Development of a bio-selecting agent based on immobilized bacterial cells with amidase activity for bio-detection of acrylamide
- Authors: Protasova E.M.1, Maksimova Y.G.1,2
-
Affiliations:
- Perm Federal Research Center, Ural Branch, Russian Academy of Sciences
- Perm State National Research University
- Issue: Vol 60, No 5 (2024)
- Pages: 536-544
- Section: Articles
- URL: https://journals.rcsi.science/0555-1099/article/view/283947
- DOI: https://doi.org/10.31857/S0555109924050115
- EDN: https://elibrary.ru/QSURJQ
- ID: 283947
Cite item
Full Text
Abstract
Actinobacteria cells Rhodococcus erythropolis 4-1 and Rhodococcus erythropolis 11-2 and Proteobacteria Alcaligenes faecalis 2, which have amidase activity, were immobilized by entrapping barium alginate and agarose into the gel structure, as well as by obtaining biofilms on thermally expanded graphite (TEG). The operational stability of such immobilized biocatalysts after storage in frozen and dehydrated form was determined, and a prototype of a conductometric acrylamide biosensor based on such a bioselective agent was developed. The most preferred method for storing immobilized cells was freezing at temperatures from –20 to –80°C; long-term storage is also possible wet at 4–25°C. It was shown that these cells were most preferable for the biodetection of acrylamide A. faecalis 2, immobilized in an agarose gel structure. An agarose gel with bacterial cells immobilized in its structure had greater mechanical strength and stability during successive cycles of conversion of acrylamide into acrylic acid compared to barium alginate gel. The mechanical strength of barium alginate gel can be enhanced by the addition of carbon nanomaterials during cell immobilization. Growing biofilms on carbon materials used for manufacturing electrodes is also promising. Biofilms of R. erythropolis 11-2 on TEG are capable of converting acrylamide into acrylic acid in more than 20 reaction cycles while maintaining at least 50% amidase activity.
Full Text
Акриламид (АА) – высокотоксичное вещество, широко используемое в промышленности, обладает высокой нейротоксичностью, тератогенностью, генотоксичностью и классифицируется Всемирной организацией здравоохранения как канцероген группы 2А (потенциальный канцероген). АА находит промышленное применение как мономер для производства акриловых полимеров и пластмасс, используемых в качестве связующего агента в цементных растворах и мембранах для очистки сточных вод в качестве флокулянта, загустителя в составах пестицидов, для предотвращения эрозии почвы, в переработке руды, нефтегазовой промышленности и производстве бумаги. Из-за высокой растворимости АА в воде (2150 г/л) он легко попадает в водные объекты и может накапливаться в них в высоких концентрациях [1, 2]. Также АА образуется в результате реакции Майяра при термообработке (>120°С) богатой углеводами пищи, содержащей природную аминокислоту аспарагин и редуцирующие сахара. АА обнаруживается в стоках промышленных предприятий в концентрации свыше 1 г/л [3]. Кроме того, одним из источников АА в водных объектах являются полиакриламидные флокулянты, которые используются при очистке природных и сточных вод от взвешенных частиц [4]. Содержание АА в воде нормируется, и оно не должно превышать 0.35 мг/л для водных объектов рыбохозяйственного значения и 0.0001 мг/л для питьевой воды. Определение АА в воде и пищевых продуктах может осуществляться различными способами, из которых наиболее распространенным является хроматографический метод (ВЭЖХ и ГХ) с его модификациями (ГХ/МС, ГХ с электронозахватным детектором, ВЭЖХ/МС) [4–6]. Также предлагаются методы, основанные на измерении флуоресценции химически модифицированного АА [7]. Однако определение этого загрязняющего вещества высокоточными аналитическими методами требует специального оборудования, лабораторных условий, обученного персонала и затрат времени, тогда как в полевых условиях преимущество получают биосенсоры, обладающие высокой чувствительностью и способные к быстрому и специфичному ответу на присутствие токсиканта в среде.
Необходимость в быстром и селективном обнаружении АА, как в воде, так и в пищевых продуктах, послужила основой для проведения исследований в области биодетекции этого загрязняющего вещества. Был разработан ряд биосенсоров на АА. Такие биосенсоры основаны на различных принципах: на определении респираторной активности клеток Brevibacterium sp. [8], на снижении генерации тока при обратимой конверсии Fe(II)/Fe(III) иммобилизованным гемоглобином при образовании аддуктов этого белка с АА [9, 10], на взаимодействии с ДНК [11, 12], на конверсии АА в акриловую кислоту (АК) амидазой микроорганизмов [13, 14]. На основе интактных клеток бактерий, содержащих амидазу, был разработан потенциометрический биосенсор. Элементом биологического распознавания служили целые клетки Pseudomonas aeruginosa, внутриклеточная амидаза которых катализировала гидролиз АА с образованием ионов аммония (NH4+) и акриловой кислоты. Процесс преобразования сигнала осуществляли с помощью ионоселективного электрода аммония. Целые клетки иммобилизовали на дисках полимерных мембран из полиэфирсульфона, нейлона и поликарбоната и прикрепляли к поверхности селективного электрода [14].
