Optimization of Aerobic Synthesis of Succinic Acid from Glucose by Recombinant Escherichia coli Strains Through the Variant Tricaboxylic Acid Cycle Mediated by the Action of 2-ketoglutarate-decarboxylase
- Authors: Skorokhodova A.Y.1, Gulevich A.Y.1, Debabov V.G.1
-
Affiliations:
- Federal Research Centre “Fundamentals of Biotechnology” of the Russian Academy of Sciences
- Issue: Vol 59, No 6 (2023)
- Pages: 573-580
- Section: Articles
- URL: https://journals.rcsi.science/0555-1099/article/view/232491
- DOI: https://doi.org/10.31857/S0555109923060168
- EDN: https://elibrary.ru/CXMYQU
- ID: 232491
Cite item
Full Text
Abstract
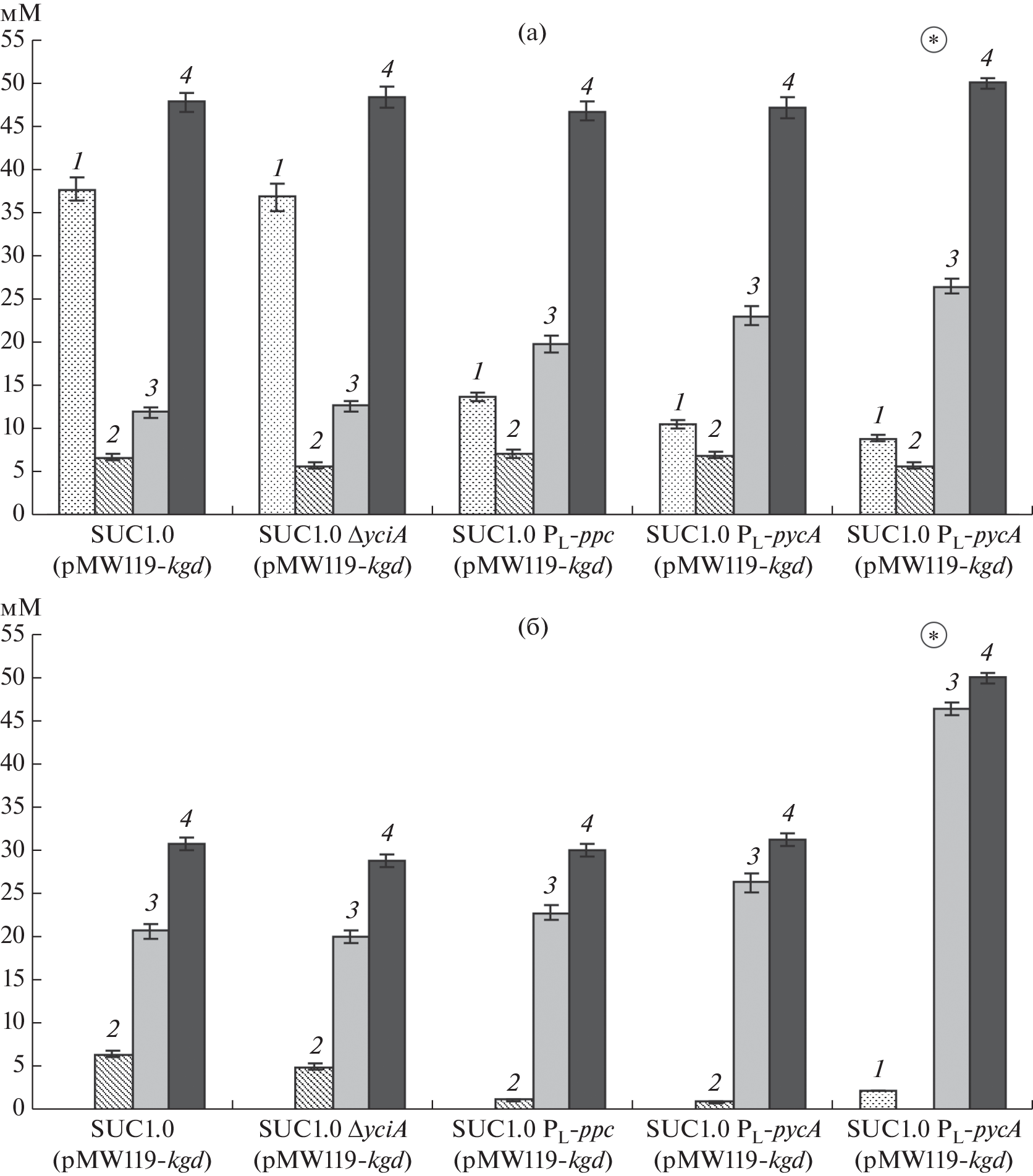
The biosynthesis of succinic acid from glucose by the previously engineered E. coli strain SUC1.0 (pMW119-kgd) (MG1655 ∆ackA-pta, ∆poxB, ∆ldhA, ∆adhE, ∆ptsG, PLglk, PtacgalP, ∆aceBAK, ∆glcB, ∆sdhAB, pMW119-kgd) was optimized. The yield of the target substance was increased, upon the activation in the strain of the variant tricarboxylic acid cycle, mediated by the action of heterologous 2-ketoglutarate decarboxylase, due to the intensification of the anaplerotic formation of oxaloacetic acid. Inactivation of the nonspecific thioesterase YciA in the strain did not considerably change the biosynthetic characteristics of the producer. The enhancement of the expression of native phosphoenolpyruvate carboxylase led to an increase in the yield of the target compound by the recombinant synthesizing succinic acid via the reactions of the native tricarboxylic acid cycle from 25 to 42%, and from 