Development of Methods for the Synthesis of Bis-(N-Maleimide)aryl and Bis-Diallyl Bisphenol Monomers for Thermosetting Polymers
- Authors: Kudryashova E.S.1, Otvagin V.F.1, Romanov K.A.1, Afanasyeva E.S.2, Morozov O.S.2, Babkin A.V.2, Kepman A.V.2, Fedorov A.Y.1
-
Affiliations:
- Lobachevsky Nizhny Novgorod State University
- Lomonosov Moscow State University
- Issue: Vol 61, No 1 (2025)
- Pages: 45-54
- Section: ЭКСПЕРИМЕНТАЛЬНЫЕ СТАТЬИ
- URL: https://journals.rcsi.science/0514-7492/article/view/291846
- DOI: https://doi.org/10.31857/S0514749225010025
- EDN: https://elibrary.ru/AGETEI
- ID: 291846
Cite item
Abstract
The method of obtaining bismaleimide monomers from aromatic diamines is optimized; the synthesis was tested on gram quantities with the possibility of further adaptation to kilogram quantities. Also, in order to obtain copolymers of bismaleimides with bisphenols, the conditions for obtaining diallyl bisphenol A were optimized.
Full Text
ВВЕДЕНИЕ
Смолы, получаемые путем полимеризации или сополимеризации бисмалеимидных (БМИ) мономеров находят широкое применение в различных областях промышленности, особенно, в аэрокосмической индустрии [1]. К достоинствам бисмалеимидов относят способность сохранять физико-механические свойства, в частности, высокие значения модулей упругости при повышенных температурах, прочность при деформациях сдвига, технологичность, термостабильность, негорючесть и постоянные электрические свойства [2–4]. Эти характеристики позволяют применять композитные материалы на основе БМИ смол и связующих для изготовления фрагментов авиационной техники, находящихся под воздействием динамических нагрузок, а также деталей внешней обшивки космических аппаратов [1, 2, 5, 6].
Главным недостатком БМИ смол является повышенная хрупкость образующихся полимеров вследствие высокой температуры стеклования [2, 7, 8], однако, сополимеризация БМИ с диаминами или бисфенолами повышает прочность полученного полимера и увеличивает трещиностойкость [9–13].
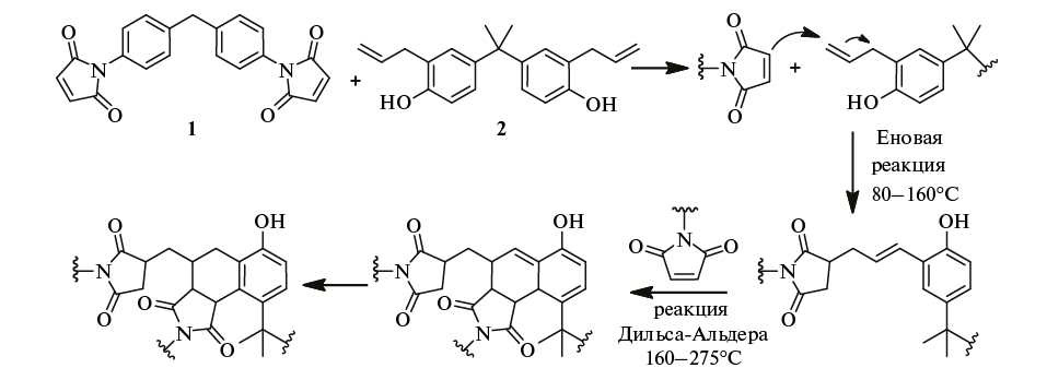
В середине 1970-х гг. было обнаружено, что реакция 4,4'-бисмалеинимидодифенилметана (БМИ) 1 с диаллилбисфенолом А (ДАБА) 2 приводит к получению связующего, которое после отверждения образует прочный и термостойкий материал с температурой стеклования >280°C (схема 1) [14, 15]. Такая сополимеризация получила широкое распространение в промышленности, поскольку смесь ДАБА/БМИ обладает низкой вязкостью при комнатной температуре [16] и при этом обладает хорошими свойствами для препрегов (например, подходящей липкостью) [6]. Термически инициируемые реакции БМИ и ДАБА приводит к получению полимерной матрицы с высокой степенью сшивки [17].
Схема 1. Сополимеризация 4,4'-бисмалеинимидодифенилметана с диаллилбисфенолом А
Цель данной работы – разработать наиболее дешевую методику синтеза БМИ-мономеров исходя из доступных в РФ реагентов, с возможностью дальнейшего масштабирования до уровня промышленного процесса, с рециклизацией используемых растворителей и отделением и утилизацией отходов синтеза, а также оптимизировать метод получения диаллилбисфенола А, сополимера для бисмалеимидов.
