Антиоксидантное действие карнозина и карнозиновых динитрозильных комплексов железа в условиях, моделирующих перекисное окисление биомолекул
- Авторы: Насыбуллина Э.И.1, Космачевская О.В.1, Шумаев К.Б.1, Топунов А.Ф.1
-
Учреждения:
- Федеральный исследовательский центр “Фундаментальные основы биотехнологии” Российской академии наук
- Выпуск: Том 60, № 5 (2024)
- Страницы: 465-474
- Раздел: Статьи
- URL: https://journals.rcsi.science/0555-1099/article/view/283877
- DOI: https://doi.org/10.31857/S0555109924050044
- EDN: https://elibrary.ru/QTVCXS
- ID: 283877
Цитировать
Полный текст
Аннотация
Проведено исследование общей антиоксидантной активности карнозина и карнозиновых динитрозильных комплексов железа (ДНКЖ). В качестве экспериментальной модели использовали систему, содержащую метмиоглобин (metMb) или гемин в сочетании с гидропероксидом трет-бутила (t-BOOH). С помощью метода люминол-зависимой хемилюминесценции было показано, что карнозин и карнозиновые ДНКЖ эффективно снижали уровень прооксидантов, образующихся при взаимодействии гемовых групп с t-BOOH. Кроме того, карнозин и карнозиновые ДНКЖ ингибировали образование диеновых конъюгатов, возникающих в ходе окисления арахидоновой кислоты в системе metMb―t-BOOH. В используемых реакционных системах антиоксидантное действие карнозиновых ДНКЖ было выше, чем у карнозина. Антиоксидантный эффект карнозина также зависел от присутствия ионов двухвалентного железа, добавленных в концентрации, эквивалентной их содержанию в ДНКЖ. Полученные результаты показали, что включение карнозина в качестве лигандов в нитрозильные комплексы железа усиливало его антиоксидантные свойства.
Полный текст
Карнозин (β-аланил-L-гистидин) – наиболее хорошо изученный гистидиновый дипептид (имидазолсодержащий дипептид), который синтезируется у многих позвоночных организмов. Гистидиновые дипептиды продуцируются в различных органах и тканях, причем их концентрация и состав варьируют в широких пределах [1]. Так, в высоких концентрациях карнозин содержится в сердечных и скелетных мышцах [2]. Также он обнаружен в мозге, в тканях пищеварительной системы и в почках. Для этого дипептида описано множество физиологических функций [1, 3]. Он поддерживает рН в скелетных мышцах, продуцирующих высокие уровни молочной кислоты во время анаэробного гликолиза [4]. В нейронах обонятельных рецепторов карнозин может играть роль нейромодулятора [5, 6]. Также известно, что карнозин регулирует ферменты энергетического обмена: фруктозо-1,6-бисфосфатазу (КФ 3.1.3.11) и фосфорилазы a и b (две формы гликогенфосфорилазы, КФ 2.4.1.1) [7]. В дополнение к этим функциям карнозин известен как потенциальный антиоксидант и антигликирующий агент [1, 3, 8, 9].
Карнозин является хорошим хелатором ионов железа, меди и цинка, удаляет активные формы кислорода и азота, образует аддукты с токсичными электрофильными α,β-ненасыщенными альдегидами [8, 10, 11, ]. Благодаря этим свойствам карнозин может защищать клетки от окислительного повреждения и замедлять их старение [12, 13]. В настоящее время на основе карнозина производят терапевтические средства (биологически активные добавки) для повышения работоспособности при физических нагрузках, замедления старения, иммуномодуляции, для профилактики и лечения диабета, а также неврологических расстройств [6, 13].
Карнозин является потенциальным терапевтическим средством при сердечно-сосудистых и онкологических заболеваниях, сахарном диабете второго типа, нейродегенеративных расстройствах [3, 12, 14, 15]. Имеются доказательства защиты карнозином нейронов при ишемии/реперфузии [6, 16]. Считается, что основной механизм такого действия карнозина связан с металлохелатирующей способностью, поскольку именно ионы металлов являются частой причиной нейродегенеративных процессов [12, 17]. Кроме этого, было продемонстрировано антифиброзное действие этого дипептида [18]. Много работ посвящено изучению противоопухолевой активности карнозина. По данным доклинических исследований, карнозин уменьшает размер раковых клеток и их жизнеспособность [19].
Для повышения устойчивости карнозина к действию гидролизующего фермента карнозиназы (аминоацил-гистидиндипептидаза, КФ 3.4.13.3) его различными способами модифицируют, например, получают OH- или NH-связанные конъюгаты с циклодекстрином и гиалуроновой кислотой [20, 21]. Комплексы карнозина, конъюгированного гиалуроновой кислотой, с ионами Cu2+ имитировали действие Cu, Zn-супероксиддисмутазы (SOD1, КФ 1.15.1.1) [21].
Ведутся исследования по созданию на основе карнозина соединений с терапевтическим потенциалом, которые совмещают полезную функцию пептида и конъюгирующего фрагмента. К таким соединениям относят аналоги карнозина, способные выступать в качестве доноров оксида азота (NO•) [22]. Карнозинамиды, содержащие NO-донорные группы, интересны как терапевтическое средство для лечения широкого спектра хронических сосудистых и нейродегенеративных заболеваний, при которых биодоступность NO• снижена. Эти соединения защищают от ишемии/реперфузии in vivo, обладают антиоксидантной активностью in vitro, а также вазодилататорным действием на фрагментах аорты крысы [22].
