Метод синтеза 3,4,5-тризамещенных 1H-пиразолов на основе 2,3-диеноатов с пирролидиндионовым фрагментом
- Авторы: Гиндуллина Г.М.1, Сахаутдинов И.М.1
-
Учреждения:
- Уфимский институт химии – обособленное структурное подразделение Уфимского федерального исследовательского центра Российской академии наук
- Выпуск: Том 61, № 1 (2025)
- Страницы: 82-87
- Раздел: ЭКСПЕРИМЕНТАЛЬНЫЕ СТАТЬИ
- URL: https://journals.rcsi.science/0514-7492/article/view/291947
- DOI: https://doi.org/10.31857/S0514749225010061
- EDN: https://elibrary.ru/AFNJDG
- ID: 291947
Цитировать
Аннотация
Предложен простой и удобный региоселективный метод синтеза новых производных 3,4,5-пиразолов на основе 1,3-диполярного циклоприсоединения диазакетона к 2,3-диеноатам, полученным из продуктов конденсации ангидридов кислот и 3-аминобутановой кислоты.
Полный текст
ВВЕДЕНИЕ
Аллены могут быть полезными интермедиатами в органической химии [1–3] для последующих превращений с выходом на производные с хорошо зарекомендовавшими себя фармакофорными фрагментами. Весьма перспективны биологически активные соединения, содержащие пиразольный фрагмент. Подобные гетероциклы отличаются широким спектром свойств – противоопухолевых, противодиабетических, противомикробных, антибактериальных, противовирусных и множеством других [1–11].
Целью работы является синтез новых потенциально биоактивных соединений, содержащих фармакофорную пиразольную группу. Синтез осуществляется путем 1,3-диполярного циклоприсоединения диазакетона к алленоатам с пирролидиндионовым фрагментом.
РЕЗУЛЬТАТЫ И ОБСУЖДЕНИЕ
В результате 1,3-диполярного циклоприсоединения к алленоатам, полученным из N-замещенной 3-аминобутановой кислоты, диазокетона, синтезированного из N-фталил-γ-аминомасляной кислоты в условиях реакции Арндта–Айстерта, получены потенциально биологически активные соединения, содержащие фармакофорное пиразольное кольцо. Показано, что взаимодействие диазокетона с 2,3-диеноатом протекает региоселективно только по одной кратной связи алленового фрагмента, сопряженного со сложноэфирной группой.
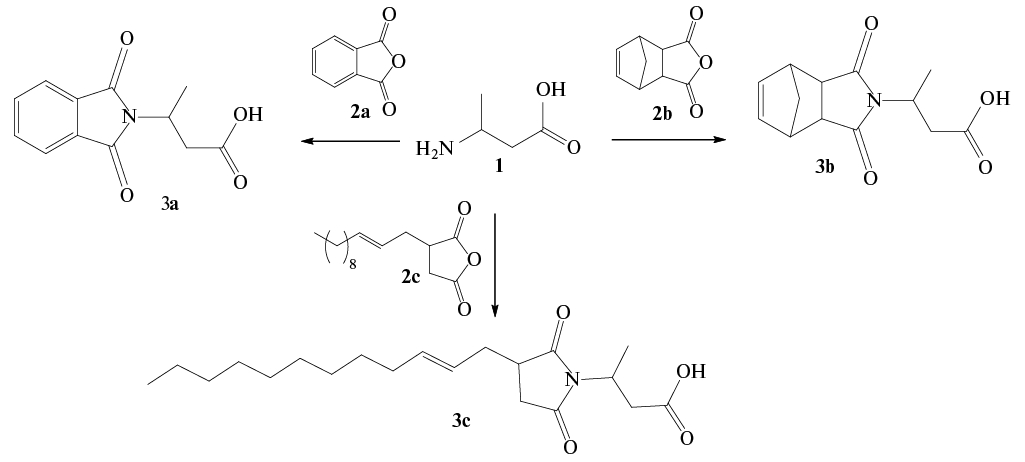
В результате прямого сплавления ангидридов кислот 2a–c с 3-аминобутановой кислотой 1 образуются пирролидиндионовые соединения 3a–c, выделенные в различных условиях (схема 1) в индивидуальном виде.
