Synthesis of bis{2-[3(4)-(2,5- dihydro-2,5-dioxo-1H-pyrrol-1-ethyl}hexane-1,6-carbonyloxy]dihydrocarbamates
- Authors: Kolyamshin O.A.1, Mitrasov Y.N.2, Danilov V.A.1
-
Affiliations:
- Chuvashskij gosudarstvennyj universitet imeni I.N. Ul'yanova
- Chuvashskij gosudarstvennyj pedagogicheskij universitet im. I.Ya. Yakovleva
- Issue: Vol 60, No 12 (2024)
- Pages: 1216-1221
- Section: Articles
- URL: https://journals.rcsi.science/0514-7492/article/view/283548
- DOI: https://doi.org/10.31857/S0514749224120059
- EDN: https://elibrary.ru/AQJQEV
- ID: 283548
Cite item
Full Text
Abstract
By the interaction of bis-(2-chloroethyl)hexane-1,6-diyldicarbamate with potassium salts of m- and p-aminobenzoic acids, new bis{2-[3(4)-aminophenylcarbonyloxy]ethyl} were obtained hexane-1.6-diyldicarbamates. It was found that they react with maleic anhydride in a molar ratio of 1 : 2 to form the corresponding bis-maleamides, by cyclization of which bis were obtained in an acidic medium-[2-(3(4)-(2,5-dihydro-2,5-dioxo-1H-pyrrol-1-yl)phenylcarbonyloxy)ethyl]hexane-1,6-diyldicarbamates. The physical and spectral properties of synthesized bismaleinimides have been studied.
Full Text
ВВЕДЕНИЕ
Производные 1H-пиррол-2,5-дионов (мале-инимидов) являются ценными синтонами органического синтеза. Благодаря наличию высоко-активной двойной связи для них удается осуществить присоединение как электрофильных, так и нуклеофильных реагентов, провести реакции Дильса–Альдера, полимеризации и сополимеризации с различными непредельными мономерами [1, 2]. На практике наибольшее значение имеют малеинимидные связующие [1, 3, 4], которые предназначены для изготовления изделий конструкционного, электроизоляционного, триботехнического назначения и т.п., длительно работоспособных при высоких температурах (220–250оС). Отверждение малеинимидных связующих не сопровождается выделением летучих продуктов, поэтому их используют для изготовления крупногабаритных авиакосмических конструкций. Зна-чительный интерес для получения термостойких полимеров и сополимеров представляют моно- и бисмалеинимиды на основе м- или п-амино-бензойных кислот [5, 6], их сложных эфиров [7–9] и амидов [10–12].
В настоящее время на основе малеинимидов и фурановых мономеров с использованием реакции Дильса–Альдера разработаны полимерные материалы, способные к самовосстановлению индуцированным ближним инфракрасным или тепловым воздействием [13–16].
Кроме того, ряд малеинимидов обладает флуоресцентными свойствами, что позволяет использовать их в различных областях, включая фотопамять, датчики флуоресценции, оптоэлектронные устройства, органические лазеры, высокочувствительные сенсоры для селективного обнаружения различных химических и биологических соединений, включая биотиолы [17–19].
В свете изложенного весьма актуальными представляются работы как по расширению ассортимента новых производных малеинимидов и полимеров на их основе для получения новых материалов с комплексом заданных ценных свойств, так и по изысканию новых областей применения уже известных соединений с различными функциональными группами в своем составе. В связи с этим целью настоящей работы явилась разработка методов синтеза новых бисмалеинимидов, содержащих в своей структуре сложноэфирную и уретановую группы, для дальнейшего использования в качестве различных, в том числе самовосстанавливающихся полимерных материалов с высокими эксплуатационными характеристиками.