Кроме того, к NO-донорным физиологическим производным карнозина можно отнести динитрозильные комплексы железа (ДНКЖ), в которых карнозин является лигандом. “Карнозиновые” ДНКЖ были получены ранее в работе [23]. На модельной системе, содержавшей гидропероксид трет-бутила, были получены данные о наличии у этих комплексов антиоксидантных и антирадикальных свойств [24].
Цель настоящей работы – более детально изучить антиоксидантное и антирадикальное действие карнозиновых ДНКЖ в условиях, моделирующих перекисное окисление в живых системах.
МЕТОДИКА
В работе были использованы следующие реактивы: гемин, метмиоглобин из скелетных мышц кашалота, L-карнозин (в дальнейшем будем называть его просто “карнозин”), 5-амино-1,2,3,4-тетрагидро-1,4-талазиндион (люминол), гидропероксид трет-бутила (t-BOOH), арахидоновая кислота, HEPES, NaNO2, FeSO4, KH2PO4, K2HPO4 – все реактивы “Sigma-Aldrich” (США).
ДНКЖ с фосфатными лигандами (ДНКЖ-PO4−) синтезировали, как описано в работе [25], пропуская в сосуде Тунберга газообразный NO· через раствор FeSO4 (5 мМ) в 100 мМ фосфатном буфере (рН 7.0). В результате возникали ДНКЖ, включавшие в себя все введенное железо, NO и анионы фосфата в качестве лигандов. ДНКЖ, связанные с карнозином, получали, добавляя ДНКЖ-PO4− к раствору карнозина в молярном соотношении 1 : 2. Образование этих комплексов контролировали с помощью спектроскопии электронного парамагнитного резонанса (ЭПР). На рис. 1 приведены характерные спектры ЭПР фосфатных и карнозиновых ДНКЖ.
Рис. 1. Превращение ДНКЖ с фосфатными лигандами в карнозиновые ДНКЖ: а – схема образования карнозиновых ДНКЖ при замещении фосфатных лигандов комплексов карнозином; б – спектры ЭПР фосфатных (1) и карнозиновых (2) ДНКЖ.
Спектроскопия электронного парамагнитного резонанса. Спектры ЭПР регистрировали при комнатной температуре (25°C) на спектрометре Е109Е фирмы “Varian” (США). Объем образца, который помещали в резонатор спектрометра – 80 мкл. Образцы перед измерением помещали в газопроницаемые тефлоновые капилляры PTFE 22 (“Zeus Industrial Products”, США). Условия регистрации: СВЧ мощность 10 мВт, СВ частота 9.15 ГГц, амплитуда высокочастотной модуляции 0.1 мТл. Спектры карнозиновых ДНКЖ записывали через 8 мин после смешивания фосфатных ДНКЖ и карнозина в конечной концентрации 4 и 8 мМ соответственно.
Измерение диеновых конъюгатов арахидоновой кислоты. Диеновые конъюгаты – первичные продукты окисления арахидоновой кислоты, индуцированного реакцией metMb с t-BOOH, измеряли по величине оптического поглощения при 234 нм. Реакционная смесь содержала 3.3 мМ арахидоновой кислоты, 0.02 мМ миоглобина, 0.06 мМ t-BOOH, L-карнозин или карнозиновые ДНКЖ в 60 мМ К-фосфатном буфере (рН 7.4). Конечная концентрация как свободного, так и связанного в комплексах карнозина была 0.1 или 1.0 мМ в разных вариантах опытов, ДНКЖ, соответственно, в два раза меньше – 0.05 и 0.5 мМ. FeSO4 во всех экспериментах добавляли до концентрации, эквивалентной содержанию железа в ДНКЖ. Кинетику образования диеновых конъюгатов регистрировали в течение 80 мин при 37°С.
Люминол-зависимая хемилюминесценция. Образование прооксидантов в реакции metMb или гемина с t-BOOH оценивали методом хемилюминесценции, используя в качестве активатора люминол. Регистрацию хемилюминесценции осуществляли на хемилюминесцентном анализаторе Lum-5773 (“DISoft”, Россия). Время от смешения всех компонентов реакционной смеси до регистрации хемилюминесценции не превышало 3 с. Регистрацию кинетики продолжали при постоянном перемешивании и термостатировании при 37°С. Для количественной оценки хемилюминесценции использовали ее светосумму в течение 2500 с. Светосумму рассчитывали по площади под кинетической кривой. Состав реакционной среды был следующий: 0.02 мМ metMb в 60 мМ фосфатном буфере (pH 7.4), 2 мМ люминола, 0.06 мМ t-BOOH. Карнозин, в том числе в составе ДНКЖ, добавляли до конечных концентраций 0.1 или 1 мМ. Концентрация самих ДНКЖ и FeSO4 составляла 0.05 и 0.5 мМ соответственно, поскольку в комплексе железо координировано с двумя карнозиновыми лигандами.
