Nutritional and Possible Medicinal Value of Siberian Sturgeon (Acipenser baerii) and Sterlet (Acipenser ruthenus) Ovarian Fluid
- Authors: Mikhailova M.V.1, Zolotarev K.V.1, Mikhailov A.N.1, Nakhod V.I.1, Zgoda V.G.1, Kharenko E.N.2
-
Affiliations:
- Institute of Biomedical Chemistry
- Russian Federal Research Institute of Fisheries and Oceanography
- Issue: Vol 60, No 1 (2024)
- Pages: 101-109
- Section: Articles
- URL: https://journals.rcsi.science/0555-1099/article/view/259962
- DOI: https://doi.org/10.31857/S0555109924010111
- EDN: https://elibrary.ru/HBSIUS
- ID: 259962
Cite item
Full Text
Abstract
Chemical analysis of samples of ovarian fluid (OF), a secondary product of breeding of the two common in Russian aquaculture species of Acipenseridae family, was carried out in order to assess its nutritional and possible medicinal value. It has been figured out that the dominant organic component of OF of both species is a water-soluble or water-dispersible protein easily absorbed by the digestive tract. Proteomic analysis of the samples has shown that the main component of the protein fraction of OF is a highly nutritious protein vitellogenin. Amino acid analysis has shown that OF samples of both species satisfy the needs of an adult human in all essential amino acids. Eighty-five grams of dried sturgeon OF or 55 g of dried sterlet OF covers the daily requirement of an adult for vitamins C, B1, B2, B3 (PP) and B6, a number of macronutrients (Na, K, Ca, Mg) and micronutrients (Fe, Cu, Mn, Zn, Cr). Furthermore, Cu content is significantly higher in sturgeon OF, and Fe content is significantly higher in sterlet OF, which is partly confirmed by the relative content of Cu and Fe carrier proteins, ceruloplasmin and transferrin respectively. In addition, a number of proteins of physiological significance for fish were identified. The possible medicinal value of OF consists, among other things, in significant content of various antioxidant proteins in OF of both species. The use of OF as a food supplement could improve the profitability of sturgeon breeding by producing an additional valuable product, and would also expand the range of natural dietary supplements on the market.
Full Text
Овариальная жидкость (ОЖ) — тканевая жидкость яичников самок яйцекладущих животных. У рыб ОЖ, называемая также икорным золем, выполняет функции транспорта веществ для формирования яйцеклеток (икринок), запасающих питательные вещества для будущих эмбрионов [1], а также создания условий для успешного оплодотворения икринок при нересте [2]. Соответственно, чем более питательно ценна икра рыбы, тем более логично ожидать высокую пищевую ценность ОЖ, через которую постоянно происходит диффузия питательных веществ между кровью и икринками.
В настоящее время овариальная жидкость является вторичным продуктом аквакультуры ряда видов рыб, прежде всего осетровых, однако область применения его крайне ограниченна [3]. Некоторые производители косметики (например, MIRRA) включают ОЖ осетровых рыб в свои наружные средства на водной основе — лосьоны, сыворотки (https://mirra-lux-shop.ru/mirra-lines/caviar/manufacturer/mirra?ysclid=lwysonp9zc478663478). Однако анализ состава данных средств показывает, что ОЖ является далеко не ключевой составляющей; в составе имеются такие распространенные косметические компоненты, как масла кунжута и амаранта, сок алоэ и др., а ОЖ, по-видимому, добавляется с формальной целью включения продуктов в линейку продукции, в которой уже есть средства на основе бесспорно эффективной липидной фракции икры осетровых [4].
По результатам собственной оценки авторов при отборе образцов, половозрелая самка сибирского осетра (Acipenser baerii) содержит не менее 0.7 л, а стерляди (Acipenser ruthenus) — ок. 0.5 л ОЖ. При получении икры у половозрелой самки почти весь этот объем выходит вместе с икрой и, как правило, выбрасывается [5]. Осетровые являются одним из ключевых сегментов аквакультуры России: в 2021 г. объем выращивания составил 6.2 тыс. т (по данным Росрыболовства: https://fish.gov.ru/news/2022/02/09/obem-proizvodstva-akvakultury-v-rossii-vyros-na-85-do-357-tys-tonn/). Таким образом, потенциальный общий объем ОЖ, который можно получать из аквакультуры осетровых России, составляет с учетом веса половозрелых рыб 0.24 млн л/год в пересчете на осетра или 2.1 млн л/год в пересчете на стерлядь (согласно маркетинговому исследованию Агентства предпринимательского роста: https://investvolga.volgograd.ru/upload/docs/МИ%20Осетровая%20рыба%20.pdf). Производство премиальной косметической продукции, где ОЖ не является ключевым компонентом, не способно переработать значимую долю таких объемов.
Мировой рынок биологически активных добавок к пище (БАД) в 2022 г. составил 220.3 млрд долларов. При этом, согласно маркетинговым исследованиям, 76% потребителей предпочитают употреблять БАД из полностью натуральных компонентов [6]. Логично ожидать высокую пищевую ценность ОЖ осетровых, что делает перспективным исследование пищевой и, возможно, лечебно-профилактической ценности ОЖ распространенных в аквакультуре России видов семейства осетровые — сибирского осетра и стерляди. Если имеет место существенная пищевая и/или потенциальная лечебно-профилактическая ценность ОЖ, можно будет существенно увеличить прибыльность выращивания осетровых за счет получения дополнительного ценного продукта, а также расширить ассортимент натуральных БАД на рынке.
