Synthesis and Antiarrhythmic Activity of New 1,3,4-Oxadiazole Derivatives Containing a 1,4-Benzodioxane Fragment
- Authors: Avagyan A.S.1, Vartanyan S.O.1, Sargsyan A.B.1, Panosyan G.A.1, Mkrtchyan G.S.1, Tumajyan A.E.1, Muradyan R.E.1, Aghekyan A.A.1
-
Affiliations:
- Scientific and Technological Center of Organic and Pharmaceutical Chemistry of the National Academy of Sciences of the Republic of Armenia
- Issue: Vol 61, No 1 (2025)
- Pages: 75-81
- Section: ЭКСПЕРИМЕНТАЛЬНЫЕ СТАТЬИ
- URL: https://journals.rcsi.science/0514-7492/article/view/291859
- DOI: https://doi.org/10.31857/S0514749225010053
- EDN: https://elibrary.ru/AFPISO
- ID: 291859
Cite item
Abstract
By reacting the previously synthesized 4-(1,4-benzodioxan-6-yl)tetrahydro-2H-pyran-4-carboxylic acid chloride with hydrazine hydrate a symmetrically substituted diacylhydrazine was synthesized, cyclized with phosphorus oxychloride to 2,5-bis-(4-(1,4-benzodioxan-6-yl)tetrahydro-2H-pyran-4-yl)-1,3,4-oxadiazole. For the synthesis of unsymmetrically 2,5-disubstituted 1,3,4-oxadiazoles, the condensation reaction of the above mantione acid chloride with various hydrazides was carried out, and the subsequent cyclization of the resulting diacyl-substituted hydrazines under action of phosphorus oxychloride. The antiarrhythmic properties of the synthesized compounds were studied.
Full Text
ВВЕДЕНИЕ
Производные 1,3,4-оксадиазола, содержащие различные заместители в разных положениях, обладают широким спектром биологической активности – антибактериальной (фурамизол), противовоспалительной (ральтегравир), антиаритмической (несапидил), противоопухолевой (зиботенан), антигипертензивной (тиодазосин) и др. [1–3]. Структура 1,4-бензодиоксанового кольца, замещенного как в положении 2, так и в положении 6, также входит в состав многих применяемых в клинической практике лекарственных препаратов с выраженным действием на сердечно-сосудистую и центральную нервную системы, а также отвечает за противовирусные, противогрибковые и противоопухолевые свойства [4]. Бис-гетероциклические соединения, сочетающие вышеназванные фрагменты, синтезированные нами ранее, обладали умеренными противогипоксическими и антибактериальными свойствами [5, 6]. В продолжение поиска новых биологически активных соединений мы осуществили синтез новых производных 1,3,4-оксадиазола, содержащих замещенное 1,4-бензодиоксановое ядро в положении 6.
РЕЗУЛЬТАТЫ И ОБСУЖДЕНИЕ
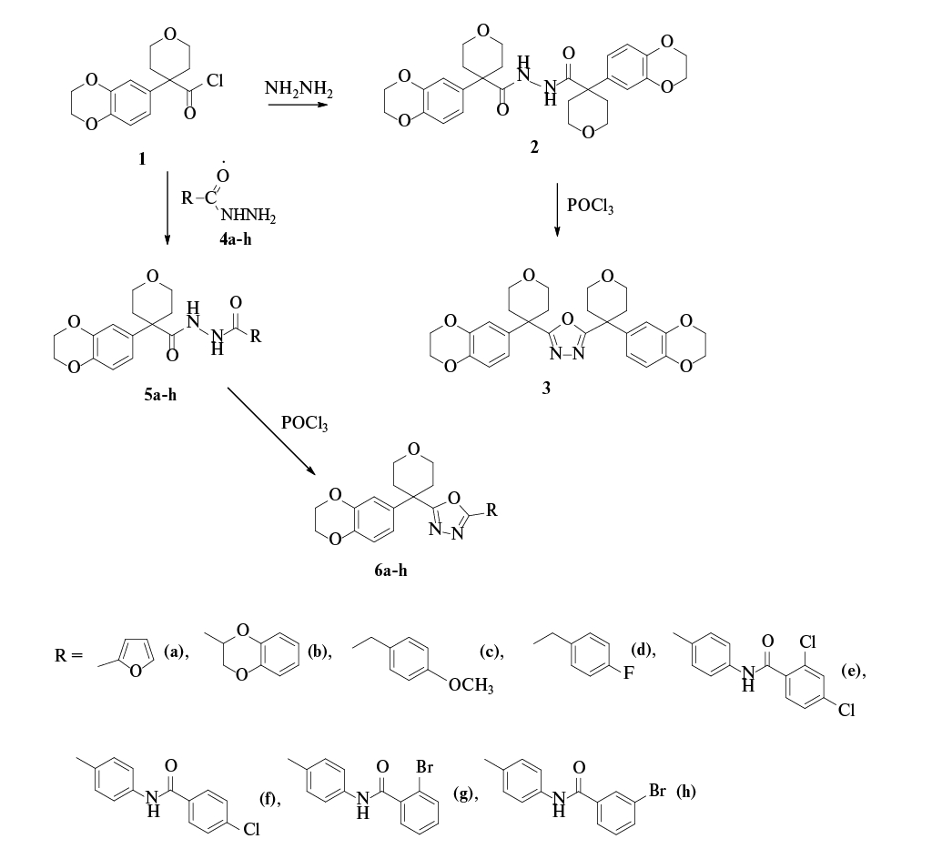
Для целенаправленного синтеза 1,3,4-оксадиазолсодержащих производных 1,4-бензодиоксана в качестве исходного продукта был использован хлорангидрид 4-(1,4-бензодиоксан-6-ил)тетрагидро-2Н-пиран-4-карбоновой кислоты (1) [7].