Схема 1
2,3-Диеноаты 5а–с получены из продуктов конденсации ангидридов кислот и 3-аминобутановой кислоты 3a–c (схема 2). При действии C2O2Cl2 пирролидиндионовые соединения 3a–c были переведены в хлорангидриды, которые при взаимодействии с триэтиламином образовали кетены 4а–с. Кетены 4а–с in situ были вовлечены в реакцию олефинирования по Виттигу с метил(трифенилфосфоранилиден)ацетатом, что привело к 2,3-диеноатам 5а–с с выходами 82, 77 и 59% соответственно (схема 2). Структуры полученных соединений доказаны спектральными данными. В ИК спектрах 2,3-диеноатов 5a–с присутствует полоса поглощения, характерная для алленовой группы в области ~1960 см–1.
Схема 2
Для 2,3-диеноатов 5a–c в спектре ЯМР 13С информативным является резонирование в слабом поле сигналов центральных атомов углерода алленовых фрагментов, проявляющихся в области δс 212 м.д., и 2 терминальных алленовых углеродных атомов, которые проявляются в виде 2 сигналов при δс 90.57, 96.33 м.д. для соединения 5а, при δс 90.06, 95.58 м.д. для соединения 5b и при δс 90.02, 95.69 м.д. для соединения 5с. В спектре ЯМР 1Н сигнал протона алленового фрагмента идентифицируется в области от δн 5.61 до 6.03 м.д.
Реакция 1,3-диполярного циклоприсоединения диазокетона 6 к 2,3-диеноатам 5a–c при нагревании в ацетонитриле в течение 56 ч приводит к 3,4,5-тризамещенным 1H-пиразолам 7a–c с выходами 34, 51 и 68% соответственно. Строение полученных и выделенных в индивидуальном виде соединений 7a–c подтверждено данными физико-химического анализа. В спектре ЯМР 1Н соединений 7a–c наблюдаются ушириные синглетные сигналы протона NH-групп пиразольного фрагмента молекулы в области δн 11.87, 11.68 и 11.93 м.д. соответственно. Также в спектрах ЯМР 1Н соединений 7a–c наблюдались синглетные сигналы CH3-групп от сложных эфиров в области δн 3.76 м.д. для соединения 7a, δн 3.92 м.д. для соединения 7b и δн 3.89 м.д. для соединения 7c. В 3,4,5-пиразолах 7a–c, выделенных в индивидуальном виде колоночной хроматографией, четко наблюдаются сигналы четвертичных атомов углерода сложноэфирных фрагментов, резонирующие в области δс 159.87, 160.12, 160.02 м.д., и четвертичных атомов углерода (кетогрупп), расположенных в α-положении к пиразольному кольцу, которые резонируют в области δс 195.66, 195.51, 195.68 м.д. соответственно. Также наблюдаются сигналы четвертичных атомов углерода кетоимидных фрагментов, резонирующие в области δс 168.32 и 171.25 м.д. для соединения 7a, δс 168.40 и 177.97 м.д. для соединения 7b, δс 168.37 м.д., и 2 неэквивалентных сигналов карбонильных групп, резонирующих при 176.89 и 179.74 м.д. для соединения 7с.
ЭКСПЕРИМЕНТАЛЬНАЯ ЧАСТЬ
ИК спектры записывали на приборе IRPrestige-21 (Fourier Transform Spectrophotometer –Shimadzu) (Япония) в вазелиновом масле. Спектры ЯМР получены на спектрометре Bruker-AM (Германия) 500 с рабочей частотой 500.13 (1Н), 125.76 (13С) МГц, внутренний стандарт – тетраметилсилан (ТМС). Для корректного отнесения сигналов в спектрах ЯМР для продуктов реакций использовали методы гомо- и гетероядерной двумерной корреляции COSY, NOESY, HSQC и HMBC. Ход реакции контролировали с использованием ТСХ на пластинках Sorbfil ПТСХ-АФ-А, вещества обнаруживали с помощью УФ-облучения, паров йода, опрыскивания пластинок раствором нингидринового проявителя или раствором анисового альдегида с последующим нагреванием при 100–120°С. Температуру плавления определяли на нагревательном столике Buetius. Элементный анализ выполнен с помощью автоматического CHNS-анализатора EURO EA–3000 (Италия).
