Mechanisms of Control by Pseudomonas fluorescens of Barley Root Rot Caused by Fusarium culmorum
- Authors: Shakhnazarova V.Y.1,2, Syrova D.S.1, Lebedinskii M.I.1,2, Vishnevskaya N.A.1, Shaposhnikov A.I.1, Borodina E.V.1, Strunnikova O.K.1
-
Affiliations:
- All-Russian Research Institute for Agricultural Microbiology
- Saint Petersburg State University
- Issue: Vol 59, No 5 (2023)
- Pages: 494-501
- Section: Articles
- URL: https://journals.rcsi.science/0555-1099/article/view/138816
- DOI: https://doi.org/10.31857/S0555109923050161
- EDN: https://elibrary.ru/NSKTKD
- ID: 138816
Cite item
Full Text
Abstract
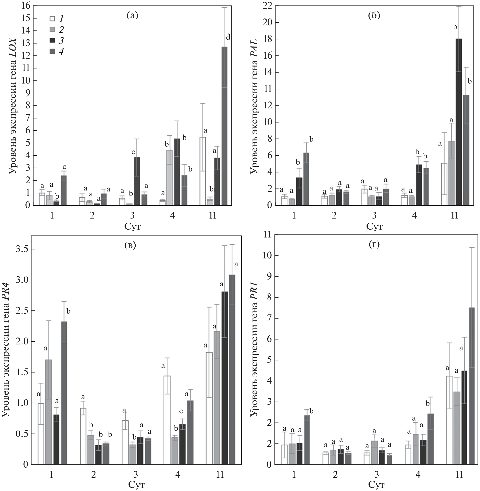
In this paper, we found out why in the presence of the rhizobacterium Pseudomonas fluorescens 2137, the intensity of barley fusarium root rot caused by Fusarium culmorum 30 decreases, if there is no obvious decrease in the amount of fungus in the roots in the presence of the bacterium. It has been suggested that (1) the presence of rhizobacteria stimulates the defence reactions in barley, (2) rhizobacteria reduces the production of trichothecene toxins by F. culmorum 30, a known factor of aggressiveness of the fungus. The responses of barley to the colonization of its roots by fungus and bacteria were studied in sterile vermiculite for 11 days by the intensity of expression of the LOX, PAL, PR4 and PR1 genes. The production of F. culmorum 30 trichothecene toxins was evaluated by the expression level of the TRI13 gene. As a result, it was found that P. fluorescens 2137 induced the expression of all studied defence genes already in diurnal barley roots, but only in the presence of F. culmorum 30. In the presence of the bacterium, the expression level of the TRI13 gene did not decrease, however, a decrease in the number of diseased plants suggests that P. fluorescens 2137 is capable of detoxifying trichothecene toxins produced by the fungus or inducing this ability in barley.
About the authors
V. Yu. Shakhnazarova
All-Russian Research Institute for Agricultural Microbiology; Saint Petersburg State University
Email: olgastrunnikova@rambler.ru
Russia, 196608, Saint Petersburg; Russia, 199034, Saint Petersburg
D. S. Syrova
All-Russian Research Institute for Agricultural Microbiology
Email: olgastrunnikova@rambler.ru
Russia, 196608, Saint Petersburg
M. I. Lebedinskii
All-Russian Research Institute for Agricultural Microbiology; Saint Petersburg State University
Email: olgastrunnikova@rambler.ru
Russia, 196608, Saint Petersburg; Russia, 199034, Saint Petersburg
N. A. Vishnevskaya
All-Russian Research Institute for Agricultural Microbiology
Email: olgastrunnikova@rambler.ru
Russia, 196608, Saint Petersburg
A. I. Shaposhnikov
All-Russian Research Institute for Agricultural Microbiology
Email: olgastrunnikova@rambler.ru
Russia, 196608, Saint Petersburg
E. V. Borodina
All-Russian Research Institute for Agricultural Microbiology
Email: olgastrunnikova@rambler.ru
Russia, 196608, Saint Petersburg
O. K. Strunnikova
All-Russian Research Institute for Agricultural Microbiology
Author for correspondence.