Реакцией конденсации синтезированного хлорангидрида 1 с гидразингидратом получен симметрично замещенный диацилгидразин 2, который действием оксихлорида фосфора в абсолютном толуоле переведен в 2,5-дизамещенный 1,3,4-оксадиазол 3, содержащий два 1,4-бензодиоксановых ядра с тетрагидропирановым заместителем в положении 6. Для синтеза несимметричных диацилзамещенных гидразинов осуществлены реакции конденсации хлорангидрида 1 с гидразидами различных кислот 4a–h, в результате которых получены диацилзамещенные соединения 5a–h, при этом в качестве растворителя использован абсолютный диоксан, а в качестве основного агента – пиридин. Выбор гидразидов 4 с весьма отличающимися друг от друга известными фармакофорными фрагментами сделан неслучайно, поскольку исследование биологической активности соединений могло привести к выявлению определенных закономерностей связи “структура–активность” в этом ряду соединений. Нами использованы полученные ранее гидразиды различных гетерил-, арилалкил- и арилкарбамидоарилкарбоновых кислот [5].
С целью получения таргетных 1,3,4-оксадиазолов 6а–h, содержащих 1,4-бензодиоксановое ядро, проведена реакция циклизации диацилзамещенных гидразинов 5a–h под действием оксихлорида фосфора в абсолютном толуоле. Синтезированные кислородсодержащие тригетероциклические соединения представляют собой белые кристаллические вещества (схема).
Схема
Строение и чистота всех синтезированных соединений подтверждены физико-химическими методами и ТСХ. Так, в ЯМР 1Н спектрах диацилзамещенных гидразинов 5a–h наблюдаются сигналы протонов двух NHCO-групп, которые исчезают в спектрах целевых 1,3,4-оксадиазольных производных 6а–h.
Изучены антиаритмические свойства синтезированных соединений 5a–h и 6a–h на хлоридкальциевой модели аритмии у наркотизированных крыс линии Вистар обоего пола, массой 180–220 г [8]. Антиаритмическое действие веществ оценивали по их способности восстанавливать нормальный синусовый ритм при введении аритмогена (кальция хлорид, 200 мг/кг, внутривенно).
Эксперименты показали, что при внутривенном введении в дозе 5 мг/кг соединение 6c предупреждает гибель подопытных животных при использовании аритмогена в 50% опытов, а вещества 6a и 5e проявляют слабое антиаритмическое действие (25%). Синусовый ритм восстанавливается через 1–3 мин после введения аритмогена. В контрольных опытах через 15–20 с наблюдается 90–100% гибель животных от фибрилляции желудочков сердца.
Работа выполнена с соблюдением всех применимых международных, национальных и институциональных руководящих принципов по уходу и использованию животных.
ЭКСПЕРИМЕНТАЛЬНАЯ ЧАСТЬ
ИК спектры соединений сняты на спектрометре Nicolet Avatar 330 FT-IR (США) в вазелиновом масле, спектры ЯМР 1Н и 13С – на спектрометре Varian Mercury-300 (США) в ДМСО-d6, рабочая частота 300 и 75.46 МГц, внутренний стандарт – ТМС. Температура плавления определена на микронагревательном столике Boëtius (Германия). Контроль за ходом реакций и индивидуальностью синтезированных соединений осуществляли с помощью ТСХ на пластинах Silufol UV-254, подвижная фаза – бензол–ацетон (3 : 1), проявитель – пары йода. Часть использованных реактивов синтезирована нами, а остальные приобретены из фирмы “Sigma-Aldrich”. Все использованные реагенты соответствуют стандарту “х.ч.”.
4-(1,4-Бензодиоксан-6-ил)тетрагидро-2H-пиран-4-карбонилхлорид (1) получен по методике из литературы [7].
4-(1,4-Бензодиоксан-6-ил)тетрагидро-2Н-пиран-4-карбонил-N'-(4-(1,4-бензодиоксан-6-ил)тетрагидро-2Н-пиран)-4-карбогидразид (2). Смесь 1.7 г (0.006 моль) хлорангидрида 1 и 10 мл гидразингидрата в 20 мл спирта кипятили 2 ч. После охлаждения образовавшиеся кристаллы отфильтровывали, промывали водой, сушили и перекристаллизовывали из этилового спирта. Выход 2.2 г (71%), т.пл. 203–205°С, Rf 0.45. ИК спектр, ν, см–1: 3277 (NH), 1647, 1633 (NCO). Спектр ЯМР 1Н, δ, м.д.: 1.73–1.85 м (4Н, СН2), 2.41 ш.д (4Н, СН2, J 13.4 Гц), 3.41–3.50 м (4Н) и 3.65–3.73м [4Н, 2 (СН2)2О)], 4.21 уш.с (8Н, 4 ОСН2), 6.69–6.82 м (6Н, С6Н3), 8.80 уш. с (2Н, 2 NH). Спектр ЯМР 13С, δ, м. д.: 33.6 (4CH2), 45.9 (2C), 63.7 [2 (СН2)2О)], 64.3 (4 ОСН2), 114.5 (2СН), 116.1 (2СН), 118.2 (2СН), 136.7, 141.7, 142.6, 172.4. Найдено, %: С 64.29; Н 6.41; N 5.68. С28Н32N2О8. Вычислено, %: С 64.11; Н 6.15; N 5.34.