МЕТОДИКА
Образцы овариальной жидкости. На производственной базе ООО «ИБМХ-ЭкоБиоТех» (Тверская обл., Россия), пластиковыми пипетками было отобрано по 5 образцов (объемом по 300 мл) ОЖ половозрелых самок сибирского осетра и стерляди. Образцы помещали в короб из пенопласта с сухим льдом и в нем транспортировали в лабораторию. В лаборатории образцы центрифугировали при ускорении 2500 g в течение 15 мин для отделения от твердых примесей, затем надосадочную жидкость отбирали и хранили при –80°C до дальнейшей обработки.
Для исследования химического состава образцы ОЖ подвергали лиофильной (сублимационной) сушке в лабораторном сублиматоре СБ 3 (“СХ Техника”, Россия) в ранее подобранном режиме [7]: сушка при –35°C в течение 24 ч и досушка при 30°C в течение 5 ч.
Исследование базового химического состава. Содержание воды в образцах ОЖ определяли как долю потерянной массы образца при сушке плюс остаточную влажность высушенного образца; последнюю определяли методом волюмометрического титрования Карла Фишера на автоматическом титраторе DL31 (“Mettler Toledo”, Швейцария) и пересчитывали по исходному весу образца.
Содержание общего белка в высушенных образцах ОЖ определяли по содержанию общего азота (умножали на коэффициент 6.25); последний определяли методом Къельдаля на полуавтоматическом анализаторе Kjeltec System 1002 (“Tecator”, Швеция).
Содержание общего жира в высушенных образцах ОЖ определяли на автоматическом экстракторе SER148 (“VELP Scientifica”, Италия). Из навески образца (1 г) жир экстрагировали в 150 мл смеси ацетона и хлороформа (в соотношении 1 : 1 об./об.) в течение 90 мин, затем выпаривали растворители под вакуумом и взвешивали экстракт.
Содержание минеральных веществ (золы) определяли путем сжигания высушенной навески в муфельной печи при 600°C до постоянной массы.
Исследование аминокислотного состава. Аминокислотный состав белка высушенных образцов ОЖ определяли методом ВЭЖХ по адаптированной ранее опубликованной методике [8]. Для этого проводили гидролиз образцов (50 мг в 500 мкл 6 М HCl) в ампулах под вакуумом в течение 24 ч при 110°C, затем ампулы вскрывали, содержимое высушивали под вакуумом и растворяли в 50 мкл 0.1 М HCl. Далее проводили дериватизацию аминокислот: к раствору добавляли 1 мл метанольного раствора о-фталевого альдегида (концентрация 50 г/л), добавляли 9 мл 100 мМ боратного буфера (pH 10.2) и оставляли на 5 мин при комнатной температуре. Хроматографическое разделение и анализ аминокислот выполняли на хроматографе серии 1200 (“Agilent”, США) с УФ-детектором на диодной матрице, используя колонку Zorbax Eclipse AAA (“Agilent”, США). Длина колонки — 150 мм, диаметр — 4.6 мм, размер частиц — 5 мкм. В качестве подвижной фазы использовали смешанные в различных соотношениях фосфатный буфер (40 мМ, pH 7.8) (раствор А) и 80%-ный водный раствор ацетонитрила (раствор Б). Анализируемые растворы элюировали со скоростью 1 мл/мин с градиентом раствора Б в 5 этапов: 16 мин от 2 до 12% раствора Б (объемная доля в смеси), затем 18 мин до 36% раствора Б, 2 мин до 63% раствора Б; далее промывание 3 мин 63% раствором Б и уравновешивание 2 мин 2% раствором Б. Концентрации аминокислот измеряли ко калибровке площадей соответствующих пиков, используя стандарты производства Agilent, и пересчитывали их на содержание белка в образцах ОЖ по сухому весу.
Определение содержания витаминов. Содержание витаминов C, B1, B2, B3 (PP) и B6 в высушенных образцах ОЖ определяли одновременно методом ВЭЖХ [9] на хроматографе серии 1200 (“Agilent”, США) с УФ-детектором на диодной матрице. В качестве неподвижной фазы использовали гидрофильную колонку с электрофильно-нуклеофильным наконечником Pro C18 (“YMC-Pack”, Япония). Длина колонки — 250 мм, диаметр — 4,6 мм, размер частиц — 5 мкм. Сначала 0.5 г образца смешивали с 10 мл очищенной (дистиллированной и дополнительно очищенной от органики адсорбционным методом) воды и 1 мл 2 М NaOH, интенсивно встряхивали, после чего добавляли 12.5 мл фосфатного буфера (1 М, pH 5.5), доводили до объема 25 мл и фильтровали через нитроцеллюлозный мембранный фильтр Millipore (“Merck”, Германия) с размером пор 0.22 мкм.
Аналогичным образом готовили растворы стандартных образцов витаминов для калибровки. В качестве подвижной фазы использовали смешанные в различных соотношениях 0.025%-ный раствор трифторуксусной кислоты (раствор А) и ацетонитрил (раствор Б). Анализируемые растворы элюировали со скоростью 0.8 л/мин с градиентом раствора Б в 3 этапа: 5 мин без раствора Б (изократический режим), 6 мин до 25% раствора Б, затем 8 мин до 40% раствора Б. Последовательно определяли оптическую плотность при 275 нм для витаминов B1 (время удержания 3.8 мин), C (6.4 мин), B3 (PP) (7.5 мин), B6 (11.0 мин), B2 (16.0 мин). Концентрацию витаминов измеряли по калибровке площадей соответствующих пиков, используя стандарты производства Agilent, и пересчитывали их на содержание в образцах ОЖ по сухому весу.