Email: olgastrunnikova@rambler.ru
Russia, 196608, Saint Petersburg
References
- Wagacha J.M. and Muthomi J.W. // Crop Prot. 2007. V. 26. P. 877–885.
- Covarelli L., Beccari G., Steed A., Nicholson P. // Plant Pathol. 2012. V. 61. № 6. P. 121–1129. https://doi.org/10.1111/j.1365-3059.2012.02600.x
- Scherm B., Balmas V., Spanu F., Pani G., Delogu G., Pasquali M., Migheli Q. // Mol. Plant Pathol. 2013. V. 14. № 3. P. 323–341. https://doi.org/10.1111/mpp.12011
- Kammoun L.G., Gargouri S., Barreau C., Richard-Forget F., Hajlaoui M.R. // Int. J. Food Microbiol. 2010. V. 140. № 1. P. 84–89.
- Raaijmakers J.M., de Bruijn I., de Kock M.J.D. // Mol. Plant Microb. Interact. 2006. V. 19. № 7. P. 699–710.
- Weller D.M., Landa B.B., Mavrodi O.V., Schroeder L.K., De la Fuente L., Blouin Bankhead S. et al. // Plant Biol. 2007. V. 9. № 1. P. 4–20.
- Lahlali R., Ezrari S., Radouane N., Kenfaoui J., Esmaeel Q., El Hamss H., Belabess Z., Barka E.A. // Microorganisms. 2022. 10. № 3. 596–628. https://doi.org/10.3390/microorganisms10030596
- Струнникова О.К., Шахназарова В.Ю., Вишневская Н.А., Чеботарь В.К., Тихонович И.А. // Микробиология. 2007. Т. 76. № 5. С. 675–681.
- Струнникова O.K., Шахназарова В.Ю., Вишневская Н.А., Чеботарь В.К., Тихонович И.А. // Микология и фитопатология. 2008. Т. 42. № 1. С. 68–75.
- Strunnikova O.K., Vishnevskaya N.A., Ruchiy A.S., Shakhnazarova V.Y., Vorobyov N.I., Chebotar V.K. // Plant Soil. 2015. V. 389. № 2. P. 131–144.https://doi.org/10.1007/s11104-014-2351-y
- Strunnikova O.K., Vishnevskaya N.A., Tikhonovich I.A. // Microbiology. 2010. V. 79. № 8. P. 865–870.
- Струнникова О.К., Феоктистова А.С., Вишневская Н.А., Чеботарь В.К. // Микология и фитопатология. 2011. Т. 45. № 4. С. 362–369.
- Vishnevskaya N., Shakhnazarova V., Shaposhnikov A., Strunnikova O. // Plants. 2020. V. 9. № 3. P. 366–381. https://doi.org/10.3390/plants9030366
- G. Beccari, L. Covarelli, P. Nicholson. // Plant Pathol. 2011. V. 60. № 6. P. 671–684. https://doi.org/10.1111/j.1365-3059.2011.02425.x
- Dixon R.A., Achnine L., Kota P., Liu C.-J., Reddy M.S.S., Wang L. // Mol. Plant Pathol. 2002. V. 3. № 5. P. 371–390. https://doi.org/10.1046/j.1364-3703.2002.00131.x
- Bari R., Jones J.D.G. // Plant Mol. Biol. 2009. V. 69. № 4. P. 473–488.
- Ding L., Xu H., Yi H., Yang L., Kong Z., Zhang L., Xue S., Jia H., Ma Z. // PLoS ONE. 2011. V. 6. № 4. e19008. https://doi.org/10.1371/journal.pone.0019008
- Glazebrook J. // Annu. Rev. Phytopathol. 2005. V. 43. № 2. P. 205–227.
