Participation of Reactive Oxygen Species and Nitric Oxide in Defense of Wheat with the Sr25 Gene from Stem Rust
- Авторлар: Knaub V.V.1, Plotnikova L.Y.1
-
Мекемелер:
- Omsk State Agrarian university named after P.A. Stolypin
- Шығарылым: Том 60, № 6 (2024)
- Беттер: 610-622
- Бөлім: Articles
- URL: https://journals.rcsi.science/0555-1099/article/view/285189
- DOI: https://doi.org/10.31857/S0555109924060055
- EDN: https://elibrary.ru/QGCDXJ
- ID: 285189
Дәйексөз келтіру
Аннотация
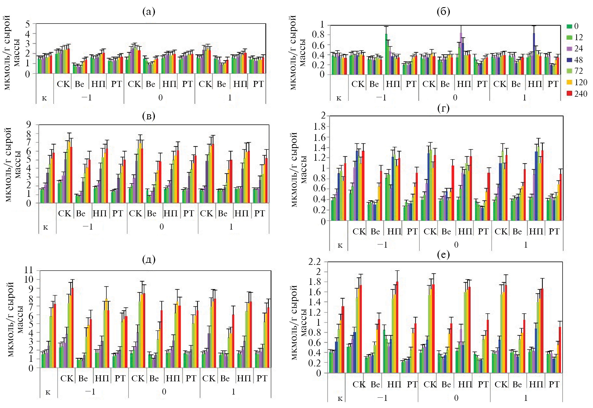
The role of reactive oxygen species (ROS) and nitric oxide NO in the protection of common wheat Triticum aestivum L. from the rust fungus Puccinia graminis f. sp. tritici Erikss. and Henn. (Pgt), was studied on the example of interaction with resistant line of cv. Thatcher with the Sr25 gene from the wheatgrass Thinopyrum ponticum (TcSr25) and the susceptible cv. Saratovskaya 29 (C29). The seedlings were treated with salicylic acid (SA) as an inducer of ROS, and verapamil as Ca2+ channel inhibitor, and sodium nitroprusside (NP) as NO donor, and 2-phenyl-4, 4,5,5-tetramethylimidazoline-1-oxyl-3-oxide (c-PTIO) as NO scavenger. Isolates with reaction 0 (immunity) and 1 (resistance with hypersensitivity reaction, HR) were used to infect the seedlings. NO stimulated the growing tubes orientation and the formation of Pgt appressoria on the surface of resistant plants, and in susceptible plants it increased colony growth if plant were treated one day before or simultaneously with infection. The generation of superoxide anion was the main cause of Pgt appressoria death on the stomata of resistant plants, and NO did not affect tissue penetration. ROS induced HR and accelerated the destruction of the cytoplasm of cells. NO was contributed in the expansion of necrosis zone in resistant plants.
Толық мәтін
Авторлар туралы
V. Knaub
Omsk State Agrarian university named after P.A. Stolypin
Хат алмасуға жауапты Автор.
Email: lya.plotnikova@omgau.org
Ресей, Omsk, 644008
L. Plotnikova
Omsk State Agrarian university named after P.A. Stolypin
Email: lya.plotnikova@omgau.org
Ресей, Omsk, 644008
Әдебиет тізімі
- FAOSTAT. 2021. https://www.fao.org/faostat (accessed on 12 May 2024).
- Singh R.P., Hodson D.P., Jin Y., Lagudah E.S., Ayliffe M.A., Bhavani S. et al. // Phytopathology. 2015. V. 10. P. 872–884.
- Hovmøller M.S., Walter S., Bayles R., Hubbard A., Flath K., Sommerfeldt N. et al.// Plant Pathol. 2016. V. 65. P. 402–411. https://doi.org/10.1111/ppa.12433
- Baranova O.A., Sibikeev S.N., Konkova E.A. // Proceedings on Applied Botany. Genetics and Breeding. 2023. V. 184. № 1. P. 177–186. https://doi.org/10.30901/ 2227-8834-2023-1-177-186
- Gultyaeva E., Shaydayuk E., Kosman E. // Agriculture. 2022. V. 12. № 1957. https://doi.org/10.3390/agriculture12111957
- Yuan M., Pok B., Ngou M., Ding P., Xin X.-F. // Curr. Opin. Plant Biol. 2021. V. 62. № 102030. https://doi.org/10.1016/j.pbi.2021.102030
- Chen J., Gutjahr C., Bleckmann A., Dresselhaus T. // Mol. Plant. 2015. V. 8. P. 595–611. https://doi.org/10.1016/j.molp.2015.01.023
- Delledonne M., Xia Y., Dixon R.A., Lamb C. // Nature. 1998. V. 394. P. 585–588.