РЕЗУЛЬТАТЫ И ИХ ОБСУЖДЕНИЕ
Взаимодействие карнозина и карнозиновых ДНКЖ с прооксидантами, образующимися в реакциях между гемом и гидропероксидом трет-бутила. Известно, что взаимодействие гемовых групп с различными гидропероксидами играет важную роль в развитии окислительного стресса [26–28]. В мышечной ткани в таких реакциях может участвовать миоглобин, что может приводить к развитию рабдомиолиза. Антиоксидантное действие карнозина и карнозиновых ДНКЖ изучали в модельной системе, содержавшей метмиоглобин и гидропероксид трет-бутила (metMb―t-BOOH). Считается, что в этих условиях протекают следующие реакции [24, 26]:
порфирин-Fe(III) + t-BOOH → •+порфирин-Fe(IV)=O + t-BOH (1),
порфирин-Fe(III) + t-BOOH → порфирин-Fe(IV)=O + t-BO• + H+ (2),
•+порфирин-Fe(IV)=O + t-BOOH → порфирин-Fe(IV)=O + t-BOO• + H+ (3),
порфирин-Fe(IV)=O + t-BOOH → порфирин-Fe(III) + t-BOO• + OH— (4).
В этих реакциях продуцируются такие прооксиданты, как свободные радикалы − производные t-BOOH (t-BO•, t-BOO•), а также перферрильная (•+порфирин-Fe(IV)=O) и оксоферрильная (порфирин-Fe(IV)=O) формы гемовой группы.
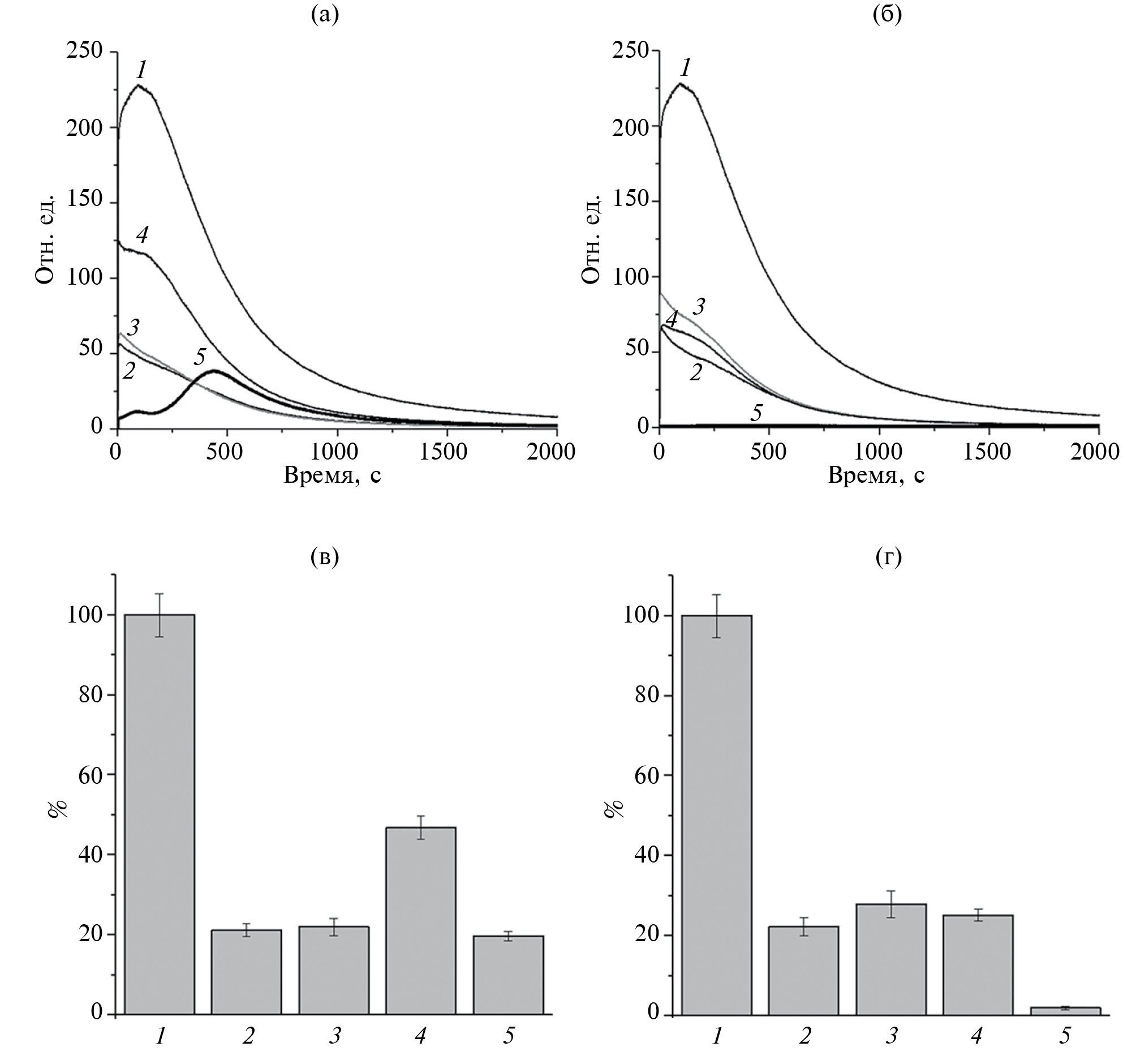
В наших экспериментах продукцию свободных радикалов и других прооксидантов регистрировали методом люминол-зависимой хемилюминесценции. Конечная концентрация как свободного, так и связанного с ДНКЖ карнозина составляла 0.1 (рис. 2а, 2в) или 1 мМ (рис. 2б, 2г), концентрация самих ДНКЖ и FeSO4 в образцах была 0.05 или 0.5 мМ соответственно. Представленные на рис. 2 данные показывают, что карнозин и карнозиновые ДНКЖ в значительной степени снижали уровень прооксидантов в исследуемой системе (рис. 2а и 2б, кривые 3 и 5), причем антиоксидантный эффект ДНКЖ превосходил таковой карнозина. Это видно как по снижению максимума выхода хемилюминесценции в присутствии комплексов, так и по смещению кривой вправо (рис. 2а и 2б, кривая 5), то есть появлению выраженной лаг-фазы на этой кривой. При концентрации 1 мМ карнозиновые ДНКЖ полностью подавляли хемилюминесценцию (рис. 2б, кривая 5).