2,5-Бис-(4-(1,4-бензодиоксан-6-ил)тетрагидро-2Н-пиран-4-ил)-1,3,4-оксадиазол (3). К 2.6 г (0.005 моль) диацилгидразина 2 в 20 мл сухого толуола медленно прибавляли 6 мл оксихлорида фосфора и нагревали 2.5–3 ч. После охлаждения выливали реакционную смесь в 100 мл ледяной воды, отделяли органический слой, а водный слой экстрагировали бензолом. Объединенные экстракты промывали водой, сушили, отгоняли растворитель, остаток кристаллизовали эфиром и перекристаллизовывали из смеси эфир–этанол (5 : 1). Выход 2.0 г (80%), т.пл.189–190°С, Rf 0.35 (бензол–ацетон, 1 : 1). Спектр ЯМР 1Н, δ, м.д.: 2.12 д.д.д (4Н, СН2, J 13.5, 11.3, 4.3 Гц), 2.42 ш.д (4Н, СН2, J 13.5 Гц), 3.31–3.40 м (4Н) и 3.77–3.85м [4Н, 2 (СН2)2О)], 4.20 с (8Н, 4 ОСН2), 6.57 д.д (2Н, С6Н3 , J 8.5, 2.4 Гц), 6.63 д (2Н, С6Н3, J 2.4 Гц), 6.69 д (2Н, С6Н3, J 8.5 Гц). Спектр ЯМР 13С, δ, м.д.: 34,5 (4СН2), 40.9 (2С), 63.6 [2 (СН2)2О], 63.7 (4 ОСН2), 113.9 (2СН), 116.7 (2СН), 117.6 (2СН), 135.7, 142.2, 143.0, 168.4. Найдено, %: С 66.70; Н 6.23; N 5.76 С28Н30N2О7. Вычислено, %: С 66.39; Н 5.97; N 5.53.
N,N'-Диацилзамещенные гидразины 5a–h. Общая методика. К смеси 0.01 моль гидразида 4a–h и 1 мл пиридина в 40 мл сухого диоксана прибавляли 2.8 г (0.01 моль) хлорангидрида 4-(1,4-бензодиоксан-6-ил)тетрагидро-2Н-пиран-4-карбоновой кислоты (1). Кипятили с обратным холодильником 8–10 ч. Затем реакционную смесь выливали в 150 мл воды. Образовавшиеся кристаллы отфильтровывали, промывали водой, разбавленным раствором NaOH, снова водой, сушили и перекристаллизовывали.
4-(1,4-Бензодиоксан-6-ил)-N'-(фуран-2-карбонил)тетрагидро-2Н-пиран-4-карбогидразид (5а). Получен из 1.26 г гидразида 4а. Выход 2.2 г (60%), т.пл. 106–107°С (толуол), Rf 0.50. ИК спектр, ν, см–1: 3246 (NH), 1690, 1656 (NCO). Спектр ЯМР 1Н, δ, м.д.: 1.75–1.87 м (2Н, СН2), 2.48–2.57 м (2Н, СН2), 3.62–3.79 м [4Н, 2 (СН2)2О)], 4.23 уш.с (4Н, 2 ОСН2), 6.52 д.д (1Н, Н-4 фуран, J 3.3, 1.7 Гц), 6.74 д (1Н, С6Н3, J 8.4 Гц), 6.87 д.д (1Н, С6Н3, J 8.4, 2.2 Гц), 6.90 д (1Н, С6Н3, J 2.2 Гц), 7.17 д (1Н, Н-3 фуран, J 3.3 Гц), 7.67 д (1Н, Н-5 фуран, J 1.7 Гц), 9.52 уш.с (1Н, NH), 9.92 уш.с (1Н, NH). Спектр ЯМР 13С, δ, м.д.: 34.1 (2CH2), 46.5 (C), 63.7 ((СН2)2О), 64.3 (2 ОСН2), 111.0 (СН фуран), 113.7 (СН фуран), 114.7 (СН), 116.2 (СН), 118.3 (СН), 136.6, 141.8, 142.7, 144.3 (СН), 146.4, 156.8, 172.2. Найдено, %: С 61.40; Н 5.68; N 7.79. С19Н20N2О6. Вычислено, %: С 61.28; Н 5.41; N 7.52.
N'-(4-(1,4-Бензодиоксан-6-ил)тетрагидро-2Н-пиран-4-карбонил)-1,4-бензодиоксан-2-карбогидразид (5b). Получен из 1.9 г гидразида 4b. Выход 2.6 г (59%), т.пл. 104–105°С (этанол), Rf 0.46. ИК спектр, ν, см–1: 3265 (NH), 1711, 1665 (NCO). Спектр ЯМР 1Н, δ, м.д.: 1.73–1.86 м (2Н, СН2), 2.49 ш.д (2Н, СН2), 3.56–3.77 м [4Н, 2 (СН2)2О)], 4.22 уш.с (4Н, 2 ОСН2), 4.27 д.д (1Н, ОСН2СН, J 11.4, 5.9 Гц), 4.35 д.д (1Н, ОСН2СН, J 11.4, 3.0 Гц), 4.80 д.д (1Н, ОСН, J 5.9, 3.0 Гц), 6.72 д (1Н, С6Н3, J 8.4 Гц), 6.78–6.94 м (6Н, С6Н3 и С6Н4 ), 9.53 д (1Н, NH, J 1.0 Гц ), 9.88 д (1Н, NH, J 1.0 Гц). Спектр ЯМР 13С, δ, м.д.: 33.9 (CH2 ), 34.1 (CH2), 46.4 (C), 63.7 ((СН2)2О), 64.2 (2 ОСН2), 64.5 (ОСН2), 71.8 (ОСН), 114.7 (СН), 116.2 (СН), 116.6 (СН), 117.1 (СН), 118.3 (СН), 120.8 (СН), 121.0 (СН), 136.5, 141.8, 141.9, 142.6, 142.7, 165.6, 171.7. Найдено, %: С 62.98; Н 5.73; N 6.58. С23Н24N2О7. Вычислено, %: С 62.72; Н 5.49; N 6.36.