Определение содержания макро- и микроэлементов. Содержание макроэлементов (Na, K, Ca, Mg) и микроэлементов (Fe, Cu, Mn, Zn, Cr) в высушенных образцах ОЖ определяли методом масс-спектрометрии на индуктивно-связанной плазме (ИСП-МС) по адаптированной ранее опубликованной методике [10]. Сначала 0.25 г образца заливали концентрированной HNO3 и инкубировали при 78°C в течение 8 ч, после чего инкубировали при комнатной температуре в течение 8 ч. Аликвоты отбирали по 0.5 мл, разбавляли в 12 раз и измеряли концентрации ионов металлов на масс-спектрометре 7500ce (“Agilent”, США) по калибровкам, полученным по стандартным образцам соответствующих металлов. Значения пересчитывали на содержание в образцах ОЖ по сухому весу.
Протеомный анализ. Из образцов нативной ОЖ (20 мкл; до сушки) экстрагировали белки смесью хлороформа и метанола (2: 1 об./об.), затем проводили ферментативный гидролиз белков трипсином с последующей центрифужной фильтрацией, как описано в работе [11].
Протеомный анализ образцов осуществляли с помощью оборудования центра коллективного пользования «Протеом человека» (ИБМХ, Москва, Россия), а именно хроматографической ВЭЖХ-системы Ultimate 3000 RSLCnano (“Thermo Scientific”, США), соединенной с масс-спектрометром Q-exactive HFX (“Thermo Scientific”, США). Пептидную смесь (1 мкг) загружали на обогащающую колонку Thermo Scientific Acclaim µ-Precolumn (длина 3 мм, диаметр 0,5 мм, размер частиц 5 мкм) при потоке 10 мкл/мин в течение 4 мин в изографическом режиме с использованием подвижной фазы состава 2% — ацетонитрил, 98% — 0.1%-ный (исходно) раствор муравьиной кислоты в деионизованной воде. Далее пептиды разделяли на ВЭЖХ-колонке Acclaim Pepmap C18 (длина 150 мм, диаметр 75 мкм, размер частиц 2 мкм; “Thermo Scientific”, США). В качестве подвижной фазы использовали смешанные в различных соотношениях 0.1%-ный раствор муравьиной кислоты в деионизованной воде (раствор А) и смесь, состоящую из 80% ацетонитрила и 20% 0.1%-ного раствора муравьиной кислоты в деионизованной воде (раствор Б). Разделение производили при скорости потока 0.3 мкл/мин в 6 этапов: 1) 4 мин промывка смесью, содержащей 98% раствора А и 2% раствора Б; 2) 90 мин разделение в градиенте раствора Б до 35%; 3) 10 мин разделение в градиенте раствора Б до 99%; 4) 10 мин промывка смесью, содержащей 1% раствора А и 99% раствора Б; 5) 6 мин разделение в отрицательном градиенте раствора Б до 2%; 6) 10 мин уравновешивание смесью, содержащей 98% раствора А и 2% раствора Б.
Масс-спектрометрический анализ проводили на масс-спектрометре Q-exactive HFX в режиме положительной ионизации с использованием источника NESI (“Thermo Scientific”, США). Для масс-спектрометрического анализа были установлены следующие параметры настроек: напряжение на эмиттере 2.1 кВ, температура капилляра 240°C. Панорамное сканирование проводили в диапазоне соотношений масса/заряд (m/z) от 300 до 1500 при разрешении 120000. При тандемном сканировании разрешение устанавливали 15000 в диапазоне m/z от 100 до верхней границы, которая определяется автоматически исходя из массы прекурсора, но не более 2000. Изоляцию прекурсорных ионов проводили в окне ±1 Да. Максимальное число разрешенных для изоляции ионов в режиме MS2 было установлено не более 40, при этом граница отсечения для выбора прекурсора для тандемного анализа была установлена как 50000 единиц, а нормализованная энергия соударения (NCE) равнялась 29. Для тандемного сканирования учитывали только ионы от z = 2+ до z = 6+ по зарядному состоянию. Максимальное время накопления для прекурсорных ионов составило 50 мс, для фрагментных ионов 110 мс. Величину AGC для прекурсоров и фрагментных ионов устанавливали 1 × 106 и 2 × 105 соответственно. Все измеренные прекурсоры динамически исключали из тандемного MS/MS-анализа на 90 с.
Обработку масс-спектров и идентификацию пептидов проводили с помощью программы SearchGUI v.3.3.1 при достоверности соответствия структуры, соответствующей уровню значимости p < 0.05. Идентификацию белков по характеристическим пептидам проводили с использованием базы данных UniProt Release 2020_05 по рыбам семейства осетровые (Sturgeon, Acipenser). Для поиска были заданы следующие поисковые параметры: расщепляющий фермент — трипсин, точность определения масс моноизотопных пептидов ±5 ppm, точность определения масс в спектрах MS/MS ±25 ppm и возможность пропуска одного сайта расщепления.
Статистическая обработка результатов. Данные количественного анализа были представлены как среднее арифметическое ± среднеквадратичное отклонение в исследуемых группах образцов — сибирский осетр и стерлядь. При сравнении интервалов значений достоверность различий между группами выявлялась по U-критерию Манна–Уитни при уровне значимости p < 0.05. Статистическую обработку выполняли с помощью программы IBM SPSS Statistics 26.