Рис. 2. Влияние карнозина, карнозиновых ДНКЖ и Fe2+ на кинетику (а, б) и светосумму (в, г) люминол-зависимой хемилюминесценции (%). За 100% принята светосумма в контрольном образце. Контроль – реакционная смесь без добавок (1), с добавлением: FeSO4 (2), карнозина (3), карнозина + FeSO4 (4), карнозиновых ДНКЖ (5).
Полученные результаты также представлены в виде светосуммы хемилюминесценции (рис. 2в и 2г). Добавление 0.1 мМ карнозина совместно с ионами Fe2+ приводило к уменьшению светосуммы хемилюминесценции на 55% в отличие от 80%-ного снижения при добавлении карнозина и карнозиновых ДНКЖ (рис. 2в). Карнозиновые ДНКЖ в концентрации 0.5 мМ (1 мМ по карнозину) уменьшают светосумму на 96% (рис. 2г, столбец 5).
Ионы Fe2+ добавляли для индукции реакции Фентоновского типа, в которой также продуцируются алкоксильные радикалы:
t-BOOH + Fe2+ → t-BO• + OH– + Fe3+ (5).
Нужно отметить, что в реакционной смеси с ДНКЖ ионы железа могут высвобождаться в ходе распада этих комплексов. Однако в экспериментах ионы Fe2+ ингибировали люминол-зависимую хемилюминесценцию в реакционной системе metMb―t-BOOH (рис. 2). Действительно, имеются исследования, в которых показано, что Fe2+ может восстанавливать радикалы t-BO• [29] и в определенных концентрациях действовать как антиоксидант [30].
Данные, представленные на рис. 3, показывают, что при замене metMb гемином карнозин и карнозиновые ДНКЖ также ингибируют хемилюминесценцию, что указывает на их способность перехватывать прооксиданты, образующиеся в реакциях 1–4 при участии свободного гема. Карнозиновые ДНКЖ, как и в системе metMb―t-BOOH, были эффективнее свободного карнозина (рис. 3а и 3б, кривые 3 и 5). Следует отметить, что в большинстве экспериментов интенсивность хемилюминесценции в системе metMb ― t-BOOH была заметно выше, чем в системе с гемином. Вместе с тем, в отличие от системы с metMb, добавление ионов Fe2+ к системе гемин ― t-BOOH приводило к росту интенсивности хемилюминесценции (рис. 3а и 3б, кривые 2). Как и в экспериментах с metMb, конечная концентрация как свободного, так и связанного с ДНКЖ карнозина составляла 0.1 (рис. 3а) или 1 мМ (рис. 3б); концентрация ДНКЖ и FeSO4 в образцах была 0.05 или 0.5 мМ соответственно.
Рис. 3. Влияние карнозина, карнозиновых ДНКЖ и ионов Fe2+ на кинетику люминол-зависимой хемилюминесценции (отн. ед.) в системе гемин ― t-BOOH при различных концентрациях связанного в комплексах карнозина 0.1 (а) или 1 мМ (б). 1 – контроль, реакционная смесь без добавок; 2 – (1) + FeSO4; 3 – (1) + карнозин; 4 – (1) + карнозин+ + FeSO4; 5 – (1) + карнозиновые ДНКЖ.
Наряду с реакциями 1–4 в системе metMb― t-BOOH происходит одноэлектронное окисление аминокислотных остатков метмиоглобина перферрильной и оксоферильной формами гема [27, 28]. В этих условиях образуются ассоциированные с белковой цепью свободные радикалы, которые, по-видимому, вносят существенный вклад в люминол-зависимую хемилюминесценцию. Можно предположить, что Fe2+ восстанавливает такие свободные радикалы, с чем и связано его антиоксидантное действие в системе metMb―t-BOOH. С другой стороны, в системе с гемином свободные ионы Fe2+ проявляют прооксидантные свойства. С высказанным предположением согласуется тот факт, что карнозин как хелатор ионов железа, влияет на эти процессы. Так, введение в систему гемин―t-BOOH совместно с Fe2+ карнозина ингибировало хемилюминесценцию (рис. 3а и 3б, кривые 4), тогда как в аналогичном эксперименте в системе metMb ― t-BOOH, напротив, происходит ее усиление (рис. 2а, 2в). Существенно, что эти эффекты наблюдались при концентрациях карнозина и Fe2+ 0.1 и 0.05 мМ соответственно. В присутствии высоких концентраций карнозина и Fe2+ в обоих реакционных системах ингибирование хемилюминесценции было почти таким же, как и при действии одного карнозина.