4-(1,4-Бензодиоксан-6-ил)-N'-(2-(4-метоксифенил)ацетил)тетрагидро-2Н-пиран-4-карбогидразид (5с). Получен из 1.8 г гидразида 4с. Выход 3.2 г (76%), т.пл. 96–98°С (этанол), Rf 0.35. ИК спектр, ν, см–1: 3511, 3277(NH), 1692, 1651 (NCO). Спектр ЯМР 1Н, δ, м.д.: 1.73–1.83 м (2Н, СН2), 2.48 уш.д (2Н, СН2, J 13.5 Гц), 3.36 с (2Н, СН2), 3.56–3.65 м (2Н) и 3.68–3.74 м (2Н, О(СН2)2), 3.75 с (3Н, ОСН3), 4.18–4.23 м (4Н, 2 ОСН2), 6.72 д (1Н, С6Н3, J 8.3 Гц), 6.75–6.80 м (2Н, С6Н4), 6.83 д.д (1Н, С6Н3, J 8.3, 2.2 Гц), 6.85 д (1Н, С6Н3, J 2.2 Гц), 7.19–7.24 м (2Н, С6Н4), 9.38 уш.д (1Н, NН, J 1.5 Гц), 9.74 уш.д (1Н, NН, J 1.5 Гц). Спектр ЯМР 13С, δ, м.д.: 33.9 (2СН2), 39.4 (СН2), 46.4(С), 54.3 (ОСН2), 63.7 (О(СН2)2), 64.2 (2ОСН2), 113.0 (2СН), 114.6 (СН), 116.1 (СН), 118.2 (СН), 127.3, 129.7 (2СН), 136.6, 141.7, 142.6, 157.7, 169.0, 171.8. Найдено, %: С 64.98; Н 6.40; N 6.71. С23Н26N2О6. Вычислено, %: С 64.78; Н 6.15; N 6.57.
4-(1,4-Бензодиоксан-6-ил)-N'-(2-(4-фторфенил)ацетил)тетрагидро-2Н-пиран-4- карбогидразид (5d). Получен из 1.7 г гидразида 4d. Выход 3.1 г (75%), т.пл. 171–172°С (этанол), Rf 0.35. ИК спектр, ν, см–1: 3308, 3196 (NH), 1709, 1657 (NCO). Спектр ЯМР 1Н, δ, м.д.: 1.79 д.д.д (2Н, СН2, J 13.4, 10.8, 4.3 Гц), 2.50 уш.д (2Н, СН2, J 13.4 Гц), 3.44 с (2Н, СН2), 3.56–3.65 м (2Н) и 3.68–3.76 м (2Н, О(СН2)2), 4.17–4.26 м (4Н, 2ОСН2), 6.72 д (1Н, С6Н3, J 8.3 Гц), 6.84 д.д (1Н, С6Н3, J 8.3, 2.3 Гц), 6.86 д (1Н, С6Н3, J 2.3 Гц), 6.94–7.02 м (2Н, С6Н4 F), 7.30–7.37 м (2Н, С6Н4 F), 9.41 уш.д (1Н, NН, J 1.8 Гц), 9.84 уш.д (1Н, NН, J 1.8 Гц). Спектр ЯМР 13С, δ, м.д.: 34.0 (2СН2), 46.5 (С), 63.8 (О(СН2)2), 64.3 (2ОСН2), 114.3 д (2СН, JC,F 21.1 Гц, С6Н4), 114.7 (СН), 116.3 (СН), 118.3 (СН), 130.5 д (2СН, JC,F 7.8 Гц, С6Н4), 131.4 д (JC,F 3.0 Гц, С6Н4), 136.6, 141.9, 142.7, 161.0 д (JC,F 244.0 Гц, СF), 168.7. 171.9. Найдено, %: С 64.02; Н 5.83; N 6.95. С22Н23FN2О5. Вычислено, %: С 63.76; Н 5.59; N 6.76.
2,4-Дихлор-N-(4-(2-(4-(1,4-бензодиоксан-6-ил)-тетрагидро-2Н-пиран-4- карбонил)гидразинокарбонил)фенил)бензамид (5е). Получен из 3.2 г гидразида 4е. Выход 3.6 г (63%), т.пл. 230–231°С (этанол), Rf 0.30. ИК спектр, ν, см–1: 3268 (NH), 1659 (NCO). Спектр ЯМР 1Н, δ, м.д.: 1.77–1.89 м (2Н, СН2), 2.57 уш.д (2Н, СН2, J 13.4 Гц), 3.69–3.79 м (4Н, О(СН2)2), 4.19–4.28 м (4Н, 2ОСН2), 6.76 д (1Н, С6Н3, J 8.3 Гц), 6.88–6.93 м (2Н, С6Н3), 7.43 д.д (1Н, С6Н3Cl2, J 8.2, 2.0 Гц), 7.52 д (1Н, С6Н3Cl2, J 2.0 Гц), 7.58 д (1Н, С6Н3Cl2, J 8.2 Гц), 7.75–7.81 м (2Н) и 7.87–7.92 м (2Н, С6Н4), 9.50 с (1Н, NН), 10.06 с (1Н, NН), 10.52 с (1Н, NН). Спектр ЯМР 13С, δ, м.д.: 34.1 (2СН2), 46.6 (С), 63.8 (О(СН2)2), 64.4 (2ОСН2), 114.8 (СН), 116.3 (СН), 118.4 (СН), 118.7 (2СН), 126.7 (СН), 127.5, 128.1 (2СН), 128.9 (СН), 130.1 (СН), 131.5, 134.9, 135.3, 136.7, 141.5, 141.9, 142.8, 163.6, 164.9, 172.3. Найдено, %: С 59.11; Н 4.68; N 7.59. С28Н25Cl2N3О6. Вычислено, %: С 58.96; Н 4.42; N 7.37.
