Активация фенил-N-(трифлил)имино-λ3-йодана солями металлов в реакциях с алкенами
- Авторы: Ганин А.С.1, Гараган И.А.1, Собянина М.М.1, Москалик М.Ю.1
-
Учреждения:
- Иркутский институт химии имени А. Е. Фаворского Сибирского отделения Российской академии наук
- Выпуск: Том 60, № 9 (2024)
- Страницы: 973-983
- Раздел: Статьи
- URL: https://journals.rcsi.science/0514-7492/article/view/284756
- DOI: https://doi.org/10.31857/S0514749224090048
- EDN: https://elibrary.ru/QNWGCG
- ID: 284756
Цитировать
Полный текст
Аннотация
Изучено влияние различных условий на реакции алкенов с фенил-N-(трифлил)имино-λ3-йоданом (PhI=NTf, 1). Оптимизация условий реакции PhI=NTf со стиролами в присутствии хлорида меди(I) приводит к азиридину и продуктам бис-трифламидирования в разных соотношениях. Использование в той же реакции в качестве добавки нитрата серебра приводит к 1-фенил-2-(трифламидо)этилнитрату. Вовлечение камфена в качестве субстрата и варьирование активирующей добавки в присутствии окислителя может приводить к изомерным ацетамидинам. С использованием программного комплекса PASS проведена оценка потенциальной биологической активности полученных соединений.
Ключевые слова
Полный текст
ВВЕДЕНИЕ
Химия азотсодержащих гетероциклических соединений активно развивается. Это связано с подобием структур природных молекул со структурами синтетических в фармацевтических субстанциях. Одним из способов получения гетероциклических соединений, в том числе и азиридинов, является окислительное присоединение N-нуклеофилов (в основном амидов карбоновых и сульфоновых кислот) к непредельным субстратам. Существует несколько подходов к реакциям аминирования и гетероциклизации соединений, содержащих кратные связи углерод–углерод. [1–16]. Для синтеза азиридиновых циклов существует метод, предполагающий получение нитренов из имино-λ3-йоданов. Например, реакции тозильного имино-λ3-йодана с алкенами в присутствии солей меди (I) [17] или меди (II) [18, 19], или комплексов на основе нитрата серебра и 4,4′,4′′-три-трет-бутил-2,2′:6′,2′′-терпиридина (схема 1) [20].
Схема 1
Рассмотрена возможность активировать замещенные ацетилены с образованием имидазолинов под действием N-сульфонилимино-λ3-йоданов в среде нитрилов в присутствии трифторида бора, образующего с растворителем нитрильные комплексы. Данную реакцию отличает отсутствие металлокомплексных катализаторов, мягкие условия протекания и высокая региоселективность (схема 2) [21].
Схема 2
Однако, реакции азиридинирования в присутствии фенил-N-(трифлил)имино-λ3-йодана (PhI=NTf) изучены [22] недостаточно.
РЕЗУЛЬТАТЫ И ОБСУЖДЕНИЕ
На основе имеющихся литературных данных мы провели поиск оптимальных условий взаимодействия фенил-N-(трифлил)имино-λ3-йодана (PhI=NTf, 1) с алкенами 2 в присутствии хлорида меди(I) с целью получения трифлильного азиридина 3. Однако при проведении реакции в среде ацетонитрила, помимо соединения 3, были выделены продукты 4, образующиеся в результате раскрытия азиридинового кольца (схема 3, таблица). По данным ЯМР мониторинга реакции, проводимой в течение 30 мин, установлено, что со стиролом в присутствии хлорида меди(I) при температуре 40°C в среде ацетонитрила количество образующегося азиридина 3a было в 1.5 раза больше, чем продукта 4a. В случае 4-хлорстирола в тех же условиях происходит смещение направления реакции в сторону бис-трифламидирования субстрата, что, скорее всего, зависит от природы заместителя в исходном алкене. Использование в качестве растворителей хлористого метилена или изобутиронитрила не приводит к продуктам 3 и 4, были выделены исходные соединения.
Схема 3
Таблица. Оптимизация условий реакции PhI=NTf (1) со стиролами 2
Алкен 2 | Условия реакции | ||
CuCl*, MeCN 25°C, 1 ч | CuCl*, MeCN 40°C, 30 мин | CuCl*, MeCN 70°C, 10 мин | |
2a: R = Ph, R′= H | 3a:4a = 41:42(%) 4a (X = Y = NHTf) | 3a:4a = 45:30(%) | 4a (90%, 0.108 г) |
2b: R = 4-ClC6H4, R′= H | 3b:4b = 38:37(%) 4b (X = Y = NHTf) | 3b:4b = 24:55(%) | – |
2c: R = Ph, R′ = CH3 | 4c (40%) 4c (X = Y = NHTf) | 4c (56%) 4c (X = Y = NHTf) | – |
* 5 мол.%, выходы 3 и 4 рассчитаны по данным спектров ЯМР реакционной смеси.