Влияние карнозина и карнозиновых ДНКЖ на перекисное окисление арахидоновой кислоты. Способность карнозина ингибировать перекисное окисление липидов (ПОЛ) была показана в различных модельных системах [11, 31]. В предыдущих работах было показано, что глутатионовые ДНКЖ также ингибируют ПОЛ [32]. Основываясь на этих фактах, было проведено сравнительное изучение действия карнозина и карнозиновых ДНКЖ на окисление арахидоновой кислоты (омега-6-ненасыщенная жирная кислота), индуцированное прооксидантами, образующимися в реакции metMb с t-BOOH. В литературе описаны сходные модельные системы ПОЛ, содержавшие арахидоновую кислоту, metMb и пероксид водорода [28]. На рис. 4 представлена схема цепных реакций перекисного окисления арахидоновой кислоты.
Рис. 4. Схема реакций свободнорадикального перекисного окисления арахидоновой кислоты в системе metMb―t-BOOH.
Регистрировали первичные продукты ПОЛ ― диеновые конъюгаты, которые являются гидропероксидами липидов с сопряженными двойными связями. Как уже отмечалось, карнозиновые ДНКЖ могут быть источниками ионов Fe2+, которые участвуют в реакциях разветвления цепи ПОЛ (рис. 4). Эта реакция аналогична реакции 5 и приводит к образованию алкоксильного радикала жирной кислоты (LO•). В связи с этим, были поставлены эксперименты с карнозином и ионами Fe2+, добавленными в концентрации, эквивалентной содержанию железа в ДНКЖ.
Вначале было исследовано действие различных концентраций карнозина и карнозиновых ДНКЖ. Комплексы, добавленные в концентрации 0.1 мМ, практически полностью (на 95%) подавляли образование первичных продуктов ПОЛ (рис. 5а). В то же время ингибирующий эффект карнозина составлял 65%, а в сочетании с ионами железа ― 55%. При концентрации карнозина и карнозиновых лигандов ДНКЖ, равной 1 мМ (концентрация ДНКЖ 0.5 мМ), образование диеновых коньюгатов снижалось примерно на 80 % (рис. 5а). На рис. 5б приведены кинетики накопления диеновых коньюгатов в реакционной смеси. Видно, что в присутствии исследуемых соединений уровень первичных продуктов окисления полиненасыщенных жирных кислот перестал расти через 15 мин, в контрольном образце их накопление продолжалось около 80 мин.
Рис. 5. Образование диеновых конъюгатов в ходе окисления арахидоновой кислоты (3.3 мМ) в системе metMb― t-BOOH: а – влияние различных концентраций карнозина (1), карнозина + Fe2+ (2) и карнозиновых ДНКЖ (3) на уровень диеновых конъюгатов, образовавшихся за 80 мин реакции (за 100 % принимали уровень в контроле); б – кинетики накопления диеновых конъюгатов в смеси с карнозином, карнозиновыми ДНКЖ и Fe2+; контроль, смесь без добавок (1), с добавлением: карнозина (2), FeSO4 (3), карнозиновых ДНКЖ (4).
На рис. 6 представлены данные о начальной скорости образования диеновых конъюгатов. Наименьшая скорость была в образцах, содержащих карнозиновые ДНКЖ (примерно в 10 раз меньше, чем в контроле). Карнозин также достаточно эффективно снижал начальную скорость формирования первичных продуктов ПОЛ (рис. 6, 3), тогда как при сочетании карнозина с Fe2+ скорость была такая же, как и в контроле (рис. 6, 4). Эти данные коррелируют с уровнем диеновых конъюгатов, образованных к 80 мин реакции. Добавка Fe2+ к контрольному образцу увеличивала скорость реакции окисления арахидоновой кислоты на 30% (рис. 6, 2), что подтвердило участие ионов железа в качестве инициаторов ПОЛ в исследуемой системе (рис. 4). Как видно из представленных данных, прооксидантный эффект Fe2+ снижается как при сочетании его с карнозином, так и при включении в состав ДНКЖ.
Рис. 6. Начальная скорость образования диеновых конъюгатов (ед./мин) в ходе окисления арахидоновой кислоты в системе metMb ― t-BOOH. Контроль, реакционная смесь без добавок (1), с добавлением: FeSO4 (2), карнозина (3), карнозина + FeSO4 (4), карнозиновых ДНКЖ (5).
Исследование антиоксидантной функции гистидиновых дипептидов началось еще в 1980 гг. XX века. За время этих исследований было показано, что гистидиновые дипептиды перехватывают супероксидные анион-радикалы (O2•−) [10], гидроксильный радикал (HO•) [33], пероксильные радикалы [11, 31], активные производные оксида азота [34], в том числе пероксинитрит (ONOO–) [35] и хлорноватистую кислоту (HClO) [36]. Однако по антиоксидантной активности гистидиновые дипептиды уступают таким эндогенным водорастворимым антиоксидантам, как глутатион и аскорбат [8].
Интересные результаты были получены при изучении окисленного производного карнозина – 2-оксо-карнозина. По антиоксидантной активности 2-оксо-карнозин оказался значительно эффективнее глутатиона, аскорбата и самого карнозина [2, 37]. Аналогичная модификация других гистидиновых дипептидов (гомокарнозина и ансерина) также усиливала их антиоксидантные свойства.