Микробные биосенсоры – это аналитические устройства, в которых микроорганизмы, иммобилизованные на преобразователе сигнала, используются для обнаружения анализируемого вещества. Для закрепления микробных клеток на электродах могут быть применены различные методы иммобилизации, такие как адсорбция, ковалентная сшивка, инкапсуляция и включение в структуру гелей [15, 16]. Живые иммобилизованные клетки микроорганизмов являются перспективным биоселектирующим агентом, а способ иммобилизации микробных клеток в значительной степени определяет чувствительность и время жизни биосенсора [17, 18].
Микроорганизмы способны гидролизовать АА с помощью амидазы (КФ 3.5.1.4), которая наряду с нитрилгидратазой участвует в двустадийной трансформации нитрилов [19]. Образующаяся в результате реакции АК изменяет электропроводность раствора, что может быть определено кондуктометрически. Для разработки прототипа кондуктометрического биосенсора на АА необходимо выявить наиболее предпочтительный способ иммобилизации микробных клеток, обладающих амидазной активностью, который позволит долговременно и многократно проводить измерения, а также обеспечит сохранение активности при различных способах хранения биоселектирующего агента.
Цель работы – изучение операционной стабильности биокатализаторов на основе клеток актино- и протеобактерий, обладающих амидазной активностью, при различных способах иммобилизации клеток и долговременном хранении, а также определение электропроводности растворов акриламида с помощью биоселектирующего агента на основе иммобилизованных амидазосодержащих бактериальных клеток.
МЕТОДИКА
Объекты исследования и условия культивирования. Штаммы бактерий Rhodococcus erythropolis 4-1 и R. erythropolis 11-2 выделены из почвы и изучены в процессах гидролиза нитрилов [20]. Alcaligenes faecalis 2, обладающий амидазной активностью, выделен из активного ила биологических очистных сооружений г. Перми [21]. Бактериальные штаммы культивировали на минимальной солевой среде следующего состава (г/л): КН2РО4 – 1.0; K2HPO4 × × 3H2O – 3.7; NaCl – 0.5; MgSO4 × 7H2O – 0.5; FeSO4 × 7H2O – 0.005; CoCl2 × 6H2O – 0.01, рН 7.2 ± 0.2. В качестве источника углерода для родококков использовали глюкозу в концентрации 0.1%, источником азота служили ацетонитрил в концентрации 0.05%, 10 мМ хлористый аммоний и 2.5 мМ ацетамид. Для штамма A. faecalis 2 единственным источником углерода и азота был ацетамид в концентрации 0.1 М.
Культивирование проводили в течение 5–7 сут на шейкере со скоростью 120 об./мин при комнатной температуре. Биомассу концентрировали центрифугированием в течение 15 мин при 5000 g на центрифуге 5804 R (“Eppendorf”, Германия), отмывали однократно от среды культивирования стерильным 0.9%-ным хлоридом натрия, центрифугировали повторно, разводили в стерильном растворе хлорида натрия и использовали для иммобилизации.
Оптическую плотность (ОП) полученной клеточной суспензии измеряли на фотоэлектроколориметре КФК-3 (АООТ “Загорский оптико-механический завод”, Россия) при λ = 540 нм в 0.5 см кюветах. Массу сухих клеток для каждого штамма определяли взвешиванием на аналитических весах предварительно высушенной биомассы из 1 мл суспензии.
Иммобилизация клеток в структуре агарозного геля. Раствор агарозы в концентрации 4% нагревали до температуры кипения. После охлаждения до 40°C смешивали раствор агарозы с суспензией клеток (ОП540 = 1) в соотношении 3 : 1 и 10 мл смеси помещали в чашку Петри. После застывания гель измельчали механически, размер гранул составлял 1–2 мм2.
Иммобилизация бактериальных клеток в структуре геля альгината бария. Альгинат натрия растворяли в кипящей воде в концентрации 4% и автоклавировали при 121°C в течение 15 мин. После охлаждения до 40°C к раствору альгината натрия добавляли суспензию бактериальных клеток (ОП540 = 1) в соотношении 2 : 1 и тщательно перемешивали. Полученную смесь объемом 3 мл продавливали через шприц для подкожных инъекций в 10 мл холодного 0.1 М раствора BaCl2. Гранулы диаметром 2 мм ресуспендировали в свежем BaCl2 в течение 24 ч при температуре 4–6°C и отмывали дистиллированной водой.