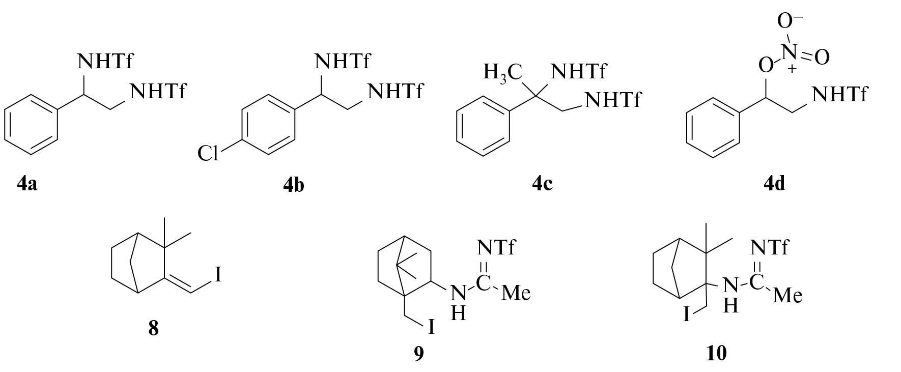
Строение полученных азиридинов 3а и 3b было доказано методом ЯМР-спектроскопии. Структура соединений 3а и 3b в протонном спектре ЯМР подтверждается наличием дублета дублетов при 4.2 м.д. (J 7.4, 5.1 Гц) фрагмента CHN (3а, 3b), дублета дублетов при 4.0 м.д. (J 7.3, 4.8 Гц) фрагмента CHN (3b) и 2 дублетов при 3.3 м.д. (J 7.4 Гц) и 3.0 м.д. (J 5.2 Гц) (3a, 3b), дублетов при 3.2 м.д. (J 7.3 Гц) и 2.7 м.д. (J 4.8 Гц) (3b) CH2N-групп. В спектре ЯМР 13С имеются сигналы метинового и метиленового углерода азиридинового кольца при 44.1 и 38.5 м.д. соединения 3a; 42.2 и 37.2м.д. соединения 3b, что совпадает с литературными данными, которые получены ранее в реакциях замещенных стиролов с трифлильным имино-λ3-броманом [23, 24]. На строение продуктов бис-трифламидирования 4а и 4b указывает наличие сигналов в виде триплета при 4.7 м.д. (J 7.0 Гц) и мультиплета при 3.6–3.4 м.д.; триплета при 4.7 м.д. (J 6.4 Гц) и мультиплета при 3.6–3.5 м.д. в протонных и 60.6 м.д. (CHN) и 49.6 м.д. (CH2N); 58.9 м.д. (CHN) и 49.0 м.д. (CH2N) в углеродных спектрах, что согласуется с уже имеющимися данными, опубликованными ранее [14, 25]. Вовлечение в реакцию PhI=NTf (1) и стирола 2 добавки тетраацетата свинца или йодида цезия приводит к продукту бис-трифламидирования 4а с умеренным выходом (35, 41%).
Ранее при использовании в качестве исходного субстрата α-метилстирола 2c в реакции с трифламидом в окислительных условиях были выделены 1-йод-2-фенилпропан-2-ол [26] и ацетамид [27]. В случае с PhI=NTf (1) в присутствии хлорида меди(I) реакция протекает по пути бис-трифламидирования субстрата с образованием N,N′-(2-фенилпропан-1,2-диил)бис(трифламида) 4c (схема 4). На это указывает наличие в ЯМР 1H спектре, помимо сигналов фенильного кольца в виде мультиплета при 7.5–7.3 м.д., 2 уширенных синглетов при 5.2 и 5.6 м.д., принадлежащих 2 NH-группам, и 2 дублетов при 3.7 и 3.6 м.д. с характеристичными значениями константы спин-спинового взаимодействия (КССВ) для протонов метиленовой группы, равными 14.2 Гц. В углеродном спектре наблюдаются сигналы при 63.8, 54.1, 23.8 м.д., что соответствует группам C–N, CH2N и CH3. Также, помимо основных сигналов, наблюдаются дополнительные сигналы в углеродном спектре при 60.8 м.д. (*С–N), 51.6 м.д. (*CH2N), 23.5 (*CH3) м.д. Наличие дополнительных сигналов можно объяснить асимметрией α-атома углерода продукта, который связан с 4 разными группами.
Схема 4
Реакция PhI=NTf (1) со стиролом 2 в присутствии нитрата серебра в качестве добавки приводит к неожиданному продукту раскрытия азиридинового кольца — 1-фенил-2-(трифламидо)этилнитрату 4d (схема 5).