РЕЗУЛЬТАТЫ И ИХ ОБСУЖДЕНИЕ
Базовый химический состав. Результаты исследования базового химического состава представлены в табл. 1. Статистически значимых различий по содержанию показателей у осетра и стерляди не выявлено. Вода является доминирующим компонентом ОЖ, что объяснимо для любых физиологических, в частности, тканевых жидкостей.
Таблица 1. Базовый химический состав образцов ОЖ сибирского осетра и стерляди
Вид рыбы | Содержание | |||
вода,% в нативной ОЖ | белок,% * | жир,٪ * | зола,% * | |
Сибирский осетр (n = 5) | 98.8 ± 0.4 | 28.6 ± 3.0 | 5.56 ± 0.60 | 50.0 ± 15.1 |
Стерлядь (n = 5) | 99.1 ± 0.3 | 36.7 ± 7.6 | 8.64 ± 3.06 | 52.9 ± 16.9 |
* Содержание рассчитано в % от сухой массы.
В сухом веществе существенно содержание золы, прежде всего, неорганических солей. Их катионы и анионы попадают туда в результате диффузии из окружающей рыбу воды (как напрямую, так и через кровь), поэтому ОЖ морских видов рыб имеет более высокую осмолярность, чем у пресноводных. Кроме того, существует корреляция между осмолярностью ОЖ и вероятностью оплодотворения икры при нересте, по-видимому, обусловленная создаваемым ионами осмотическим давлением, усиливающим привлечение сперматозоидов [2]. В свете возможного лечебно-профилактического применения ОЖ необходимо отметить, что противопоказанием будет являться гипертоническая болезнь или склонность к ней, а гипотоническое состояние — наоборот, показанием к применению. Высушенная ОЖ может также применяться в качестве приправы к пище вместо соли.
Основным органическим компонентом сухого вещества ОЖ является белок. Поскольку этот белок растворимый или диспергируемый в воде, он легко будет усваиваться пищеварительным трактом. Что касается жира, то его содержание также существенно. При необходимости высушенную ОЖ можно обезжиривать, например, путем экстракции сверхкритическим CO2. Этот технологический подход широко применяется в фармацевтике и производстве БАД, поскольку позволяет экстрагировать жир из биологических субстанций без использования токсичных органических растворителей и относительно недорого при малотоннажном производстве [12].
Аминокислотный состав. Для более полной оценки пищевой ценности ОЖ с точки зрения белковой составляющей было проведено исследование аминокислотного состава по незаменимым аминокислотам, результаты которого представлены в табл. 2. Статистически достоверные различия по содержанию аминокислот в белке ОЖ выявлены для треонина, валина и изолейцина (больше у осетра), а также для лейцина и тирозина (больше у стерляди), при этом суммарное содержание незаменимых аминокислот достоверно не отличалось.
Таблица 2. Аминокислотный состав белка ОЖ сибирского осетра и стерляди (по незаменимым аминокислотам), сопоставленный с потребностями взрослого человека [16]
Аминокислота | Содержание, г/100 г белка | Потребность взрослого человека по [13], г/100 г белка | |
сибирский осетр (n = 5) | стерлядь (n = 5) | ||
Метионин + цистеин | 5.12 ± 0.34 | 4.81 ± 0.29 | 2.2 |
Лизин | 8.38 ± 0.40 | 7.90 ± 0.38 | 4.5 |
Триптофан | 0.79 ± 0.12 | 0.90 ± 0.09 | 0.6 |
Треонин | 6.08 ± 0.37* | 5.42 ± 0.26 | 2.3 |
Валин | 6.06 ± 0.21* | 5.49 ± 0.30 | 3.9 |
Изолейцин | 5.09 ± 0.31* | 4.08 ± 0.29 | 3.0 |
Лейцин | 7.52 ± 0.46 | 9.12 ± 0.33* | 5.9 |
Тирозин | 3.89 ± 0.24 | 5.17 ± 0.18* | 3.8 (суммарно) |
Фенилаланин | 1.76 ± 0.16 | 1.91 ± 0.13 | |
Гистидин | 4.74 ± 0.36 | 4.10 ± 0.39 | 1.5 |
∑ незаменимых аминокислот | 49.43 ± 0.88 | 48.90 ± 1.02 | 27.7 |
* Достоверно более высокое значение по сравнению с соответствующим для данной аминокислоты, согласно U-критерию Манна–Уитни при p < 0.05.
Результаты аминокислотного анализа сопоставлены с минимальными значениями содержания незаменимых аминокислот в употребляемом в пищу белке, необходимыми для полноценной жизнедеятельности взрослого человека, согласно опубликованной научной оценке [13]. В результате выявлено, что белок ОЖ обоих исследуемых видов удовлетворяет потребности взрослого человека во всех незаменимых аминокислотах, а по некоторым из них (метионин + цистеин, треонин, гистидин) кратно превышает минимальное содержание. Таким образом, ОЖ осетра и стерляди может быть рекомендована в качестве белковой добавки при дефиците незаменимых аминокислот.
Витаминно-минеральный состав. Результаты определения содержания витаминов, макро- и микроэлементов представлены в табл. 3. Статистически достоверные различия по содержанию биологически активных веществ и элементов выявлены для K, Mg, Cu (больше у осетра), а также Na, Fe, витаминов C, B2, B3 (PP) (больше у стерляди).