2-(Додецен-1-ил) янтарный ангидрид (Sigma-Aldrich), оксалилхлорид (Aifa Aesar, 98%), метил(трифенилфосфоранилиден)ацетат (Sigma-Aldrich) использовали без дополнительной очистки. Ацетон, ацетонитрил и этилацетат перегоняли над P2O5. Петролейный эфир кипятили и перегоняли над натрием. Продукты реакции выделяли методом колоночной хроматографии на силикагеле Chemapol с размерами частиц 0.04–0.063 мм и 0.1–0.16 мм.
Пирролидиндионы 3-аминобутановой кислоты 3a–c. Общая методика. Продукт прямого сплавления по Ризе получен по методике, аналогичной представленной в литературе [9]. Смесь эквимольного количества аминокислоты 5.2 г (50 ммоль) и тщательно измельченных ангидридов (50 ммоль) нагревали 0.5 ч при температуре масляной бани 145–150°С. Соединения 3b и 3c выделяли колоночной хроматографией, в качестве элюента использовали ацетон и петролейный эфир/этилацетат (4/1) соответственно. В случае соединения 3a после охлаждения реакционной массы твердый продукт растворяли в минимальном количестве горячего метанола и осаждали водой. Выпавшую кислоту отфильтровывали, промывали холодной водой и сушили в течение 2 дней.
3'-(1,3-Диоксо-1,3-дигидро-2H-изоиндол-ил)бутановая кислота (3а). Выход 10.2 г (87%), белый порошок, т.пл. 123°С. ИК спектр (вазелиновое масло), ν, см–1: 3550, 3455, 1765, 1700, 1601, 1467, 1376, 725. Спектр ЯМР 1Н (CDCl3), δ, м.д.: 1.50 д (3H, H4, J 6.8 Гц), 2.83 м (1H, Н2'а), 3.19 м (1H, Н2'b), 4.77 м (1H, H3'), 7.73 м (4Hаром), 9.89 уш.с (1H, ОH). Спектр ЯМР 13С (CDCl3), δ, м.д.: 18.76 (С4'), 37.70 (С2'), 43.19 (С3'), 123.31 (2 × С4,7), 131.84 (2 × С3a,7а), 133.99 (2 × С5,6), 168.09 (С1,3), 176.36 (С1'). Найдено, %: C 61.84; H 4.73; N 6.06. C12H11NO4. Вычислено, %: C 61.80; H 4.75; N 6.01.
3'-(1,3-Диоксо-1,3,3а,4,7,7а-гексагидро-2Н-4,7-метанизоиндол-2-ил)бутановая кислота (3b). Выход 9.6 г (77%), белый порошок, т.пл. 128°С. ИК спектр (вазелиновое масло), ν, см–1: 3067, 2926, 1771, 1705, 1696, 1369, 1245, 727. Спектр ЯМР 1Н (CDCl3), δ, м.д.: 1.27 д (3H, H4', J 6.9 Гц), 1.50 м (1Н, Н8a), 1.69 м (1Н, Н8b), 2.71 и 2.99 м (2H, Н2'), 3.20 м (2Hаром), 3.36 м (2Hаром), 4.48 м (1H, H3'), 6.06 м (2Hаром), 7.26 уш. с (1H, ОH). Спектр ЯМР 13С (CDCl3), δ, м.д.: 17.88 (С4'), 36.95 (С2'), 43.63(С3'), 45.09 (2 × С3a,7а), 45.36 (2 × С4,7), 52.14 (C8), 134.56 (2 × С5,6), 176.14 (С1,3), 177.68 (С1'). Найдено, %: C 62.66; H 6.09; N 5.65. C13H15NO4. Вычислено, %: C 62.64; H 6.07; N 5.62.