Известные методы синтеза БМИ производных, как правило, предполагают проведение двух синтетических стадий: получение бисмалеаминовой кислоты 5, которая затем подвергается дегидратации с формированием малеимидных циклов (схема 2).
Схема 2. Литературные методы получения бисмалеимидов 7
Для дегидратации бисмалеаминовых кислот 5 применяют несколько классических систем: (а) уксусный ангидрид в присутствии органических или неорганических оснований (Et3N, Mg(OAc)2, Na2CO3, NaOH, AcONa) [18] (схема 1, путь А); (б) источники кислот Бренстеда, например, TsOH в смесях органических растворителей (схема 1, путь В) [19]; (с) системы, предполагающие применение ионных жидкостей 6 [20] (схема 1, путь C). Следует отметить, что уксусный ангидрид является прекурсором, поэтому труднодоступен в РФ, применение кислот Бренстеда требует промежуточного выделения бисмалеаминовых кислот, что ухудшает технологичность синтеза, а стоимость ионных жидкостей слишком высока по сравнению с ценой целевого продукта. Нами также установлено, что некоторые опубликованные методики получения бисмалеимидов не воспроизводятся [21–23].
РЕЗУЛЬТАТЫ И ОБСУЖДЕНИЕ
Для оптимизации условий синтеза БМИ-мономеров, нами синтезирована бисмалеаминовая кислота 9 на основе 4,4'-метилендифенилдиамина 8 по литературной методике [19], которая далее подвергалась дегидратации под действием различных водоотнимающих систем (табл. 1).
Таблица 1. Дегидратация бисмалеаминовой кислоты 9
№ п/п | Добавка | Количество, эквив. | Растворитель | Т, °С | Выход 1, % |
1 | SOCl2 | 2 | Толуол | 110 | – |
2 | SOCl2 | 2 | Этанол | 78 | – |
3 | SiCl4 | 2 | Толуол | 110 | – |
4 | SOCl2 Et3N | 2 2 | ТГФ | 65 | 22 |
5 | SOCl2 Et3N | 2 2 | Толуол | 110 | 26 |
6 | TsOH | 0.1 | Толуол | 110 | – |
7 | TsOH | 0.1 | ТГФ | 65 | – |
8 | TsOH ДМФА | 0.1 1 | Толуол | 110 | 8 |
9 | H2SO4 | 0.1 | Толуол | 110 | –a |
10 | H2SO4 ДМФА | 0.1 1 | Толуол | 110 | Следыb |
11 | H2SO4 N-метилпирролидон | 0.1 1 | Толуол | 110 | 28 |
12 | H2SO4 N-метилпирролидон | 0.02 1 | Толуол | 110 | –a |
13 | H2SO4 N-метилпирролидон | 0.5 1 | Толуол | 110 | 10 |
14 | H2SO4 N-метилпирролидон | 0.1 0.5 | Толуол | 110 | –a |
15 | H2SO4 N-метилпирролидон | 0.1 2 | Толуол | 110 | 35 |
16 | H2SO4 N-метилпирролидон | 0.1 3 | Толуол | 110 | 15 |
17 | H3PO4 N-метилпирролидон | 0.02 1 | Толуол | 110 | –a |
18 | H3PO4 N-метилпирролидон | 0.1 1 | Толуол | 110 | 32 |
19 | H3PO4 N-метилпирролидон | 0.5 1 | Толуол | 110 | Следыа |
20 | H2SO4 N-метилпирролидон | 0.1 2 | o-ксилол | 140 | 19 |
21 | H2SO4 N-метилпирролидон | 0.1 2 | Хлорбензол | 130 | 35 |
22 | H2SO4 N-метилпирролидон | 0.1 2 | ТГФ | 65 | – |
а Реакция не стала гомогенной; b следы продукта на ТСХ.
