New Acacetin Glycosides and Other Phenolics from Agastache foeniculum and Their Influence on Monoamine Oxidase A and B
- 作者: Olennikov D.N.1, Kashchenko N.I.1
-
隶属关系:
- Institute of General and Experimental Biology SB RAS
- 期: 卷 60, 编号 6 (2024)
- 页面: 645-656
- 栏目: Articles
- URL: https://journals.rcsi.science/0555-1099/article/view/285214
- DOI: https://doi.org/10.31857/S0555109924060084
- EDN: https://elibrary.ru/QFJSVU
- ID: 285214
如何引用文章
详细
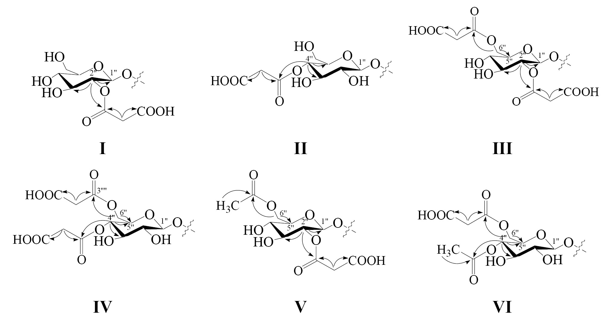
Monoamine oxidase (MAO) inhibitors are effective therapeutic agents for the treatment of neurodegenerative diseases, and natural flavonoids found in Agastache species belong to them. In the present study, six new acylated flavone-O-glycosides were isolated from A. foeniculum and identified using UV, NMR spectroscopy and mass spectrometry as agastoside A (acacetin 7-O-(2′′-O-malonyl)-β-D-glucopyranoside), B (acacetin 7-O-(4′′-O-malonyl)-β-D-glucopyranoside), C (acacetin 7-O-(2′′,6′′-di-O-malonyl)-β-D-glucopyranoside), D (acacetin 7-O-(4′′,6′′-di-O-malonyl)-β-D-glucopyranoside), E (acacetin 7-O-(2′′-O-malonyl-6′′-O-acetyl)-β-D-glucopyranoside), and F (acacetin 7-O-(4′′-O-acetyl-6′′-O-malonyl)-β-D-glucopyranoside). Using flash chromatography and liquid chromatography-mass spectrometry, an additional 34 known phenolic compounds were detected. A study of biological activity showed that A. foeniculum flavonoids had an inhibitory effect on MAO-A and MAO-B, with the greatest effect noted for acacetin 7-O-glucoside acetate and malonate esters, which may be promising compounds for the development new drugs.
全文:
作者简介
D. Olennikov
Institute of General and Experimental Biology SB RAS
编辑信件的主要联系方式.
Email: olennikovdn@mail.ru
俄罗斯联邦, Ulan-Ude, 670047
N. Kashchenko
Institute of General and Experimental Biology SB RAS
Email: olennikovdn@mail.ru
俄罗斯联邦, Ulan-Ude, 670047
参考
- Lamptey R.N.L., Chaulagain B., Trivedi R., Gothwal A., Layek B., Singh J. // Int. J. Mol. Sci. 2022. V. 23. № 1851. https://doi.org/10.3390/ijms23031851
- Youdim M.B.H., Edmondson D., Tipton K.F.// Nature Rev. Neurosci. 2006. V. 7. P. 295–309. https://doi.org/10.1038/nrn1883
- Dhiman P., Malik N., Sobarzo-Sánchez E., Uriarte E., Khatkar A. // Molecules. 2019. V. 24. № 418. https://doi.org/10.3390/molecules24030418
- Chaurasiya N.D., Midiwo J., Pandey P., Bwire R.N., Doerksen R.J., Muhammad I., Tekwani B.L. // Molecules. 2020. V. 25. № 5358. https://doi.org/10.3390/molecules25225358
- Lee H.W., Ryu H.W., Baek S.C., Kang M.-G., Park D., Han H.-Y., Kim H. // Int. J. Biol. Macromol. 2017. V. 104. P. 547–553. https://doi.org/10.1016/j.ijbiomac.2017.06.076
- Абрамчук А.В., Карпухин М.Ю. // Аграрный вестник Урала. 2017. № 2. С. 6–9.
- Nechita M.-A., Toiu A., Benedec D., Hanganu D., Ielciu I., Oniga O., Nechita V.-I., Oniga I. // Plants. 2023. V. 12. № 2937. https://doi.org/10.3390/plants12162937
- Vogelmann J.E. // Biochem. Syst. Ecol. 1984. V. 12. P. 363–366. https://doi.org/10.1016/0305-1978(84)90067-X
- Чумакова В.В., Попова О.И., Чумакова В.В. // Растит. ресурсы. 2011. Т. 47. С. 51–55.
- Olennikov D.N., Kashchenko N.I. // Agronomy. 2023. V. 13. № 2410. https://doi.org/10.3390/agronomy13092410
- Olennikov D.N. // Separations. 2023. V. 10. № 255. https://doi.org/10.3390/separations10040255
- Olennikov D.N., Kashchenko N.I. // Appl. Biochem. Microbiol. 2023. V. 59. P. 530–538. https://doi.org/10.1134/S0003683823040099
- Olennikov D.N., Chirikova N.K. // Chem. Nat. Compd. 2019. V. 55. P. 1032–1038. https://doi.org/10.1007/s10600-019-02887-1
- Olennikov D.N. // Chem. Nat. Compd. 2022. V. 58. P. 816–821. https://doi.org/10.1007/s10600-022-03805-8
- Seo Y.H., Kang S.-Y., Shin J.-S., Ryu S.M., Lee A.Y., Choi G., Lee J. // J. Nat. Prod. 2019. V. 82. P. 3379–3385. https://doi.org/10.1021/acs.jnatprod.9b00697
- Park S., Kim N., Yoo G., Kim Y., Lee T.H., Kim S.Y., Kim S.H. // Biochem. Syst. Ecol. 2016. V. 67. P. 17–21. https://doi.org/10.1016/j.bse.2016.05.019
- Mizuno T., Seto H., Nakane T., Murai Y., Tatsuzawa F., Iwashina T. // Bull. Natl. Mus. Nat. Sci. B. 2023. V. 49. P. 57–64. https://doi.org/10.50826/bnmnsbot.49.2_57
- Kachlicki P., Piasecka A., Stobiecki M., Marczak Ł. // Molecules. 2016. V. 21. № 1494. https://doi.org/10.3390/molecules21111494
- Itokawa H., Suto K., Takeya K. // Chem. Pharm. Bull. 1981. V. 29. P. 1777–1779. https://doi.org/10.1248/cpb.29.1777
- Olennikov D.N., Kashchenko N.I. // Chem. Nat. Comp. 2016. V. 52. P. 996–999. https://doi.org/10.1007/s10600-016-1845-7
- Norazhar A.I., Lee S.Y., Faudzi S.M.M., Shaari K. // Appl. Sci. 2021. V. 11. № 3526. https://doi.org/10.3390/app11083526
- Duda S.C., Marghitas L.A., Dezmirean D., Duda M., Margaoan R., Bobis O. // Ind. Crops Prod. 2015. V. 77. P. 499–507. https://doi.org/10.1016/j.indcrop.2015.09.045
补充文件






