Synthesis of Cyclohex-3-ene(ane)-, 1-Methylcyclohex-3-ene(ane)-, and 5-Alkylphenyl-Substituted Dodecacarboxylic Acids
- Authors: Mirzoyeva G.A.1, Eyvazova S.M.1
-
Affiliations:
- Azerbaijan Technical University
- Issue: Vol 61, No 1 (2025)
- Pages: 69-74
- Section: ЭКСПЕРИМЕНТАЛЬНЫЕ СТАТЬИ
- URL: https://journals.rcsi.science/0514-7492/article/view/291855
- DOI: https://doi.org/10.31857/S0514749225010049
- EDN: https://elibrary.ru/AFUJCQ
- ID: 291855
Cite item
Abstract
The article discusses the synthesis of heterocyclic, mono- and dicarboxamide compounds of various structures and functional substitutions based on their electrophilic reactions, using cyclohexane(ene)-, 1-methylcyclohexane(ene)-, 5-phenyl-dodec (as an acylating reagent), acid chlorides of naphthenic and isostructured aliphatic carboxylic acids and various structured aromatic di-, functionally substituted mono- and aliphatic amines (as a substrate).It was shown that for the first time N-cycloacyl derivatives of benzimidazole were obtained by acylation of benzimidazole with cyclohex-3-ene(an)-1-methylcyclohex-3-ene(an)carboxylic acid chlorides. By alkylation and acylation of benzimidazole, its N-alkyl and N-acyl derivatives, as well as C-acyl derivatives of benzimidazole, were obtained based on the acylation reaction of o-phenylenediamine with the corresponding acid chlorides. By hydrogenation of unsaturated cyclohexane-3-ene- and 1-methylcyclohex-3-enecarboxylic acids, the corresponding saturated cyclohexane- and 1-methylcyclohexanecarboxylic acids and their acid chlorides were determined. It has been shown that the direction of the oxidation reaction of amines and the structure of the resulting substances depend on the state of amino groups in the molecule of amino compounds and the nature of other functional groups.
Full Text
ВВЕДЕНИЕ
Среди гетероциклических соединений азотсодержащие производные имеют большое значение благодаря широкому спектру применения и ценным практическим свойствам. Амидные соединения карбоновых кислот проявляют биологическую активность и широко используются в медицинской практике в качестве лекарственных средств, стимуляторов роста сельскохозяйственных растений, ингибиторов для защиты металлов от коррозии в технике.
Лекарственные препараты салициламид, фенацетин, парацетамол, изониазид, никодин, оксафенамид, кардиамин содержат в своем составе амидный фрагмент различных карбоновых кислот.
Азотсодержащие гетероциклические органические соединения с различными функциональными группами, нуклеиновые кислоты, пигменты, витамины, белки с пептидными аминокислотными связями широко распространены в природе и выполняют важные физиологические функции в живом организме. На биологическую активность азотсодержащих органических соединений существенное влияние оказывают положение и природа других функциональных групп в их молекуле.
Целью представленной работы являлся синтез различных функционально замещенных моно- и диамидов, гетероциклических азотсодержащих органических соединений на основе хлорангидридов функционально замещенных циклических, ациклических карбоновых и нафтеновых кислот.
РЕЗУЛЬТАТЫ И ОБСУЖДЕНИЕ
Изучены электрофильные реакции алициклических карбоновых кислот и их функционально замещенных производных с хлорангидридами и ароматическими, алифатическими, циклическими аминами различного строения [1–5]. Карбоновые кислоты циклогексенового ряда [6] получали конденсацией диеновых углеводородов, в частности, бутадиена-1,3 с диенофилами, акриловой и метакриловой кислотами по реакции Дильса–Альдера (схема 1).
Схема 1
Циклогексан- (3) и 1-метилциклогексанкарбоновые (4) кислоты были получены гидрированием [7] ненасыщенных кислот 1, 2 в присутствии катализатора (никель–кизельгур) (схема 2).