Использование хлористого тионила и тетрахлорида кремния не приводило к образованию БМИ 1 (опыты 1–3, табл. 1). Система SOCl2/триэтиламин позволила получить бисмалеимид 1 с низкими выходами, как в неполярном толуоле, так и в ТГФ (опыты 4–5, табл. 1). Применение в качестве кислоты Брёнстеда – TsOH в толуоле и ТГФ не приводило к целевому продукту (опыты 6 и 7, табл. 1), при этом введение в систему 1 экв. полярного апротонного ДМФА позволило выделить БМИ 1 с выходом 8% (опыт 8, табл. 1). При проведении реакций в присутствии 0.1 экв. H2SO4, а также использовании системы 0.1 экв. H2SO4/1 экв. ДМФА БМИ 1 в продуктах реакции обнаружен не был (опыты 9 и 10, табл. 1), добавление в систему 1 экв. N-метилпирролидона позволило получить продукт 1 с выходом 28% (опыт 11, табл. 1). Уменьшение или увеличение количества H2SO4 до 0.02 или до 0.2–0.5 экв. соответственно, приводило к падению выходов целевого продукта (опыты 12, 13, табл. 1). Применение системы 0.1 экв. H2SO4/2 экв. N-метилпирролидона увеличивало выход БМИ до 35% (опыт 15, табл. 1), тогда как повышение количества N-метилпирролидона до 3 экв. приводило к падению выхода БМИ (опыт 16, табл. 1). Аналогичные тенденции наблюдались и при использовании фосфорной кислоты (опыты 17–19, табл. 1). Применение в качестве растворителей ТГФ, о-ксилола или хлорбензола не позволило существенно улучшить выход целевого продукта (опыты 20–22, табл. 1). Небольшие добавки полярного N-метилпирролидона, очевидно, позволяют лучше сольватировать плохо растворимую в слабополярных растворителях бисмалеаминовую кислоту 9, которая в процессе синтеза полностью не переходит из осадка в раствор. В связи с этим было принято решение оптимизировать one-pot синтез 4,4'-бис-(N-малеимидофенил)метана 1 из метилендифенилдиамина 8 и малеинового ангидрида 4 с использованием насадки Дина-Старка для удаления образующейся в процессе реакции воды (табл. 2).
Таблица 2. Оптимизация получения 4,4'-бис-(N-малеимидофенил)метана 1 из метилендифенилдиамина 8
№ п/п | Добавка | Количество, эквив. | Растворитель | Время, ч | Т, °С | Выход 1, % |
1 | H2SO4 | 0.10 | Толуол | 12 | 110 | –a |
2 | H2SO4 N-метилпирролидон | 0.10 1.0 | Толуол | 3 | 110 | 44 |
3 | H2SO4 N-метилпирролидон | 0.10 2.0 | Толуол | 3 | 110 | 57 |
4 | H2SO4 N-метилпирролидон | 0.10 2.0 | o-ксилол | 3 | 140 | 60 |
5 | H2SO4 N-метилпирролидон | 0.10 2.0 | Хлорбензол | 3 | 130 | 66 |
6 | H2SO4 N-метилпирролидон ГХ | 0.10 2.0 0.025 | Толуол | 3 | 110 | 78 |
7 | H2SO4 N-метилпирролидон ГХ | 0.10 2.0 0.025 | Хлорбензол | 3 | 110 | 95 |
a реакция не стала гомогенной.
Использование 0.1 экв. серной кислоты в качестве добавки, как и в предыдущих случаях, не приводило к продукту 1 (опыт 1, табл. 2). Добавление к 0.1 экв. H2SO4 1 экв. и 2 экв. N-метилпирролидона в толуоле позволило увеличить выход БМИ 1 до 44% и 57% соответственно (опыты 2 и 3, табл. 2). Применение в качестве растворителей о-ксилола или хлорбензола позволило поднять выходы целевого продукта до 60 и 66% соответственно (опыты 4 и 5, табл. 2). Следует отметить, что в опытах 3–5 реакционный раствор был практически гомогенным, однако ближе к концу синтеза происходило выпадение тёмно-коричневого осадка, предположительно продуктов олигомеризации кислоты 9 и БМИ 1. Добавление в реакционную смесь 0.025 экв. гидрохинона (ГХ) – ингибитора радикальной полимеризации (опыты 6–7, табл. 2), позволило предотвратить образование осадка и увеличить выход БМА 1 до 78% в толуоле и до 95% в хлорбензоле. Использование насадки Дина-Старка позволило сократить время реакции с 12 до 3 ч.
Процесс выделения, полученного бисмалеимида 1 заключается в удалении большей части используемого в реакции растворителя и высаживании оставшейся смеси в спирте. Нами проведен анализ влияния используемого спирта на выход продукта, результат приведен в табл. 3.