3'-{3-[(2Е)-2-Додецен-1-ил]-2,5-диоксо-1-пирролидинил}бутановая кислота (3c). Выход 12.4 (70%), маслообразное вещество. ИК спектр (вазелиновое масло), ν, см–1: 3116, 2924, 1769, 1743, 1674, 1418, 1184. Спектр ЯМР 1Н (CDCl3), δ, м.д.: 0.86 т (3H, Н17, J 6.7 Гц), 1.19–1.34 м (14H, Н10, 11, 12, 13, 14, 15, 16), 1.38 д (3H, Н4', J 6.3 Гц), 1.99 м (2H, Н9), 2.26 м (1H, Н4а), 2.41 м (2H, H6), 2.50 м (1H, Н4b), 2.74 м (1H, Н6a), 2.81 м (1H, Н3), 3.12 м (1H, Н6b), 4.61 м (1H, Н3'), 5.26 м (1H, Н7), 5.54 м (1Н, Н8), 7.26 уш.с (1H, ОH). Спектр ЯМР 13С (CDCl3), δ, м.д.: 14.12 (С17), 17.98 (С4'), 22.68 (С16), 28.26 (С6), 29.16 (С11), 29.33 (С14), 29.48 (С13), 29.56 (С10), 31.89 (С12), 32.54 (С15), 33.20 (С9), 33.95 (С4), 36.60 (С2'), 39.32 (С3), 43.82 (С3'), 124.05 (С7), 135.50 (С8), 176.05 (С5), 176.62 (С2'),179.41 (С2). Найдено, %: С 68.37; Н 9.49; N 3.41. С20Н33NO4. Вычислено, %: С 68.34; Н 9.46; N 3.99.
Получение алленоатов 5a–c, 6 реакцией Виттига. Общая методика. К раствору 0.67 г (2 ммоль) метил(трифенилфосфоранилиден)ацетата в хлористом метилене (10 мл) прикапывали 0.3 мл (2.1 ммоль) триэтиламина, раствор охлаждали до 0–5°С. К этому раствору медленно по каплям добавляли охлажденный раствор эквимольного количества хлорангидрида соответствующих кислот в хлористом метилене (5 мл). Реакционную массу перемешивали 4 ч. Растворитель упаривали, продукты реакции выделяли колоночной хроматографией на силикагеле (элюент: петролейный эфир–этилацетат, 7 : 3).
2',3'-Гексадиеновой кислоты 5'-(1,3-дигидро-1,3-диоксо-2Н-изоиндол-2-ил)метиловый эфир (5a). Выход 0.42 г (82%), белое твердое вещество, т.пл. 92°С. ИК спектр (вазелиновое масло), ν, см–1: 1963, 1772, 1717, 1384, 1169, 1058, 879, 726. Спектр ЯМР 1Н (CDCl3), δ, м.д.: 1.59 д (3H, H6', J 7.1 Гц), 3.70 д (3Н, СН3), 5.15 м (1H, H5'), 5.69 и 5.78 д.м (1H, Н4'), 5.61 и 6.03 д.м (1H, Н2'), 7.69 м (2Hаром), 7.84 м (2Hаром). Спектр ЯМР 13С (CDCl3), δ, м.д.: 18.41 и 19.19 (С6'), 44.28 и 44.99 (С5'), 52.14 (СН3), 90.57 (С2'), 96.33 (С4'), 123.34 (2 × С4,7), 131.86 (2 × С3a,7а), 134.09 (2 × С5,6), 165.67 (С1'), 167.59 (С1,3), 212.09 (С3'). Найдено, %: C 66.44; H 4.85; N 5.19. C15H13NO4. Вычислено, %: C 66.41; H 4.83; N 5.16.