Схема 5
Строение полученного продукта доказано методами ЯМР- и ИК-спектроскопии. В ИК-спектре наблюдаются полосы фрагментов NH (3312 см–1), ONO2 (1646 (вал.), 700 (деф.) см–1), SO2 (1380 см–1). В отличие от продуктов 4a–c, соединение 4d содержит в протонном спектре ЯМР триплет при 5.9 м.д. (J 6.5 Гц) для CHO, уширенный синглет при 5.3 м.д. для NH и дублет при 3.6 м.д. (J 6.5 Гц). В углеродном спектре наблюдаются сигналы при 83.6 м.д. (JCH 155 Гц), который соответствует CHONO2-фрагменту, и при 46.8 м.д. (JCH 144 Гц) CH2N-группы.
Взаимодействие PhI=NTf (1) с винилциклогексаном 5 и транс-стильбеном 6 не приводит к каким-либо продуктам ни при комнатной температуре, ни при кипячении, ни при варьировании каталитической добавки. Использование добавок на основе двухвалентной меди в виде CuSO4 или Cu(OTf)2 также не приводит к результату.
На следующей схеме предложен возможный механизм реакции (схема 6) на основе данных литературы [21]. Общий механизм включает в себя образование на первоначальной стадии комплекса “металл–алкен”, который взаимодействует с PhI=NTf (1). Полученный четырехчленный интермедиат претерпевает раскрытие кольца c образованием азиридина 3. Соединение 4 образуется под воздействием на азиридин 3 нуклеофила.
Схема 6
Модификация природных соединений для придания новых и/или изменения уже имеющихся свойств — актуальная задача современной науки [28, 29]. Один из представителей класса терпенов — камфен. Известно, что модификация соединений ряда камфенов может способствовать разработке лекарственных препаратов, обладающих разными видами биологической активности. Ранее уже описана реакция камфена с бензолсульфонамидом в присутствии N-бромсукцинимида. Результатом данного исследования стало получение сульфонамидного производного с перегруппировкой камфенового скелета [30]. С целью получения азиридинового цикла по двойной связи были проведены реакции PhI=NTf (1) с камфеном 7 в различных условиях.
Взаимодействие PhI=NTf (1) и камфена 7 в присутствии солей металлов не приводит к каким-либо продуктам.
Однако та же реакция, но в присутствии N-йодсукцинимида как окислителя в ацетонитриле, приводит к ацетамидину 8. Реакция же в хлористом метилене формирует побочный продукт монойодирования камфена 9 (схема 7).
Схема 7
Структура полученных соединений доказана методами ЯМР- и ИК-спектроскопии. Соединению 8 соответствует структура N-(1-(йодметил)-7,7-диметилбицикло[2.2.1]гептан-2-ил)-N′-(трифлил)ацетамидамида, что подтверждается наличием в спектре 1H ЯМР синглета при 7.3 м.д. NH группы, дублетов при 4.7 и 3.5 м.д. с J 10.8 Гц, характерных для фрагмента CH2I, и квартета при 3.9 м.д. с J 7.0 Гц, соответствующего CHN-фрагменту. В углеродном спектре соединения 8 наблюдаются сигналы амидинового фрагмента при 169.4 м.д., квартет при 120 м.д. (J 319 Гц) группы CF3 и 8 м.д. CH2I фрагмента.
Ранее было показано, что реакция тозильного имино-λ3-йодана (PhI=NTs) со стиролом в присутствии каталитической добавки йода и йодида натрия в ацетонитриле приводит к целевому азиридину с хорошим выходом [31]. Вовлечение PhI=NTf (1) в реакцию в тех же условиях приводит к известному продукту бис-трифламидирования стирола [32]. При добавке йода и йодида натрия в реакции PhI=NTf (1) с камфеном, помимо соединения 9, выделили N-(2-(йодметил)-3,3-диметилбицикло[2.2.1]гептан-2-ил)-N′-(трифлил)ацетамидамид (10) (схема 8). На структуру соединения 10 указывает наличие в протонном спектре синглета при 5.9 м.д. NH группы, дублетов при 4.7 и 3.4 м.д. с J 9.8 Гц, характерных для CH2I фрагмента. Спектр 13С ЯМР содержит сигналы, помимо сигналов бициклического скелета, при 167.9, 51.8 и 11.2 м.д., что соответствует C=N, CNH и CH2I фрагментам.
Схема 8
Природа активирующей добавки может влиять на региоселективность реакции. При использовании вместо йодида натрия CsI образуются продукты 8 и 9 в соотношении 2.5:1, в то время как в случае замены йодидов на хлорид меди(I) соотношение продуктов 8, 9, 10 составляет 1:1:1. Суммарные выходы реакций достигают 70–80%. В случае с нитратом серебра реакционная среда затвердевает и субстрат полимеризуется.
Для сравнения была проведена реакция камфена 7 с трифламидом 11 и источником трехвалентного йода в качестве окислителя в среде ацетонитрила (схема 9). Реакция камфена с трифламидом 11 в присутствии окислительных систем PhI(OAc)2+I2 (I) или PhI=O+I2 (II) приводит к смеси изомерных йодных ацетамидинов 8 и 10 в соотношении ~ 2:1.