Таблица 3. Использование различных спиртов для кристаллизации продукта
№ п/п | Спирт | Выход продукта 1, % |
1 | EtOH | 48 |
2 | i-PrOH | 54 |
3 | i-BuOH | 95 |
4 | t-BuOH | 61 |
Низкий выход продукта в опыте 1 и 2 обусловлен более высокой растворимостью бисмалеимида 1 в этаноле и изопропиловом спирте (наблюдается содержание продукта в фильтрате по ТСХ). В случае с трет-бутиловым спиртом (опыт 4, табл. 3) осадок формируется не кристаллический, а аморфный, что затрудняет выделение продукта и снижает выход 1. Наибольший выход продукта наблюдается при использовании изобутилового спирта (опыт 3, табл. 3). Выпавший осадок промывали водой от остатков N-метилпирролидона, серной кислоты и гидрохинона, затем эфиром и сушили в сушильном шкафу при 80°С на воздухе.
Предложенная методика хорошо масштабируется: при загрузке 100 г бисдифениламинометана 8 получен БМИ 1 с выходом 95% в хлорбензоле и 79% в толуоле, при этом было регенерировано 80% толуола или хлорбензола и 95% изобутилового спирта, применяемого для кристаллизации продукта. Чистота регенерированных растворителей подтверждена методом ЯМР-спектроскопии. На 100 г диамина 8 остаток в колбе составил 100 мл (смесь N-метилпирролидона, спирта, гидрохинона и серной кислоты) – из целевого продукта их примеси удаляются промыванием водой. Для оптимизации процесса и адаптации его к промышленным масштабам были предприняты попытки сократить количество растворителя, приходящееся на 1 г исходного диамина 8 с 20 мл хлорбензола до 15 и 10 мл, при этом, выход бисмалеимида 1 уменьшился на 40 и 70% соответственно.
Нами также проведена оптимизация синтеза 2,4-бисмалеимидотолуола 12 исходя из 2,4-толуолдиизоцианата 10 или соответствующего диамина 11 (схема 3).
Схема 3. Схема синтеза 2,4-бис-(N-малеимидо)толуола 12
Так, коммерчески доступный в РФ 2,4-толуолдиизоцианат 10 с применением разработанных условий был превращен в БМИ 12 с выходом 40%. С другой стороны, 2,4-толуолдиамин 11, легко получаемый из изоцианата 10 (выход 90%) был превращен в БМИ 12 с препаративным выходом 77% (схема 3). Предложенная методика масштабируется до десятков грамм без снижения выхода целевого продукта.
Для получения композитных материалов на основе сополимеров БМИ и диаллилбисфенола (ДАБА) были также проведены эксперименты по оптимизации условий синтеза ДАБА 15 (схема 4):
Схема 4. Получение диаллилбисфенола А 15
Основной проблемой получения ДАБА в промышленности является подбор эффективных условий синтеза диаллилового эфира бисфенола А (БФА) 14, а также оптимизация условий перегруппировки Кляйзена БФА 14 в ДАБА 15.
В случае синтеза продукта 14 (табл. 4) опыты 1–8 проводились без предварительного депротонирования фенольных гидроксилов в бисфеноле А 13, при этом удалось получить целевой продукт 14 с выходом 92% в случае с использованием 0.4 экв. KBr в качестве добавки за 4 ч при 75 и 85°С. Дальнейшее увеличение времени реакции не приводило к увеличению выхода продукта (опыт 8).
Таблица 4. Оптимизация условий получения диаллилового эфира бисфенола А
№ п/п | Добавка (Количество эквив.) | Количество эквив. аллилхлорида | Т, реакции, °С | Время реакции, ч | Выход 14, % |
1 | KBr (0.2) | 2.2 | 65 | 16 | 87 |
2 | KBr (0.2) | 2.4 | 85 | 5 | 66 |
3 | KBr (0.2) | 2.4 | 85 | 16 | 91 |
4 | KBr (0.4) | 2.4 | 75 | 2 | 70 |
5 | KBr (0.4) | 2.4 | 75 | 4 | 92 |
6 | KBr (0.4) | 2.4 | 85 | 2 | 83 |
7 | KBr (0.4) | 2.4 | 85 | 4 | 92 |
8 | KBr (0.4) | 2.4 | 85 | 8 | 91 |
9а | KBr (0.4) | 2.4 | 85 | 4 | 95 |
10b | KBr (0.2) | 2.2 | 85 | 4 | 95 |
Условия реакции: 10.0 г (44.2 ммоль, 1.0 экв) БФА, 45 мл ДМА, a – предварительное перемешивание БФА с 14.6 г (106 ммоль, 2.4 экв.) K2CO3 при 65°С 2 часа, b – предварительное перемешивание БФА с 5.4 г (97 ммоль, 2.2 экв.) KOH в смеси 45 мл ДМА и 2 мл воды при 65°С 0.5 ч.