Результаты анализа витаминно-минерального состава сопоставлены с суточными физиологическими потребностями взрослого человека согласно утвержденным Роспотребнадзором методическим рекомендациям МР 2.3.1.2432–08. В результате установлено, что 85 г высушенной ОЖ осетра или 55 г высушенной ОЖ стерляди покрывает суточную потребность взрослого человека в исследуемых витаминах, макро- и микроэлементах. Таким образом, ОЖ осетра и стерляди может быть рекомендована в качестве витаминно-минеральной добавки при дефиците соответствующих витаминов, микро- и макроэлементов.
Протеомные профили. С целью уточнения полученных представлений о пищевой ценности белка исследуемых образцов ОЖ был проведен их протеомный анализ, то есть выявление всех известных белков и относительного содержания их в образцах. Протеомные профили ОЖ осетра и стерляди, составленные из всех выявленных белков, включают 87 белков, из которых 65 достоверно обнаруживались (интенсивность сигнала с учетом среднеквадратичного отклонения отлична от нуля при уровне значимости p < 0.05) у обоих видов (см. дополнительный материал к статье). Такое распределение белков достаточно типично для близкородственных видов рыб [14].
В результате протеомного анализа был выявлен ряд белков, имеющих физиологическое значение для рыб. Так, в ОЖ обоих видов обнаружены белки системы комплемента C1, C3, C4, C6, C7, C8, C9, а также C-реактивный белок и коллектин, запускающие данную систему, кластерин и пропердин, участвующие в ее работе, витронектин, участвующий в ее регуляции. Система комплемента является частью как врожденного, так и приобретенного иммунитета организма и присутствует не только в крови, но и в других биологических жидкостях [15]. Белки системы комплемента также обнаруживались ранее в ходе протеомного анализа ОЖ чавычи [16], радужной форели [17] и судака [18]. Кроме того, в ОЖ обоих видов обнаружены такие белки, значимые для иммунитета, как интелектин, связывающий бактерии в различных тканях у рыб [19], белок 14–3–3, участвующий в дифференцировке антител [20], а также субъединицы различных антител. Среди физиологически значимых белков у обоих видов обнаружен также тетранектин, являющийся регулятором роста тканей на разных стадиях жизненного цикла [21], α1-антитрипсин, являющийся ингибитором протеаз и ослабляющий последствия воспалительных процессов в тканях [22], а также так называемый “белок-антифриз” LS-12, ингибирующий рост кристаллов льда при температурах ниже 0°C [23].
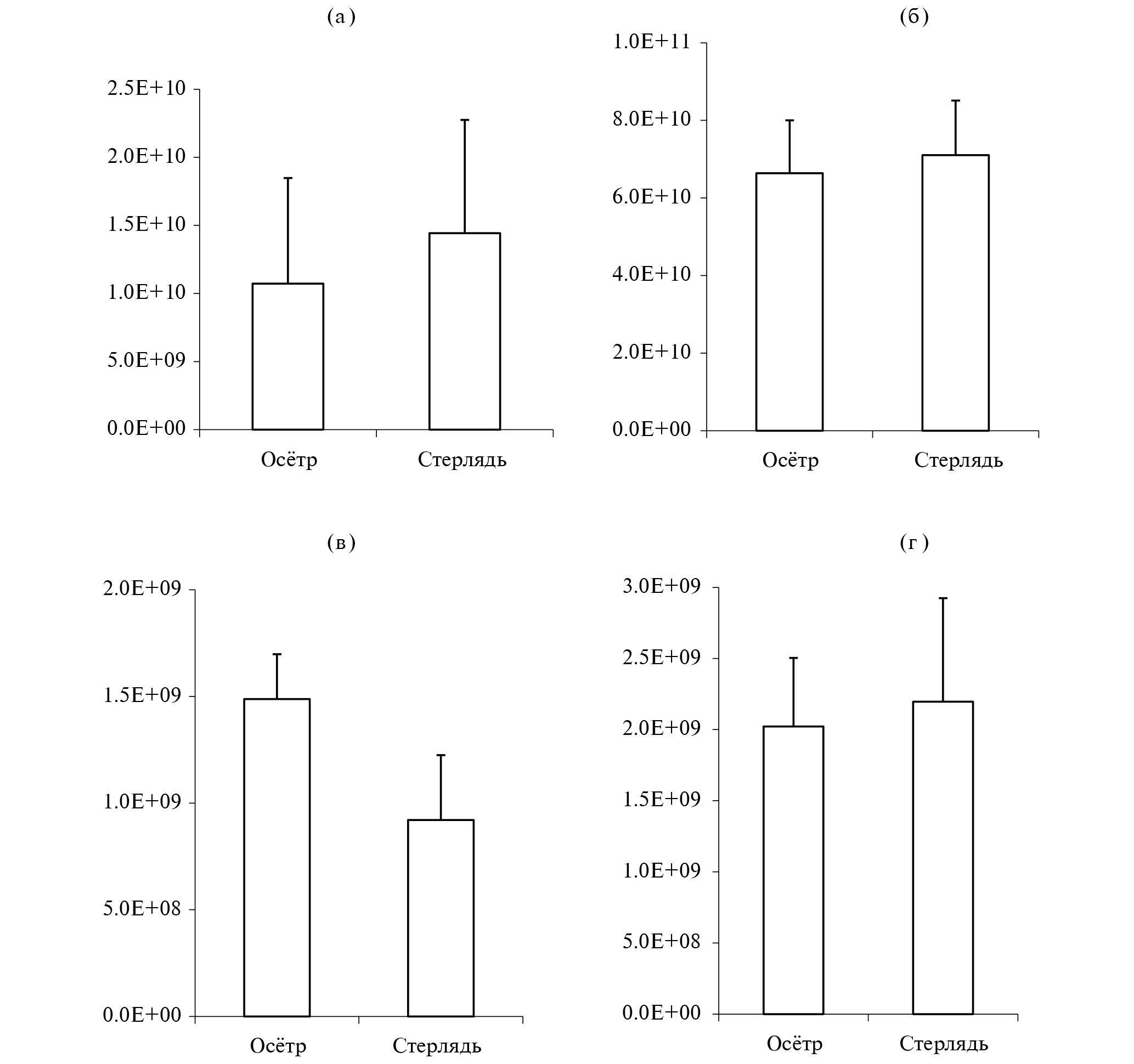
В образцах ОЖ обоих видов обнаружен ряд белков, отражающих функцию ОЖ как транспортера питательных веществ, необходимых для развития будущих эмбрионов рыб. Так, фетуин B [24], аполипопротеин B и аполипопротеин E [25] транспортируют жирные кислоты и липиды. Ряд белков, выполняющих транспортные функции, характеризуют ОЖ исследуемых видов с точки зрения их пищевой и потенциальной лечебно-профилактической ценности (рис. 1). Так, вителлогенин (рис. 1а) является транспортным белком для переноса питательного белкового и липидного материала у яйцекладущих животных; из него затем формируется высокопитательный и легко усваиваемый желток яйцеклетки [26]. Согласно результатам проведенного протеомного анализа, вителлогенин является доминирующим белком в ОЖ обоих видов. Доминирующая позиция вителлогенина в протеомном профиле ОЖ обнаруживалась также ранее у чавычи [16], радужной форели [17] и судака [18]. Таким образом, можно утверждать, что основным компонентом белковой фракции ОЖ является легко усваиваемый высокопитательный белок, что дает дополнительное основание считать ОЖ осетровых источником питательного белка.