4-Хлор-N-(4-(2-(4-(1,4-бензодиоксан-6-ил)тетрагидро-2Н-пиран-4-карбонил)гидразинокарбонил)фенил)бензамид (5f). Получен из 2.9 г гидразида 4f. Выход 3.3 г (63%), т.пл. 199–201°С (бензол–этанол, 5 : 1), Rf 0.35. ИК спектр, ν, см–1: 3405, 3304 (NH), 1702, 1667 (NCO). Спектр ЯМР 1Н, δ, м.д.: 1.78–1.90 м (2Н, СН2), 2.55 ш.д (2Н, СН2, J 13.4 Гц), 3.67–3.79 м (4Н, О(СН2)2), 4.16–4.27 м (4Н, 2ОСН2), 6.75 д (1Н, С6Н3, J 8.3 Гц), 6.86–6.93 м (2Н, С6Н3), 7.45–7.50 м (2Н, С6Н4Cl), 7.80–7.92м (4Н, С6Н4), 7.99–8.04 м (2Н, С6Н4Cl), 9.75 ш.с (2Н, NНNН), 10.27 уш.с (1Н, NН). Спектр ЯМР 13С, δ, м.д.: 34.1 (2СН2), 46.5 (С), 63.8 (О(СН2)2), 64.3 (2ОСН2), 114.8 (СН), 116.2 (СН), 118.4 (СН), 119.3 (2СН), 120.1, 127.8 (2 .2СН), 128.6, 128.8, 129.3 (2СН), 133.1, 136.6, 136.8, 141.8, 142.7, 163.8, 164.7. Найдено, %: С 62.98; Н 5.20; N 8.11. С28Н26ClN3О6. Вычислено, %: С 62.75; Н 4.89; N 7.84.
2-Бром-N-(4-(2-(4-(1,4-бензодиоксан-6-ил)тетрагидро-2Н-пиран-4-карбонил)гидразинокарбонил)фенил)бензамид (5g). Получен из 3.3 г гидразида 4g. Выход 3.7 г (65%), т.пл. 226–228°С (ацетон), Rf 0.35. ИК спектр, ν, см–1: 3288, 3200 (NH), 1678, 1645 (NCO). Спектр ЯМР 1Н, δ, м.д.: 1.78–1.89 м (2Н, СН2), 2.68 ш.д (2Н, СН2, J 13.3 Гц), 3.69–3.81 м (4Н, О(СН2)2), 4.18–4.32 м (4Н, 2ОСН2), 6.75 д (1Н, С6Н3, J 8.2 Гц), 6.88–6.95 м (2Н, С6Н3), 7.45 ш.т (1Н, С6Н4Br, J 7.8 Гц), 7.50–7.56 м (2Н, С6Н4Br), 7.78 ш.д (1Н, С6Н4Br, J 7.8 Гц), 7.84–7.94 м (4Н, С6Н4), 9.52 ш.с (1Н, NН), 10.05 ш.с (1Н, NН), 10.45 с (1Н, NН). Спектр ЯМР 13С, δ, м.д.: 34.1 (2СН2), 46.5 (С), 63.7 (О(СН2)2), 64.3 (2ОСН2), 114.7 (СН), 116.2 (СН), 118.4 (СН), 119.3 (2СН), 126.5 (СН), 127.4, 127.9 (2СН), 129.5 (СН), 130.2 (СН), 132.3, 136.7 (СН), 141.6, 141.8, 142.7, 164.7, 165.2, 172.0. Найдено, %: С 58.23; Н 4.79; N 7.50. С28Н26BrN3О6. Вычислено, %: С 57.94; Н 4.52; N 7.24.
3-Бром-N-(4-(2-(4-(1,4-бензодиоксан-6-ил)тетрагидро-2Н-пиран-4-карбонил)гидразинокарбонил)фенил)бензамид (5h). Получен из 3.3 г гидразида 4h. Выход 3.6 г (62%), т.пл. 135–137°С (этанол), Rf 0.35. ИК спектр, ν, см–1: 3280 (NH), 1653 (NCO). Спектр ЯМР 1Н, δ, м.д.: 1.78–1.89 м (2Н, СН2), 2.57 уш.д (2Н, СН2, J 13.4 Гц), 3.68–3.80 м (4Н, О(СН2)2), 4.17–4.30 м (4Н, 2ОСН2), 6.76 д (1Н, С6Н3, J 8.3 Гц), 6.87–6.93 м (2Н, С6Н3), 7.42 уш.т (1Н, С6Н4Br, J 7.9 Гц), 7.67 ш.д (1Н, С6Н4Br, J 7.9 Гц), 7.83–7.92 м (4Н, С6Н4), 7.98 ш.д (1Н, С6Н4Br, J 7.9 Гц), 8.18 уш.т (1Н, С6Н4Br, J 1.6 Гц), 9.50 ш.с (1Н, NН), 10.03 ш.с (1Н, NН), 10.33 с (1Н, NН). Спектр ЯМР 13С, δ, м.д.: 34.1 (2СН2), 46.5 (С), 63.7 (О(СН2)2), 64.3 (2ОСН2), 114.7 (СН), 116.2 (СН), 118.4 (СН), 119.3 (2СН), 121.5, 126.5 (СН), 127.4, 127.9 (2СН), 129.5 (СН), 130.4 (СН), 133.6, 136.7 (СН), 141.7, 141.8, 142.7, 163.4, 164.9, 172.2. Найдено, %: С 58.23; Н 4.79; N 7.50. С28Н26BrN3О6. Вычислено, %: С 57.94; Н 4.52; N 7.24.
1,4-Бензодиоксанил-1,3,4-оксадиазолы 6a–h. Общая методика. К 0.005 моль диацилгидразина 5a–h в 20 мл сухого толуола медленно прибавляли 6 мл оксихлорида фосфора и нагревали 2.5–3 ч. После охлаждения выливали реакционную смесь в 100 мл ледяной воды, отделяли органический слой, водный слой экстрагировали бензолом (2 × 50 мл). Объединенные экстракты промывали водой, сушили, отгоняли растворитель, кристаллический остаток перекристаллизовывали.