Для приготовления геля альгината бария с углеродными нанотрубками альгинат натрия растворяли в кипящей воде до концентрации 4%, автоклавировали при 121°C в течение 15 мин. После охлаждения до 40°C 50 мл альгината натрия смешивали с 10 мг многостенных углеродных нанотрубок (Уральский научно-исследовательский институт композиционных материалов, г. Пермь, Россия), добавляли 25 мл бактериальной суспензии, иммобилизацию бактериальных клеток выполняли, как описано выше.
Иммобилизация клеток на терморасширенном графите (ТРГ). Иммобилизацию бактериальных клеток на ТРГ (ООО “Силур”, Россия) проводили двумя способами: адгезией из выращенной культуры и выращиванием биопленок на поверхности материала. Для адсорбции к 0.5 г порошкообразного носителя (фракция 1.3 мм) добавляли 10 мл клеточной суспензии, перемешивали в течение 1 ч на шейкере со скоростью 120 об./мин при комнатной температуре. Далее отфильтровывали несвязавшиеся клетки через бумажный фильтр (марки “белая лента” или “красная лента”) и промывали иммобилизованный биокатализатор 0.1 М калий-фосфатным буфером (рН 7.2 ± 0.2). Для получения биопленок 0.5 г ТРГ автоклавировали в конических колбах объемом 200 мл в 100 мл минеральной среды 1 ч при 121°С, асептически добавляли 1.5 мл полученной биомассы (ОП540 = 1) в среду с графитом и соответствующие источники углерода и азота. Культивировали в течение 7 сут на шейкере со скоростью 120 об./мин при температуре 22–25°С. Выращенные биопленки отмывали однократно от среды культивирования 0.1 М калий-фосфатным буфером (рН 7.2 ± 0.2) через бумажный фильтр (марки “белая лента” или “красная лента”).
Операционная стабильность иммобилизованного биокатализатора. Операционную стабильность биокатализаторов на основе иммобилизованных клеток R. erythropolis 4-1, R. erythropolis 11-2 и A. faecalis 2 оценивали по количеству АК при последовательном проведении полной конверсии 100 мМ раствора АА, вносимого в каждом цикле в реакционную среду. Время полного цикла составляло 24 ч. Реакцию проводили в 20 мл 0.1 М калий-фосфатного буфера (рН 7.2 ± 0.2) при температуре 22–25°С, останавливали, добавляя в 1 мл пробы 50 мкл концентрированной HCl, центрифугировали 10 мин при 14000 g и определяли концентрацию образовавшейся АК методом ВЭЖХ на хроматографе 1260 Infinity II (“Agilent”, Германия) с колонкой Synergi 4u Hydro–RP 80A (250 × 4.6 мм), элюент 25 мМ NaH2PO4 и 5% ацетонитрила (рН 3.0), скорость потока 0.500 мл/мин, 25°С, детекция при 210 нм. После проведения реакционного цикла биокатализаторы отфильтровывали через бумажный фильтр (марки “белая лента” или “красная лента”), отмывали 0.1 М калий-фосфатным буфером (рН 7.2 ± 0.2) и использовали в следующем цикле.
Биокатализаторы на основе клеток A. faecalis 2, иммобилизованных в структуру геля альгината бария и агарозы, хранили 7 месяцев в разных условиях: 1) при комнатной температуре (22–25°С), гранулы предварительно высушены в термостате при 37°С; 2) при комнатной температуре (22–25°С) в буферном растворе; 3) в холодильной камере при 4–6°С в буферном растворе; 4) в морозильной камере при –20°С; 5) в морозильной камере при –80°С.
Операционную стабильность биокатализаторов после хранения оценивали по методу, приведенному выше.
Определение электропроводности раствора с иммобилизованными биокатализаторами. Электропроводность реакционной среды с биокатализаторами на основе иммобилизованных клеток R. erythropolis 4-1, R. erythropolis 11-2 и A. faecalis 2, включенных в структуру геля альгината бария и агарозы, оценивали по изменению проводимости раствора в результате трансформации 100 мМ АА в АК в 20 мл дистиллированной воды при 25°С. Измерение удельной электропроводности проводили на мультимониторе TDS/EC/Sal/Res SanXin SX650 (“SanXin Instrumentation”, Китай) сразу после добавления субстрата и через 10, 20, 30, 40, 50 и 60 мин.
