Fluorination of Organic Compounds Accompanied by Molecular Rearrangements
- Authors: Borodkin G.I.1
-
Affiliations:
- Vorozhtsov Novosibirsk Institute of Organic Chemistry of the Siberian Branch of the Russian Academy of Sciences
- Issue: Vol 61, No 1 (2025)
- Pages: 5-44
- Section: ОБЗОРНАЯ СТАТЬЯ
- URL: https://journals.rcsi.science/0514-7492/article/view/291774
- DOI: https://doi.org/10.31857/S0514749225010017
- EDN: https://elibrary.ru/AGHNMQ
- ID: 291774
Cite item
Abstract
This literature review focuses on electrophilic and oxidative fluorination of organic compounds accompanied by molecular rearrangements. Special attention is given to the reaction mechanisms and selectivity issues.
Full Text
ВВЕДЕНИЕ
Фторорганические соединения обладают рядом уникальных химических свойств и находят широкое практическое применение в качестве лекарственных препаратов [1–7], агрохимикатов [8–10], люминесцентных материалов [11], жидких кристаллов [12], полимеров [13] и др. Природа по существу игнорировала фтор как элемент биосинтеза [2, 4], однако многие синтезированные агрохимикаты и лекарственные средства содержат атом фтора. Причина включения атома фтора в фторорганические соединения обусловлена уникальными свойствами этого элемента. Фтор – самый электроотрицательный элемент и по своему размеру (rw 1.35) занимает промежуточное положение между атомом водорода (rw 1.20) и кислорода (rw 1.40), поэтому замена связи C–H на C–F в лекарственном препарате является весьма консервативной по стерическим причинам [7]. Включение атома фтора в молекулу лекарственного препарата влияет на растворимость, липофильность, биологическую активность и метаболическую стабильность [7, 14]. Ранее для фторирования органических соединений использовались такие фторирующие реагенты, как F2, FClO3, CF3OF и XeF2 [15–17]. Реагенты F2 и XeF2 являются сильными окислителями и не обладают достаточной селективностью при синтетическом применении [18]. Большинство OF-реагентов недостаточно стабильны, а также довольно токсичны. Существенный прогресс в синтезе фторированных органических соединений за последние 40 лет был достигнут с использованием NF-реагентов, причем наиболее эффективными среди них оказались N-фторбис(фенилсульфонил)амин (NFSI) и 1-хлорметил-4-фтор-1,4-диазониабицикло[2.2.2]октанбис(тетрафторборат) (Selectfluor, FTEDA-BF) [7, 15, 16, 19–22]. NF-реагенты формально являются источником катиона фторония (“F+”), причем связь N–F имеет низко расположенную σ*-орбиталь и поляризована так, что на атоме F возникает частичный отрицательный заряд, который благоприятствует нуклеофильной атаке на атом фтора по типу SN2 [21]. При фторировании в ходе присоединения к молекуле “F+” возникает карбкатион, который может подвергаться перегруппировке. Другой механизм фторирования включает одноэлектронный перенос и может конкурировать с механизмом SN2 с вовлечением в реакцию катион-радикалов или радикалов, которые также могут подвергаться перегруппировкам [21]. В настоящее время в качестве фторирующих реагентов широко используются фторйоданы [23]. Химия гипервалентного йода занимает особое место в органическом синтезе главным образом благодаря мягким условиям реакций и экологичности фторйодановых реагентов. Фторирование органических соединений может быть осуществлено другим путем – через предварительную электрофильную активацию субстрата с образованием катиона или катион-радикала, которые могут подвергаться перегруппировке и далее взаимодействовать с источником аниона F-, например Py · nHF, Et3N · nHF, давая фторпроизводное [24].
ФТОРИРОВАНИЕ С ПЕРЕГРУППИРОВКОЙ ВАГНЕРА–МЕЕРВЕЙНА И ЕЙ ПОДОБНЫМИ
Фторирование органических соединений с перегруппировкой Вагнера–Меервейна сопровождается миграцией различных атомов или групп или изменением скелета молекулы.
Пример 1,2-сдвига атома водорода, сопровождающего электрофильное фторирование аренов, впервые наблюдали при фторировании 1,3,5-тридейтеробензола (1) [25, 26]. Соотношение фторбензол-d3–фторбензол-d2, определенное методом хроматомасс-спектрометрии, оказалось достаточно высоким (1.28), что обусловлено миграцией атомов водорода и дейтерия в промежуточно образующихся σ-комплексах (схема 1).
Схема 1
Фторирование эпоксида 2 реагентом Py · 3HF дает диол 3, очевидно, с вовлечением фенониевого иона А в результате 1,2-сдвига фенильной группы (схема 2) [27].
Схема 2
Фторирование ненасыщенных кетонов 4 реагентом PhIO–HF · Рy в CH2Cl2 идет с миграцией арильной группы с образованием дифторкетонов 5 с высокими и умеренными выходами (схема 3). Предполагается, что дифторкетон образуется в результате атаки аниона F– на интермедиат B [28].
Схема 3
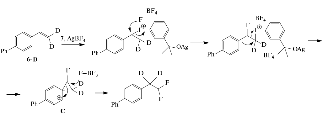
Фторирование производных стирола 6 фторйоданом 7 в присутствии AgBF4 осуществляется с миграцией арильной группы (схема 4) [29].
Схема 4
Использование меченного дейтерием стирола 6-D показало, что реакция, по всей вероятности, идет с образованием фенониевого интермедиата С (схема 5) [29].
Схема 5
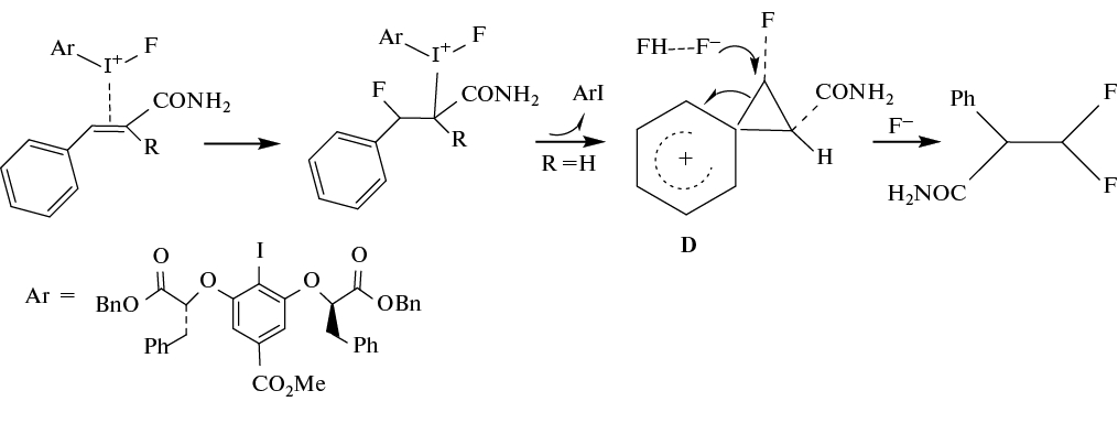
Взаимодействие гипервалентного йодарена, образующегося in situ при окислении хирального арилйодида 9, со стиролами 10 приводит к энантиообогащенным дифторпроизводным 11 через 1,2-миграцию арила (схема 6) [30].