Антиоксидантные свойства гистидиновых дипептидов, помимо улавливания свободных радикалов, также могут быть обусловлены способностью имидазольного кольца дипептида связывать ионы редокс-активных металлов [10, 11]. Однако механизмы антиоксидантного действия гистидиновых дипептидов до конца не выяснены. В связи с этим особый интерес представляют ДНКЖ, в лигандную сферу которых входит карнозин [23]. Проведенное ранее изучение антиоксидантной активности карнозиновых ДНКЖ выявило, что эти комплексы перехватывают свободные радикалы, возникающие при распаде t-BOOH, и супероксидный анион-радикал, образующийся в ферментативной системе ксантин-ксантиноксидаза [24]. Также показано, что они восстанавливают оксоферрильную форму гемовой группы миоглобина.
Одним из возможных объяснений антиоксидантных свойств ДНКЖ в реакционных системах, содержавших гидропероксид трет-бутила, metMb или гемин, может быть взаимодействие этих комплексов с оксоферрильной и перферрильной формами гема.
Для тестирования антиоксидантного действия карнозина и карнозиновых ДНКЖ мы использовали систему перекисного окисления арахидоновой кислоты, индуцируемую продуктами реакции миоглобина с органической гидроперекисью. Это было обусловлено как физиологической важностью, так и высоким содержанием арахидоновой кислоты (в скелетных мышцах она составляет 15–17% от всех жирных кислот). Кроме того, она входит в состав фосфолипидов плазматических мембран, а нитроарахидоновая кислота, образующаяся в реакции алкилперекисного радикала с оксидом азота (см. реакцию 9), обладает сигнальным действием. Карнозин и миоглобин также содержатся в мышцах в большом количестве.
Было показано антиоксидантное действие как карнозина, так и карнозиновых ДНКЖ в данной системе, причем карнозиновые ДНКЖ оказались более эффективными антиоксидантами, чем карнозин. Также была установлена зависимость антиоксидантного эффекта (подавление образования диеновых коньюгатов) от концентрации исследуемых соединений (рис. 5а). С увеличением концентрации, антиоксидантное действие карнозина возрастало, а у комплексов, наоборот, снижалось. Это может быть связано c высвобождением при распаде ДНКЖ ионов Fe2+, участвующих в генерации свободных радикалов (реакция 5 и реакция разветвления цепи ПОЛ на рис. 4). Хорошо известно, что в системах, моделирующих ПОЛ, ионы Fe2+ в низких концентрациях (менее 50 мкМ) проявляют прооксидантные свойства, а при более высоких концентрациях – ингибируют процессы свободнорадикального окисления [30], что согласовывалось с полученными нами данными.
Обнаруженное в присутствии Fe2+ в реакционной смеси подавление люминол-зависимой хемилюминесценции карнозином (рис. 3а, 3б) согласовывалось с результатами работы [38], в которой было показано, что карнозин обладал значительной антиоксидантной активностью, особенно в присутствии ионов переходных металлов.
Антиоксидантные свойства карнозиновых ДНКЖ могут быть обусловлены комплексным действием трех составляющих: 1) карнозиновыми лигандами, 2) оксидом азота, 3) ионами Fe2+. Антиоксидантное действие карнозина было неоднократно показано [9–11, 15, 31, 36]. Есть данные, что активным элементом дипептида является имидазольное кольцо гистидина [39]. Также существенный вклад вносит способность карнозина хелатировать Fe2+ и Cu2+ [10, 11]. Антиоксидантное действие NO• в реакциях ПОЛ показано в различных системах in vitro и in vivo [29, 40, 41]. Ранее также неоднократно были описаны возможные механизмы антиоксидантного и антирадикального действия ДНКЖ с различными природными лигандами [25, 32, 42]. Так, свободный NO• и NO-лиганды ДНКЖ могут обрывать цепные реакции ПОЛ. Нельзя исключить, что карнозиновые ДНКЖ являются донорами нитроксила (HNO), который также является эффективным антиоксидантом [43, 44]. Известно, что ДНКЖ с азотсодержащим гетероциклическим лигандом 3-метилпиразолом спонтанно высвобождают HNO [45]. Способность NO• и HNO ингибировать ПОЛ можно описать следующими реакциями:
L• + HNO → LH + NO• (7),
LOO• + HNO → LOOH + NO• (8),
LOO• + NO• → LOONO →
→ [LO• + NO2•] → LONO2 (9),
LO• + NO• → LONO (10),
где LO• – алкоксильный радикал липида, LOO• – пероксильный радикал липида, LONO и LONO2 – нитролипиды, LOONO – органический пероксинитрит.
Наконец, в случае карнозиновых ДНКЖ можно предположить еще один дополнительный механизм, связанный с окислением гистидина реакционно-активными интермедиатами, возникающими внутри комплексов при взаимодействии NO-лигандов с кислородом и некоторыми свободными радикалами [32, 46]. Как уже отмечалось выше, в ходе окисления имидазольного кольца карнозина образуется 2-оксогистидин, обладающий высокой антиоксидантной активностью [47].
Высокая концентрация карнозина в тканях c активным окислительным метаболизмом (мышцы и мозг) позволяет предположить, что одна из функций этого дипептида связана с ингибированием свободнорадикальных реакций [10, 12]. Так, показано, что карнозин, гомокарнозин и анзерин замедляют дегенеративные процессы, запускаемые свободными радикалами.
В заключение следует отметить, что наличие антиоксидантной функции у гистидиновых дипептидов послужило предпосылкой для их использования в лечении и профилактики различных заболеваний, связанных с окислительным и карбонильным стрессом (нейродегенеративные и онкологические заболевания, диабет, катаракта) [1, 3, 6, 8, 12]. Полученные в данной работе результаты могут быть полезны для понимания биохимической роли гистидиновых дипептидов. Так, обнаруженное антиоксидантное действие карнозиновых ДНКЖ предполагает существование новых механизмов, посредством которых этот дипептид влияет на окислительную модификацию и свободно-радикальное окисление биомолекул в живых системах. В данном случае можно говорить о том, что имидазол карнозина и NO-лиганд ДНКЖ взаимно усиливают антиоксидантное действие комплекса.