Статистическая обработка результатов. Статистическая обработка результатов выполнена с помощью пакета программ Microsoft Excel 2013. Результаты представлены как среднее значение не менее чем трех независимых экспериментов ± стандартная ошибка среднего (M ± m, n = 3).
РЕЗУЛЬТАТЫ И ИХ ОБСУЖДЕНИЕ
Определение операционной стабильности иммобилизованного биокатализатора с амидазной активностью после долговременного хранения в различных условиях. Биоселектирующим агентом биосенсора на загрязняющие вещества могут быть иммобилизованные клетки микроорганизмов, обладающие соответствующей ферментативной активностью. При этом важно, чтобы такой биоселектирующий агент функционировал достаточно долго, был способен к многократному использованию и длительно хранился без потери ферментативной активности.
В процессе разработки прототипа биосенсора на акриламид были протестированы такие способы иммобилизации бактериальных клеток, как включение в структуру гелей, адгезия и получение биопленок на нерастворимом носителе. Ранее была изучена иммобилизация клеток амидазосодержащих бактерий A. faecalis 2 и R. erythropolis 4-1 с использованием термотропных и ионотропных гелей [22]. Показано, что клетки A. faecalis 2, включенные в структуру гелей агарозы и альгината бария, сохраняли амидазную активность в процессах гидролиза АА с образованием АК. Ранее было установлено, что иммобилизованные на активированном и неактивированном хитозане клетки R. erythropolis 4-1 и A. faecalis 2 значительно теряли свою ферментативную активность по сравнению с нативными клетками [23]. На основании этого для проведения дальнейших экспериментов в качестве матрицы для иммобилизации бактериальных клеток были выбраны гели агарозы и альгината бария.
Исходная амидазная активность неиммобилизованных клеток A. faecalis 2 составила 0.6 мкмоль/мг/мин. Амидазная активность после иммобилизации клеток в альгинате бария и агарозе составила 0.59 и 0.14 мкмоль/мг/мин соответственно (сохранение 98 и 23% активности неиммобилизованных клеток).
Операционная стабильность биокатализатора на основе клеток A. faecalis 2, включенных в структуру гелей агарозы и альгината бария, была определена после 7 мес хранения в следующих условиях: при 22–25°С после высушивания при 37°С, при 22–25°С в буферном растворе, при 4–6°С в буферном растворе, при –20 и при –80°С. После хранения определили амидазную активность биокатализатора и оценили возможность многоразового использования.
Амидазная активность высушенных биокатализаторов после хранения при комнатной температуре была ингибирована после второго цикла реакции. Установлено, что альгинатные гранулы после хранения при 22–25°С и 4–6°С со временем теряли механическую прочность и разрушались при проведении последовательных циклов реакции. Агарозные гранулы с иммобилизованными клетками в этих условиях не подвергались разрушению. Было показано, что оптимальным способом хранения биокатализаторов является их замораживание. При этом способе хранения исходная активность биокатализатора не снижалась на протяжении 7 циклов реакции. Отмечено, что использование агарозы в качестве матрицы для иммобилизованных биокатализаторов было предпочтительным по сравнению с альгинатом бария (табл. 1).
Таблица 1. Количество АК (мг/мг сухих клеток), образованной иммобилизованными клетками A. faecalis 2 в процессе последовательных реакций трансформации 100 мМ АА после 7 мес хранения в различных условиях
Цикл | АК, мг/мг сухих клеток | ||||
22–25°С | 4–6°С | –20°С | –80°С | ||
сухой | влажный | ||||
Иммобилизованные клетки в структуре геля альгината бария | |||||
1 | 0.32 ± 0.13 | 10.04 ± 1.38 | 12.55 ± 1.53 | 18.50 ± 0.001 | 18.23 ± 0.083 |
2 | 0.24 ± 0.07 | 8.63 ± 0.10 | 17.21 ± 0.28 | 19.80 ± 0.34 | 21.38 ± 0.91 |
3 | 0 | 8.76 ± 0.78 | 17.36 ± 0.013 | 18.0 ± 0.45 | 17.87 ±0.34 |