Схема 6
Предполагается, что реакция идет с образованием фенониевого интермедиата D, а стереоспецифичность реакции определяет катион-π-взаимодействие в π-комплексе ArFI+ c олефином (схема 7) [30].
Схема 7
Квантово-химические расчеты SMD-M06-2X/6-311++G(d,p)+SDD согласуются с приведенным в литературе механизмом реакции [31].
Описано аналогичное фторирование стиролов 12 на основе катализа I(I)/I(III) с использованием p-TоlI в качестве катализатора, который при окислении реагентом Selectfluor дает in situ p-TоlIF2 (схема 8). Фторирование идет с миграцией арильной группы даже в случае наличия в этой группе мощного электроноакцепторного заместителя (NO2, CF3, SO2Me) [32].
Схема 8
Каталитическое фторирование 1,1-дифенилэтилена 14 с использованием катализаторов ArI (Ar = 2-MeOC6H4, 2-MeC6H4, 4-MeC6H4), м-хлорнадбензойной кислоты (m-CPBA) как окислителя и Py · HF в качестве источника фтора осуществляется с миграцией фенильной группы (схема 9) [33].
Схема 9
Аналогично, благодаря высокой миграционной способности арильной группы, фторирование сопряженных ароматических алкенов 16 дает дифториды 17 (схема 10) [34].
Схема 10
Геминальное фторирование алкенил-N-метилиминодиацетилборонатов 18 реагентами PhI(OAc)2 и Py · HF дает дифторированные алкилбороны 19 (схема 11) [35].
Схема 11
На примере дейтерированного бороната 18-D показано, что фторирование идет с миграцией фенильной группы (схема 12) [35].
Схема 12
Арилаллены 20 подвергаются перегруппировке под действием дифторйодтолуола в присутствии 20 мол. % BF3 · OEt2 с образованием дифторметилстиролов 21 (схема 13). Отсутствие перераспределения дейтерия в аллене 22 (схема 14) и высокая эндотермичность реакции в случае субстрата с Ar = p-CF3C6H4 соответствуют механизму с миграцией фенильной группы (схема 15) [36].
Схема 13
Схема 14
Схема 15
Предложен метод энантиоселективного каталитического вицинального фторирования электронодефицитных стиролов 24 с использованием производного резорцина 25 в качестве катализатора (схема 16). Влияние заместителей X на соотношение вицинального продукта к геминальному увеличивается с ростом акцепторной способности заместителя и описывается уравнением Гаммета. Увеличение соотношения Pyr · (HF)x с 1 : 9.2 до 1 : 4.5 при фторировании 4-нитростирола привело к увеличению соотношения геминального к вицинальному продуктов. Предполагается, что конкуренция между замещением группы ArI анионом F–, дающим вицинальный продукт 26 (путь а), или образованием фенониевого иона, приводящим к геминальному продукту 27 (путь b), определяет соотношение этих продуктов (схема 17) [37].
Схема 16
Схема 17
Перегруппировка Вагнера–Меервейна в результате 1,2-сдвига метильной группы при фторировании стиролов 28 реагентом Py · 9HF в присутствии хирального арилйодида 29 и мета-хлорнадбензойной кислоты дает дифторпроизводные 30 с высокими выходом и энантиоселективностью (схема 18). Предложено 2 варианта предполагаемого механизма реакции: с опережающей атакой аниона F- (путь a) и с первоначальной миграцией метильной группы (путь b) (схема 19). На основании изучения кинетических изотопных эффектов 12С/13C на примере меченого по метильной группе 1-(3,3-диметилбутен-1)-4-нитробензола (31) сделан вывод о том, что более вероятен механизм b, а межмолекулярная атака анионом F– определяет энантиоселективность реакции [38].
Схема 18
Схема 19
Катализируемая комплексом кобальта 32 перегруппировка Вагнера–Меервейна с миграцией арильной группы при фторировании аллильных производных 33 реагентом Me3NFPy · BF4 приводит к образованию фторидов 34 (схема 20) [39].
Схема 20
Электрофильное фторирование олефинов 35 реагентом Selectfluor в присутствии 4-MeC6H4I и Py · 9HF осуществляется с миграцией группы BMIDA (N-метилиминодиацетилборонат) с образованием дифторпродукта 36. Согласно квантово-химическим расчетам методом B3LYP-D3(BJ), миграция группы BMIDA может осуществляться через переходное состояние E (схема 21) [40].
Схема 21
Предполагается, что геминальное фторирование стиролов 37 на основе катализа I(I)/I(III) осуществляется с участием фенониевого иона F с образованием дифторидов 38 (схема 22) [41].
Схема 22
При фторировании метиленциклопропанов 39 реагентом Selectfluor в присутствии Py · HF образуются дифториды 40. Предполагается, что реакция идет с образованием интермедиатов G, подвергающихся перегруппировке Вагнера–Меервейна (схема 23). Движущей силой перегруппировки является снятие напряжения в циклопропановом фрагменте [42].
Схема 23
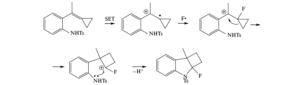
Фторциклизация пиридинилстиролов 41 с использованием фторйодана 7 в присутствии AgBF4 идет селективно с образованием фторпиридилоксазепинов 42. Предполагаемый механизм реакции включает образование интермедиата H фенониевого типа (схема 24) [43].
Схема 24
Чжу с сотр. синтезировали производные оксазолина 43 из амидов 44 действием PhI, эфирата трехфтористого бора и мета-хлорнадбензойной кислоты. Фторирование осуществлено за короткое время (10 мин.) с хорошими и отличными выходами (схема 25). Ключевым интермедиатом реакции является ион фенониевого типа I [44].
Схема 25
Метиленинданы 45 подвергаются расширению цикла при фторировании реагентом 4-TolIF2, генерируемы in situ из 4-TolI действием реагента Selecfluor, с образованием трифтортетралина 46 (схема 26) [45]. Введение в ароматическое кольцо электронодонорных заместителей Х уменьшает выход трифторида 46, что можно объяснить уменьшением положительного заряда в ароматическом фрагменте фенониевого интермедиата. Выявлена корреляционная зависимость выходов трифторида 46 при использовании σ-констант Гаммета.
Схема 26
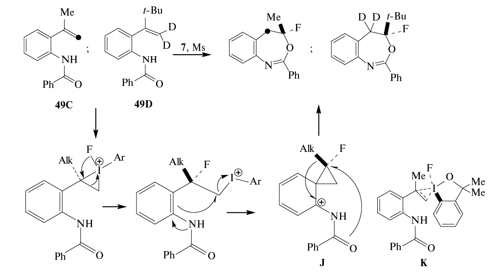
Фторбензйодоксол 7 и молекулярные сита (MS) использованы для получения 4-фтороксазепинов 47 из стиролов 48. Предполагается, что фторирование идет в результате каскадной 1,2-арильной миграции–циклизации (схема 27) [46].