ФИНАНСИРОВАНИЕ. Исследование выполнено за счет гранта Российского научного фонда (Russian Science Foundation) № 24-24-00210.
СОБЛЮДЕНИЕ ЭТИЧЕСКИХ СТАНДАРТОВ. Настоящая работа выполнена без привлечения людей или животных в качестве объектов исследований.
КОНФЛИКТ ИНТЕРЕСОВ. Авторы заявляют об отсутствии конфликта интересов.
Об авторах
Э. И. Насыбуллина
Федеральный исследовательский центр “Фундаментальные основы биотехнологии” Российской академии наук
Email: aftopunov@yandex.ru
Институт биохимии им. А.Н. Баха
Россия, Москва, 119071О. В. Космачевская
Федеральный исследовательский центр “Фундаментальные основы биотехнологии” Российской академии наук
Email: aftopunov@yandex.ru
Институт биохимии им. А.Н. Баха
Россия, Москва, 119071К. Б. Шумаев
Федеральный исследовательский центр “Фундаментальные основы биотехнологии” Российской академии наук
Email: aftopunov@yandex.ru
Институт биохимии им. А.Н. Баха
Россия, Москва, 119071А. Ф. Топунов
Федеральный исследовательский центр “Фундаментальные основы биотехнологии” Российской академии наук
Автор, ответственный за переписку.
Email: aftopunov@yandex.ru
Институт биохимии им. А.Н. Баха
Россия, Москва, 119071Список литературы
- Boldyrev A.A., Aldini G., Derave W. // Physiol. Rev. 2013. V. 93. P. 1803–1845.
- Ihara H., Kakihana Y., Yamakage A., Kai K., Shibata T., Nishida M., Yamada K.I., Uchida K. // J. Biol. Chem. 2019. V. 294. P. 1279–1289.
- Caruso G., Pietro L.D., Cardaci V., Maugeri S., Caraci F. // Curr. Res. Pharmacol. Drug Discov. 2023. V. 4. e100153. https://doi.org/10.1016/j.crphar.2023.100153
- Abe H. // Biochemistry (Moscow). 2000. V. 65. № 7. P. 757–765.
- De Marchis S., Modena C., Peretto P., Migheli A., Margolis F.L., Fasolo A. // Biochemistry (Moscow). 2000. V. 65. № 7. P. 824–833.
- Berezhnoy D.S., Stvolinsky S.L., Lopachev A.V., Devyatov A.A., Lopacheva O.M., Kulikova O.I. et al. // Amino Acids. 2019. V. 51. № 1. P. 139–150.
- Ikeda T., Kimura K., Hama T., Tamaki N. // J. Biol. Chem. 1980. V. 87. P. 179–185.
- Abdelkader H., Longman M., Alany R.G., Pierscionek B. // Oxid. Med. Cell. Longev. 2016. V. 2016. e3240261. https://doi.org/10.1155/2016/3240261
- Malathy D., Anusha D., Karthika K., Punnagai K. // J. Clin. Diagn. Res. 2023. V. 17. № 7. P. FC01–FC05.
- Klebanov G.I., Teselkin Yu.O., Babenkova I.V., Lyubitsky O.B., Rebrova O.Yu., Boldyrev A.A., Vladimirov Yu.A. // Membr. Cell Biol. 1998. V. 12. № 1. P. 89–99.
- Decker E.A., Livisay S.A., Zhou S. // Biochemistry (Moscow). 2000. V. 65. № 7. P. 766–770.
- Banerjee S., Poddar M.K. // Archives of Gerontology and Geriatrics. 2020. V. 91. e104239. https://doi.org/10.1016/j.archger.2020.104239
- Babizhayev M.A., Yegorov Y.E. // Recent. Pat. Drug. Deliv. Formul. 2015. V. 9. № 1. P. 1–64.
- Menini S., Iacobini C., Fantauzzi C.B., Pugliese G. // Curr. Med. Chem. 2020. V. 27. № 11. P. 1744–1763.
- Solana-Manrique C., Sanz F.J., Martínez-Carrión G., Paricio N. // Antioxidants. 2022. V. 11. № 5. e848. https://doi.org/10.3390/antiox11050848
- Tabakman R., Lazarovici P., Kohen R. // J. Neurosci. Res. 2002. V. 68. P. 463–469.
- Kosmachevskaya O.V., Novikova N.N., Yakunin S.N., Topunov A.F. // Biochemistry (Moscow). 2024. V. 89. Suppl. 1. P. S180–S204.
- Berdaweel I.A., Monroe T.B., Alowaisi A.A., Mahoney J.C., Liang I.-C., Berns K.A., et al. // Front. Pharmacol. 2024. V. 14. e1275388. https://doi.org/10.3389/fphar.2023.1275388
- Maugeri S., Sibbitts J., Privitera A., Cardaci V., Di Pietro L., Leggio L. et al. // Cells. 2023. V. 12. № 22. e2592. https://doi.org/10.3390/cells12222592
- Bellia F., Amorini A.M., La Mendola D., Vecchio G., Tavazzi B., Giardina B., et al. // Eur. J. Med. Chem. 2008. V. 43. № 2. P. 373–380.