Метил-5'-(1,3-диоксо-1,3,3а,4,7,7а-гексагидро-2Н-4,7-метаноизоиндол-2-ил)-2',3'-гексадиеноат (5b). Выход 0.42 г (77%), прозрачное маслообразное вещество. ИК спектр (вазелиновое масло), ν, см–1:1962, 1689, 1663, 1623, 1355, 1201. Спектр ЯМР 1Н (CDCl3), δ, м.д.: 1.61 д (3H, H6', J 7.9 Гц), 1.69 м (2Н, Н8), 2.67 м (2Hаром), 3.28 м (2Hаром), 3.68 д (3Н, СН3), 4.73 м (1H, H5'), 5.61 и 5.70 д.м (1H, Н2'), 5.79 и 5.92 д.м (1H, Н4'), 6.09 м (2Hаром). Спектр ЯМР 13С (CDCl3), δ, м.д.: 19.04 и 20.99 (С6'), 44.67 (2 × С3a,7а), 45.07 и 45.14 (С5'), 45.40 (2 × С4,7), 52.04 (C8), 52.11 (СН3), 90.06 (С2'), 95.48 (С4'), 134.28 (2 × С5,6), 165.62 (С1'), 177.48 (С1,3), 211.67 (С3'). Найдено, %: C 66.91; H 5.99; N 4.92. C16H17NO4. Вычислено, %: C 66.89; H 5.96; N 4.88.
Метил-5'-{3-[(2Е)-2-додецен-1-ил]-2,5-диоксо-1-пирролидинил}-2',3'-гексадиеноат (5c). Выход 0.46 г (59%), маслообразное вещество. ИК спектр (вазелиновое масло), ν, см–1: 1966, 1703, 1694, 1684, 1379, 1195. Спектр ЯМР 1Н (CDCl3), δ, м.д.: 0.87 т (3H, Н17, J 6.8 Гц), 1.18–1.38 м (14H, Н10, 11, 12, 13, 14, 15, 16), 1.51 д (3H, Н7', J 6.9 Гц), 1.96 м (2H, Н9), 2.29 м (1H, Н4а), 2.38 м (1H, H6a), 2.49 м (1H, Н4b), 2.71 м (1H, Н6b), 2.82 м (1H, Н3), 3.73 м (3H, H1'), 4.93 м (1H, Н6'), 5.25 м (1Н, Н8), 5.53 м (1H, Н7), 5.67 и 5.74 д.м (1H, Н3'), 5.89 и 6.01 д.м (1H, Н5'). Спектр ЯМР 13С (CDCl3), δ, м.д.: 14.08 (С17), 18.51 (С7'), 22.66 (С16), 28.37 (С6), 29.13 (С11), 29.30 (С14), 29.45 (С13), 29.53 (С10), 31.87 (С12), 32.52 (С15), 33.28 (С9), 34.02 (С4), 39.45 (С3), 45.59 (С6'), 52.16 (С1'),90.02 (С3'), 95.69 (С5'), 123.84 (С7), 135.60 (С8), 165.50 (С2'), 175.81 (С5), 178.78 (С2), 211.61 (С4'). Найдено, %: С 70.95; Н 9.09; N 3.63. С23Н35NO4. Вычислено, %: С 70.92; Н 9.06; N 3.60
2-(5'-Диазо-4'-оксопентил)-1H-изоиндол-1,3(2H)-дион (6). Выход 90%, желтый порошок, т.пл. 91°С. ИК спектр (вазелиновое масло), ν, см–1: 2105, 1768, 1707, 1632, 1462, 1377, 716. Спектр ЯМР 1Н (CDCl3), δ, м.д.: 1.98 м (2H, H2'), 2.34 м (2Н, Н3'), 3.67 м (2H, Н1'), 5.29 с (1H, H5'), 7.69 м (2Hаром), 7.78 м (2Hаром). Спектр ЯМР 13С (CDCl3), δ, м.д.: 23.92 (С2'), 37.26 (С3'), 37.83 (С1'), 54.57 (С5'), 123.21 (2 × С4,7), 131.98 (2 × С3a,7а), 134.00 (2 × С5,6), 168.35 (С1,3), 193.51 (С4'). Найдено, %: C 60.73; H 4.34; N 16.35. C13H11N3O3. Вычислено, %: C 60.70; H 4.31; N 16.33.