- Аллагулова Ч.Р., Юлдашев Р. А., Авальбаев А.М. // Физиология растений. 2023. Т. 70. № 2. С. 115–132. https://doi.org/10.31857/S0015330322600437
- Мамаева А.С., Фоменков А.А., Носов А.В., Новикова Г.В. // Физиология растений. 2017. Т. 64. № 5. С. 346–354. https://doi.org/10.7868/S0015330317050074
- Sun C., Zhang Y., Liu L., Liu X., Li B., Jin C., Lin X. // Hortic. Res. 2021. V. 8. № 71. https://doi.org/10.1038/s41438-021-00500-7
- Kolbert Z., Barroso J.B., Brouquisse R., Corpas F.J., Gupta K.J., Lindermayr C., et al. // Nitric Oxide. 2019. V. 93. P. 53–70. https://doi.org/10.1016/j.niox.2019.09.006
- Hancock J.T., Neill S.J. // Plants. 2019. V. 8. P. 41. https://doi.org/10.3390/plants8020041
- Maslennikova D.R., Allagulova C.R., Fedorova K.A., Plotnikov A.A., Avalbaev A.M., Shakirova F.M. // Russ. J. Plant Physiol. 2017. V. 64. P. 665–671. https://doi.org/10.1134/S1021443717040094
- Карпец Ю.В., Колупаев Ю.Е., Луговая А.А., Швиденко Н.В., Шкляревский М.А., Ястреб Т.О. // Физиология растений. 2020. Т. 67. № 4. С. 408–416. https://doi.org/10.31857/S0015330320030148
- Bezrukova M.V., Lubyanova A.R., Maslennikova D.R., Shakirova F.M., Kudoyarova G.R. // Russ. J. Plant Physiol. 2021. Т. 68. № 2. С. 307–314. https://doi.org/ 10.1134/S1021443721010040
- Zhang C., Czymmek K.J., Shapiro A. D. // Mol. Plant Microbe Interact. 2003. V. 16. P. 962–972.
- Shafiei R., Hang C., Kang J.G., Loake G.J. // Mol. Plant Pathol. 2007. V. 8. P. 773–784.
- Khan M., Ali S., Al Azzawi T.N.I., Yun B.-W. // Int. J. Mol. Sci. 2023. V. 24. № 4782. https://doi.org/10.3390/ijms24054782
- Martínez-Medina A., Pescador L., Terrón-Camero L.C., Pozo M.J., Romero-Puertas M.C. // J. Exp. Bot. 2019. V. 70. № 17. P. 4489–4503. https://doi.org/10.1093/jxb/erz289
- Guo P., Cao Y., Li Z., Zhao B. // Plant, Cell & Environment. 2004. V. 27. P. 473–477.
- Tada Y., Mori T., Shinogi T., Yao N., Takahashi S., Betsuyaku S., et al. // Mol. Pl.-Micr. Int. 2004. V. 17. P. 245–253.
- Qiao M., Sun J., Liu N., Sun T., Liu G., Han S. et al. // PLoS ONE. 2015. V. 10. № 7. e0132265. https://doi.org/10.1371/journal. pone.0132265
- Plotnikova L., Knaub V., Pozherukova V. // Int. J. Plant Biol. 2023. V. 14. P. 435–457. https://doi.org/10.3390/ijpb14020034
- McIntosh R.A., Wellings C.R., Park R.F. (Eds.). Wheat Rusts. An Atlas of Resistance Genes. Dordrecht: Springer, 1995. 200 p. https://doi.org/10.1071/9780643101463
- Roelfs A.P., Martens J.W. // Phytopathology. 1988. V. 78. P. 526–533.
- Тютерев С.Л. Научные основы индуцированной болезнеустойчивости растений.СПб.: ООО “Инновационный центр защиты растений”. ВИЗР, 2002. 328 с.
