005. № 39 (3). С. 77–83 [Vychalkovskaya N.V. Osobennosti razmnozheniya nazemnyh mollyuskov braphuiopsis Cylindrica v laboratornyh usloviyah // Vestnik zoologii. 2005. V. 39. № 3. P. 77–83 (In Russ.)]
- Черкасова Е.Е., Лаврентьева Г.В., Сынзыныс Б.И. Экспериментальное определение показателя полулетальной дозы для наземного моллюска Fruticicola Fruticum // Междунар. науч.-исслед. журн. 2022. № 5–1 (119). С. 162–167. [Cherkasova E.E., Lavrent’eva G.V., Synzynys .BI. Experimental observation of half lethal dose determinant for terrestrial mollusk Fruticicola Fruticum // International Research Journal. 2022. № 5–1 (119). P. 162–167. (In Russ.)]. https://doi.org/10.23670/IRJ.2022.119.5.067
- Khyzhnyak S., Sterlikova O., Poloschyk S. et al. Studies of Ecotoxicity of Herbicides to Influence the Soil Fauna // Agrobiodiversity for Improving Nutrition, Health and Life Quality. 2017. V. 1. P. 221–225.
- Зотин А.А. Закономерности роста и энергетического обмена в онтогенезе моллюсков: Автореф. дис. … д-pa биол. наук. М., 2009. 30 с. [Zotin A.A. Zakonomernosti rosta i energeticheskogo obmena v ontogeneze mollyuskov [dissertation]. M., 2009. 30 p. (In Russ.)]
- Сергеева Н.Г., Заика В.Е., Михайлова Т.В. Питание гребневика Mnemiopsis Mccradyi в условиях Черного моря // Экология моря. 1990. Т. 35. С. 18–22 [Sergeeva N.G., Zaika V.E., Mikhailova T.V. Nutrition of ctenophore Mnemiopsis Mccradyi under conditions of the Black Sea // Ecology of the Sea. 1990. V. 35. P. 18–22 (In Russ.)]
- Рипатти П.О., Кауфман Б.З., Руоколайнен Т.Р. и др. Связь термопреферентного поведения кустарниковой улитки (Bradybaena Fruticum, Stylommatophora, Bradybaenidae) с содержанием липидов // Зоол. журн. 2008. Т. 87. № 4. С. 387–392 [Ripatti P.O., Kaufman B., Ruokolajnen T.R. et al. Svyaz’ termopre-ferentnogo povedeniya kustarnikovoj ulitki (Bradybaena Fruticum, Stylommatophora, Bradybaenidae) s soderzhaniem lipidov // Zoologicheskij zhurnal. 2008. V. 87. № 4. P. 387–392. (In Russ.)]
- Хлебович В.В. Адаптивные реакции организма в меняющейся среде // Наука – школе: Сб. науч. публикаций. СПб., 2017. С. 33–46. [Hlebovich V.V. Adaptivnye reakcii organizma v menyayushchejsya srede // Nauka – shkole: Sbornik nauchnyh publikacij. Sankt-Peterburg, 2017. P. 33–46. (In Russ.)]
- Березкина Г.В., Аракелова Е.С. Жизненные циклы и рост некоторых гребнежаберных моллюсков (Gastropoda: Pectinibranchia) в водоемах Европейской части России // Тр. Зоологического ин-та РАН. 2010. Т. 314. № 1–2. С. 80–92. [Beryozkina G.V., Arakelova E.S. The life-cycles and growth of some comb-branchial molluscs (Gastropoda: Pectinibranchia) in the ponds of the European part of Russia // Proc. Zoological Institute of the Russian Academy of Sciences. 2010. V. 314. № 1–2. P. 80–92. (In Russ.)]
- Снегин Э.А., Тищенко А.Ю. Многолетняя динамика морфогенетических показателей наземного моллюска Cepaea Vindobonensis (Gastropoda, Pulmonata, Helicidae) в памятнике природы “Бекарюковский бор” (Россия) // Nature Conservation Research. Заповедная наука. 2021. № 3. URL: https://cyberleninka.ru/article/n/mnogoletnyaya-dinamika-morfogeneticheskih-pokazateley-nazemnogo-mollyuska-cepaea-vindobonensis-gastropoda-pulmonata-helicidae-v (дата обращения: 16.11.2022) [Snegin E.A., Tishchenko А.Yu. Long-term dynamics of morphogenetic indicators of the terrestrial mollusk Cepaea Vindobonensis (Gastropoda, Pulmonata, Helicidae) in the Bekaryukovsky Bor natural monument, Russia // Nature Conservation Research. 2021. № 3. (In Russ.)]