67 to 75% upon the induced expression of Mycobacterium tuberculosis 2-ketoglutarate decarboxylase. Expression in the strain of pyruvate carboxylase gene from Bacillus subtilis resulted in an increase in the yield of succinic acid up to 84%. Functioning in whole-cell biocatalyst mode, the engineered strain SUC1.0 PL-pycA (pMW119-kgd) demonstrated a substrate to target product conversion ratio reaching 93%, approaching the corresponding theoretical maximum.
About the authors
A. Yu. Skorokhodova
Federal Research Centre “Fundamentals of Biotechnology” of the Russian Academy of Sciences
Author for correspondence.
Email: sasha.skorokhodova@gmail.com
Russia, 117312, Moscow
A. Yu. Gulevich
Federal Research Centre “Fundamentals of Biotechnology” of the Russian Academy of Sciences
Email: sasha.skorokhodova@gmail.com
Russia, 117312, Moscow
V. G. Debabov
Federal Research Centre “Fundamentals of Biotechnology” of the Russian Academy of Sciences
Email: sasha.skorokhodova@gmail.com
Russia, 117312, Moscow
References
- Mazzoli R. // Fermentation. 2021 V. 7. № 4. 248. https://doi.org/10.3390/fermentation7040248
- Escanciano I.A., Wojtusik M., Esteban J., Ladero M., Santos V.E. // Fermentation. 2022. V. 8. № 8. 368. https://doi.org/10.3390/fermentation8080368
- Guettler M.V., Rumler D., Jain M.K. // Int. J. Syst. Bacteriol. 1999. V. 49. P. 207–216.
- Nghiem N.P., Davison B.H., Suttle B.E., Richardson G.R. // Appl. Biochem. Biotechnol. 1997. V. 63–65. P. 565–576.
- Lee P.C., Lee S.Y., Hong S.H., Chang H.N. // Appl. Microbiol. Biotechnol. 2002. V. 58. № 5. P. 663–668.