Перемешивание бисфенола А 13 с 2.2 экв. K2CO3 при 65°С с последующим добавлением аллилхлорида и KBr (опыт 9) позволило получить продукт 14 с выходом 95%. Оптимальными оказались условия с предварительным депротонированием БФА 13 с использованием КОН в смеси ДМА-вода в течение 0.5 ч, с последующим добавлением 0.2 экв. бромида калия, 2.2 экв. аллилхлорида при 85°С в течение 4 ч (опыт 10).
Была также проведена оптимизация условий получения О,О'-диаллилбисфенола А 15 с применением перегруппировки Кляйзена. Показано, что при 150°С происходит образование целевого продукта 15 в следовых количествах (табл. 5, опыт 1), тогда как при 200°С получающийся с 76–82% выходами О,О'-диаллилбисфенол 15 не удалось отделить от сложной смеси побочных продуктов (табл. 5, опыты 2 и 3).
Таблица 5. Оптимизация условий получения ДАБА
№ п/п | Температура, °С | Время реакции, ч | Выход 15, % |
1 | 150 | 12 | 5 |
2 | 200 | 3 | 82 |
3 | 200 | 4 | 76 |
4 | 190 | 15 | 93 |
5 | 180 | 7 | 94 |
6 | 180 | 10 | 98 |
Условия реакции: 12.0 г (38.9 ммоль) диаллилового эфира бисфенола А 14, T = °С.
Наибольший выход диаллилбисфенола А 15 (98%) был достигнут в результате осуществления перегруппировки Кляйзена при температуре 180°С в течение 10 ч (табл. 5, опыт 6). В этих условиях наблюдалось практически полная конверсия исходного эфира 14 и не образовывались побочные продукты.
ЭКСПЕРИМЕНТАЛЬНАЯ ЧАСТЬ
Коммерчески доступные реагенты: метилендианилин, 2,4-толуолдиизоцианат, ДМФА, NMP, малеиновый ангидрид, серную кислоту, фосфорную кислоту, п-толуолсульфокислоту, гидрохинон, бисфенол А, K2CO3 использовали без предварительной очистки. Растворители готовили к использованию с применением стандартных методик очистки [24].
1Н ЯМР спектры (400 МГц) и 13C ЯМР спектры (101 МГц) регистрировали на спектрометре Agilent DD2 NMR 400. Химические сдвиги приведены в шкале δ (м.д.) относительно остаточного пика дейтерированного растворителя (2.50 для ДМСО-d6, 7.26 для CDCl3). ИК спектры регистрировали на ИК спектрофотометре Shimadzu IRPrestige-21 в ацетонитриле.
4,4'-бис-(N-малеимидофенил)метан 1. В стакане растворили 19.8 г (0.1 моль) 4,4'-метилендифенилдиамина 6 в смеси 20 мл (0.2 моль) NMP с 20 мл хлорбензола. Отдельно в круглодонную двугорлую колбу, снабженную мешалкой, помещали 19.6 г (0.2 моль) малеинового ангидрида 4, 0.098 г (0.01 моль) серной кислоты и 0.275 г (0.0025 моль) гидрохинона в 230 мл хлорбензола и нагревали до 132°С. В горячий раствор малеинового ангидрида 4 при 132°C помощью капельной воронки с обратной связью прибавляли по каплям при перемешивании раствор 4,4'-метилендифенилдиамина 8. После добавления всего диамина реакционную смесь кипятили с насадкой Дина–Старка в течение 3 ч. По окончании конденсации воды в насадке Дина–Старка реакционная смесь становится гомогенной.
Раствор концентрировали при пониженном давлении до 50 мл, к остатку прибавляли по каплям 50 мл холодного изобутилового спирта, выпавший осадок фильтровали на фильтре Шотта, промывали спиртом и сушили при температуре 80°С на воздухе. Получено желтое кристаллическое вещество, т.пл. 155°C (156°C [25]), выход составил 34 г (95%).
Спектр ЯМР 1H (400 МГц, ДМСО-d6), δ, м.д.: δ 4.03 c (2H, CH2), 7.15 c (4Наром), 7.25 д (4Наром, J 8.4 Гц), 7.36 д (4Наром, J 8.4 Гц). Соответствует литературному [20].