Схема 9
Замена растворителя на хлористый метилен в реакциях с окислителями на основе трехвалентного йода приводит к продукту 9 (выход 20%), который был выделен ранее в реакции камфена с PhI=NTf (1) в присутствии N-йодсукцинимида.
Для оценки общего биологического потенциала полученных продуктов использовали программный комплекс PASS [33]. PASS обеспечивает предсказание разных видов биологической активности на основе структуры органической молекулы, что позволяет использовать данную программу для оценки профилей биологической активности перед биологическим тестированием [33]. Для теоретического эксперимента был предложен ряд трифламидированных продуктов 4a–d и производных камфена 8–10.
Расчеты с использованием программного комплекса PASS показали, что для соединения 4а предсказана противовоспалительная активность (Pa = 0.800), соединение 4b предположительно проявляет свойства для терапии эректильной дисфункции, однако с более низким значением, чем соединение 4а (4b: Pa = 0.832; 4a: Pa = 0.870) и также обладает противовоспалительной активностью (Pa = 0.767). Однако, по сравнению с соединением 4a, для соединения 4b также предсказаны свойства для терапии психических расстройств (Pa = 0.788). Для соединения 4c предсказана ноотропная активность (Pa = 0.836), а для соединения 4d – свойства антигипертензивных (Pa = 0.943), антиангинальных средств (Pa = 0.841), а также средств для терапии острых неврологических заболеваний (Pa = 0.778). Для соединений камфенового и камфанового ряда предсказана противоопухолевая активность (8, Pa = 0.952), свойства ингибитора сульфоэтилтиотрансферазы коэнзима В (9, Pa = 0.585) и свойства средств для лечения инсульта (10, Pa = 0.716).
ЭКСПЕРИМЕНТАЛЬНАЯ ЧАСТЬ
Спектры ЯМР регистрировали на спектрометрах Bruker DPX-400 (Bruker, UK) и AV-400 (Bruker, UK) (400.1 МГц для 1H, 100.6 МГц для 13C и 376.0 МГц для 19F) в CDCl3 и CD3CN. ИК спектры записывали на спектрометре Varian 3100 FT-IR (Varian, USA) в тонком слое. Масс-спектры получены в режиме регистрации положительных ионов ESI-TOF-HRMS на приборе Agilent 6210 (Agilent Technologies, США). ТСХ выполняли с использованием коммерческих пластин с силикагелем толщиной 0.25 мм (силикагель 60, F254, Merck) и визуализировали с помощью УФ лампы. Использовали коммерческие реагенты и растворители без дополнительной очистки.
Взаимодействие PhI=NTf (1) с алкенами в MeCN. Общая методика. К раствору (0.105 г, 0.3 ммоль) иминойодана 1 и (1.5 ммоль) алкена 2 (0.156 г стирол, 0.177 г α-метилстирол, 0.207 г п-хлорстирол) в 10 мл ацетонитрила (выдержанного в течение 1 ч над ситами 4 Å) прибавляли 5 мол.% соли (хлорид меди(I), ацетат свинца(IV)) или 15 мол.% нитрата серебра(I). Реакционную смесь выдерживали в течение 10–60 мин, растворитель удаляли при пониженном давлении, остаток растворяли в хлороформе, помещали в колонку с силикагелем (0.06–0.20 мм, Acros Organics) и элюировали гексаном, получали азиридин 3 в виде желтоватого масла, затем элюировали смесью эфир– гексан, 2:1, получали продукт 4.
1-Фенил-2-(трифлил)азиридин (3а) (0.034 г, 45%), 2-(4-хлорфенил)-1-(трифлил)азиридин (3b) (0.033 г, 38%), N,N′-(1-фенилэтан-1,2-диил)бис(трифламид) (4a) (0.108 г, 90%) и N,N′-(1-(4-хлорфенил)этан-1,2-диил)бис(трифламид) (4b) (0.072 г, 55%) были получены и описаны ранее [14, 22–24].
N,N′-(2-Фенилпропан-1,2-диил)бис(трифламид) (4c). Выход 0.070 г (56%), желтое масло. ИК-спектр, n, см–1: 3298 (NH), 2925, 2854 (Ph), 1714, 1562, 1555, 1447, 1436, 1379 (SO2), 1231, 1197 (CF3), 1143, 1070, 998, 768, 700, 668, 609, 502. Спектр ЯМР 1H (400 МГц, CDCl3), δH, м.д.: 7.56–7.37 м (Ph, 5H), 5.64 уш.с (NH, 1H), 5.23 уш.с (NH, 1H), 3.75 д (1H, J 14.2 Гц, CHAHN), 3.66 д (1H J 14.2 Гц, CHBHN), 1.90 с (CH3, 3H). Спектр ЯМР 13C (100 МГц, CDCl3), δC, м.д.: 140.39 (Ci), 129.64 (Cм), 129.02 (Cp), 125.32 (Co), 118.02 кв (CF3, J 319.8 Гц), 119.48 кв (CF3, J 321.8 Гц), 63.81 (C), 54.05 (CH2N), 23.80 (CH3). Спектр ЯМР 19F (CDCl3), δF, м.д.: –76.99, –76.47. Найдено, %: C 31.95; H 2.96; N 6.81; F 27.55; S 15.51. Вычислено для C11H12F6N2O4S2, %: C 31.89; H 2.92; N 6.76; F 27.51; S 15.48.