- Bellia F., Lanza V., Naletova I., Tomasello B., Ciaffaglione V., Greco V. et al. // Antioxidants. 2023. V. 12. № 8. e1632. https://doi.org/10.3390/antiox12081632
- Bertinaria M., Rolando B., Giorgis M., Montanaro G., Marini E., Collino M., Benetti E., Daniele P.G., Fruttero R., Gasco A. // Eur. J. Med. Chem. 2012. V. 54. P. 103–112.
- Shumaev K.B., Kosmachevskaya O.V., Nasybullina E.I., Gromov S.V., Novikov A.A., Topunov A.F. // J. Biol. Inorg. Chem. 2017. V. 22. № 1. P. 153–160.
- Shumaev K.B., Kosmachevskaya O.V., Nasybullina E.I., Ruuge E.K., Кalenikova E.I., Topunov A.F. // Int. J. Mol. Sci. 2023. V. 24. № 24. e17236. https://doi.org/10.3390/ijms242417236
- Shumaev K.B., Kosmachevskaya O.V., Timoshin A.A., Vanin A.F., Topunov A.F. // Methods Enzymol. 2008. V. 436. P. 445–461.
- Kagan V.E., Kozlov A.V., Tyurina Y.Y., Shvedova A.A., Yalowich J.C. // Antioxid. Redox Signal. 2001. V. 3. № 2. P. 189–202.
- Reeder B.J., Svistunenko D.A., Cooper C.E., Wilson M.T. // Antioxid. Redox Signal. 2004. V. 6. № 6. P. 954–966.
- Wilson M.T., Reeder B.J. // Molecular Aspects of Medicine. 2022. V. 84. e101045. https://doi.org/10.1016/j.mam.2021.101045
- Mihaljević B., Ražmem D. // Radiation Physics and Chemistry. 2003. V. 67. № 3–4. P. 269–274.
- Владимиров Ю.А., Проскурнина Е.В. // Успехи биологической химии. 2009. Т. 49. С. 341–388.
- Kang J.H., Kim K.S., Choi S.Y., Kwon H.Y., Won M.H., Kang T.C. // Mol. Cells. 2002. V. 13. № 3. P. 498–502.
- Shumaev K.B., Kosmachevskaya O.V., Grachev D.I., Timoshin A.A., Topunov A.F., Lankin V.Z., Ruuge E.K. // Biochemistry (Moscow), Supplement Series B: Biomedical Chemistry. 2021. V. 15. № 4. P. 313–319.
- Tamba M., Torreggiani A. // Int. J. Radiat. Biol. 1999. V. 75. P. 1177–1188.
- Nicoletti V.G., Santoro A.M., Grasso G., Vagliasindi L.I., Giuffrida M.L., Cuppari C., et al. // J. Neurosci. Res. 2007. V. 85. № 10. P. 2239–2245.
- Fontana M., Pinnen F., Lucente G., Pecci L. // Cell. Mol. Life Sci. 2002. V. 59. № 3. P. 546–551.
- Pattison D.I., Davies M.J. // Biochemistry. 2006. V. 45. № 26. P. 8152–8162.
- Kasamatsu S., Komae S., Matsukura K., Kakihana Y., Uchida K., Ihara H. // Antioxidants. 2021. V. 10. № 9. e1434. https://doi.org/10.3390/antiox10091434
- Mozdzan M., Szemraj J., Rysz J., Nowak D. // Basic Clin. Pharmacol Toxicol. 2005. Т. 96. № 5. P. 352–360.
- Peiretti G., Medana C., Visentin S., Giancotti V., Zunino V., Meineri G. // Food Chemistry. 2011. V. 126. № 4. P. 1939–1947.
- Gorbunov N.V., Tyurina Y.Y., Salama G., Day B.W., Claycamp H.G., Argyros G., Elsayed N.M., Kagan V.E. // Biochem. Biophys. Res. Commun. 1998. V. 244. № 3. P. 647–651.
- Hummel S.G., Fischer A.J., Martin S.M., Schafer F.Q., Buettner G.R. // Free Radic. Biol. Med. 2006. V. 40. № 3. P. 501–506.
- Kosmachevskaya O.V., Nasybullina E.I., Shumaev K.B., Novikova N.N., Topunov A.F. // Int. J. Mol. Sci. 2021. V. 22. № 24. e13649. https://doi.org/10.3390/ijms222413649
- Shoman M.E., Aly O.M. // Oxid. Med. Cell. Longev. 2016. V. 2016. e4018417. https://doi.org/10.1155/2016/4018417
- Kosmachevskaya O.V., Nasybullina E.I., Pugachenko I.S., Novikova N.N., Topunov A.F. // Antioxidants. 2022. V. 11. № 10. e2007. https://doi.org/10.3390/antiox11102007
- Tseng Y.-T., Chen C.-H., Lin J.-Y., Li B.-H., Lu Y.-H., Lin C.-H., et al.. // Chem. Eur. J. 2015. V. 21. P. 17570–17573.
- Lu S., Chiou T.-W., Li W.-L., Wang C.-C., Wang Y.-M. et al. // Inorg. Chem. 2020. V. 59. № 12 P. 8308–8319.
- Uchida K. // Amino Acids. 2003. V. 25. P. 249–257.
Дополнительные файлы