Схема 27
Изучение методом меченых атомов механизма трансформации амидостиролов 49С и 49D показало, что атомы 13C и дейтерия расположены исключительно в бензильном положении и, следовательно, осуществляется 1,2-сдвиг арильного фрагмента, а не миграция алкильной группы с образованием спироциклопропана J в качестве ключевого интермедиата (схема 28) [46]. Альтернативный механизм фторциклизации стирилбензамидов 49 с участием промежуточного соединения K был предложен на основе расчетов методом DFT (схема 28) [47].
Схема 28
При фторировании кислот 50, 51 действием фторйодана 7 и AgBF4 предполагается, что ключевой стадией является миграция арильной группы (схемы 29–31) [48].
Схема 29
Схема 30
Схема 31
Фторирование производных циклопропана 54, осуществляемое гипервалентным фторйоданом 55, идет с внутримолекулярным расширением цикла с образованием производного пиперидина 56. Предполагается, что в разрезании циклопропанового фрагмента участвует катион L, строение которого подтверждено методом спектроскопии ЯМР 1H, 13C, 11B, 19F (схема 32) [49].
Схема 32
Фторирование бициклических азааренов 57 реагентом Selectfluor идет с раскрытием цикла, в результате которого образуются нитрильные производные 58 (схема 33) [50].
Схема 33
Методом ЯМР 1Н авторы установили, что при фторировании 3-этилпиразоло[1,5-а]пиридина (59) реагентом Selectfluor при комнатной температуре образуется соль 60, которая при повышении температуры до 80оС дает 2-фтор-2-(пиридинил-2)бутанонитрил 61 (схема 34) [50].
Схема 34
Фторирование пиранозида 62 реагентом Et2NSF3 (DAST) идет с образованием фторпроизводных 63 и 64 соответственно с сохранением конфигурации и с сужением цикла. Суммарный выход этих продуктов зависит от избытка реагента DAST (3–10 экв.) и уменьшается от 63 до 33% при увеличении количества DAST от 3 до 10 экв., а соотношение соединений 63 и 64 близко к 1. Предполагается, что ключевым интермедиатом реакции является бициклический оксираний-катион M, который подвергается атаке анионом F– (схема 35) [51].
Схема 35
Предложен прямой метод синтеза фторенаминов 65 из триазолов 66. Фторирование идет под действием Et2O · BF3 и (n-Bu)4N+F– и предположительно включает миграцию атома фтора от атома бора к углероду в интермедиате N (схема 36) [52].
Схема 36
Разработан энантиоселективный синтез β,β-дифторалкилбромидов 67 из бромолефинов 68, катализируемый йодареном 69 в присутствии Py · 9HF в качестве источника фтора и мета-хлорнадбензойной кислоты как окислителя. Предполагается, что трансформация включает окислительную перегруппировку бромзамещенного олефина с образованием бромониевого катиона O (схема 37) [53].
Схема 37
В аналогичном превращении винилбромидов 70 в дифторалкилбромиды 71 реакция осуществляется под действием генерируемого in situ PhIF2 · HF, получаемого из фенилйоддиацетата (PIDA), и включает миграцию атома брома (схема 38) [54].
Схема 38
1,2-Миграцию азидной группы наблюдали при фторировании винилазидов 72 под действием генерируемого in situ PhIF2 · HF с образованием дифторазидов 73 (схема 39). Миграцию этой группы исследовали на примере меченного дейтерием субстрата 74, который дает продукт, дейтерированный по атому углерода, связанному с азидной группой, что исключает процесс элиминирования. Расчеты методом M062X/6-31G(d,p)/LANL2DZ показали, что барьер миграции азидной группы с вовлечением пятичленного переходного состояния P выше (67.0 ккал/моль), чем в случае трехчленного переходного состояния Q (15.1 ккал/моль) [55, 56].
Схема 39
Аналогичную 1,2-миграцию азидной группы наблюдали в реакции производных ацетилена 75 при последовательном действии Me3SiN3, AgN3 и фенилйоддиацетата (PIDA), Py–HF при получении азидодифторидов 76 (схема 40) [57].
Схема 40
Действием реагента IF5 · Py · HF на сульфиды 77 синтезированы трифторсульфиды 78 с выходами 52–84%. Можно полагать, что реакция идет с миграцией группы ArS через образование эписульфониевого иона R (схема 41) [58].
Схема 41
ПЕРЕГРУППИРОВКИ С УЧАСТИЕМ РАДИКАЛОВ И КАТИОН-РАДИКАЛОВ ПРИ ФТОРИРОВАНИИ
При окислительном фторировании образуются радикалы или катион-радикалы, подвергающиеся молекулярным перегруппировкам.
В результате внутримолекулярной фторциклизации ненасыщенных карбаматов 79 под действием фторйодана 7 в присутствии катализатора AgSbF5 получены фторированные оксазолидиноны 80 (схема 42). Предполагается, что фторирование осуществляется по радикальному механизму (схема 43). В пользу этого свидетельствует уменьшение выхода продукта 80 (R1 = 4-MeOC6H4, R2 = Ph) при добавлении 2,2,6,6-тетраметилпиперидин-1-оксила (ТЕМПО) для захвата радикалов [59].
Схема 42
Схема 43
Окислительное фторирование циклопропанолов 81, катализируемое AgNO3 или Fe(acac)3, идет также по радикальному механизму с раскрытием циклопропанового фрагмента и образованием фторкетонов 82 (схемы 44, 45) [60].
Схема 44
Схема 45
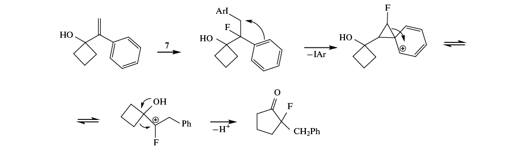
Фторирование циклобутанолов 83 обеспечивает мягкий и удобный синтез фторметилзамещенных циклопентанонов 84 (схема 46). Предложен механизм реакции с образованием катион-радикала, который подвергается фторированию с образованием β-фторзамещенного карбкатиона, а затем осуществляется расширение цикла (схема 47) [61].
Схема 46
Схема 47
Аналогичный механизм предложен для превращения аминов 85 в фторзамещенные индолины 86 под действием реагента Selectfluor (схемы 48, 49) [62].
Схема 48
Схема 49
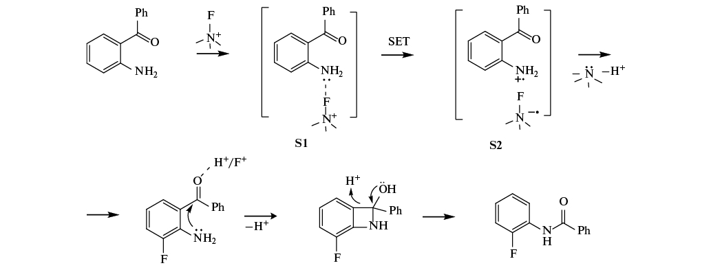
Фторирование производного анилина 87 в амид 88 под действием реагента Selectfluor осуществляется с 1,3-миграцией группы RCO (R = Me, Ar) (схема 50). Предполагаемый механизм реакции включает образование комплекса с переносом заряда S1 между донором и реагентом Selectfluor, за которым следует одноэлектронный перенос, в результате образуется катион-радикальная и анион-радикальная пара S2, а далее осуществляется 1,3-миграциия группы RCO внутри клетки (схема 51). Расчеты методом B3LYP/6-311++G(d,p) с учетом сольватации в рамках модели PCM указывают на предпочтительность орто-фторирования [63].