1-Фенил-2-(трифламидо)этилнитрат (4d). Выход 0.065 г (69%), бледно-желтое масло. ИК-спектр, n, см–1: 3312 (NH), 2958, 2918 (Ph), 1646, 1555, 1497, 1435, 1381 (SO2), 1320, 1278, 1233, 1199 (CF3), 1147, 1082, 1061, 1027, 919, 853, 756, 700, 602, 511. Спектр ЯМР 1H (400 МГц, CDCl3), δH, м.д.: 7.47–7.42 м (3H, Ph), 7.40–7.36 м (2H, Ph), 5.92 д.д (1H, J 8.4, 4.6 Гц, CHO) 5.42 уш.с (NH, 1H), 3.76–3.61 м (2H, CHN). Спектр ЯМР 13C (100 МГц, CDCl3), δC, м.д.: 134.82 (Ci), 131.21 (Cp), 130.48 (Cм), 127.48 (Co), 121.21 кв (CF, J 325.9 Гц), 84.48 д (CHO, J 153.0 Гц, 47.70 т (CH2N, J 145.1 Гц). Спектр ЯМР 19F (CD3CN), δF, м.д.: –77.11. Найдено, %: C 34.46; H 2.95; N 8.93; F 18.20; S 10.30. Вычислено для C9H9F3N2O5S, %: C 34.40; H 2.89; N 8.91; F 18.14; S 10.20.
Взаимодействие PhI=NTf (1) с камфеном 7 в MeCN. Общая методика. К раствору (0.105 г, 0.3 ммоль) иминойодана 1 и (1.5 ммоль) алкена 2 (0.156 г стирол, 0.177 г α-метилстирол, 0.207 г п-хлорстирол) в 10 мл ацетонитрила (выдержанного в течение 1 ч над ситами 4 Å) прибавляли 10 мол.% I2 и 5 мол.% соли (хлорид меди(I), ацетат свинца(IV)) или 15 мол.% нитрата серебра(I). Реакционную смесь выдерживали в течение 10–60 мин, выливали в 10%-ный раствор Na2S2O3, экстрагировали хлористым метиленом, сушили над хлоридом кальция (безводный). Затем отфильтровывали органическую часть, растворитель удаляли при пониженном давлении, остаток растворяли в хлороформе и помещали в колонку с силикагелем (0.06–0.20 мм, Acros Organics) и элюировали гексаном, получали соединение 9 в виде желтого масла, затем элюировали смесью эфир– гексан, 2:1, получали продукт 10, затем элюировали смесью эфир–гексан, 4:1, выделяли соединение 8.
Взаимодействие PhI=NTf (1) с камфеном 7 в MeCN. Общая методика. К раствору (0.211 г, 0.6 ммоль) иминойодана 1 и (0.082 г, 0.6 ммоль) камфена 7 в 10 мл ацетонитрила или хлористого метилена (выдержанного над ситами 4 Å) прибавляли NIS (0.7 ммоль). Реакционную смесь выдерживали в течение 20 ч, растворитель удаляли при пониженном давлении, остаток растворяли в хлористом метилене и промывали порционно водой по 10 мл 3 раза. Органический слой отделяли и сушили над хлористым кальцием (безводный). Растворитель отгоняли, а остаток помещали на колонку с силикагелем (0.06–0.20 мм, Acros Organics). При элюировании гексаном получали 3-(йодметилен)-2,2-диметилбицикло[2.2.1]гептан (9) в виде желтой жидкости, затем элюировали смесью эфир–гексан, 4:1, выделяли N-(1-(йодметил)-7,7-диметилбицикло[2.2.1]гептан-2-ил)-N′-(трифлил)ацетамидамид (8) в виде белого порошка.