Рис. 1. Относительное содержание (выражено в виде интенсивности сигнала масс-спектрометрического детектора) белков или их групп, характеризующих ОЖ исследуемых видов с точки зрения их пищевой и потенциальной лечебно-профилактической ценности: а — вителлогенин (питательный белок); б — трансферрин (переносчик Fe) в — церулоплазмин (переносчик Cu); г — антиоксидантные белки (суммарно). * Достоверно более высокое значение по сравнению с соответствующим для данного белка/группы, согласно U-критерию Манна–Уитни при p < 0.05 (n = 5).
Трансферрин (рис. 1б) и церулоплазмин (рис. 1в) являются белками-переносчиками Fe [27] и Cu [28] соответственно в плазме крови и других биологических жидкостях. Значительное содержание этих белков в ОЖ обоих исследуемых видов, обнаруженное в ходе протеомного анализа, говорит о выполнении ОЖ транспортной функции по обеспечению будущих эмбрионов потомства, в том числе этими необходимыми для развития элементами, а также свидетельствует о том, что значительное содержание Fe и Cu в ОЖ (табл. 3) является, прежде всего, результатом направленного транспорта этих элементов, а не только пассивной диффузии ионов из воды. Соответственно, пищевая ценность ОЖ с точки зрения содержания Fe и Cu не должна критически зависеть от концентрации их ионов в среде обитания рыбы, что свидетельствует об ОЖ осетровых как о стабильном источнике Fe и Cu, если рыбы получают в течение своего жизненного цикла полноценный корм. Трансферрин обнаруживался также ранее в ходе протеомного анализа ОЖ чавычи [16], радужной форели [17] и судака [18]. Выявленные в ходе протеомного анализа статистически достоверные различия по относительному содержанию церулоплазмина в ОЖ сибирского осетра и стерляди (рис. 1в) сходны с различиями по содержанию непосредственно Cu в образцах ОЖ (табл. 3), что подтверждает неслучайный характер данных различий.
Таблица 3. Витаминно-минеральный состав высушенной ОЖ сибирского осетра и стерляди, сопоставленный с суточными потребностями взрослого человека согласно методическим рекомендациям МР 2.3.1.2432-08.
Вещество / элемент | Содержание, мг/100 г | Потребность взрослого человека, мг/сут | |
сибирский осетр (n = 5) | стерлядь (n = 5) | ||
Витамин C | 222.5 ± 91.7 | 519.8 ± 82.3* | 90 |
Витамин B1 | 22.80 ± 10.02 | 25.22 ± 8.34 | 1.5 |
Витамин B2 | 90.97 ± 15.8 | 210.8 ± 35.7* | 1.8 |
Витамин B3 (PP) | 23.61 ± 12.45 | 79.28 ± 21.43* | 20 |
Витамин B6 | 51.39 ± 18.36 | 52.25 ± 11.87 | 2 |
Na | 5430 ± 824 | 7399 ± 756* | 1300 |
K | 12544 ± 2173* | 4868 ± 1947 | 2500 |
Ca | 2932 ± 768 | 3579 ± 671 | 1000; 1200 после 60 лет |
Mg | 4140 ± 638* | 2290 ± 497 | 400 |
Fe | 115.2 ± 26.4 | 188.3 ± 35.2* | 10 для мужчин; 18 для женщин |
Cu | 68.96 ± 7.41* | 56.47 ± 4.80 | 1 |
Mn | 4.14 ± 1.03 | 3.60 ± 0.77 | 2 |
Zn | 84.13 ± 18.72 | 111.44 ± 21.62 | 12 |
Cr | 0.082 ± 0.019 | 0.118 ± 0.027 | 0.05 |
*Достоверно более высокое значение по сравнению с соответствующим для данного витамина/элемента, согласно U-критерию Манна–Уитни при p < 0.05.