Схема 50
Схема 51
ФТОРИРОВАНИЕ С СЕМИПИНАКОЛИНОВОЙ И ЕЙ ПОДОБНЫМИ ПЕРЕГРУППИРОВКАМИ
Фторирование, сопровождаемое семипинаколиновой перегруппировкой, представляет собой простой метод получения фторированных кетонов, которые находят широкое практическое применение в качестве функциональных материалов.
Разработан трехкомпонентный метод синтеза фторамидов 89 из альдегидов 90 действием аминов n-BuR2R3N и реагента Me3SiF2Br, который является источником дифторкарбена (схема 52). Предположительный механизм включает миграцию атома фтора (схема 53) [64].
Схема 52
Схема 53
С использованием катализатора 91, реагента Selecfluor и Na3PO4 осуществлено первое энантиоселективное фторирование аллильных спиртов 92, сопровождаемое семипинаколиновой перегруппировкой, с образованием фторспирокетонов 93. Реакция идет с высокими выходами и энантиоселективностью (dr > 20 : 1) (схема 54) [65, 66].
Схема 54
Фторирование гидроксициклобутанов 94 фторйоданом 7 дает фторциклопентаноны 95 в мягких условиях и с высоким выходом (схема 55). Предполагаемый механизм включает миграцию арильной группы и расширение цикла (схема 56) [67].
Схема 55
Схема 56
Реакция фторирования производных 2-алкилиденциклобутанола 96 гипервалентным йодом(III) с использованием нуклеофила Py · HF в качестве источника фтора идет с сокращением цикла через семипинаколиновую перегруппировку и дает β-фторированные циклопропанкарбальдегиды 97 (схема 57) [68].
Схема 57
Асимметрическое фторирование аллильных спиртов 98, катализируемое производным хинного алкалоида 99, сопровождается семипинаколиновой перегруппировкой (схема 58). Кетоны 100 были получены с умеренными выходами и со значениями ee от умеренных до высоких [69].
Схема 58
ФТОРИРОВАНИЕ С ПЕРЕГРУППИРОВКОЙ МЕЗЕНГЕЙМЕРА
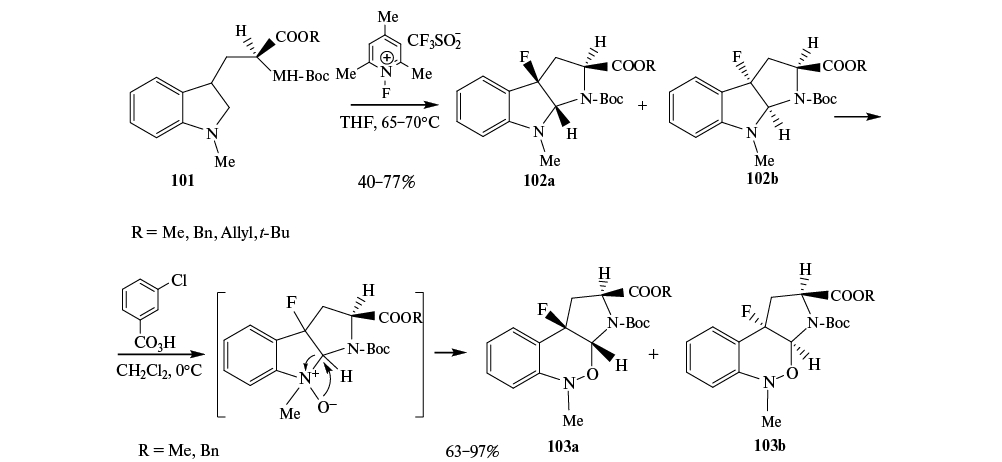
При действии на триптофаны 101 2,4,6-триметил-1-фторпиридиний трифлата образуются фторгексагидропирролоиндолы 102a, b. При действии на них мета-хлорнадбензойной кислоты идет перегруппировка Мезенгеймера с образованием фторпирролобензоксазинов 103a, b с высокой диастереоселективностью (син-цис/анти-цис > 8.5 : 1.5) (схема 59) [70].
Схема 59
ФТОРИРОВАНИЕ С ПЕРЕГРУППИРОВКОЙ, АНАЛОГИЧНОЙ ПЕРЕГРУППИРОВКЕ МЕЙЕРА–ШУСТЕРА
Фторированные соединения, содержащие дифтораллильные фрагменты, используются как прекурсоры для синтеза широкого спектра других фторсодержащих соединений.
Разработан подход, основанный на перегруппировке, аналогичной перегруппировке Мейера–Шустера, для синтеза йодированных аллильных дифторидов 103 действием HOEt2 · BF4 и Ph2S в присутствии 1-йодпирролидин-2,5-диона на пропаргиловые фториды 104 (схема 60). Предложено 2 варианта превращения образующихся в реакции аллильных 1,3-дифторидов 105: ступенчатый механизм с превращением аллильных карбкатионов (путь а) или согласованный механизм (путь b) (схема 61). Однако выбор между этими вариантами не был осуществлен [71].
Схема 60
Схема 61
ФТОРИРОВАНИЕ С АЗА-ПЕРЕГРУППТРОВКОЙ КЛЯЙЗЕНА
Система Fe(OTf)3–Selectfluor позволяет провести превращение 1-алленилиндолов 106 в 2-алленил-3,3-дифториндолы 107 в результате аза-перегруппировки Кляйзена (схема 62) [72]. Фторирование алленилиндола 106 (R1 = Ph, R2 = H) может также катализироваться солями PtCl2, InCl3 и HfCl4, однако выходы дифторида 107 (R1 = Ph, R2 = H) несколько ниже (63–71% против 81%). Использование в качестве катализатора (Ph3P)AuNTf2 дало дифторид 107 (R1 = Ph, R2 = H) с выходом 83%, что близко к таковому при использовании Fe(OTf)3 (выход 81%). Предположительно ключевой стадией аза-перегруппировки Кляйзена является миграция алленовой группы, связанной с фрагментом MLn, где М – металл (схема 63) [72].
Схема 62
Схема 63
ФТОРИРОВАНИЕ С ПЕРЕГРУППИРОВКОЙ БЕКМАНА
Фторирование 1-(пиридинил-4)этаноноксима (108) системой трифторид диэтиламиносеры−тетрагидрофуран (DAST−THF) дает N-(пиридинил-4)ацетамид (109) с выходом 72% (схема 64). По-видимому, протонирование по атому азота интермедиата T увеличивает способность уходящей группы к отщеплению и облегчает осуществление перегруппировки Бекмана (схема 65). После гидролиза продукт не содержит атом фтора [73].