4 | 0 | 6.91 ± 0.07 | 16.99 ± 1.76 | 14.96 ± 0.37 | 20.01 ± 0.40 |
5 | 0 | 5.43 ± 0.65 | 17.67 ± 0.78 | 16.42 ± 0.53 | 22.76 ± 1.003 |
6 | 0 | 5.64 ± 0.04 | 17.81 ± 1.31 | 16.40 ± 0.42 | 18.95 ± 0.87 |
7 | 0 | 6.88 ± 0.87 | 17.45 ± 0.35 | 13.99 ± 0.80 | 17.87 ± 0.15 |
Иммобилизованные клетки в структуре геля агарозы | |||||
1 | 0 | 2.38 ± 0.37 | 7.66 ± 0.53 | 7.26 ± 0.11 | 11.20 ± 0.65 |
2 | 0.07 ± 0.014 | 2.14 ± 0.39 | 9.41 ± 0.86 | 7.41 ± 0.25 | 14.41 ± 1.39 |
3 | 0 | 1.93 ± 0.05 | 10.63 ± 0.77 | 10.14 ± 0.51 | 15.07 ± 1.73 |
4 | 0.07 ± 0.001 | 3.28 ± 0.036 | 8.65 ± 0.35 | 8.79 ± 0.30 | 10.91 ± 0.36 |
5 | 0 | 1.99 ± 0.12 | 6.88 ± 0.036 | 7.34 ± 0.48 | 10.13 ± 0.74 |
6 | 0.063 ± 0.003 | 1.94 ± 0.064 | 7.74 ± 0.45 | 7.93 ± 0.13 | 12.18 ± 1.16 |
7 | 0 | 2.27 ± 0.68 | 7.45 ± 0.30 | 6.12 ± 0.31 | 11.47 ± 0.84 |
Примечание: исходная амидазная активность неиммобилизованных клеток 0.6 мкмоль/мг/мин, амидазная активность сразу после иммобилизации в альгинате бария и агарозе 0.59 и 0.14 мкмоль/мг/мин соответственно. В одной пробе содержалось 3 мг клеток, иммобилизованных в структуре альгината бария, или 9 мг, иммобилизованных в агарозе.
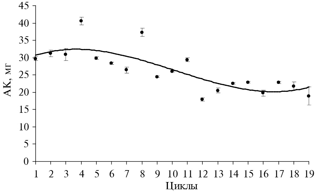
Операционная стабильность биокатализатора на основе клеток A. faecalis 2 с амидазной активностью, включенных в структуру геля альгината бария с углеродными нанотрубками. Чтобы повысить механическую прочность альгината бария, используемого для иммобилизации клеток, предложено использовать углеродные нанотрубки для создания “каркаса” в структуре геля. Амидазная активность A. faecalis 2 после иммобилизации в структуре геля альгината бария с углеродными нанотрубками составила 0.218 мкмоль/мг/мин (68% от активности неиммобилизованных клеток). Установлено, что после 20 циклов сохранялось 64% активности биокатализатора от проявляемой в первом цикле (рис. 1). Эти показатели незначительно уступали таковым, полученным для биокатализатора на основе клеток того же штамма, иммобилизованных в структуре альгината бария без наноуглерода [22]. Однако при длительной эксплуатации за счет увеличения механической прочности модифицированного носителя у такого биокатализатора (биоселектирующего агента) появлялись преимущества перед бактериальными клетками, иммобилизованными в структуре немодифицированного альгината бария.
Рис. 1. Операционная стабильность биокатализатора на основе клеток A. faecalis 2, включенных в структуру геля альгината бария с углеродными нанотрубками.
Операционная стабильность амидазной активности биопленок R. erythropolis 4-1, R. erythropolis 11-2 и A. faecalis 2 на ТРГ. ТРГ – это высокопористый материал, кристаллическая структура которого представляет собой термообработанный графит. Этот материал является перспективным для изготовления электродов, применяемых в различных целях, в том числе, в биосенсорах и микробных топливных элементах. Преимуществом ТРГ является пластичность и возможность формирования электродов различных размеров и форм, в том числе электродов толщиной не более 0.1 мм [24]. Клетки R. erythropolis 4-1, R. erythropolis 11-2 и A. faecalis 2 были иммобилизованы на ТРГ двумя способами: адгезией из выращенной культуры и выращиванием биопленок на поверхности материала. Биокатализаторы, приготовленные на основе адгезированных клеток R. erythropolis 4-1, R. erythropolis 11-2 и A. faecalis 2, оказались менее стабильными по сравнению с биопленками. Амидазная активность адгезированных на ТРГ клеток бактерий сохранялась на протяжении 7-ми циклов (рис. 2). При этом наибольшее количество акриловой кислоты синтезировали родококки – 4–7 мг на 0.5 г биокатализатора, наименьшее – A. faecalis 2 (1–2 мг). После проведения 7 циклов трансформации субстрата количество АК значительно снизилось, что может быть связано с десорбцией клеток и их вымыванием с носителя в результате многократного использования.