Схема 2
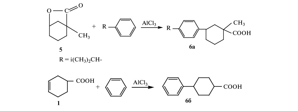
Фенил- и алкилфенилзамещенные циклогексан-, 1-метилциклогексанкарбоновые кислоты 6a, b синтезированы алкилированием бензола и алкилбензола [8] бициклическим g-лактоном 5 (полученным по методу из литературы [9]) и циклогексен-3-карбоновой кислотой (1) в условиях реакции Фриделя–Крафтса, протекающей по схеме 3.
Схема 3
Как видно из схемы 3, реакция протекает при избыточном количестве изопропилбензола по сравнению с γ-лактоном (5), т.е. изопропилбензол используется и как реагент, и как растворитель.
При взаимодействии синтезированных кислот 1–4, 6a, b с трихлорированным фосфором в среде бензола с высокими выходами были получены их хлорангидриды 7–10, 10a, 11. Состав и строение кислоты 6b подтверждены данными ИК спектроскопии и рентгеноструктурного анализа (РСА) (рисунок).
Что касается бициклических лактонов, то при алкилировании бензола и его производных моноциклическими лактонами [9] получают алкилфенилзамещенные алифатические карбоновые кислоты.
Для этого 2-гептилвалеролактон (12) был получен окислением 2-гептилциклопентана в жидкой фазе по методу из литературы [10]. Реакцию проводили в присутствии комплекса карбамида с пероксидом водорода. Алкилированием бензола и различных его производных в условиях реакции Фриделя–Крафтса с использованием 2-гептилвалеролактона в качестве алкилирующего реагента синтезированы соответствующие алкилфенилзамещенные алифатические карбоновые кислоты 13a, b, c, d. Реакция протекает по схеме 4.
Схема 4
Состав и строение синтезированных лактона 12 и кислот 13a–d подтверждены физико-химическими методами и данными ИК-спектроскопии. Интенсивная полоса поглощения 1750 см–1 в ИК спектре лактона 12 характерна для d-лактонов и подтверждает его структуру. ИК спектр кислоты 13b (ν, см–1): 2850 (СООН, связанный), 1710 (СООН, димер), 1600, 1500, 1480 (С=Саром.), 760, 700 (Arмонозам.). Обнаруженные в ИК спектре полосы поглощения подтверждают структуру синтезированного соединения 13b.
ЭКСПЕРИМЕНТАЛЬНАЯ ЧАСТЬ
Чистоту исходных материалов, растворителей и выделенных из реакционной смеси веществ контролировали с помощью газожидкостной хроматографии (ГЖХ) и тонкослойной хроматографии (ТСХ). Анализ методом ГЖХ проводили на хроматографе “Хром-3” (детектор-катарометр), медная колонка (диаметр 6 мм, длина 3 м), фаза “Айрезон-Л”, “Хромосорб Ж”, носитель N2, температура 110–1800°С, на хроматографе “ЛОМ-7А” (детектор пламенно-ионизационный), медная колонка (диаметр 6 мм, длина 3 м), фаза – силиконовое масло, носитель N2 в “Цеолите-545”, температура колонки 150–200°С.
ИК-спектр синтезированных веществ регистрировали на приборе “UR-20”, “Nicolet IS-10” (США) в тонком слое или в суспензии в вазелиновом масле.
Циклогекс-3-енкарбоновая кислота (1). Смесь 216 г (3 моль) акриловой кислоты и 165 г (3 моль) дивинила в 200 мл толуола и 2 г гидрохинона нагревали при температуре 180–200°С во вращающемся автоклаве в течение 2 ч. После перегонки получали 358.6 г (94%) аддукта. Т. кип. 229.8–232°С (760 мм рт.ст.) (230–232°С [11]), 1.4819 ( 1.4820 [11]). Брутто-формула –C7H10O2.
Метилциклогекс-3-енкарбоновая кислота (2). К смеси 260 г (3 моль) метакриловой кислоты, 165 г (3 моль) бутадиена и 200 мл толуола добавляли 2 г гидрохинона и нагревали в автоклаве при температуре 180–200°С в течение 2 ч. После перегонки получали 360 г (86%) аддукта. Т. кип. 230–232°С/атм. После перегонки аддукт кристаллизовался; т. пл. 78°С (EtOH–H2O). Т. пл. 77.5–78°С [11]. Брутто-формула –C8H12O2.