Схема 64
Схема 65
ФТОРИРОВАНИЕ С МИГРАЦИЕЙ МЕТАЛЛООРГАНИЧЕСКОЙ ГРУППЫ ИЛИ МЕТАЛЛА
Разработан метод катализируемого Pd(OAc)2 региоселективного арилфторирования хроменов 110. Соотношение образующихся при фторировании продуктов 1,3- и 1,2-присоединения 111, 112 зависит от природы лиганда L и арильных групп Ar, Ar' (схема 66). Предполагалось, что 1,3-продукт образуется в результате миграции палладиевого фрагмента с последующим образованием связи C–F , а продукт 1,2-арилфторирования – в результате миграции Ar' в палладиевом комплексе (схемы 67, 68). Наивысшая селективность по 1,3-арилфторированию (32 : 1) достигнута при использовании в качестве лиганда 4,4'-диметокси-2,2'-бипиридина и Ar' = 3-MeCO2C6H4. Обнаружено, что при увеличении электроноакцепторной способности заместителя в арильной группе Ar'B(OH)2 относительная доля 1,3-продукта возрастает [74].
Схема 66
Схема 67
Схема 68
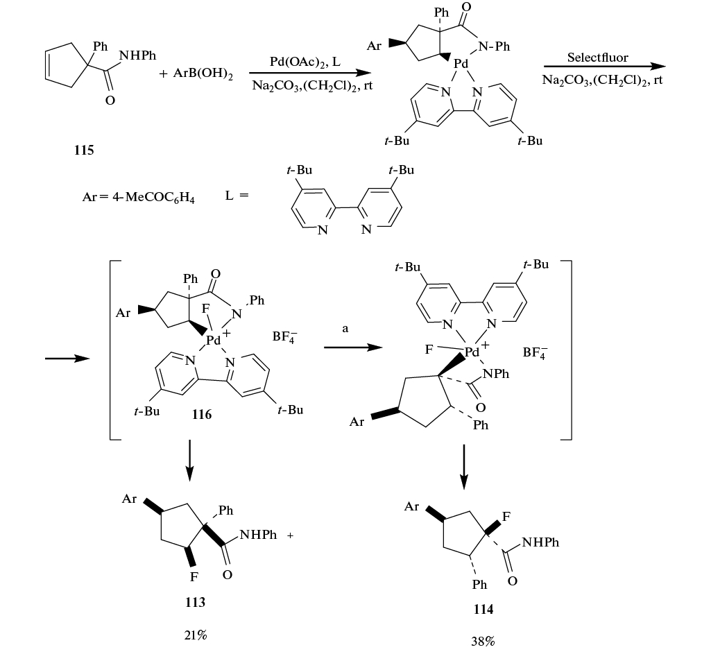
Разработан катализируемый Pd(OAc)2 метод синтеза изомерных арилфтордифенилциклопентанкарбоксамидов 113, 114. Фторирование осуществлено действием реагента Selectfluor и арилборной кислоты на N-метил-2-фенилциклопентен-3-карбоксамид (115) в присутствии лиганда L. Образование изомера 114 осуществляется, вероятно, вследствие диотропной перегруппировки палладиевого комплекса 116 (стадия a, схема 69) [75].
Схема 69
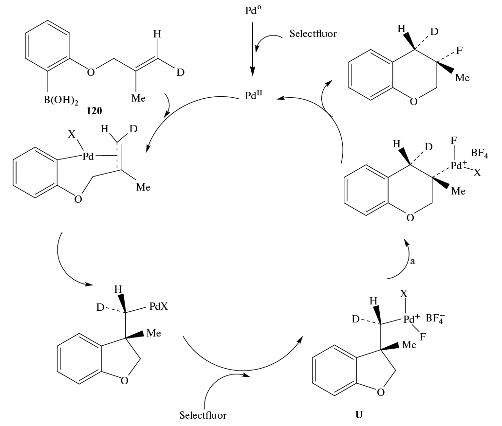
Фторированные хроманы 117 синтезированы действием реагента Selectfluor в присутствии каталитических количеств Pd(dba)2 и 4,4'-дитретбутил-2,2'-бипиридина (118) на арилборные кислоты 119 (схема 70). Использование меченного дейтерием модельного соединения 120 позволило предложить механизм реакции, включающий диотропную перегруппировку интермедиата U (стадия a, схема 71) [76].
Схема 70
Схема 71
Фторирование амидов 121 реагентом Selectfluor, катализируемое Pd(OAc) в 1,1,1,3,3,3-гексафторпропаноле-2 (HFIP), идет с образованием производных 122 с миграцией арильной группы (схема 72). Согласно данным расчетов DFT, перегруппировка идет через переходное состояние V [77].
Схема 72
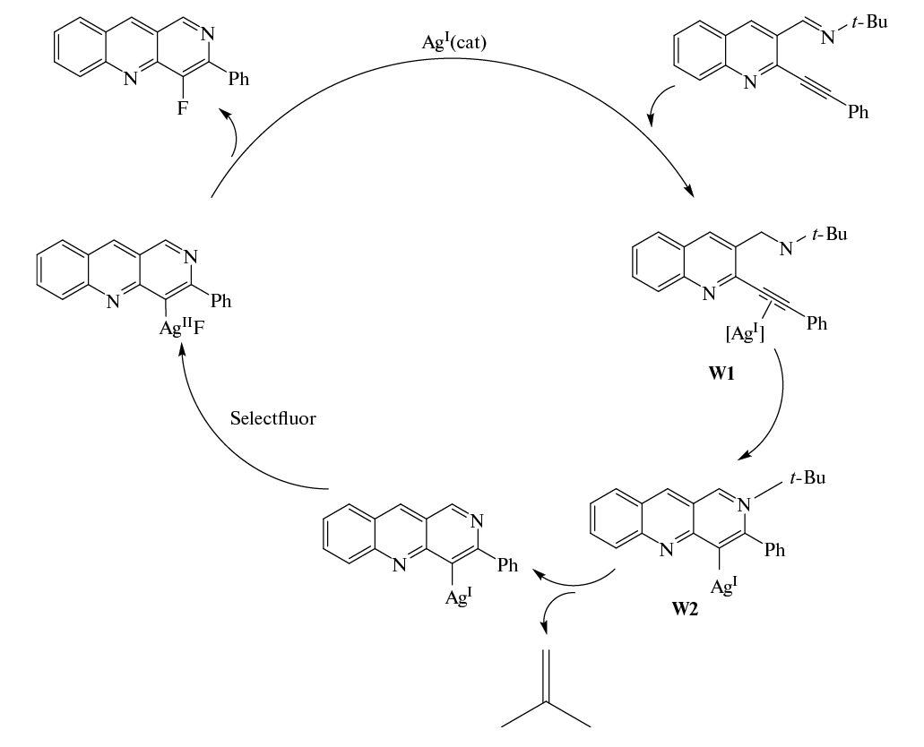
Предложен катализируемый AgNO3 синтез 4-фторбензо[b][1, 6]нафтиридинов 123 в результате иминофторирования реагентом Selectfluor о-алкинилхинолинилов 124, генерируемых in situ из альдегидов 125 (схема 73). Предполагаемый механизм реакции включает превращение π-комплекса W1 в σ–комплекс W2 с последующим фторированием реагентом Selectfluor (схема 74) [78].