2-(4-(1,4-Бензодиоксан-6-ил)тетрагидро-2Н-пиран-4-ил)-5-(фуран-2-ил)-1,3,4-оксадиазол (6a). Получен из 1.9 г соединения 5a. Выход 2.7 г (77%), т.пл.196–198°С (ацетон), Rf 0.46. Спектр ЯМР 1Н, δ, м.д.: 2.14–2.25 м (2Н, СН2), 2.58 ш.д (2Н, СН2, J 13.4 Гц), 3.46–3.55 м (2Н) и 3.83–3.90 м (2Н, (СН2)2О), 4.21 уш.с (4Н, 2 ОСН2), 6.63 д.д (1Н, Н-4 фуран, J 3.5, 1.7 Гц), 6.75–6.79 м (3Н, С6Н3), 7.15 уш.д (1Н, Н-3 фуран, J 3.5 Гц), 7.78 д.д (1Н, Н-5 фуран, J 1.7, 0.7 Гц). Спектр ЯМР 13С, δ, м.д.: 34.4 (2CH2), 40.5 (C), 63.6 ((СН2)2О), 63.7 (2 ОСН2), 111.7 (СН), 113.4 (СН), 114.1 (СН), 116.9 (СН), 117.8 (СН), 135.2, 138.7, 142.3, 143.1, 145.4 (СН), 156.8, 167.6. Найдено, %: С 64.65; Н 5.38; N 8.20. С19Н18N2О5. Вычислено, %: С 64.40; Н 5.12; N 7.91.
2-(1,4-Бензодиоксан-2-ил)-5-(4-(1,4-бензодиоксан-6-ил)тетрагидро-2Н-пиран-4-ил)-1,3,4-оксадиазол (6b). Получен из 2.2 г соединения 5b. Выход 1.7 г (81%), т.пл. 85–86°С (эфир–гексан), Rf 0.42. Спектр ЯМР 1Н, δ, м.д.: 2.08–2.21 м (2Н, СН2), 2.44–2.55 м (2Н, СН2), 3.32–3.47 м (2Н) и 3.77–3.85 м [2Н, (СН2)2О], 4.22 уш.с (4Н, 2 ОСН2), 4.43 д.д (1Н, ОСН2СН, J 11.7, 6.1 Гц), 4.57 д.д (1Н, ОСН2СН, J 11.7, 2.6 Гц), 5.56 д.д (1Н, ОСН, J 6.1, 2.6 Гц), 6.63–6.75 м (3Н) и 6.80–6.90 м (4Н, С6Н3 и С6Н4). Спектр ЯМР 13С, δ, м.д.: 34.3 (CH2 ), 34.5 (CH2 ), 40.5 (C), 63.53 и 63.57 ((СН2)2О), 63.62 (2 ОСН2), 64.1 (ОСН2), 65.9 (ОСН), 114.1 (СН), 116.6 (СН), 116.7 (СН), 116.8 (СН), 117.8 (СН), 121.1 (СН), 121.5 (СН), 135.1, 141.4, 142.3, 143.1, 161.6, 169.3. Найдено, %: С 65.65; Н 5.48; N 6.85. С23Н22N2О6. Вычислено, %: С 65.39; Н 5.25; N 6.63.
2-(4-(1,4-Бензодиоксан-6-ил)тетрагидро-2Н-пиран-4-ил)-5-(4-метоксибензил)-1,3,4-оксадиазол (6с). Получен из 2.1 г соединения 5с. Выход 1.5 г (75%), т.пл. 125–127°С (эфир), Rf 0.39. Спектр ЯМР 1Н, δ, м.д.: 2.07–2.18 м (2Н, СН2), 2.47 ш.д (2Н, СН2, J 13.4 Гц), 3.36–3.45 м (2Н) и 3.77–3.84 м (2Н, (СН2)2О), 3.76 с (3Н, ОСН3), 4.06 с (2Н, СН2), 4.21 уш.с (4Н, 2 ОСН2), 6.67 д.д (1Н, С6Н3, J 8.4, 2.3 Гц), 6.71 д (1Н, С6Н3, J 2.3 Гц), 6.73 д (1Н, С6Н3, J 8.4 Гц), 6.78–6.83 м (2Н) и 7.09–7.14 м (2Н, С6Н4). Спектр ЯМР 13С, δ, м.д.: 29.9 (CH2), 34.4 (2 CH2), 40.5 (C), 54.4 (ОСН3), 63.6 [2 ОСН2 и (СН2)2О)], 113.6 (2СН), 114.1 (СН), 116.7 (СН), 117.8 (СН), 125.5, 129.0 (2СН), 135.6, 142.2, 143.0, 158.2, 165.0, 168.5. Найдено, %: С 67.88; Н 6.18; N 7.10. С23Н24N2О5. Вычислено, %: С 67.63; Н 5.92; N 6.86.
2-(4-(1,4-Бензодиоксан-6-ил)тетрагидро-2Н-пиран-4-ил)-5-(4-фторбензил)-1,3,4-оксадиазол (6d). Получен из 2.07 г соединения 5d. Выход 2.9 г (74%), т.пл. 87–88°С (гексан), Rf 0.39. Спектр ЯМР 1Н, δ, м.д.: 2.12 д.д.д (2Н, СН2, J 13.6, 11.0, 4.3 Гц ), 2.46 ш.д (2Н, СН2, J 13.6 Гц), 3.37–3.46 м (2Н) и 3.77–3.84 м (2Н, (СН2)2О), 4.14 с (2Н, СН2), 4.21 уш.с (4Н, 2ОСН2), 6.67 д.д (1Н, С6Н3, J 8.3, 2.3 Гц), 6.70 д (1Н, С6Н3, J 2.3 Гц), 6.73 д (1Н, С6Н3, J 8.3 Гц), 6.97–7.05 м (2Н) и 7.21–7.28 м (2Н, С6Н4). Спектр ЯМР 13С, δ, м.д.: 29.9 (CH2 ), 34.4 (2 CH2), 40.5 (C), 63.6 [2 ОСН2 и (СН2)2О)], 114.1 (СН), 114.9 д (2СН, JC,F 21.4 Гц, С6Н4), 116.7 (СН), 117.8 (СН), 129.7 д (JC,F 3.2 Гц, С6Н4), 129.9 д (2СН, JC,F 8.1 Гц, С6Н4), 135.5, 142.2, 143.0, 161.2 д (JC,F 245.4 Гц, С6Н4), 164.6, 168.6. Найдено, %: С 66.89; Н 5.70; N 7.28. С22Н21FN2О4. Вычислено, %: С 66.66; Н 5.34; N 7.07.