Циклогексанкарбоновая кислота ( 3). Гидрировали 378 г (3 моль) циклогекс-3-енкарбоновой кислоты (1) водородом при давлении 125–130 атм и температуре 180–200°С в автоклаве по методу, описанному в работе [12] в присутствии никелевого катализатора, пропитанного кизельгуром. Выход 376.32 г (98%). Т. кип. 197–199°С/атм, 1.4870. Физико-химические характеристики аналогичны приведенным в литературе [12].
Метилциклогексанкарбоновая кислота (4). Гидрировали 320 г (3 моль) 1-метилциклогекс-3-енкарбоновой кислоты (2) Аналогично гидрированию соединения 3. Выход 317.52 г (97.4%). Т. кип. 230–232°С/атм, 1.4920 физико-химические характеристики аналогичны приведенным в литературе [12].
1-Метил-6-оксабицикло [3.2.1.]октан-7-он (5). Смесь 35 г (0.25 моль) 1-метилциклогекс-3-енкарбоновой кислоты (2) и 0.25 моль ZnCl2 в 100 мл нитрометана нагревали при 75–80°С в течение 5 ч. Реакционную массу разлагали ледяной водой, подкисленной HCl, водную часть экстрагировали эфиром, экстракт добавляли к органической части и сушили. После отгонки растворителя при нормальных условиях остаток перегоняли в вакууме. Выход 33.8 г (96.5%). Т. кип. 97–98°С/8 мм рт.ст. После дистилляции продукт кристаллизовался. Т. пл. 32.5–34°С (EtOH–H2O). Эти физико-химические характеристики, полученные экспериментально, совпадают с приведенными в литературе [13].
3-(4-Изопропилфенил)-1-метилциклогексанкарбоновая кислота (6a) и 4-фенилциклогексанкарбоновая кислота (6b). Смешивали 0.25 моль δ-лактона (18.5 г) и 80 мл изопропилбензола, прибавляли к полученной смеси 0.25 моль AlCl3(33.33 г). Температура реакционной массы повышалась до 60°С. После добавления AlCl3 реакционную массу перемешивали при комнатной температуре в течение 6 ч. Затем к реакционной смеси добавляли 20 мл изопропилбензола и нагревали на водяной бане в течение 1 ч. После охлаждения реакционную массу, подкисленную соляной кислотой, разлагали ледяной водой. После отделения водной части ее экстрагировали эфиром, экстракт смешивали с органической частью и сушили. После отгонки растворителя при нормальных условиях остаток перегоняли в вакууме. Выход 40.5 г (62.3%). Т кип. 228–231°С/5 мм рт.ст., 1.6228, 1.0438. ИК спектр, ν, см–1: 1700 (С=О), 1600–1500 (С=Cар), 880, 860, 800 (С=Cар, 1,4-замещенный).
По этому же методу из 6.3 г (0.05 моль) кислоты 1 в 60 мл бензола в присутствии 6.68 г (0.05 моль) AlCl3 было получено 6.12 г (60%) 4-фенилциклогексанкарбоновой кислоты (6b). Т пл. 203–204°С (EtOH–H2O). ИК спектр, ν, см–1: 1700 (С=O), 1600, 1580, 1500 (С=Cар.), 850, 830 (Ar, 1,4-замещенный). Данные РСА представлены на рисунке.
D-Гептил-D-валеролактон (12). Из смеси 1 л (30%) перекиси водорода и 400 г метилмочевины получали комплекс мочевины и к нему при перемешивании прибавляли 400 мл (90–94%) муравьиной кислоты. Затем в течение 30 мин. перемешивали и по каплям прибавляли 1 моль 2-гептилциклогептанона-1 (210 г), поддерживая температуру реакции 20–25°С. Комплекс кетон–мочевина готовили в мольном соотношении 1 : 1.2. Реакционную массу перемешивали 1 ч, затем орга-ническую часть отделяли в делительной воронке и промывали водой до получения нейтральной среды. Водную часть экстрагировали толуолом, экстракт смешивали с органической частью и сушили. После отгонки растворителя при нормальных условиях остаток перегоняли в вакууме. Выход 170.30 г (88%). Т. кип. 155–160°С/6 мм рт.ст., 1.4625. Эти (Т. кип., Т пл.) характеристики, полученные экспериментально, совпадают с приведенными в литературе [14].