Рис. 2. Операционная стабильность биокатализаторов на основе клеток R. erythropolis 4-1 (1) и R. erythropolis 11-2 (2), адгезированных на ТРГ.
Определено количество АК, образующейся при проведении последовательных циклов трансформации АА биокатализаторами на основе биопленок R. erythropolis 4-1, R. erythropolis 11-2 и A. faecalis 2. Установлено, что амидазная активность биопленок R. erythropolis 11-2 и A. faecalis 2 на ТРГ сохранялась на протяжении 30 проведенных циклов, а R. erythropolis 4-1 – 5 циклов. Показано, что наибольшее количество АК образовывалось при трансформации АА биокатализатором на основе биопленок R. erythropolis 11-2 на 0.5 г ТРГ – 100–120 мг (рис. 3), а биокатализатором на основе A. faecalis 2 – 80–100 мг (рис. 4). Наименьшее количество кислоты (1–3 мг) продуцировали биопленки R. erythropolis 4-1.
Рис. 3. Операционная стабильность биокатализатора на основе биопленок R. erythropolis 11-2, выращенных на ТРГ.
Рис. 4. Операционная стабильность биокатализатора на основе биопленок A. faecalis 2, выращенных на ТРГ.
Таким образом, биопленки R. erythropolis 11-2 и A. faecalis 2 на ТРГ могут применяться для различных биотехнологических целей, в том числе использоваться в качестве биоселектирующего агента биосенсора. Ранее был разработан гетерогенный биокатализатор, гидролизующий амиды до соответствующих карбоновых кислот, на основе адгезированных на углеродных адсорбентах клеток родококков, обладающих активностью амидазы [20]. Биопленки A. faecalis 2, выращенные на минеральных и углеродных волокнистых материалах, предложены для использования в биофильтрах для очистки сточных вод, содержащих высокие концентрации АА [25].
Адсорбция относится к простому и дешевому способу иммобилизации микробных клеток, однако для этого метода характерно постепенное вымывание клеток при многократном использовании. Адсорбция может быть применима тогда, когда нет необходимости в длительной эксплуатации иммобилизованного биокатализатора и слабого прикрепления клеток к материалу носителя достаточно для проведения процесса. Адгезированные клетки прочнее закрепляются на поверхности носителя, чему способствуют внеклеточные полимерные вещества, выделяемые клеткой. Для биодетекции необходимо прочное прикрепление клеток к электроду, и в этом случае для получения биоселектирующего агента перспективно включение бактериальных клеток в структуру гелей или выращивание биопленок на материале электрода. Так, биосенсоры на основе бактериальных биопленок ранее были разработаны для определения биологического потребления кислорода [26, 27].
Разработка прототипа кондуктометрического биосенсора на акриламид. В работе предложен принцип биодетекции АА, основанный на определении электропроводности раствора при трансформации АА в АК иммобилизованными бактериальными клетками с амидазной активностью. Образующаяся в процессе биохимической реакции АК изменяла электропроводность раствора, тогда как АА не обладал таким свойством. Определенные показатели электропроводности растворов АК представлены на рис. 5. На основании аппроксимации экспериментальных точек с использованием программного пакета Microsoft Excel 2010 получено уравнение (1), позволяющее определить концентрацию акриловой кислоты в растворе:
x = (y – 0.2743)/0.0068. (1)
Рис. 5. Электропроводность растворов АК.
Определена удельная электропроводность водного раствора после трансформации АА в АК. Показано, что наибольшая разница в электропроводности раствора (410 мкСм/см за 1 ч) получена при трансформации АА клетками A. faecalis 2, иммобилизованными в структуре геля агарозы (табл. 2). Контролем являлись гранулы агарозы и альгината бария без бактериальных клеток с АА и иммобилизованные клетки без АА. Было установлено, что электропроводность раствора в последних двух вариантах не изменялась.
Таблица 2. Удельная электропроводность (мкСм/см) водного раствора при трансформации АА иммобилизованными биокатализаторами
Время, мин | Удельная электропроводность, мкСм/см | |||||||
A. faecalis 2, альгинат бария | A. faecalis 2, агароза | R. erythropolis 11-2, альгинат бария | R. erythropolis 4-1, альгинат бария | |||||
1 | 2 | 1 | 2 | 1 | 2 | 1 | 2 | |
0 | 29 | 55 | 150 | 60 | 17 | 60 | 15 | 32 |
10 | 30.2 | 83 | 152 | 172 | 17.1 | 75 | 15.5 | 46 |
20 | 30.4 | 112 | 152 | 265 | 17.5 | 88 | 16,9 | 55 |
30 | 30 | 139 | 152 | 332 | 18 | 103 | 17.4 | 62 |
40 | 30.5 | 167 | 151 | 390 | 18 | 113 | 17.9 | 71 |
50 | 31 | 210 | 151 | 450 | 18.1 | 119 | 18 | 80 |
60 | 31.4 | 240 | 151 | 470 | 19 | 124 | 18 | 85 |
Примечание: 1 – контроль (иммобилизованные клетки без АА), 2 – иммобилизованные клетки с АА.