N-(1-(Йодметил)-7,7-диметилбицикло[2.2.1]-гептан-2-ил)-N′-(трифлил)ацетамидамид (8). Выход 0.120 г (44%), белый порошок. Т.пл. 155.7 °C. ИК-спектр, n, см–1: 3358 (NH), 2917, 2849, 1737, 1687, 1656, 1649, 1556 (C=N), 1439, 1392, 1376 (SO2), 1321, 1191 (CF3), 1136, 1089, 1058, 778, 749, 660. Спектр ЯМР 1H (400 МГц, CD3CN), δH, м.д.: 7.28 уш.с (1H, NH), 3.89 кв (1H, J 7.8 Гц, CHN), 3.46 д (1H, J 10.5 Гц, CH2I), 3.35 д (1H, J 10.5 Гц, CH2I), 2.44 д (3H, J 5.1 Гц, CH3), 2.08 д (1H, J 4.4 Гц), 1.82–1.68 м (2H), 1.55–1.48 м (1H), 1.25–1.18 м (1H), 1.01 д (3H, J 5.2 Гц, CH3), 0.93 д (3H, J 5.2 Гц, CH3). Спектр ЯМР 13C (100 МГц, CD3CN), δC, м.д.: 169.44 (C=N), 120.74 кв (CF3, J 319.4 Гц), 61.05, 52.69, 49.28, 47.88, 39.29, 37.41, 26.85, 21.74, 20.66, 8.79 (CH2I). Спектр 19F ЯМР (CD3CN), δF, м.д.: –80.22. Масс-спектр (HRМS, ESI), m/z: [М + H]+ вычислено для C13H21F3IN2O2S+: 453.03206; найдено: 453.03204.
3-(Йодметилен)-2,2-диметилбицикло[2.2.1]-гептан (9). Выход 0.110 г (70%), желтая жидкость. ИК-спектр, n, см–1: 3051, 2969, 2868, 1627, 1462, 1304, 1234, 1130, 1105, 948, 765, 645. Спектр ЯМР 1H (400 МГц, CDCl3), δ, м.д.: 5.52 с (1H), 3.02 м (1H), 2.20 м (1H), 1.81–1.77 м (1H), 1.75–1.61 м (2H), 1.53–1.40 м (1H), 1.33–1.24 м (2H), 1.08 с (3H), 1.05 с (3H). Спектр ЯМР 13C (100 МГц, CDCl3), δ, м.д.: 167.4, 64.6, 49.7, 49.3, 45.4, 36.6, 28.9, 27.0, 25.8, 23.5. Масс-спектр (HRМS, ESI): m/z вычислено для C10H16I+: 263,02967 [М + H]+; найдено: 263.02957.
Взаимодействие трифламида 11 с камфеном 7 в MeCN. Общая методика. К раствору (0.253 г, 1.7 ммоль) трифламида 1 и (0.232 г, 1.7 ммоль) камфена 7 в 15 мл ацетонитрила или хлористого метилена (выдержанного над ситами 4 Å) прибавляли PhI(OAc)2 (0.85 ммоль) или PhI=O (0.85 ммоль) и I2 (0.85 ммоль). Реакционную смесь выдерживали в течение 20 ч, растворитель удаляли при пониженном давлении, остаток растворяли в хлористом метилене и промывали порционно по 10 мл 3 раза 10%-ным раствором Na2S2O3. Органический слой отделяли и сушили над хлористым кальцием (безводный). Растворитель отгоняли, а остаток помещали на колонку с силикагелем (0.06–0.20 мм, Acros Organics) и элюировали гексаном, получали 3-(йодметилен)-2,2-диметилбицикло[2.2.1]гептан в виде желтой жидкости, затем элюировали смесью эфир–гексан, 2:1, выделяли N-(2-(йодметил)-3,3-диметилбицикло[2.2.1]гептан-2-ил)-N′-(трифлил)ацетамидамид (10), затем элюировали смесью эфир–гексан, 4:1, выделяли N-(1-(йодметил)-7,7-диметилбицикло[2.2.1]гептан-2-ил)-N′-(трифлил)ацетамидамид (8) в виде белого порошка.
N-(2-(Йодметил)-3,3-диметилбицикло[2.2.1]-гептан-2-ил)-N′-(трифлил)ацетамидамид (10). Выход 0.18 г (23%), белый порошок. Т.пл. 155.7 °C. ИК-спектр, n, см–1: 3308 (NH), 2964, 1630, 1547 (C=N), 1316, 1208, 1202 (CF3), 1126, 1054, 775, 652, 601. Спектр ЯМР 1H (400 MГц, CDCl3), δ, м.д.: 5.84 с (1H), 4.85–4.66 д (1H, J 9.7 Гц), 3.41 д (1H, J 9.7 Гц), 2.54 с (3H), 2.37–2.29 м (1H), 2.10–2.05 м (1H), 1.94–1.88 м (1H), 1.68–1.54 м (1H), 1.50–1.42 м (1H), 1.49–1.42 м (1H), 1.32–1.24 м (2H), 1.22 с (3H), 1.10 с (3H). Спектр 13C ЯМР (100 MГц, CDCl3), δ, м.д.: 167.9 (C=N), 119.4 кв (CF3, J 319.8 Гц), 69.7, 51.8, 51.1, 46.7, 33.6, 27.2, 23.0, 22.8, 21.9, 21.3, 11.2. Спектр 19F ЯМР (376 MГц, CD3CN), δ, м.д.: –79.04. Масс-спектр (HRMS, ESI): m/z вычислено для C13H21IF3N2O2S+: 453,03205 (M+H)+; найдено: 453,03218.