Получение 3,4,5-пиразолов 7a–c. Общая методика. Раствор 1 ммоль соответствующего аллена и 0.26 г (1 ммоль) диазокетона в 20 мл безводного ацетонитрила нагревали в течение 56 ч при температуре 82°C. Растворитель отгоняли, продукты выделяли с помощью колоночной хроматографии на силикагеле (элюент: петролейный эфир–этилацетат, 7 : 3).
Метил-5'-[4-(1,3-диоксо-1,3-дигидро-2Н-изоиндол-2-ил)бутаноил]-4'-[2''-(1'',3''-диоксо-1'',3''-дигидро-2H-изоиндол-2''-ил)пропил]-1H-пиразол-3'-карбоксилат (7a). Выход 179.2 мг (34%), маслообразное вещество. ИК спектр (вазелиновое масло), ν, см–1: 3245, 2929, 1791, 1696, 1611, 1457, 1374, 715. Спектр ЯМР 1Н (CDCl3), δ, м.д.: 1.60 д (3H, Н11''), 2.05 м (2H, H9), 3.44 м (2H, Н10), 3.76 с (3H, H7'), 3.83 т (2H, H8, J 6.8 Гц), 4.09 м (1H, H10a''), 4.12 м (1H, H10b''), 4.59 м (1H, Н9''), 7.62 м (2H, Н5, 6), 7.69 м (2H, H5'', 6''), 7.71 м (2H, Н4, 7), 7.81 м (2H, H4'', 7''), 11.87 уш.с (1H, NН). Спектр ЯМР 13С (CDCl3), δ, м.д.: 18.40 (С11''), 22.75 (С9), 28.08 (С10''), 36.70 (С10), 37.41 (С8), 48.20 (С9''), 52.19 (С7'), 122.84 (С4'', 7''), 123.16 (С4, 7), 124.26 (С3'), 131.88 (С5'), 132.14 (С3a'', 7a''), 132.70 (С3а,7а), 133.63 (С5, 6), 133.98 (С5'', 6''), 148.73 (С4'), 159.87 (С6'), 168.32 (2 × С1'',3''), 171.25 (2 × С1,3), 195.66 (С11). Найдено, %: С 63.66; Н 4.61; N 10.61. С28Н24N4O7. Вычислено, %: С 63.63; Н 4.58; N 10.60.
Метил-5'-[8-(1,3-диоксо-1,3-дигидро-2H-изоиндол-2-ил)бутаноил]-4'-[2''-(1'',3''-диоксо-1'',3'',3а'',4'',7'',7а''-гексагидро-2Н-4'',7''-метанизоиндол-2''-ил)пропил]-1H-пиразол-3'-карбоксилат (7b). Выход 277 мг (51%), маслообразное вещество. ИК спектр (вазелиновое масло), ν, см–1: 3244, 2942, 1769, 1722, 1674, 1614, 1363, 1189, 752. Спектр ЯМР 1Н (CDCl3), δ, м.д.: 1.28 д (3H, Н11'', J 5.1 Гц), 1.46 д (1Н, Н8a'', J 8.6 Гц), 1.64 д (1Н, Н8b'', J 8.6 Гц), 2.10 м (2H, H9), 3.09–3.14 м (4H, Н10, 4'', 7''), 3.25 м (1H, H10a''), 3.32 м (2H, H3a'', 7a''), 3.43 м (1H, H10b''), 3.75 т (2H, H8, J 6.8 Гц), 3.92 с (3H, H7'), 4.31 м (1H, Н9''), 5.92 д (2H, H5'', 6'', J 16.4 Гц), 7.67 м (2H, Н5, 6), 7.79 м (2H, Н4, 7), 11.68 уш.с (1H, NН). Спектр ЯМР 13С (CDCl3), δ, м.д.: 17.56 (С11''), 22.80 (С9), 26.94 (С10''), 36.67 (С10), 37.47 (С8), 44.93 (С3a'', 7a''), 45.24 (С4'', 7''), 48.14 (С9''), 52.01 (С8''), 52.32 (С7'), 123.18 (С4, 7), 124.17 (С3'), 132.12 (С3а,7а), 133.26 (С5'), 133.86 (С5, 6), 134.25 (С5'', 6''), 148.63(С4'), 160.12 (С6'), 168.40 (2 × С1,3), 177.97 (2 × С1'',3''), 195.51 (С11). Найдено, %: С 63.99; Н 5.21; N 10.31. С29Н28N4O7. Вычислено, %: С 63.96; Н 5.18; N 10.29.