Изучена динамика изменения электропроводности при трансформации 5–100 мМ АА в АК биоселектирующим агентом на основе клеток A. faecalis 2, иммобилизованных в структуре геля агарозы. Установлено, что в течение 1 ч увеличение электропроводности для всех изученных концентраций АА происходит линейно, предел определения составлял 10–3 М.
Иммобилизованные бактериальные клетки с амидазной активностью могут служить основой биоселектирующего агента при разработке прототипа кондуктометрического биосенсора. Такой анализатор, как кондуктометр, может быть использован для качественного определения АА в жидкостях. Он отличается простотой исполнения и незначительными затратами на изготовление и эксплуатацию. Биоселектирующим агентом могут являться бактериальные клетки с амидазной активностью, иммобилизованные в структуре гелей немодифицированного или модифицированного углеродными нанотрубками альгината бария, агарозы, либо выращенные в виде биопленок на ТРГ. Наилучшими характеристиками (изменение электропроводности растворов АА при контакте с биоселектирующим агентом, высокая операционная стабильность, механическая прочность) обладали клетки A. faecalis 2, иммобилизованные в структуре геля агарозы. Биоселектирующий агент на их основе способен долговременно храниться как во влажном состоянии при температуре от 4 до 25°С, так и при замораживании от –20 до –80°С. Время полужизни такого биоселектирующего агента составляло не менее 500 ч. В отличие от описанного в работе Сильва с соавт. [14] способа иммобилизации, который заключался в нанесении и высушивании суспензии предварительно обработанных 5%-ным глутаровым альдегидом клеток P. aeruginosa на мембранных дисках из полиэфирсульфона, нейлона и поликарбоната, предложены такие способы иммобилизации, как включение в гель агарозы и альгината бария, а также выращивание биопленок на ТРГ, которые позволят получить стабильный при эксплуатации и хранении биоселектирующий агент. Кроме того, предложено использование более простого и дешевого портативного анализатора и бактерий, в отличие от P. aeruginosa, не проявляющих потенциальной патогенности.
ФИНАНСИРОВАНИЕ. Работа выполнена в рамках государственного задания по теме “Биоразнообразие микроорганизмов в антропогенно-загрязненных экосистемах и функционально-генетические механизмы их адаптации к стрессовым условиям внешней среды”, регистрационный номер 124020500028-4.
СОБЛЮДЕНИЕ ЭТИЧЕСКИХ СТАНДАРТОВ. В данной работе отсутствуют исследования человека или животных.
КОНФЛИКТ ИНТЕРЕСОВ. Авторы данной работы заявляют, что у них нет конфликта интересов.
About the authors
E. M. Protasova
Perm Federal Research Center, Ural Branch, Russian Academy of Sciences
Email: yul_max@mail.ru
Institute of Ecology and Genetics of Microorganisms, Ural Branch, Russian Academy of Sciences
Russian Federation, Perm, 614081Yu. G. Maksimova
Perm Federal Research Center, Ural Branch, Russian Academy of Sciences; Perm State National Research University
Author for correspondence.
Email: yul_max@mail.ru
Institute of Ecology and Genetics of Microorganisms, Ural Branch, Russian Academy of Sciences
Russian Federation, Perm, 614081; Perm, 614990References
- Bedade D.K., Dev M.J., Singhal R.S. // Biochem. Eng. 2019. V. 149. 107245. https://doi.org/10.1016/j.bej.2019.107245
- Duda-Chodak A., Wajda Ł., Tarko T., Sroka P., Satora P. // Food Funct. 2016. V. 7. № 3. P. 1282–1295. https://doi.org/10.1039/c5fo01294e
- Kusnin N., Syed M.A., Ahmad S.A. // JOBIMB. 2015. V. 3. № 2. P. 6–12. https://doi.org/10.54987/jobimb.v3i2.273
- Лопушанская Е.М., Максакова И.Б., Крылов А.И. // Вода: Химия и Экология. 2017. № 10. С. 3–10.