5-Фенилдодекакарбоновая кислота (13а). Лактон 12 (19.8 г, 0.1 моль) и 80 мл бензола смешивали и добавляли 13.35 г (0.1 моль) AlCl3. Температура реакционной массы повышалась до 45°С. После перемешивания в течение 5 ч при комнатной температуре добавляли 30 мл бензола и нагревали при температуре 65–70°С в течение 50–55 мин. После охлаждения реакционную массу разлагали ледяной водой, подкисленной соляной кислотой. Водную часть экстрагировали эфиром. Экстракт добавляли к органической части и сушили. После отгонки растворителя при нормальных условиях остаток перегоняли в вакууме. Выход 26.12 г (94.65%). T кип. = 198–201°С/8 мм рт.ст., 1.4880, 0.9583. ИК спектр, ν, см–1 (рисунок): 2850 (–СООН, связанная), 1710 (–СООН, димер), 1600, 1500, 1480 (С=Сар.), 760, 700 (С=Сар. однозамещенный).
ИК-спектр 5-фенилдодекакарбоновой кислоты 13a. ИК-спектр соединения 13а полностью подтверждает его структуру.
Натриевые соли синтезированных кислот 13a–d являются поверхностно-активными веществами и обладают хорошими пенообразующими свойствами. Они обладают высокой растворимостью в дистиллированной, обычной и морской воде при любых температурных условиях.
5-Толилдодекакарбоновая кислота (13b). Алки-лировали толуол (120 мл) лактоном 12 (19.8 г, 0.1 моль) в присутствии 13.35 г (0.1 моль) AlCl3. Выход 27.56 г (95.12%). T кип. = 212–215°С/6 мм рт.ст., 1.4860, 0.9425. ИК спектр, ν, см–1: 2900–2860 ш. (–OH), 1705 (–C–O), 1300–1150 (C–OH), 1580, 1510, 1470 (C=Car.), 760, 720 (Ar – однозамещенный).
5-(р-Этилфенил)додекакарбоновая кислота (13c) получена по указанному выше методу с использованием 19.8 г (0.1 моль) лактона 12 в присутствии 13.35 г (0.1 моль) AlCl3 и 120 мл этилбензола. Выход 26.41 г (86.87%). T кип. 245–248°С/25 мм рт.ст., 1.4820, 0.9397. ИК спектр, ν, см–1: 2800 (СООН), 1709 (С=О), 1610, 1580, 1500 (С=Сар), 860, 840, 810 (С=Сар, 1,4-дизамещенный).
5-(2,5-Диметилфенил)додекакарбоновая кислота (13d) получена аналогично в присутствии 13.35 г (0.1 моль) AlCl3 взаимодействием 19.8 г (0.1 моль) лактона 12 с п-ксилолом (120 мл). Выход 26.26 г (86.4%). Т кип. 247–250°/25 мм рт.ст., 1.4816, 0.9383. ИК спектр, ν, см–1: 2680 (СООН), 1710 (С=О), 1610, 1560, 1500 (С=Сар), 880, 850, 810 (Ar., 1,2,5-тризамещенный).
Таким образом, на основе хлорангидридов циклогекс-3-ен(ан), 1-метилциклогекс-3-ен(ан), алкилфенилзамещенной додекакарбоновой кислот синтезированы биологически активные производные бензимидазола, индола, бензоксазола. Ингибирующие свойства нескольких карбоксамидных соединений были исследованы на примере N,N(1,4-фенилен)диалкилкарбоксамида, 4-(алкилкарбоксамид)бензоата и N-(алкилкарбонил)бензамида. Установлено, что вышеуказанные соединения обладают более высокими антикоррозионными свойствами по сравнению с известными аналогами (алифатические меркаптаны, дибензилсульфоксид) и могут быть использованы в качестве ингибиторов коррозии металлов в промышленности.