Схема 73
Схема 74
1,3-Ацилоксиперегруппировка пропаргилацетатов 126 в присутствии реагента Selectfluor и i-PrAuNTf2 идет с образованием связи C(sp2)–F и включает окислительно-восстановительный каталитический цикл Au(I)/Au(III) (схемы 75, 76) [79].
Схема 75
Схема 76
Эффективный синтез фторированных индолов 128 достигнут через катализируемую Ag2CO3 схему циклизация–фторирование 2-алкиниланилинов 129 под действием NFSI (схема 77) [80].
Схема 77
Разработан новый метод получения 3-фтороксиндолов 130 циклизацией и фторированием реагентом Selectfluor диазоацетамидов 131 в присутствии [Ru(p-cymene)Cl2]2 (схемы 78, 79) [81].
Схема 78
Схема 79
ФОТОКАТАЛИТИЧЕСКОЕ ФТОРИРОВАНИЕ С ПЕРЕГРУППИРОВКАМИ
Фотокаталитическое фторирование является одним из перспективных методов синтеза фторорганических соединений [82–84]. При фотокатализе происходит поглощение кванта света катализатором, а не субстратом. Фотокаталитический процесс может включать либо восстановительный одноэлектронный перенос электрона (SET) с катализатора на субстрат, либо обратный окислительный SET. При этом образуются катионы, катион-радикалы или радикалы, которые могут подвергаться перегруппировкам.
Разработан фотокаталитический метод превращения удаленной связи С–Н в амидах 132 в связь C–F с образованием фторзамещенных амидов 133 (схема 80). Предложен механизм окислительного образования амидиловых радикалов X1 с их превращением в результате 1,5-сдвига атома водорода в радикалы X2 и последующим фторированием последних реагентом Selectfluor (схема 81) [85].
Схема 80
Схема 81
Разработан однореакторный метод фотохимической трансформации циклопропиламидов 134 во фторированные амиды 135 при использовании бензофенона в качестве фотокатализатора (схема 82). Предполагается, что раскрытие циклопропанового фрагмента осуществляется в результате перегруппировки катион-радикала Y с последующим фторированием последнего (схема 83) [86].
Схема 82
Схема 83
Фотокаталитическое превращение оксима 136 в фторированный нитрил 137 осуществляется, очевидно, с перегруппировкой иминильного радикала (схема 84) [87].
Схема 84
Одноэлектронное окисление метиленциклопропанов 139 дает арил-1,4-дигидронафталины 140 в результате фотоокислительно-восстановительного катализа в присутствии кобальтового катализатора и Et3N · 3HF (схема 85). Предполагаемый механизм включает стадию изомеризации радикала Z (схема 86) [88].
Схема 85
Схема 86
ЗАКЛЮЧЕНИЕ
Представлены обобщенные сведения о состоянии исследований в области фторирования органических соединений с вовлечением молекулярных перегруппировок. Электрофильное и окислительное фторирование органических соединений часто происходит с образованием катионов, ион-радикалов и радикалов, которые являются внутренне неустойчивыми частицами и подвержены перегруппировкам. Различные перегруппировки позволяют расширить круг синтезируемых продуктов, которые иногда трудно получить прямым фторированием. Для предсказания направления таких реакций необходимо детальное изучение их механизма, включая квантово-химические расчеты.
КОНФЛИКТ ИНТЕРЕСОВ
Автор заявляет об отсутствии конфликта интересов.
About the authors
G. I. Borodkin
Vorozhtsov Novosibirsk Institute of Organic Chemistry of the Siberian Branch of the Russian Academy of Sciences
Author for correspondence.
Email: gibor@nioch.nsc.ru
Russian Federation, 9, Acad. Lavrentiev Ave., Novosibirsk, 630090
References
- Zhou Y., Wang J., Gu Z., Wang S., Zhu W., Aceña J.L., Soloshonok V.F., Izawa K., Liu H. Chem. Rev. 2016, 116, 422–518. doi: 10.1021/acs.chemrev.5b00392
- Lowe P.T., O’Hagan D. Chem. Soc. Rev. 2023, 52, 248–276. doi: 10.1039/d2cs00762b
- Tiz D.B., Bagnoli L., Rosati O., Marini F., Sancineto L., Santi C. Molecules. 2022, 27, 1643–1666. doi: 10.3390/molecules27051643
- Mei H., Han J., White S., Graham D.J., Izawa K., Sato T., Fustero S., Meanwell N.A., Soloshonok V.A. Chem. Eur. J. 2020, 26, 11349–11390. doi: 10.1002/chem.202000617
- Dhiman P., Arora N., Thanikachalam P.V., Monga V. Bioorg. Chem. 2019, 92, 103291. doi: 10.1016/j.bioorg.2019.103291
- Wang J., Sánchez-Roselló M., Aceña J.L., del Pozo C., Sorochinsky A.E., Fustero S., Soloshonok V.A., Liu H. Chem. Rev. 2014, 114, 2432–2506. doi: 10.1021/cr4002879
- Zaikin P.A., Borodkin G.I. In: Late-Stage Fluorination of Bioactive Molecules and Biologically-Relevant Substrates. Ed. A. Postigo. Amsterdam: Elsevier. 2019, 105–135. doi: 10.1016/B978-0-12-812958-6.00003-3
- Mykhailiuk P.K. Chem. Rev. 2021, 121, 1670–1715. D doi: 10.1021/acs.chemrev.0c01015
- Jeschke P. Eur. J. Org. Chem. 2022, e202101513. doi: 10.1002/ejoc.202101513
- Jeanmart S., Edmunds A.J.F., Lamberth C., Pouliot M. Bioorg. Med. Chem. 2016, 24, 317–341. doi: 10.1016/j.bmc.2015.12.014
- Li F., Wang M., Liu S., Zhao Q. Chem. Sci., 2022, 13, 2184–2201. doi: 10.1039/d1sc06586f