- Hu Q., Xu X., Fu Y., Li Y. // Food Control. 2015. V. 56. P. 135–146. https://doi.org/10.1016/j.foodcont.2015.03.021
- Куликовский А.В., Вострикова Н.Л., Кузнецова О.А., Семенова А.А., Иванкин А.Н. // Аналитика и контроль. 2019. Т. 23. № 3. С. 393–400. https://doi.org/10.15826/analitika.2019.23.3.002
- Liu C., Luo F., Chen D., Qiu B., Tang X., Ke H., Chen X. // Talanta. 2014. V. 123. P. 95–100. https://doi.org/10.1016/j.talanta.2014.01.019.
- lgnatov O.V., Rogatcheva S.M., Kozulin S.V., Khorkina N.A. // Biosensors & Bioelertronics. 1997. V. 12. № 2. P. 105–111.
- Batra B., Lata S., Sharma M., Pundir C.S. // Anal. Biochem. 2013. V. 433. P. 210–217. https://doi.org/10.1016/j.ab.2012.10.026
- Krajewska A., Radecki J., Radecka H. // Sensors. 2008. V. 8. P. 5832–5844. https://doi.org/10.3390/s8095832
- Li D., Xu Y., Zhang L., Tong H. // Int. J. Electrochem. Sci. 2014. V. 9. P. 7217–7227. https://doi.org/10.1016/S1452-3981(23)10961-8
- Huang S., Lu S., Huang C., Sheng J., Zhang L., Su W., Xiao Q // Sensors and Actuators B. 2016. V. 224. P. 22–30. https://doi.org/10.1016/j.snb.2015.10.008
- Silva N., Gil D., Karmali A., Matos M. // Biocat. Biotrans. 2009. V. 27. № 2. P. 143–151. https://doi.org/10.1080/10242420802604964
- Silva N.A.F., Matos M.J., Karmali A., Rocha M.M. // Port. Electrochim. Acta. 2011. V. 29. № 5. P. 361–373. https://doi.org/10.4152/pea.201105361
- Решетилов А.Н., Плеханова Ю.В. Биосенсорные системы и топливные элементы на основе микробных клеток. В кн. Иммобилизованные клетки: биокатализаторы и процессы. / Ред. Е.Н. Ефременко. М.: РИОР, 2018. 499 с.
- Плеханова Ю.В., Решетилов А.Н. // Журнал аналитической химии. 2019. Т. 74. № 12. С. 883–901. https://doi.org/10.1134/S0044450219120090
- Michelini E., Roda A. // Anal. Bioanal. Chem. 2012. V. 402. P. 1785–1797. https://doi.org/10.1007/s00216-011-5364-x
- Решетилов А.Н. // Прикл. биохимия микробиология. 2015. Т. 51. № 2. С. 268–274. https://doi.org/10.7868/S055510991502018X
- Sharma M., Sharma N.N., Bhalla T.C. // Rev. Environ. Sci. Biotechnol. 2009. V. 8. P. 343–366. https://doi.org/10.1007/s11157-009-9175-x
- Максимова Ю.Г., Горбунова А.Н., Зорина А.С., Максимов А.Ю., Овечкина Г.В., Демаков В.А. // Прикл. биохимия микробиология. 2015. Т. 51. № 1. С. 53–58. https://doi.org/10.7868/S055510991406010519
- Демаков В.А., Васильев Д.М., Максимова Ю.Г., Павлова Ю.А., Овечкина Г.В., Максимов А.Ю. // Микробиология. 2015. Т. 84. № 3. С. 369–378. https://doi.org/10.7868/S0026365615030039
- Мочалова Е.М., Максимова Ю.Г. // Вестник Пермского университета. Серия биология. 2020. № 1. С. 26–32. https://doi.org/10.17072/1994-9952-2020-1-26-32
- Максимова Ю.Г., Якимова М.С., Максимов А.Ю. // Катализ в промышленности. 2019. Т. 19. № 1. С. 73–79. https://doi.org/10.18412/1816-0387-2019-1-73-79
- Китова А.Е., Колесов В.В., Решетилов А.Н. // Известия ТулГУ. Естественные науки. 2018. № 1. С. 9–16.
- Максимова Ю.Г., Васильев Д.М., Зорина А.С., Овечкина Г.В., Максимов А.Ю. // Прикл. биохимия микробиология. 2018. Т. 54, № 2. С. 158–164. https://doi.org/10.7868/S0555109918020058
- Понаморева O.H., Арляпов В.А., Алфёров В.А., Решетилов А.Н. // Прикл. биохимия микробиология. 2011. Т. 47. № 1. С. 5–15.
- Перчиков Р.Н., Арляпов В.А. // Известия ТулГУ. Естественные науки. 2023. № 1. С. 69–81. https://doi.org/10.24412/2071-6176-2023-1-69-81
Supplementary files