ЗАКЛЮЧЕНИЕ
Конденсацией диеновых углеводородов и некоторых диенофилов (акриловой, метакриловой кислот) синтезированы циклогекс-3-ен-, 1-метилциклогекс-3-ен-, 1,3-диметилциклогекс-3-енкарбоновые кислоты в условиях реакции Дильса–Альдера. Гидрированием полученных ненасыщенных кислот синтезированы соответствующие насыщенные циклогексан- и 1-метилциклогексанкарбоновые кислоты.
Алкилированием бензимидазола 3-(4-хлорфенил)-1-метилциклогексан- и 3-хлор-1,3-диметилциклогексанкарбоновыми кислотами получены N-циклоалкилпроизводные, содержащие в своей молекуле карбоксильную группу.
Синтезированы соответствующие С-алкилпроизводные бензимидазола ацилированием о-фенилендиамина хлорангидридами циклогексан-, 1-метилциклогексанкарбоновых, ациклических и нафтеновых кислот.
КОНФЛИКТ ИНТЕРЕСОВ
Авторы заявляют об отсутствии конфликта интересов.
About the authors
G. A. Mirzoyeva
Azerbaijan Technical University
Author for correspondence.
Email: iradam@rambler.ru
Azerbaijan, 25, H. Javid Ave., Baku, 1073
Sh. M. Eyvazova
Azerbaijan Technical University
Email: iradam@rambler.ru
ORCID iD: 0009-0005-9848-5919
Azerbaijan, 25, H. Javid Ave., Baku, 1073
References
- Гершкович А.А., Кибирев В.К. Химический синтез пептидов, Киев: Наукова Думка, 1992, 4.
- Байрамова З.Э., Гаразаде Х.А., Лутвалиев А.Х., Магеррамов М.Н., Магеррамов А.М. Ж. хим. проблем. 2014, 1, 43–46.
- Рустамов М.А., Мирзоева Г.А., Эйвазова Ш.М., Вейсова Н.А. Ж. хим. проблем. 2016, 14, 315–319.
- Рустамов М.А., Вейсова Н.А., Аббасов М.Ф., Эйвазова Ш.М. Азербайджанский хим. ж. 2013, 1, 94–97.
- Рустамов М.А., Вейсова Н.А., Аббасов М.Ф., Эйвазова Ш.М. О синтезе функционально замещенных циклоалканкарбоновых кислот, Научные труды АзТУ-Фундаментальные науки, Баку, 2012, 3, XI (43), 121–123.
- Байрамова З.Э., Магерpамов А.М., Магерpамов М.Н., Азербайджанское нефтяное хозяйство. 2012, 9, 39–42.
- Ватолина Н.А., Аидин А.Н., ЖОрХ. 2011, 47, 415–418.
- Янгиров Т.А., Гилева Н.Г., Фатыхов А.А, Мещерякова Е.С., Халилов Л.М., Крайкин В.А., ЖОрХ, 2022. Т. 58. № 9. С. 1000–1006. doi: 10.31857/s0514749222090099
- Рустамов М.А., Эйвазова Ш.М. Поиск, 2009, 4, 10–15.
- Касьян Л.И., Тарабара И.Н., Бондаренко Я.С., Шишкина С.В., Шишкин О.В., Мусатов В.И. ЖОрХ, 2005, 41, 1145–1154.
- Общая органическая химия. Ред. Д. Бартон и В.Д. Оллис., Т. 8, М.: Химия, 1985, 751.
- Тетере З., Зацане Д., Равин Я.И., Петрова М. Латвийский хим. ж., 2004, 1, 67–70.
- Тарабара И.Н., Касьян А.О., Крищик О.В., Касьян Л.И. ЖОрХ, 2002, 38, 1354–1363.
Supplementary files