2,4-Дихлор-N-(4-(5-(4-(1,4-бензодиоксан-6-ил)-тетрагидро-2Н-пиран-4-ил)-1,3,4-оксадиазол-2-ил)-фенил)бензамид (6e). Получен из 2.85 г соединения 5e. Выход 1.8 г (65%), т.пл.129–131°С (эфир), Rf 0.39. Спектр ЯМР 1Н, δ, м.д.: 2.14–2.26 м (2Н, СН2), 2.61 ш.д (2Н, СН2, J 13.4 Гц), 3.48–3.59 м (2Н) и 3.82–3.91 м [2Н, (СН2)2О], 4.21 уш.с (4Н, 2 ОСН2), 6.73–6.82 м (3Н, С6Н3 ), 7.43 д.д (1Н, С6Н3Cl2, J 8.3, 1.8 Гц), 7.52 д (1Н, С6Н3Cl2, J 1.8 Гц), 7.58 д (1Н, С6Н3Cl2, J 8.3 Гц), 7.85–7.92 м (4Н, С6Н4), 10.57 с (1Н, NН). Спектр ЯМР 13С, δ, м.д.: 34.5 (2CH2), 40.6 (C), 63.7 [(СН2)2О)], 63.8 (2ОСН2), 114.2 (СН), 116.9 (СН), 117.9 (СН), 118.3, 119.4 (2СН), 126.6 (СН), 126.9 (2СН), 128.9 (СН), 130.1 (СН), 131.5, 135.0, 135.1, 135.6, 141.7, 142.3, 143.1, 163.5, 163.7, 167.9. Найдено, %: С 60.59; Н 4.44; N 7.83. С28Н23Cl2N3О5. Вычислено, %: С 60.88; Н 4.20; N 7.61.
4-Хлор-N-(4-(5-(4-(1,4-бензодиоксан-6-ил)тетрагидро-2Н-пиран-4-ил)-1,3,4-оксадиазол-2-ил)фенил)бензамид (6f). Получен из 2.7 г соединения 5f. Выход 1.65 г (64%), т.пл. 125–126°С (эфир–гексан), Rf 0.39. Спектр ЯМР 1Н, δ, м.д.: 2.15–2.26 м (2Н, СН2), 2.61 ш.д (2Н, СН2, J 13.5 Гц), 3.48–3.58 м (2Н) и 3.83–3.91 м [2Н, (СН2)2О], 4.21 уш.с (4Н, 2 ОСН2), 6.74–6.82 м (3Н, С6Н3), 7.45–7.50 м (2Н, С6Н4Cl), 7.87–7.92 м (2Н, С6Н4).7.95–8.04 м (4Н, С6Н4 и С6Н4Cl), 10.33 с (1Н, NН). Спектр ЯМР 13С, δ, м.д.: 34.5 (2CH2), 40.6 (C), 63.7 [(СН2)2О], 63.8 (2ОСН2), 114.2 (СН), 116.9 (СН), 117.8 (СН), 118.1, 119.9 (2СН), 126.7 (2СН), 127.8 (2СН), 129.3 (2СН), 132.9, 135.6, 136.7, 142.1, 142.3, 143.1, 163.8, 163.9, 167.8. Найдено, %: С 65.22; Н 4.91; N 8.39. С28Н24ClN3О5. Вычислено, %: С 64.93; Н 4.67; N 8.11.
2-Бром-N-(4-(5-(4-(1,4-бензодиоксан-6-ил)тетрагидро-2Н-пиран-4-ил)-1,3,4-оксадиазол-2-ил)-фенил)бензамид (6g). Получен из 2.9 г соединения 5g. Выход 1.9 г (68%), т.пл. 198–200°С (эфир), Rf 0.39. Спектр ЯМР 1Н, δ, м.д.: 2.15–2.26 м (2Н, СН2), 2.61 ш.д (2Н, СН2, J 13.5 Гц), 3.50–3.59 м (2Н) и 3.84–3.91 м [2Н, (СН2)2О], 4.22 уш.с (4Н, 2 ОСН2), 6.74–6.82 м (3Н, С6Н3), 7.34–7.40 м (1Н), 7.43–7.48 м (1Н), 7.51–7.55 м (1Н) и 7.63–7.67 м (1Н, С6Н4Br), 7.90 c (4Н, С6Н4), 10.52 с (1Н, NН). Спектр ЯМР 13С, δ, м.д.: 34.5 (2CH2), 40.5 (C), 63.65 [(СН2)2О], 63.73 (2ОСН2), 114.2 (СН), 116.8 (СН), 117.8 (СН), 118.1, 119.0, 119.3 (СН), 126.80 (2СН), 126.83 (2СН), 128.6 (СН), 130.4 (СН), 132.3 (СН), 135.6, 138.7, 141.9, 142.3, 143.1, 163.7, 165.2, 167.8. Найдено, %: С 60.11; Н 4.56; N 7.68. С28Н24BrN3О5. Вычислено, %: С 59.80; Н 4.30; N 7.47.