2,4-толуолдиамин 11. В круглодонную колбу, снабженную мешалкой, поместили 5 мл концентрированной HCl, к которой прикапывали раствор 0.87 г (5 ммоль) 2,4-толуолдиизоцианата в 25 мл ТГФ. Реакционную смесь перемешивали ночь при комнатной температуре, затем добавляли 30% раствор NaOH, пока значение pH не достигало 10–11. Органический слой отделяли и упаривали при пониженном давлении, экстрагировали дихлорметаном. Водный слой промывали дихлорметаном. Объединенные органические слои упаривали при пониженном давлении с получением коричневого кристаллического продукта, т.пл. 99°C (96–99°C [26]), выход составил 32 г (90%).
Спектр ЯМР 1H (400 МГц, ДМСО-d6), δ, м.д.: 1.89 c (3H, CH3), 4.43 уш.с (4H, 2NH2), 5.77 дд (1Наром, J 7.8, 2.2 Гц), 5.89 д (1Наром, J 2.2 Гц), 6.55 д (1Наром , J 7.9 Гц). Соответствует литературному [27].
2,4-бис-(N-малеимидо)толуол 12. В стакане растворили 12.2 г (0.1 моль) 2,4-толуолдиамина 11 в смеси 20 мл (0.2 моль) NMP с 20 мл хлорбензола. Отдельно в круглодонную двугорлую колбу, снабженную мешалкой, поместили 19.6 г (0.2 моль) малеинового ангидрида 4, 0.098 г (0.01 моль) серной кислоты и 0.275 г (0.0025 моль) гидрохинона в 230 мл хлорбензола и нагревали до 132°С. В горячий раствор малеинового ангидрида 4 при 132°С с помощью капельной воронки с обратной связью прибавляли по каплям при перемешивании растворенный 2,4-толуолдиамин 11. После добавления всего диамина реакционную смесь кипятили с насадкой Дина–Старка в течение 3 ч. По окончании конденсации воды в насадке Дина–Старка реакционная смесь становится гомогенной.
Раствор концентрировали при пониженном давлении до 50 мл, к остатку прибавляли по каплям 50 мл холодного изобутилового спирта, выпавший осадок фильтровали на фильтре Шотта, промывали спиртом и сушили при температуре 80°С на воздухе. Получено желтое кристаллическое вещество, т.пл. 170°C (172–177°C [25]) выход составил 22 г (77%).
Спектр ЯМР 1H (400 МГц, ДМСО-d6), δ, м.д.: 2.11 c (3H, CH3), 7.19 с (2Н, CH=), 7.22 с (2Н, CH=), 7.25 д (1Наром, J 2.2 Гц), 7.36 дд (1Наром, J 8.2, 2.2 Гц), 7.49 д (1Наром, J 8.3 Гц).
13C ЯМР (101 МГц, ДМСО-d6), δ, м.д.: 17.12, 127.30, 127.44, 129.92, 130.83, 130.97, 134.75, 134.97, 136.22, 169.79.
ИК спектр, ν, см–1: 3481 (Cалифат–H), 3105 (Cаром–H), 1710 (C=O).
4,4'-(пропан-2,2-диил)бис(аллоксибензол) 14. В круглодонную колбу, снабженную мешалкой, обратным холодильником и капельной воронкой, поместили 10.0 г (0.044 моль) бисфенола А 13, 5.4 г (0.097 моль) KOH, 45 мл ДМА, 2 мл H2O и перемешивали реакционную смесь 0.5 ч при 65°С. Затем при этой температуре добавляли 1.1 г (0.009 моль) KBr и прикапывали при перемешивании 7.9 г (0.107 моль) аллилхлорида, грели в течение еще 4 ч при 85°С. Реакционную смесь охладили, разбавили 90 мл воды, экстрагировали петролейным эфиром (2 × 25 мл), органический слой промыли 20 мл 5% водным раствором NaOH, затем водой (2 × 20 мл), высушили над Na2SO4, упаривали при пониженном давлении и полученное масло дополнительно сушили в вакууме (0.5 мм рт.ст /100°С). Выход составил 12.9 г (95%).
Спектр ЯМР 1H (400 МГц, CDCl3) δ, м.д.: 1.64 c (6H, CH3), 4.51 д (4H, -CH2-, J 5.3 Гц,), 5.27 д.д (2H, CH2=, J 10.5, 1.3 Гц), 5.41 д.д (2H, CH2=, J 17.3, 1.5 Гц), 6.06 д.д.д (2H, CH=, J 22.5, 10.6, 5.3 Гц), 6.81 д (4Hаром, J 8.8 Гц,), 7.13 д (4Hаром, J 8.8 Гц). Соответствует литературному [28].