- Bremer M., Kirsch P., Klasen-Memmer M., Tarumi K. Angew. Chem. Int. Ed. 2013, 52, 8880–8896. doi: 10.1002/anie.201300903
- Squeo B.M., Gregoriou V.G., Avgeropoulos A., Baysec S., Allardd S., Scherf U., Chochos C.L. Progress Polymer Sci. 2017, 71, 26–52. doi: 10.1016/j.progpolymsci.2017.02.003
- Gillis E.P., Eastmann K.J., Hill M.D., Donnelly D.J., Meanwell N.A. J. Med. Chem. 2015, 58, 8315–8359. doi: 10.1021/acs.jmedchem.5b00258
- Бородкин Г.И., Шубин В.Г. ЖОрХ, 2021, 57, 1209–1242 [Borodkin G.I., Shubin V.G. Russ. J. Org. Chem. 2021, 57, 1369–1397]. doi: 10.1134/S1070428021090013
- Borodkin G.I., Shubin V.G. Chem. Heterocycl. Compd. 2022, 58, 84–96. doi: 10.1007/s10593-022-03060-3
- Ramsden C.A. Arkivok 2014 (i), 109–126. doi: 10.3998/ark.5550190.p008.436
- Бородкин Г.И., Шубин В.Г. Усп. хим., 2010, 79, 299–324. [Borodkin G.I., Shubin V.G. Russ. Chem. Rev. 2010, 79, 259–283]. doi: 10.1070/RC2010v079n04ABEH004091
- Fluorination, Synthetic Organofluorine Chemistry. Eds. J. Hu, T. Umemoto, Springer Nature Singapore Pte Ltd. 2020, 429, 446, 451, 529, 558, 566. doi: 10.1007/978-981-10-3896-9
- Бородкин Г.И. Усп. хим., 2023, 92, RCR5091 [Borodkin G.I. Russ. Chem. Rev. 2023, 92, RCR5091]. doi: 10.59761/RCR5091
- Liang T., Neumann C.N., Ritter T. Angew. Chem. Int. Ed. 2013, 52, 8214–8264. doi: 10.1002/anie.201206566
- Rozatian N., Hodgson D.R.W. Chem. Commun., 2021, 57, 683–712. doi: 10.1039/d0cc06339h
- Sakthivel K., Subhiksha J., Raju A., Kumar R., Dohi T., Singha F.V. Arkivoc, 2022, 138–165. doi: 10.24820/ark.5550190.p011.996
- Haufe G. Chem. Rec. 2023, 23, e202300140. doi: 10.1002/tcr.202300140
- Borodkin G.I., Zaikin P.A., Shubin V.G. Tetrahedron Lett. 2006, 47, 2639–2642. doi: 10.1016/j.tetlet.2006.02.016
- Бородкин Г.И., Заикин П.А., Шакиров М.М., Шубин В.Г. ЖОрХ, 2007, 43, 1460−1468 [Borodkin G.I., Zaikin P.A., Shakirov M.M., Shubin V.G. Russ. J. Org. Chem. 2007, 43, 1451−1459.] doi: 10.1134/S1070428007100077
- Bykova T., Al-Maharik N., Slawin A.M.Z., O’Hagan D. J. Fluor. Chem. 2015, 179, 188–192. doi: 10.1016/j.jfluchem.2015.08.003
- Kitamura T., Yoshida K., Mizuno S., Miyake A., Oyamada J. J. Org. Chem. 2018, 83, 14853–14860. doi: 10.1021/acs.joc.8b02473
- Ilchenko N.O., Tasch B.O.A., Szabó K.J. Angew. Chem. Int. Ed. 2014, 53, 12897–12901. doi: 10.1002/anie.201408812
- Banik S.M., Medley J.W., Jacobsen E.N. Science. 2016, 353, 51–54. doi: 10.1126/science.aaf8078
- Zhou B., Haj M.K., Jacobsen E.N., Houk K.N., Xue X.-S. J. Am. Chem. Soc. 2018, 140, 15206−15218. doi: 10.1021/jacs.8b05935
- Scheidt F., Neufeld J., Schäfer M., Thiehoff C., Gilmour R. Org. Lett. 2018, 20, 8073−8076. doi: 10.1021/acs.orglett.8b03794
- Kitamura T., Muta K., Oyamada J. J. Org. Chem. 2015, 80, 10431−10436. doi: 10.1021/acs.joc.5b01929
- Kitamura T., Kitamura D., Oyamada J., Higashi M., Kishikawa Y. Adv. Synth. Catal. 2023, 365, 2744–2750. doi: 10.1002/adsc.202300265
- Lv W.-X., Li Q., Li J.-L., Li Z., Lin E., Tan D.-H., Cai Y.-H., Fan W.-X., Wang H. Angew. Chem. Int. Ed. 2018, 57, 16544–16548. doi: 10.1002/anie.201810204
- Zhao Z., Racicot L., Murphy G.K. Angew. Chem. Int. Ed. 2017, 56, 11620–11623. doi: 10.1002/anie.201706798
- Scheidt F., Schäfer M., Sarie J.C., Daniliuc C.G., Molloy J.J., Gilmour R. Angew. Chem. 2018, 130, 16431–16435. doi: 10.1002/ange.201810328
- Sharma H.A., Mennie K.M., Kwan E.E., Jacobsen E.N. J. Am. Chem. Soc. 2020, 142, 16090– 16096.
- Hoogesteger R.H., Murdoch N., Cordes D.B., Johns-ton C.P. Angew. Chem. Int. Ed. 2023, 62, e202308048. doi: 10.1002/anie.202308048
- Wang Q., Biosca M., Himo F., Szabó K.J. Angew. Chem. Int. Ed. 2021, 60, 26327–26331. doi: 10.1002/anie.202109461
- Scheidt F., Neufeld J., Schäfer M., Thiehoff C., Gil-mour R. Org. Lett. 2018, 20, 8073–8076. doi: 10.1021/acs.orglett.8b03794
- Lin P.-P., Huang L.-L., Feng S.-X., Yang S., Wang H., Huang Z.-S., Li Q. Org. Lett. 2021, 23, 3088–3093. doi: 10.1021/acs.orglett.1c00767
- Brunner C., Andries-Ulmer A., Kiefl G.M., Gulder T. Eur. J. Org. Chem. 2018, 2615–2621. doi: 10.1002/ejoc.201800129
- Chai H., Zhen X., Wang X., Qi L., Qin Y., Xue J., Xu Z., Zhang H., Zhu W. ACS Omega, 2022, 7, 19988–19996.doi: 10.1021/acsomega.2c01791
- Neufeld J., Stünkel T., Mück-Lichtenfeld C., Daniliuc C.G., Gilmour R. Angew. Chem. Int. Ed. 2021, 60, 13647–13651. doi: 10.1002/anie.202102222
- Ulmer A., Brunner C., Arnold A.M., Pöthig A., Gulder T. Chem. Eur. J. 2016, 22, 3660–3664. doi: 10.1002/chem.201504749
- Yan T., Zhou B., Xue X.-S., Cheng J.-P. J. Org. Chem. 2016, 81, 9006−9011. doi: 10.1021/acs.joc.6b01642
- Geary G.C., Hope E.G., Stuart A.M. Angew. Chem. Int. Ed. 2015, 54, 14911–14914. doi: 10.1002/anie.201507790