В ходе протеомного анализа ОЖ обоих исследуемых видов выявлен ряд белков с антиоксидантными свойствами: глутатионпероксидаза [29], пероксиредоксин [30], селенопротеин P [31], глутаредоксин и тиоредоксин [32]. Значительное суммарное содержание этих ферментов в ОЖ обоих исследуемых видов (рис. 1г) свидетельствует о выполнении ОЖ защитной противовоспалительной и детоксифицирующей функции, а также позволяет утверждать, что ОЖ исследуемых видов имеет потенциальную лечебно-профилактическую ценность в отношении воспалительных процессов, происходящих, например, в слизистой оболочке пищеварительного тракта на всем пути до гидролиза белковых компонентов ОЖ при ее употреблении. Быстрая растворимость высушенной ОЖ в слюне, оценка чего была проведена авторами органолептически, позволяет антиоксидантным соединениям действовать уже в ротовой полости. Существенная антиоксидантная активность высушенной ОЖ сибирского осетра и стерляди была выявлена ранее химико-аналитическим (кулонометрическим) способом и составила 65.0 ± 4.1 Кл/г и 63.2 ± 3.8 Кл/г соответственно, что составляет около 18% от антиоксидантной активности плодов томата — признанного источника антиоксидантов [33].
В ходе данного исследования была выявлена пищевая ценность ОЖ сибирского осетра и стерляди, заключающаяся в высоком содержании (по сухому весу) легко усваиваемого высокопитательного белка, а также ряда водорастворимых витаминов, макро- и микроэлементов. В ходе данного исследования была выявлена потенциальная лечебно-профилактическая ценность ОЖ сибирского осетра и стерляди, заключающаяся в значительном содержании антиоксидантных белков, а также в возможности ее применения для профилактики заболеваний, связанных с авитаминозом и недостаточным потреблением ряда макро- и микроэлементов. Ранее при моделировании окислительного стресса на культуре фибробластов было показано, что добавление в культуральную среду высушенной ОЖ сибирского осетра после окислительного воздействия приводило к ослаблению стрессового состояния в клетках [34]. Таким образом, ОЖ сибирского осетра и стерляди может быть основой для востребованной на рынке натуральной белково-витаминной БАД с дополнительным лечебно-профилактическим эффектом, что позволит увеличить прибыльность выращивания осетровых за счет получения дополнительного ценного продукта.
ФИНАНСИРОВАНИЕ РАБОТЫ. Работа выполнена в рамках Программы фундаментальных научных исследований в Российской Федерации на долгосрочный период (2021–2030 годы) (№ 122030100170-5).
СОБЛЮДЕНИЕ ЭТИЧЕСКИХ СТАНДАРТОВ. В данной работе отсутствуют исследования человека или животных.
КОНФЛИКТ ИНТЕРЕСОВ. Авторы данной работы заявляют, что у них нет конфликта интересов.
About the authors
M. V. Mikhailova
Institute of Biomedical Chemistry
Email: fireaxe@mail.ru
Russian Federation, Moscow, 119121
K. V. Zolotarev
Institute of Biomedical Chemistry
Author for correspondence.
Email: fireaxe@mail.ru
Russian Federation, Moscow, 119121
A. N. Mikhailov
Institute of Biomedical Chemistry
Email: fireaxe@mail.ru
Russian Federation, Moscow, 119121
V. I. Nakhod
Institute of Biomedical Chemistry
Email: fireaxe@mail.ru
Russian Federation, Moscow, 119121
V. G. Zgoda
Institute of Biomedical Chemistry
Email: fireaxe@mail.ru
Russian Federation, Moscow, 119121
E. N. Kharenko
Russian Federal Research Institute of Fisheries and Oceanography
Email: fireaxe@mail.ru
Russian Federation, Moscow, 105187
References
- Lahnsteiner F., Weismann T., Patzner R. A. // Tissue Cell. 1997. V. 29. № 3. P. 305–314. https://doi.org/10.1016/s0040-8166(97)80006-7
- Zadmajid V., Myers J. N., Sørensen S. R., Ernest Butts I. A. // Theriogenology. 2019. V. 132. P. 144–152. https://doi.org/10.1016/j.theriogenology.2019.03.021
- Сытова М. В., Харенко Е. Н. // Рыбпром. 2007. № 3. С. 41–43.
- Ahmmed M.K., Ahmmed F., Carne A., Tian H. S., Bekhit A. E.-D.A. // Fish Roe Biochemistry, Products, and Safety. / Ed. A.E.-D.A. Bekhit. Amsterdam: Elsevier, 2022. P. 93–142. https://doi.org/10.1016/B978-0-12-819893-3.00005-9
- Харенко Е. Н., Дмитриева Е. А., Сытова М. В. // Рыбное хозяйство. 2011. № 3. С. 79–85.
- Lam M., Khoshkhat P., Chamani M., Shahsavari S., Dorkoosh F. A., Rajabi A., Maniruzzaman M., Nokhodchi A. // J. Drug Deliv. Sci. Tech. 2022. V. 67. P. 102985. https://doi.org/10.1016/j.jddst.2021.102985
- Дмитриева Е.А., Харенко Е. Н., Сытова М. В. // Хранение и переработка сельхозсырья. 2012. № 3. С. 12–15.