Метил-5'-[4-(1,3-диоксо-1,3-дигидро-2Н-изоиндол-2-ил)бутаноил]-4'-(2''-{3''-[(2E)-2''-додецен-1''-ил]-2'',5''-диоксо-1''-пирролидинил}пропил)-1Н-пиразол-3'-карбоксилат (7c). Выход 439 мг (68%), маслообразное вещество. ИК спектр (вазелиновое масло), ν, см–1: 3231, 2929, 1771, 1696, 1683, 1395, 1189, 729. Спектр ЯМР 1Н (CDCl3), δ, м.д.: 0.83 т (3H, Н17'', J 6.8 Гц), 1.16–1.29 м (14H, Н10'', 11'', 12'', 13'', 14'', 15'', 16''), 1.46 д (3H, Н20'', J 6.8 Гц), 1.91 м (2H, Н9''), 2.08 м (2H, Н9), 2.26 м (1H, Н4а''), 2.41 м (1H, H6a''), 2.54 м (1H, Н4b''), 2.62 м (1H, Н6b''), 2.67 м (1H, Н3''), 3.07 м (2H, H10), 3.26 м (1H, Н18а''), 3.53 м (1H, Н18b''), 3.74 т (2Н, Н8, J 6.8 Гц), 3.89 с (3H, Н7'), 4.43 м (1H, Н19''), 5.22 м (1H, Н7''), 5.44 м (1H, Н8''). 7.66 м (2H, Н5, 6), 7.79 м (2H, Н4, 7), 11.93 уш.с (1H, NН). Спектр ЯМР 13С (CDCl3), δ, м.д.: 14.08 (С17''), 17.77 (С20''), 22.64 (С9''), 22.77 (С16''), 27.08 (С18''), 29.12 (С6''), 29.29 (С11''), 29.43 (С14''), 29.52 (С13''), 31.84 (С10''), 32.49 (С12''), 33.20 (С15''), 33.44 (С4''), 33.93 (С9''), 36.65 (С8), 37.45 (С10), 39.25 (С3''), 48.76 (С19''), 52.28 (С7'), 123.16 (С4, 7), 124.33 (С7''), 124.51 (С3'), 132.10 (С5'), 132.99 (С3а,7а), 133.84 (С8''), 134.90 (С5, 6), 148.54 (С4'), 160.02 (С6'), 168.37 (2×С1,3), 176.89 (С5''), 179.74 (С2''), 195.68 (С11). Найдено, %: С 66.88; Н 7.19; N 8.69. С36Н46N4O7. Вычислено, %: С 66.85; Н 7.17; N 8.66.
ЗАКЛЮЧЕНИЕ
Представлена простая методика синтеза 3,4,5-пиразолов в результате 1,3-диполярного циклоприсоединения диазокетона к 2,3-алленоатам. Предлагаемый подход весьма перспективен в синтезе ряда новых функционализированных пиразолов для биохимии и фармацевтической отрасли. Представленный способ взаимодействия диазокетона с алленоатом протекает региоселективно по кратной связи, сопряженной со сложноэфирной группой.
БЛАГОДАРНОСТИ
Работа выполнена с использованием научного оборудования центра коллективного пользования “Химия” и “Агидель” УФИЦ РАН.
ФОНДОВАЯ ПОДДЕРЖКА
Работа выполнена при поддержке госзадания “Новые перспективные органические материалы с заданными функциональными свойствами для промышленности, медицины и сельского хозяйства”.
КОНФЛИКТ ИНТЕРЕСОВ
Авторы заявляют об отсутствии конфликта интересов.
Об авторах
Г. М. Гиндуллина
Уфимский институт химии – обособленное структурное подразделение Уфимского федерального исследовательского центра Российской академии наук
Email: ioh039@mail.ru
ORCID iD: 0009-0004-4008-4373
Россия, просп. Октября, 69, Уфа, 450054
И. М. Сахаутдинов
Уфимский институт химии – обособленное структурное подразделение Уфимского федерального исследовательского центра Российской академии наук
Автор, ответственный за переписку.