- Liu X., Zhao G., Sun S., Fan C., Feng X.m, Xiong P. // Front. Bioeng. Biotechnol. 2022. V. 10. 843887. https://doi.org/10.3389/fbioe.2022.843887
- Скороходова А.Ю., Гулевич А.Ю., Моржакова А.А., Шакулов Р.С., Дебабов В.Г. // Биотехнология. 2012. № 2. С. 8–20.
- Skorokhodova A.Y., Morzhakova A.A., Gulevich A.Y., Debabov VG. // J. Biotechnol. 2015. V. 214. P. 33–42.
- Lin H., Bennett G.N., San K.Y. // Metab. Eng. 2005. V. 7. № 2. P. 116–127.
- Park S.J., Chao G., Gunsalus R.P. // J. Bacteriol. 1997. V. 179. № 13. P. 4138–4142.
- Скороходова А.Ю., Стасенко А.А., Гулевич А.Ю., Дебабов В.Г. // Прикл. биохимия и микробиология. 2018. Т. 54. № 3. С. 244–252.
- Skorokhodova A.Y., Gulevich A.Y., Debabov V.G. // Biotechnol. Rep. 2022. V. 33. e00703.https://doi.org/10.1016/j.btre.2022.e00703
- Skorokhodova A.Y., Stasenko A.A., Krasilnikova N.V., Gulevich A.Y., Debabov V.G. // Fermentation. 2022. V. 8. № 12. 738.https://doi.org/10.3390/fermentation8120738
- Tian J., Bryk R., Itoh M., Suematsu M., Nathan C. // Proc. Natl. Acad. Sci. USA. 2005. V. 102. № 30. P. 10670–10675.
- Zhang S., Bryant D.A. // Science. 2011. V. 334. № 6062. P. 1551–1553.
- Sambrook J., Fritsch E., Maniatis T. // Molecular Cloning: a Laboratory Manual, 2nd Ed., N.Y.: Cold Spring Harbor Lab. Press, 1989. 1659 p.
- Datsenko K.A., Wanner B.L. // Proc. Natl. Acad. Sci. USA. 2000. V. 97. № 12. P. 6640–6645.
- Каташкина Ж.И., Скороходова А.Ю., Зименков Д.В., Гулевич А.Ю., Минаева Н.И., Дорошенко В.Г., Бирюкова И.В., Машко С.В. // Молекулярная биология. 2005. Т. 39. № 5. С. 823–831.
- Гулевич А.Ю., Скороходова А.Ю., Дебабов В.Г. // Прикл. биохимия и микробиология. 2021. Т. 57. № 2. С. 117–126.
- Гулевич А.Ю., Скороходова А.Ю., Ермишев В.Ю., Крылов А.А., Минаева Н.И., Полонская З.М., Зименков Д.В., Бирюкова И.В., Машко С.В. // Молекулярная биология. 2009. Т. 43. № 3. С. 547–557.
- Гулевич А.Ю., Сконечный М.С., Сухоженко А.В., Скороходова А.Ю., Дебабов В.Г. // Биотехнология. 2015. № 2. С. 46–54.
- Clomburg J.M., Vick J.E., Blankschien M.D., Rodríguez-Moyá M., Gonzalez R. // ACS Synth. Biol. 2012. V. 1. P. 541–554.
- Jitrapakdee S., St. Maurice M., Rayment I., Cleland W.W., Wallace J.C., Attwood P.V. // Biochem. J. 2008. V. 413. № 3. P. 369–387.
- Скороходова А.Ю., Гулевич А.Ю., Дебабов В.Г. // Биотехнология. 2018. Т. 34. № 2. С. 18–25.
- Chang D.E., Shin S., Rhee J.S., Pan J.G. // J. Bacteriol. 1999. V. 181. № 21. P. 6656–6663.
- Burgard A., Burk M.J., Osterhout R., Van Dien S., Yim H. // Curr. Opin. Biotechnol. 2016. V. 42. P. 118–125.
- Seol W., Shatkin A.J. // J. Biol. Chem. 1992. V. 267. № 9. P. 6409–6413.
Supplementary files