- Mikhailova M.V., Zolotarev K. V., Mikhailov A. N., Sanzhakov M. A., Farafonova T. E. // International Journal of Management and Humanities. 2019. V. 4. № 4. P. 1–5. https://doi.org/10.35940/ijmh.C0442.124419
- Heudi O., Kilinç T., Fontannaz P. // J. Chromatogr. A. 2005. V. 1070. № 1–2. P. 49–56. https://doi.org/10.1016/j.chroma.2005.02.033
- Mikhailova M., Zolotarev K., Nakhod V., Farafonova T., Mikhailov A. // E3S Web of Conferences. 2022. V. 363. P. 03017. https://doi.org/10.1051/e3sconf/202236303017
- Капица И. Г., Казиева Л. Ш., Вавилов Н. Э., Згода В. Г., Копылов А. Т., Медведев А. Е., Бунеева О. А. // Биомедицинская химия. 2023. Т. 69. № 1. С. 46–54. https://doi.org/10.18097/PBMC20236901046
- Yousefi M., Rahimi-Nasrabadi M., Pourmortazavi S. M., Wysokowski M., Jesionowski T., Ehrlich H., Mirsadeghi S. // TrAC Trends Anal. Chem. 2019. V. 118. P. 182–193. https://doi.org/10.1016/j.trac.2019.05.038
- Pillai R. R., Kurpad A. V. // Br. J. Nutr. 2012. V. 108. Suppl 2. P. S44–S49. https://doi.org/10.1017/S0007114512002401
- Das P., Sahoo L., Das S. P., Bit A., Joshi C. G., Kushwaha B. et al. // Front. Genet. 2020. V. 11. P. 386. https://doi.org/10.3389/fgene.2020.00386
- Janeway C. A. Jr., Travers P. Immunobiology: The Immune System in Health and Disease. 5th ed. N.Y.: Garland Science, 2001. 450 p.
- Johnson S. L., Villarroel M., Rosengrave P., Carne A., Kleffmann T., Lokman P. M., Gemmell N. J. // PLoS One. 2014. V. 9. № 8. P. e104155. https://doi.org/10.1371/journal.pone.0104155
- Nynca J., Arnold G. J., Fröhlich T., Ciereszko A. // Reprod. Fertil. Dev. 2015. V. 27. № 3. P. 504–512. https://doi.org/10.1071/RD13224
- Nynca J., Zarski D., Fröhlich T., Köster M., Bobe J., Ciereszko A. // Aquac. 2022. V. 548. Part 2. P. 737656. https://doi.org/10.1016/j.aquaculture.2021.737656
- Russell S., Hayes M. A., Lumsden J. S. // Fish Shellfish Immunol. 2009. V. 26. № 1. P. 154–163. https://doi.org/10.1016/j.fsi.2008.03.001
- Xu Z., Zan H., Pone E. J., Mai T., Casali P. // Nat. Rev. Immunol. 2012. V. 12. № 7. P. 517–531. https://doi.org/10.1038/nri3216
- McDonald K., Glezeva N., Collier P., O’Reilly J., O’Connell E., Tea I. et al. // Sci. Rep. 2020. V. 10. № 1. P. 7507. https://doi.org/10.1038/s41598-020-64558-4
- Gettins P. G. W. // Chem. Rev. 2002. V. 102. № 12. P. 4751–4804. https://doi.org/10.1021/cr010170+
- Fletcher G. L., Hew C. L., Davies P. L. // Annu. Rev. Physiol. 2001. V. 63. P. 359–390. https://doi.org/10.1146/annurev.physiol.63.1.359
- Fang L., Hu X., Cui L., Lv P., Ma X., Ye Y. // J. Assist. Reprod. Genet. V. 36. № 6. P. 1101–1107. https://doi.org/10.1007/s10815-019-01454-5
- Grummer R. R., Carroll D. J. // J. Anim. Sci. 1988. V. 66. № 12. P. 3160–3173. https://doi.org/10.2527/jas1988.66123160x
- Robinson R. // PLoS Biol. 2008. V. 6. № 3. P. e77. https://doi.org/10.1371/journal.pbio.0060077
- Crichton R. R., Charloteaux-Wauters M. // Eur. J. Biochem. 1987. V. 164. № 3. P. 485–506. https://doi.org/10.1111/j.1432-1033.1987.tb11155.x
- Hellman N. E., Gitlin J. D. // Annu. Rev. Nutr. 2002. V. 22. P. 439–458. https://doi.org/10.1146/annurev.nutr.22.012502.114457
- Mills G. C. // J. Biol. Chem. 1957. V. 229. № 1. P. 189–197. https://doi.org/10.1016/S0021-9258(18)70608-X
- Rhee S. G., Kil I. S. // Annu. Rev. Biochem. 2017. V. 86. P. 749–775. https://doi.org/10.1146/annurev-biochem-060815-014431
- Mostert V. // Arch. Biochem. Biophys. 2000. V. 376. № 2. P. 433–438. https://doi.org/10.1006/abbi.2000.1735
- Holmgren A. // J. Biol. Chem. 1989. V. 264. № 24. P. 13963–13966. https://doi.org/10.1016/S0021-9258(18)71625-6
- Mikhailova M., Zolotarev K., Mikhailov A., Lapin A., Nakhod V. // E3S Web of Conferences. 2023. V. 381. P. 01075. https://doi.org/10.1051/e3sconf/202338101075
- Михайлова М. В., Беляева Н. Ф., Козлова Н. И., Золотарев К. В. , Михайлов А. Н., Подушка С. Б. // Biomedical Chemistry: Research and Methods. 2018. Т. 1. № 2. С. e00011. https://doi.org/10.18097/BMCRM00011
Supplementary files