- Xu H., Heath M.C. // Plant Cell. 1998. V. 10. P. 585–597. https://doi.org/10.1105/tpc.10.4.585
- Garcia-Mata C., Lamattina L. // Plant Physiology. 2001. V. 126(3). P. 1196–1204. https://doi.org/10.1104/pp.126.3.1196
- Wang J., Higgins V.J. // Physiol. Mol. Plant Pathol. 2006. V. 67. P. 131–137. https://doi.org/10.1016/j.pmpp.2005.11.002
- Михайлова Л.А., Квитко К.В. // Микология и фитопатология. 1970. Т. 4. № 4. С. 269–273.
- Фатхутдинова Д.Р., Сахабутдинова А.Р., Максимов И.В., Яруллина Л.Г., Шакирова Ф.М. // Агрохимия. 2004. № 8. С. 27–31.
- Bindschedler L.V., Minibayeva F., Gardner S.L., Gerrish C., Davies D.R., Bolwell G.P. // New Phytologist. 2001. V. 151. № 2. P. 185–194
- Карпец Ю.В., Колупаев Ю.Е., Вайнер А.А. // Физиология растений. 2015. Т. 62. № 1. С. 72–78. https://doi.org/10.7868/S0015330314060098
- Барыкина Р.П., Веселова Т.Д., Девятов А.Г., Джалилова Х.Х., Ильина Г.М., Чубатова Н.В. // Справочник по ботанической микротехнике. Основы и методы. М.: Издательство МГУ, 2004. 312 с.
- Plotnikova L.Y., Meshkova L.V. // Mikol. Fitopatol. 2009. V. 43. P. 343–357.
- Доспехов Б.А. // Методика полевого опыта. М.: Агропромиздат, 1985. 5 изд. 351 с.
- Мамаева А.С., Фоменков А.А., Носов А.В., Мошков И.Е., Мур Л.А.Д., Холл М.А. и др. // Физиология растений. 2015. Т. 62. С. 459–473. https://doi.org/10.7868/S0015330315040132
- Piterková J., Hofman J., Mieslerová B., Sedlářová M., Luhová L., Lebeda A., Petřivalský M. // Environ.Exp. Bot. 2011. V. 74. P. 37–44.
- Delledonne M., Zeier J., Marocco A., Lamb C. // Proc. Natl. Acad. Sci. Unit. States Am. 2001. V. 98. P. 13454–13459.
- Fang F.C. // J. Clin. Invest. 1997. V. 99. P. 2818–2825.
- Hunt M.D., Ryals J.A. // Crit. Rev. Plant. Sci. 1996. V. 15. P. 583–606.
- Heath M.C. // Plant Mol. Biol. 2000. V. 44. Р. 321–334.
- Melotto M., Zhang L., Oblessuc P.R., He S.Y. // Plant Physiol. 2017. V. 174. P. 561–571.
- Plotnikova L., Pozherukova V., Knaub V., Kashuba Y. // Agriculture. 2022. V. 12. № 2116. https://doi.org/10.3390/ agriculture12122116
- Плотникова Л.Я., Пожерукова В.Е., Митрофанова О.П., Дегтярев А.И. // Прикл. биохимия и микробиология. 2016. Т. 52. № 1. С. 74–84.
- Calcagno C., Novero M., Genre A., Bonfante P., Lanfranco L. // Mycorrhiza. 2012. V. 22. P. 259–269.
- Cui J.L., Wang Y.N., Jiao J., Gong Y., Wang J.H., Wang M.L. // Scientific Reports. 2017. V. 7. № 12540. https://doi.org/10.1038/s41598-017-12895-2
- Максимов И.В., Черепанова Е.А. // Успехи современной биологии. 2006. Т. 126. С. 250–261.
- Kolupaev Yu.E., Karpets Yu.V., Dmitriev A.P. // Cytol. Genet. 2015. V. 49. № 5. P. 338–348. https://doi.org/10.3103/S0095452715050047
- Rockel P., Strube F., Rockel A., Wildt J., Kaiser W.M. // J. Exp. Bot. 2002. V. 53. P. 103–110.
- Romero-Puertas M.C., Campostrini N., Mattè A., Righetti P.G., Perazzolli M., Zolla L., et al.// Proteomics. 2008. V. 8. P. 1459–1469.
- Foissner I., Wendehenne D., Langebartels C., Durner J. // Plant J. 2000. V. 23. P. 817–824.
- Romero-Puertas M.C., Delledonne M. // IUBMB Life.2003. V. 55 № 10–11. P. 579–583. https://doi.org/10.1080/15216540310001639274
Қосымша файлдар