4,4'-(пропан-2,2-диил)бис(2-аллилфенол) 15. В прокаленную в атмосфере аргона при 400°С круглодонную колбу, снабженную магнитной мешалкой, поместили 12 г (0.039 моль) 4,4'-(пропан-2,2-диил)бис(аллоксибензола) и перемешивали при 180°С в течение 10 ч. Полученный таким образом о,о'-диаллилбисфенол А может содержать до 0-2% исходного 4,4'-(пропан-2,2-диил)бис(аллоксибензола) и может быть использован без дополнительной очистки. Выход составил 12 г (98%).
Спектр ЯМР 1H (400 МГц, CDCl3) δ, м.д.: 1.62 с (6H, CH3), 3.37 д (4H, –CH2–, J 6.3 Hz,), 4.85 с (2H, OH), 5.21–5.08 м (4H, CH2=), 6.10–5.88 м (2H, CH=), 6.71 д (2Hаром, J 7.9 Hz), 6.97 д (4Hаром, J 7.9 Hz). Соответствует литературному [29].
ЗАКЛЮЧЕНИЕ
Предложены оптимизированные условия для синтеза некоторых бисмалеимидных мономеров, а именно 4,4'-бис-(N-малеимидофенил)метана 8 и 2,4-бис-(N-малеимидо)толуола 11. В качестве исходного соединения предлагается использовать ароматический диамин и малеиновый ангидрид, реакция катализируется 0.1 экв. серной кислоты, для увеличения растворимости диамина и промежуточного продукта добавляется 2 экв. полярного апротонного растворителя N-метилпирролидона и для ингибирования побочного процесса полимеризации при кипячении в хлорбензоле добавляется 0.025 экв. гидрохинона. Целевые бисмалеимиды 8 и 11 выделяют высаживанием в изобутиловом спирте. Выход продуктов варьируется от 77 до 95 процентов в зависимости от субстрата. Также были оптимизированы условия получения 4,4'-(пропан-2,2-диил)бис(2-аллилфенола) 15, а именно осуществлен синтез диаллилового эфира бисфенола А 14 с предварительным депротонированием фенольных гидроксилов КОН в смеси ДМА-вода в течение 0.5 ч, добавлением 0.2 экв. бромида калия, 2.2 экв. аллилхлорида при 85°С в течение 4 ч. Последующая высокотемпературная перегруппировка Кляйзена соединения 14 при 180°С за 10 ч приводит к целевому продукту 15 с суммарным выходом 93% после двух стадий.
ФОНДОВАЯ ПОДДЕРЖКА
Исследование выполнено в рамках КНТП, утвержденной Распоряжением Правительства Российской Федерации от 04.07.2023 г. №1789-р. По мероприятию “Новые композиционные материалы: технологии конструирования и производства” при финансовой поддержке Минобрнауки России по Соглашению от 28 августа 2023 г. № 075-15-2023-616 (внутренний номер 14.1789.23.0014/КНТП).
КОНФЛИКТ ИНТЕРЕСОВ
Авторы заявляют об отсутствии конфликта интересов.
About the authors
E. S. Kudryashova
Lobachevsky Nizhny Novgorod State University
Email: afedorovNN@yandex.ru
Russian Federation, 23, Gagarin Ave., Nizhny Novgorod, 603950
V. F. Otvagin
Lobachevsky Nizhny Novgorod State University
Email: afedorovNN@yandex.ru
Russian Federation, 23, Gagarin Ave., Nizhny Novgorod, 603950
K. A. Romanov
Lobachevsky Nizhny Novgorod State University
Email: afedorovNN@yandex.ru
Russian Federation, 23, Gagarin Ave., Nizhny Novgorod, 603950
E. S. Afanasyeva
Lomonosov Moscow State University
Email: afedorovNN@yandex.ru
Russian Federation, 1, Leninskie Gory, Moscow, 119991
O. S. Morozov
Lomonosov Moscow State University
Email: afedorovNN@yandex.ru
Russian Federation, 1, Leninskie Gory, Moscow, 119991
A. V. Babkin
Lomonosov Moscow State University
Email: afedorovNN@yandex.ru
Russian Federation, 1, Leninskie Gory, Moscow, 119991
A. V. Kepman
Lomonosov Moscow State University
Email: afedorovNN@yandex.ru
Russian Federation, 1, Leninskie Gory, Moscow, 119991
A. Yu. Fedorov
Lobachevsky Nizhny Novgorod State University
Author for correspondence.