- Ren J., Du F.-H., Jia M.-C., Hu Z.-N., Chen Z., Zhang C. Angew. Chem. Int. Ed. 2021, 60, 24171–24178. doi: 10.1002/anie.202108589
- Komatsuda M., Suto A., Kondo H., Takada H., Kato K., Saito B., Yamaguchi J. Chem. Sci., 2022, 13, 665–670. doi: 10.1039/d1sc06273e
- Lin T.-S., Tsai W.-T., Liang P.-H. Tetrahedron 2016, 72, 5571–5577. doi: 10.1016/j.tet.2016.06.075
- Xu Z.-F., Dai H., Shan L., Li C.-Y. Org. Lett. 2018, 20, 1054−1057. doi: 10.1021/acs.orglett.7b04014
- Levin M.A., Ovian J.M., Read J.A., Sigman M.S., Jacobsen E.N. J. Am. Chem. Soc. 2020, 142, 14831–14837. doi: 10.1021/jacs.0c07043
- Li C., Liao Y., Tan X., Liu X., Liu P., Lv W.-X., Wang H. Sci. China Chem., 2021, 64, 999–1003. doi: 10.1007/s11426-021-9965-9
- Ning Y., Sivaguru P., Zanoni G., Anderson E.A., Bi X. Chem. 2020, 6, 486–496. doi: 10.1016/j.chempr.2019.12.004
- Pang J.H., Chiba S. Sci. China Chem. 2020, 63, 1019–1020. doi: 10.1007/s11426-020-9773-3
- Li H., Reddy B.R.P., Bi X. Org. Lett. 2019, 21, 9358–9362. doi: 10.1021/acs.orglett.9b03593
- Inoue T., Nakabo S., Hara S. J. Fluor. Chem. 2016, 184, 22–27. doi: 10.1016/j.jfluchem.2016.02.002
- Yang B., Chansaenpak K., Wu H., Zhu L., Wang M., Li Z., Lu H. Chem. Commun., 2017, 53, 3497–3500. doi: 10.1039/c7cc01393k
- Ren S., Feng C., Loh T.-P. Org. Biomol. Chem., 2015, 13, 5105–5109. doi: 10.1039/c5ob00632e
- Kim Y., Kim D.Y. Asian J. Org. Chem. 2019, 8, 679–682. doi: 10.1002/ajoc.201900029
- Fan X., Wang Q., Wei Y., Shi M. Chem. Commun., 2018, 54, 10503–10506. doi: 10.1039/c8cc05634j
- Garia A., Kumar S., Jain N. Asian J. Org. Chem. 2022, 11, e202200164. doi: 10.1002/ajoc.202200164
- Liu A., Ni C., Xie Q., Hu J. Angew. Chem. Int. Ed. 2022, 61, e202115467. doi: 10.1002/anie.202115467
- Romanov-Michailidis F., Guénée L., Alexakis A. Angew. Chem. Int. Ed. 2013, 52, 9266–9270. doi: 10.1002/anie.201303527
- Romanov-Michailidis F., Romanova-Michaelides M., Pupier M., Alexakis A. Chem. Eur. J. 2015, 21, 5561–5583. doi: 10.1002/chem.201406133
- Zhao P., Wang W., Gulder T. Org. Lett. 2023, 25, 6560−6565. doi: 10.1021/acs.orglett.3c02384
- Feng S.-X., Yang S., Tu F.-H., Lin P.-P., Huang L.-L., Wang H., Huang Z.-S., Li Q. J. Org. Chem. 2021, 86, 6800−6812. doi: 10.1021/acs.joc.1c00578
- Chen Z.-M., Yang B.-M., Chen Z.-H., Zhang Q.-W., Wang M., Tu Y.-Q. Chem. Eur. J. 2012, 18, 12950–12954. doi: 10.1002/chem.201202444
- Das B.K., Tokunaga E., Harada K., Sumii Y., Shibata N. Org. Chem. Front., 2017, 4, 1726–1730. doi: 10.1039/c7qo00234c
- Liao L., An R., Li H., Xu Y., Wu J.-J., Zhao X. Angew. Chem. Int. Ed. 2020, 59, 11010–11019. doi: 10.1002/anie.202003897
- Alcaide B., Almendros P., Cembellıґn S., Martíґnez del Campo T., Muñoz A . Chem. Commun. 2016, 52, 6813–6816. doi: 10.1039/c6cc02012g
- Lu Y., Kasahara A., Hyodo T., Ohara K., Yamaguchi K., Otani Y., Ohwada T. Org. Lett. 2023, 25, 3482–3486. doi: 10.1021/acs.orglett.3c01063
- Thornbury R.T., Saini V., Fernandes T.A., Santiago C.B., Talbot E.P.A., Sigman M.S., McKenna J.M., Toste F.D. Chem. Sci. 2017, 8, 2890–2897. doi: 10.1039/c6sc05102b
- Cao J., Wu H., Wang Q., Zhu J. Nature Chem. 2021, 13, 671–676. doi: 10.1038/s41557-021-00698-ydoi.org/10.1038/s41557-021-00698oi.org/10.1038/s41557-
- Gong J., Wang Q., Zhu J. Angew. Chem. Int. Ed. 2022, 61, e202211470. doi: 10.1002/anie.202211470
- Yang G., Wu H., Gallarati S., Corminboeuf C., Wang Q., Zhu J. J. Am. Chem. Soc. 2022, 144, 14047−14052. doi: 10.1021/jacs.2c06578
- Mishra K., Singh J.B., Gupta T., Singh R.M. Org. Chem. Front. 2017, 4, 1794–1798. doi: 10.1039/c7qo00346c
- De Haro T., Nevado C. Chem. Commun., 2011, 47, 248–249. doi: 10.1039/c002679d
- Yang L., Ma Y., Song F., You J. Chem. Commun., 2014, 50, 3024–3026. doi: 10.1039/c3cc49851d
- Liu N., Tian Q.-P., Yang Q., Yang S.-D. Synlett 2016, 27, 2621–2625. doi: 10.1055/s-0035-1562537; Art ID: st-2016-w0347-l
- Bui T.T., Hong W.P., Kim H.-K. J. Fluor. Chem. 2021, 247, 109794. doi: 10.1016/j.jfluchem.2021.109794
- Morcillo S.P. Angew. Chem. Int. Ed. 2019, 58, 14044–14054. doi: 10.1002/anie.201905218
- Бородкин Г.И., Шубин В.Г. Усп. хим. 2019, 89, 160–203 [Borodkin G.I., Shubin V.G. Russ. Chem. Rev., 2019, 88, 160–203.] doi: 10.1070/RCR4833?locatt=label:RUSSIAN
- Morcillo S.P., Dauncey E.M., Kim J.H., Douglas J.J., Sheikh N.S., Leonori D. Angew. Chem. Int. Ed. 2018, 57, 12945 –12949. doi: 10.1002/anie.201807941
- Wang M.-M., Waser J. Angew. Chem. Int. Ed. 2020, 59, 16420–16424. doi: 10.1002/anie.202007864
- Dauncey E.M., Morcillo S.P., Douglas J.J., Sheikh N.S., Leonori D. Angew. Chem. Int. Ed. 2018, 57, 744–748. doi: 10.1002/anie.201710790
- Liu J., Wei Y., Shi M. Org. Chem. Front., 2021, 8, 94–100. doi: 10.1039/d0qo00853b
Supplementary files
























































