ЗАКЛЮЧЕНИЕ
Изучены реакции алкенов с фенил-N-(трифлил)имино-λ3-йоданом (1) в различных условиях. Оптимизация условий реакции PhI=NTf (1) со стиролами в присутствии хлорида меди(I) приводит к азиридину и продуктам бис-трифламидирования в разных соотношениях. Использование в той же реакции в качестве активирующей добавки нитрата серебра приводит к 1-фенил-2-(трифламидо)этилнитрату, а тетраацетата меди или йодида цезия — к продукту бис-трифламидирования. Варьирование растворителей и добавок на основе двухвалентной меди не приводит к целевым продуктам. Вовлечение камфена в качестве субстрата и варьирование активирующей добавки в реакциях с фенил-N-(трифлил)имино-λ3-йоданом (1) в различных условиях может приводить к изомерным ацетамидинам с перегруппировкой и с сохранением бициклического остова. По сравнению с реакциями в присутствии фенил-N-(трифлил)имино-λ3-йодана (1), трифламид при использовании окислителей на основе трехвалентного йода может давать оба продукта ацетамидирования. Проведена оценка биологической активности и показана перспектива использования полученных соединений в качестве потенциальных лекарственных средств.
БЛАГОДАРНОСТИ
Работа выполнена с использованием оборудования Байкальского аналитического центра коллективного пользования СО РАН.
Авторы выражают благодарность к.х.н. А. В. Кузьмину (ЛИН СО РАН) за получение точных масс (HRMS) для образцов.
ФОНДОВАЯ ПОДДЕРЖКА
Работа выполнена при финансовой поддержке РНФ (грант № 22-73-00105)
КОНФЛИКТ ИНТЕРЕСОВ
Авторы заявляют об отсутствии конфликта интересов.
Об авторах
Антон Сергеевич Ганин
Иркутский институт химии имени А. Е. Фаворского Сибирского отделения Российской академии наук
Автор, ответственный за переписку.
Email: ganin@irioch.irk.ru
ORCID iD: 0000-0003-1626-795X
Россия, 664033 Иркутск, ул. Фаворского, 1
Иван Александрович Гараган
Иркутский институт химии имени А. Е. Фаворского Сибирского отделения Российской академии наук
Email: ganin@irioch.irk.ru
ORCID iD: 0000-0003-3024-798X
Россия, 664033 Иркутск, ул. Фаворского, 1
Мария Михайловна Собянина
Иркутский институт химии имени А. Е. Фаворского Сибирского отделения Российской академии наук
Email: ganin@irioch.irk.ru
ORCID iD: 0000-0002-0361-0897
Россия, 664033 Иркутск, ул. Фаворского, 1
Михаил Юрьевич Москалик
Иркутский институт химии имени А. Е. Фаворского Сибирского отделения Российской академии наук
Email: ganin@irioch.irk.ru
Россия, 664033 Иркутск, ул. Фаворского, 1
Список литературы
- Minakata S., Morino Y., Oderaotoshi Y., Komatsu M., Chem. Commun. 2006, том?. 3337–3339. doi: 10.1039/B606499J
- Gao P., Wei Y., Heterocycl. Commun. 2013, 19, 113–119. doi: 10.1515/hc-2012-0179
- Minakata S., Acc. Chem. Res. 2009, 42, 1172–1182. doi: 10.1021/ar900059r
- Yoshimura A., Nemykin V.N., Zhdankin V.V. Chem. Eur. J., 2011, 17, 10538–10541. doi: 10.1002/chem.201102265
- Kobayashi Y., Masakado S., Takemoto Y. Angew. Chem. Int. Ed. 2018, 57, 693–697. doi: 10.1002/anie.201710277
- Conry R.R., Tipton A.A., Striejewske W.S., Erkizia E., Malwitz M.A., Caffaratti A., Natkin J.A. Organometallics. 2004, 23, 5210–5218. doi: 10.1021/om040098g
- Gopalan G., Dhanya B.P., Saranya J., Reshmitha T.R., Baiju T.V., Meenu M.T., Nair M.S., Nisha P., Radhakrishnan K.V. Eur. J. Org. Chem. 2017, том?. 3072–3077. doi: 10.1002/ejoc.201700410
- Wu X.-L., Xia J.-J., Wang G.-W. Org. Biomol. Chem. 2008, 6, 548–553. doi: 10.1039/B717333D