Email: afedorovNN@yandex.ru
Russian Federation, 23, Gagarin Ave., Nizhny Novgorod, 603950
References
- D’Alelio G., Пат US3929713A (1975). США.
- Kablov E.N., Erofeev V.T., Rimshin V.I., Zotkina M.M., Dergunova A.V., Moiseev V.V. J. Phys.: Conf. Ser, 2020. 1687, 12031. doi: 10.1088/1742-6596/1687/1/012031
- Evsyukov S., Pohlmann T., ter Wiel M. Rev. Curr. Trends Polym. Sci. 2020. 20.
- Валуева М.И., Зеленина И.В., Жаринов М.А., Ахмадиева К.Р., Труды ВИАМ, 2019, 12, 67–79. D oi 10.18577/2307-6046-2019-0- 12-67-79
- Stenzenberger H. Struct. Adhes. Dev. resins Prim. Elsevier Applied Science Publishers, London; New York, 1986.
- Iredale R.J., Ward C., Hamerton I. Prog. Polym. Sci. Elsevier, 2017, 69. 1–21. doi: 10.1016/j.progpolymsci.2016.12.002
- Мухаметов Р.Р., Петрова А.П. Авиационные материалы и технологии. 2019, 3, 48–58. doi: 10.18577/2071-9140-2019-0-3-48-58
- Mangalgiri P.D. Def. Sci. J. Defence Scientific Information & Documentation Centre, 2005, 55, 175. doi: 10.14429/DSJ.55.1980
- Zahir A.-C., Renner A. Пат. US4100140A (1978). США.
- Crivello J. V. J. Polym. Sci. Polym. Chem. Ed., 1973, 11, 1185–1200. doi: 10.1002/pol.1973.170110607
- Bargain M., Combet A., Grosjean P. Пат. FR1555565 (1969). Франция.
- Михайлин Ю.А. Термоустойчивые полимеры и полимерные материалы. СПб.: Профессия, 2006.
- Tung C.M., Lung C.L., Liar T.T., Polym. Mat. Sci. Eng., 1985, 52, 139–143.
- Zahir S.A.-C., Renner A. Пат. US 4100140 (1978), США.
- Stenzenberger H.D. Bismaleimide Resins, ASM handbook, 2001.
- Бабкин А.В., Эрдни-Горяев Э.М., Солопченко А.В., Кепман А.В., Известия высших учебных заведений. Химия и химическая технология, 2015, 58, 54–57.
- Xiong X., Chen P., Zhang J., Yu Q., Wang B., Thermochim. Acta., 2011, 514, 44–50. doi: 10.1016/j.tca.2010.12.001
- Orphanides G.G. Пат. US4154737A (1979), США.
- Petride H., Beiu S., Florea C., Rosu I., Dragus C., Mihis I., Пат. RO116193B1 (1994), Румыния.
- Li K., Yuan Ch., Zheng S., Fang Q., Tetrahedron Lett., 2012, 53, 4245–4247. doi: 10.1016/j.tetlet.2012.06.025
- Groth T., Piejko K.-E., Joentgen W., Kasbauer J., Alig B., Striiver W. Пат. US5773630 A (1998), США.
- Liao D.C., Hsieh K.H. Journal of Polymer Science Part A: Polymer Chemistry, 1994, 32, 1665–1672. doi: 10.1002/pola.1994.080320908
- Hsieh K., Han J.L., Yu C.T., Fu S.C., Polymer, 2001, 42, 2491–2500. doi: 10.1016/S0032-3861(00)00641-8
- Armarego W.L.F., Chai C.L.L. Purification of organic chemicals, Butterworth‐Heinemann Oxford, 2012.
- Шошева А.Л., Труды ВИАМ, 2022, 10, 23–41. doi: 10.18577/2307-6046-2022-0-10-23-41
- Wang W., Gu J., Hua W., Jia X., Xi K., Chem. Commun., 2014, 50, 8889–8891. doi: 10.1039/C4CC03306J
- Choi H.Y., Chi D.Y. J. Am. Chem. Soc., 2001, 123, 9202–9203. doi: 10.1021/ja0164374
- Donovan B.R., Ballenas J.E., Patton D.L. Macromolecules, 2016, 49, 7667–7675. doi: 10.1021/acs.macromol.6b01822
- Maji S., Asrey R., Kumar S., Saxena C., Kumar N., Vyas K.D., Banerjee S., J. Appl. Polym. Sci., 2010. 116, 3708–3717. doi: 10.1002/app.31942
Supplementary files