- Li N., Han X., Feng D., Yuan D., Huang L.-J. // Int. J. Mol. Sci. 2019. V. 20. № 3. P. 671–685.
- Hestbjerg H., Felding G., Elmholt S. // Phytopathology. 2002. V. 150. № 6. P. 308–312.
- Scherm B., Orrù M., Balmas V., Spanu F., Azara E., Delogu G. et al. // Mol. Plant Pathol. 2011. V. 12. № 7. P. 759–771.
- Maier F.J., Miedaner T., Hadeler B., Felk A., Salomon S., Lemmens M. et al. // Mol. Plant Pathol. 2006. V. 7. № 6. P. 449–461.
- Шахназарова В.Ю., Феоктистова А.С., Чижевская Е.П., Вишневская Н.А., Струнникова О.К. // Микология и фитопатология. 2012. Т.46. № 3. С. 287–292.
- Villafana R.T., Ramdass A.C., Rampersad S.N. // Toxins. 2019. V. 11. № 1. P. 36–60. https://doi.org/10.3390/toxins11010036
- Schilling A.G., Moller E.M., Geiger H.H. // Phytopathology.1996. V. 86. № 5. P. 515–522.
- Brandfass C., Karlovsky P. // Int. J. Mol. Sci. 2008. V. 9. № 11. P. 2306–2321.https://doi.org/10.3390/ijms9112306
- Леппянен И.В., Шахназарова В.Ю., Вишневская Н.А., Долгих Е.А., Струнникова О.К. // Микология и фитопатология. 2017. Т. 51. № 4. С. 241–248.
- Шапошников А.И., Вишневская Н.А., Шахназарова В.Ю., Белимов А.А., Струнникова О.К. // Микология и фитопатология. 2019. Т. 53. № 5. С. 301–308.
- Meziane H., Van der Sluis I., Van Loon L.C., Hofte M., Bakker P.A.H.M. // Mol. Plant Pathol. 2005. V. 6. № 2. P. 177–185. https://doi.org/10.1111/j.1364-3703.2005.00276.x
- Berendsen R.L., Van Verk M.C., Stringlis I.A., Zamioudis C., Tommassen J., Pieterse C.M.J., Bakker P.A.H.M. // BMC Genomics. 2015. V. 16. P. 539–561.
- Yu K., Liu Y., Tichelaar R., Savant N., Lagendijk E., Van Kuijk S.J.L. et al. // Curr. Biol. 2019. V. 29. № 22. P. 3913–3920. https://doi.org/10.1016/j.cub.2019.09.015
- Yadav V., Wang Z., Wei C., Amo A., Ahmed B., Yang X., Zhang X. // Pathogens. 2020. V. 9. № 4. P. 312–336. https://doi.org/10.3390/pathogens9040312
- Petti C., Reiber K., Ali S.S., Berney M., Doohan F.M. // BMC Plant Biol. 2012. V. 12. P. 224–232. https://doi.org/10.1186/1471-2229-12-224
- Motallebi P., Tonti S., Niknam V., Ebrahimzadeh H., Pisi A., Nipoti P., Hashemi M., Prodi A. // Cereal Res. Commun. 2017. V. 45. № 2. P. 248–259. https://doi.org/10.1556/0806.45.2017.008
- Desmond O.J., Edgar C.I., Manners J.M., Maclean D.J., Schenk P.M., Kazan K. Physiol. and Mol. Plant Pathol. 2006. V. 67. № 3–5. P. 171–179. https://doi.org/10.1016/j.pmpp.2005.12.007
- Khan M.R., Doohan F.M. // Biol. Control. 2009. V. 48. № 1. P. 42–47.
- Petti C., Khan M., Doohan F. // Funct. Integr. Genomics. 2010. V. 10. № 4. P. 619–627. https://doi.org/10.1007/s10142-010-0177-0
Supplementary files