3-Бром-N-(4-(5-(4-(1,4-бензодиоксан-6-ил)тетрагидро-2Н-пиран-4-ил)-1,3,4-оксадиазол-2-ил)-фенил)бензамид (6h). Получен из 2.9 г соединения 5h. Выход 1.8 г (64 %), т.пл. 110–111°С (этанол), Rf 0.39. Спектр ЯМР 1Н, δ, м.д.: 2.15–2.26 м (2Н, СН2), 2.61 ш.д (2Н, СН2, J 13.3 Гц), 3.48–3.59 м (2Н) и 3.83–3.91 м (2Н, (СН2)2О), 4.21 уш.с (4Н, 2 ОСН2), 6.73–6.82 м (3Н, С6Н3), 7.39–7.46 м (1Н), 7.65–7.70 м (1Н) и 7.87–8.02 м (5Н, С6Н4Br и С6Н4), 8.18 уш.c (1Н, С6Н4Br), 10.38 с (1Н, NН). Найдено, %: С 60.10; Н 4.53; N 7.73. С28Н24BrN3О5. Вычислено, %: С 59.80; Н 4.30; N 7.47.
ЗАКЛЮЧЕНИЕ
Реакцией конденсации 4-(1,4-бензодиоксан-6-ил)тетрагидро-2H-пиран-4-карбонилхлорида с гидразингидратом синтезирован симметрично замещенный диацилгидразин, а взаимодействием вышеназванного хлорангидрида с различными гидразидами (арил-, гетерил-, арилкарбамидоарил-) получен ряд несимметричных диацилзамещенных гидразинов. Их циклизация под действием оксихлорида фосфора приводит к образованию 2,5-дизамещенных производных 1,3,4-оксадиазола. Изучена антиаритмическая активность полученных соединений.
КОНФЛИКТ ИНТЕРЕСОВ
Авторы заявляют об отсутствии конфликта интересов.
About the authors
A. S. Avagyan
Scientific and Technological Center of Organic and Pharmaceutical Chemistry of the National Academy of Sciences of the Republic of Armenia
Email: avagal@mail.ru
ORCID iD: 0000-0002-7148-3666
Armenia, 26, Azatutyan Ave., Yerevan, 0014
S. O. Vartanyan
Scientific and Technological Center of Organic and Pharmaceutical Chemistry of the National Academy of Sciences of the Republic of Armenia
Email: avagal@mail.ru
ORCID iD: 0000-0003-4582-7629
Armenia, 26, Azatutyan Ave., Yerevan, 0014
A. B. Sargsyan
Scientific and Technological Center of Organic and Pharmaceutical Chemistry of the National Academy of Sciences of the Republic of Armenia
Email: avagal@mail.ru
ORCID iD: 0000-0001-7115-9164
Armenia, 26, Azatutyan Ave., Yerevan, 0014
G. A. Panosyan
Scientific and Technological Center of Organic and Pharmaceutical Chemistry of the National Academy of Sciences of the Republic of Armenia
Email: avagal@mail.ru
ORCID iD: 0000-0001-8311-6276
Armenia, 26, Azatutyan Ave., Yerevan, 0014
G. S. Mkrtchyan
Scientific and Technological Center of Organic and Pharmaceutical Chemistry of the National Academy of Sciences of the Republic of Armenia
Email: avagal@mail.ru
ORCID iD: 0000-0002-1807-8610
Armenia, 26, Azatutyan Ave., Yerevan, 0014
A. E. Tumajyan
Scientific and Technological Center of Organic and Pharmaceutical Chemistry of the National Academy of Sciences of the Republic of Armenia
Author for correspondence.
Email: avagal@mail.ru
ORCID iD: 0000-0003-2151-4767
Armenia, 26, Azatutyan Ave., Yerevan, 0014
R. E. Muradyan
Scientific and Technological Center of Organic and Pharmaceutical Chemistry of the National Academy of Sciences of the Republic of Armenia
Email: avagal@mail.ru
ORCID iD: 0000-0002-4110-9454
Armenia, 26, Azatutyan Ave., Yerevan, 0014
A. A. Aghekyan
Scientific and Technological Center of Organic and Pharmaceutical Chemistry of the National Academy of Sciences of the Republic of Armenia
Email: avagal@mail.ru
ORCID iD: 0000-0001-6151-4951
Armenia, 26, Azatutyan Ave., Yerevan, 0014
References
- Siwach A., Verma P.K., BMC Chem., 2020, 14, 70. doi: 10.1186/s13065-020-00721-2
- Vaidya A., Pathak D., Shah K., Chem. Biol. Drug. Des., 2021, 97, 572–591. doi: 10.1111/cbdd.13795
- Vaghani H., Patel Sh., Patel S. Int. J. Pharm. Sci. Res., 2021, 13, 5292–5299. doi: 10.13040/IJPSR.0975-8232.12(10).5292-99
- The use of stems in the selection of International Nonproprietary Names (INN) for pharmaceutical substances WHO, Stem Book 2018, p.139–140. https://cdn.who.int PDF
- Авакян А.С., Вартанян С.О., Саргсян А.Б., Маркарян Э.А. ЖОрХ., 2014, 50, 445–449. [Avakyan A.S., Vartanyan S.O., Sargsyan A.B., Markaryan E.A. Russ. J. Org. Chem., 2014, 50, 434–438.] doi: 10.1134/S1070428014030233
- Авакян А.С., Вартанян С.О., Саргсян А.Б., Агекян A.A., Паносян Г.А., Пароникян Р.В., Степанян Г.М., Мурадян Р.Е. ЖОрХ, 2020, 56, 373–378. [Avakyan A.S., Vardanyan S.O., Sargsyan A.B., Aghekyan A.A., Panosyan H.A., Paronikyan R.V., Stepanyan H.M., Muradyan R.E. Russ. J. Org. Chem. 2020, 56, 385–389]. doi: 10.1134/S1070428020030033
- Айрапетян Г.К., Акопян М.Г., Арустамян Ж.С., Маркарян Э.А. ХГС, 1993, 5, 677–680.
- Руководство по проведению доклинических иссле-дований лекарственных средств, Ред. А.Н. Миронов, Часть первая, М.: Гриф и К, 2012, 387.
Supplementary files