Email: ioh039@mail.ru
ORCID iD: 0000-0002-0041-8779
Россия, просп. Октября, 69, Уфа, 450054
Список литературы
- Мухаметьянова А.Ф., Сахаутдинов И.М., Нугума-нов Т.Р., Юнусов М.С. ЖОрХ. 2019, 55 (5), 742–746. [Mukhametyanova A.F., Sakhautdinov I.M., Nugumanov T.R., Yunusov M.S. J. Org. Chem. 2019, 55 (5), 742–746.] doi: 10.1134/S0514749219050112.
- Белецкая И.П., Наджера К., Юс М. Усп. хим. 2021, 90 (1), 70–93. [Beletskaya I.P., Nájera C., Yus M. Russ. Chem. Rev. 2021, 90 (1), 70–93]. doi: 10.1070/RCR4983
- Алабугин И.В., Брель В.К. Усп. хим. 1997, 66 (3), 225–245. [Alabugin I.V., Brel V.K. Russ. Chem. Rev. 1997, 66 (3), 225–245].
- Голованов А.А., Один И.С. ЖОрХ. 2015, 51 (3), 460–461. [Golovanov A.A., Odin I.S. J. Org. Chem. 2015, 51 (3), 447–448]. doi: 10.1134/S1070428015030306
- Паперная Л.К., Шатрова А.А., Албанов А.И., Левковская Г.Г. ЖОрХ. 2018, 54 (5), 731–737. [Papernaya L.K., Shatrova A.A., Albanov A.I., Levkovskaya G.G. J. Org. Chem. 2018, 54 (5), 734–741]. doi: 10.1134/S107042801805010X
- Гулюкина Н.С., Макухин Н.Н., Белецкая И.П. Усп. хим. 2016, 85 (7), 667–683. [Goulioukina N.S., Makukhin N.N., Beletskaya I.P. Russ. Chem. Rev. 2016, 85 (7), 667–683]. doi: 10.1070/RCR4579
- Доре А., Аспрони Б., Скампуду А., Пинна Ж.Э., Кристофферсен К.Т., Ланггард М., Келер Я. Евр. ж. мед. хим. 2014, 84, 181–193. [Dore A., Asproni B., Scampuddu A., Pinna G.A., Christoffersen C.T., Langgаrd M., Kehler J. Eur. J. Med. Chem. 2014, 84, 181–193]. doi: 10.1016/j.ejmech.2014.07.020
- Бехит А.А., Ашур Х.М., Гуэмей A.A. Архив фармации 2005, 338, 167–174. [Bekhit А.А., Ashour H.M., Guemei A.A., Arch. Pharm. 2005, 338, 167–174]. doi: 10.1002/ardp.200400940
- Маликова Р.Н., Сахаутдинов И.М., Юнусов М.С. ХПС 2019, 55, 60–65. [Malikova R.N., Sakhautdinov I.M., Yunusov M.S., Chem. Nat. Compd., 2019, 55, 60–65]. doi: 10.1007/s10600-019-02614-w
- Кумар В., Каур К., Гупта Г.К., Шарма А.К. Евр.ж. мед. хим. 2013, 69, 735–53. [Kumar V., Kaur K., Gupta G.K., Sharma A.K., Eur. J. Med. Chem., 2013, 69, 735–53]. doi: 10.1016/j.ejmech.2013.08.053.
- Камаль А., Вишвешвара Шастри К.Н., Чандрасе-кар Д., Мани Г.С., Адияла П.Р., Нануболу Д.Б., Сингарапу К.К., Маурья Р.А. ЖОрХ 2015, 80 (9), 4325–4335. [Kamal A., Visweswara Sastry K.N., Chandrasekhar D., Mani G.S., Adiyala P.R., Nanubolu J.B., Singarapu K. K., Maurya R. A., J. Org. Chem. 2015, 80 (9), 4325–4335]. doi: 10.1021/jo502946g