- Wu X.-L., Wang G.-W. Tetrahedron. 2009, 65, 8802–8807. doi: 10.1016/j.tet.2009.08.069
- Morino Y., Hidaka I., Oderaotoshi Y., Komatsu M., Minakata S. Tetrahedron. 2006, 62, 12247–12251. doi: 10.1016/j.tet.2006.10.003
- Cai Y., Liu X., Li J., Chen W., Wang W., Lin L., Feng X. Chem. Eur. J. 2011, 17, 14916–14921. doi: 10.1002/chem.201102453
- Knight J.G., Muldowney M.P. J. Synlett. 1995, 9, 949–951. doi: 10.1055/s-1995-5128
- Wu Q., Hu J., Ren X., Zhou J. Chem. Eur. J. 2011, 17, 11553–11558. doi: 10.1002/chem.201101630
- Shainyan B.A., Moskalik M.Y., Starke I., Schilde U., Tetrahedron. 2010, 66, 8383–8386. doi: 10.1016/j.tet.2010.08.070
- Moskalik M.Yu., Shainyan B.A., Ushakov I.A., Sterkhova I.V., Astakhova V.V. Tetrahedron. 2020, 76, 131018. doi: 10.1016/j.tet.2020.131018
- Ganin A.S., Moskalik M.Y., Garagan I.A., Astakhova V.V., Shainyan B.A., Molecules. 2022, 27, 6910. doi: 10.3390/molecules27206910
- Evans D.A., Woerpel K.A., Hinman M.M., Faul M.M., J. Am. Chem. Soc. 1991, 113, 726–728. doi: 10.1021/ja00002a080
- Evans D.A., Faul M.M., Bilodeau M.T., J. Org. Chem. 1991, 56, 6744–6746. doi: 10.1021/jo00024a008
- Han H., Park S.B., Kim S.K., Chang S., J. Org. Chem. 2008, 73, 2862–2870. doi: 10.1021/jo800134j
- Cui Y., He C., J. Am. Chem. Soc. 2003, 125, 16202–16203. doi: 10.1021/ja038668b
- Baba, T., Takahashi, S., Kambara, Y., Yoshimura, A., Nemykin, V.N., Zhdankin, V.V., Saito, A., Adv. Synth. Cat. 2017, 359, 3860–3864. doi: 10.1002/adsc.201700934
- Sunagawa S., Morisaki F., Baba T., Tsubouchi A., Yoshimura A., Miyamoto K., Uchiyama M., Saito A.,Org. Lett. 2022, 24, 5230–5234. doi: 10.1021/acs.orglett.2c02264
- Ochiai M., Kaneaki T., Tada N., Miyamoto K., Chuman H., Shiro M., Hayashi S., Nakanishi W., J. Am. Chem. Soc. 2007, 129, 12938–12939. doi: 10.1021/ja075811i
- Hoque M.M., Miyamoto K., Tada N., Shiro M., Ochiai M., Org. Lett. 2011, 13, 5428–5431. doi: 10.1021/ol201868n
- Shainyan B.A., Moskalik M.Y., Astakhova V.V., Russ. J. Org. Chem. 2012, 48, 918–923. doi: 10.1134/S1070428012070056
- Moskalik M.Y., Shainyan B.A., Schilde U., Russ. J. Org. Chem. 2011, 47, 1271–1277. doi: 10.1134/S1070428011090016
- Moskalik M.Y., Garagan I.A., Astakhova V.V., Sterkhova I.V., Shainyan B.A., Tetrahedron. 2021, 88, 132145. doi: 10.1016/j.tet.2021.132145
- Sokolova A.S., Putilova V.P., Yarovaya O.I., Zybkina A.V., Mordvinova E.D., Zaykovskaya A.V., Shcherbakov D.N., Orshanskaya I.R., Sinegubova E.O., Esaulkova I.L., Borisevich S.S., Bormotov N.I., Shishkina L.N., Zarubaev V.V., Pyankov O.V., Maksyutov R.A., Salakhutdinov N.F. Molecules. 2021, 26, 2235. doi: 10.3390/molecules26082235
- Benelli G., Govindarajan M., Rajeswary M., Vaseeharan B., Alyahya S.A., Alharbi N.S., Kadaikunnan S., Khaled J.M., Maggi F. Ecotoxicol. Environ. Saf. 2018, 148, 781–786. doi: 10.1016/j.ecoenv.2017.11.044
- Garagan I.A., Moskalik M.Yu., Sterkhova I.V., Ganin A.S. Molbank. 2023, 2, M1645. doi: 10.3390/M1645
- Kiyokawa K., Kosaka T., Minakata S. Org. Lett. 2013, 15, 4858–4861. doi: 10.1021/ol402276f
- Moskalik M.Y., Ganin A.S., Shainyan B.A. Int. J. Mol. Sci. 2023, 24, 15947. doi: 10.3390/ijms242115947
- Filimonov D.A., Lagunin A.A., Gloriozova T.A., Rudik A.V., Druzhilovskii D.S., Pogodin P.V., Poroikov V.V. Chem. Heterocycl. Compd. 2014, 50, 444–457. doi: 10.1007/s10593-014-1496-1
Дополнительные файлы