- Kuźnik-Kowalska E., Lewandowska M., Pokryszko B.M. et al. Reproduction, growth and circadian activity of the snail Bradybaena fruticum (O.F. Müller, 1774) (Gastropoda: Pulmonata: Bradybaenidae) in the laboratory // Central Eur. J. Biol. 2013. V. 8. P. 693–700. https://doi.org/10.2478/s11535-013-0182-5
- Козминский E.В. Сезонная динамика размножения и репродуктивные показатели Bithynia tentaculata (Gastropoda, Prosobranchia) // Зоол. журн. 2003. Т. 82. № 3. С. 325–331 [Kozminsky E.V. Seasonal dynamics of reproduction and reproductive parameters of Bithynia Tentaculata (Gastropoda, Prosobranchia) // Zoological Journal. 2003. V. 82. № 3. P. 325–331 (In Russ.)]
- Сарапульцева Е.И., Малина Ю.Ю., Сарапульцев Б.И. Линейно-пороговые эффекты γ-облучения Daphnia magna в диапазоне малых доз // Радиация и риск (Бюлл. Национального радиационно-эпидемиологического регистра). 2007. Т. 16. № 2–4. С. 33–38 [Sarapultseva E.I., Malina Ju.Yu., Sarapultsev B.I. Linear threshold effects of Daphnia magna γ-irradiation at low doses // Radiation and risk (Bulletin of the National Radiation and Epidemiological Register). 2007. V. 16. № 2–4. P. 33–38. (In Russ.)]
- Кузьменко Е.В. Современные подходы к определению групповой и индивидуальной радиочувствительности организма // Ученые записки Таврического национального университета им. В.И. Вернадского. Серия: Биология, химия. 2011. Т. 24 (63). № 1. С. 109–122 [Kuz’menko E.V. Sovremennye podhody k opredeleniyu gruppovoj i individual’noj radiochuvstvitel’nosti organizma // Uchenye zapiski Tavricheskogo nacional’nogo universiteta imeni V.I. Vernadskogo. Seriya: Biologiya, himiya. 2011. V. 24 (63). № 1. P. 109–122. (In Russ.)]
- Фомичева Е.М., Семерной В.П. Видовой состав и выживаемость водных беспозвоночных малой реки в условиях пересыхания и промерзания грунта // Биология внутренних вод. 2015. № 1. С. 53 [Fomicheva E.M., Semernoy V.P. Species composition and survival of aquatic invertebrates of the small river in conditions of soil drying and freezing // Inland Water Biology. 2015. V. 8. № 1. P. 47–53. (In Russ.)]
- Яковлев Г.М., Новиков В.С., Хавинсон В.Х. Резистентность, стресс, регуляция. Л.: Наука, Ленинградское отделение, 1990. 237 с [Yakovlev G.M., Novikov V.S., Havinson V.H. Rezistentnost’, stress, regu-lyaciya. Leningrad: Nauka, Leningradskoe otdelenie, 1990. 237 p. (In Russ.)]
- Васин М.В., Ушаков И.Б., Ковтун В.Ю. и др. Терапевтический эффект длительного применения мелатонина на течение и летальный исход экспериментальной острой лучевой болезни // Бюлл. эксперим. биологии и медицины. 2013. Т. 156. № 12. С. 738–740. [Vasin M.V., Ushakov I.B., Kovtun V.Yu. et al. Terapevticheskij effekt dlitel’nogo primeneniya melatonina na techenie i letal’nyj iskhod eksperimental’noj ostroj luchevoj bolezni // Byulleten’ eksperimental’noj biologii i mediciny. 2013. V. 156. № 12. P. 738–740 (In Russ.)]
- Гудков И.Н., Кудяшева А.Г., Москалёв А.А. Радиобиология с основами радиоэкологии: Учебное пособие. Сыктывкар: Изд-во СыктГУ, 2015. 512 с. [Gudkov I.N., Kudyasheva A.G., Moskalyov A.A. Radiobiologiya s osnovami radioekologii: Uchebnoe posobie. Syktyvkar: Izd-vo SyktGU, 2015. 512 p. (In Russ.)]
- Лазаревич Н.В., Сергеева И.И., Лазаревич С.С. Радиобиология: курс лекций. В 4 ч. Ч. 3. Радиобиология животных и человека. Горки: БГСХА, 2012. 103 с. [Lazarevich N.V., Sergeeva I.I., Lazarevich S.S. Radiobiologiya: kurs lekcij. V 4 ch. Ch. 3. Radiobiologiya zhivotnyh i cheloveka. Gorki: BGSKHA, 2012. p. (In Russ.)]
Supplementary files

