РЕЗУЛЬТАТЫ И ОБСУЖДЕНИЕ
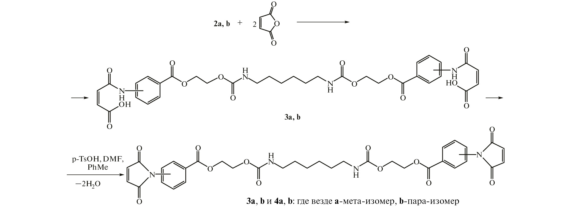
Известно, что для синтеза функционально замещенных моно- и бисмалеимидоаренкарбоновых кислот используются 2 подхода. Один из них заключается в применении реакций хлорангидридов малеимидосодержащих кислот с нуклеофильными реагентами (спирты и амины) [20, 21], а второй – в алкилировании калиевых солей малеимидобензойных кислот соответствующими моно- и дигалогенидами [21, 22]. К недостаткам этих методов можно отнести труднодоступность исходных малеимидосодержащих кислот. В данном сообщении с целью упрощения процесса получения новых рядов бисмалеинимидов, содержащих в своем составе сложноэфирные и уретановые группы, в качестве исходного галогенида предложено использовать легкодоступный бис(2-хлорэтил)гексан-1,6-диилдикарбамат (1), который является продуктом реакции гексаметилендиизоцианата с 2-хлорэтанолом [23]. На основе этого дихлорида взаимодействием с калиевыми солями м- и п-аминобензойных кислот были синтезированы бис{2-[3(4)-аминофенилкарбонилокси]этил}гексан-1,6-диилдикарбаматы 2a,b. Процесс проводили в среде диметилформамида (ДМФА) при температуре 130–140оС в присутствии катализатора – триэтилбензиламмония хлорида (ТЭБАХ). Контроль за ходом реакции и чистотой образующихся соединений осуществляли методом ТСХ. Образующиеся соединения в виде светло-коричневых кристаллов выделяли с высоким выходом (92–97%) осаждением десятикратным количеством воды (схема 1).
Схема 1
Строение соединений 2a,b подтверждали методами масс-спектрометрии, ИК и ЯМР 1Н спектроскопии, а состав – данными элементного анализа. В ИК спектрах содержатся полосы поглощения, характерные для амино-, уретановых и сложноэфирных групп в области 3218–3479 см-1 (νN–H), 1713, 1691–1683 см-1 (νС=О), 1260–1257 см-1 (νС–О). В спектрах ЯМР 1Н наблюдаются синглеты протонов аминогруппы с δ 5.35–5.95 м.д. и триплеты для протонов уретановых групп NHC(O)О при 7.21–7.19 м.д., 3JНН 5.5 Гц. Ароматические протоны карбамата 2а проявляются в виде мультиплета в области 6.80–7.19 м.д., а соединения 2b – в виде 2 дублетов с δ 6.56 и 7.63 м.д., 3JНН 8.7 Гц. В масс-спектрах дикарбаматов 2а,b имеются пики молекулярного иона с m/z 530 (1.6%) и продуктов его фрагментации.
Диамины 2a,b при комнатной температуре в среде ацетона легко реагируют с малеиновым ангидридом. В результате реакции с высоким выходом (94–96%) были получены бис{2-[3(4)-(3-карбокси-2-оксопропен-2-иламино)фенилкарбонилокси]этил}гексан-1,6-диилдикарбаматы 3a,b (схема 2).
Схема 2
В ИК спектрах бисмалемидов 3a,b имеются полосы поглощения валентных колебаний N–H (3317–3327 см-1), С=О (1717–1718, 1685–1687 см-1), С–О (1253–1266 см-1) и С=С-связей (1629–1626 см–1).
В спектрах ЯМР 1Н протоны двойной связи амидов 3а,b проявляются в виде 2 дублетов при 6.33 и 6.47–6.49 м.д. Величина 3JНН 12.0 Гц указывает на цис-положение протонов при двойной связи. Протоны уретановой группы NHC(O)О дают триплеты в области 7.19–7.22 м.д. с 3JНН 5.6 Гц, а протоны амидных и карбоксильных групп проявляются в виде синглетов при 10.55–10.62 и 12.90–12.85 м.д. соответственно.
Диамиды 3a,b легко подвергаются внутримолекулярной циклизации при нагревании в присутствии каталитических количеств п-толуолсульфокислоты в среде растворителя, состоящего из смеси ДМФА и толуола, с одновременной азеотропной отгонкой выделяющейся воды. В результате реакции с выходами 91–97% синтезированы бис[2-(3(4)-(2,5-дигидро-2,5-диоксо-1Н-пиррол-1-ил)фенилкарбонилокси)этил]гексан-1,6-диилдикарбаматы 4a,b (схема 2).
Строение бисмалеинимидов 4a,b подтверждено данными ИК и ЯМР 1Н спектров. Так, в ИК спектрах имеются полосы поглощения валентных колебаний N–H (3308–3325 см-1), C=O (1712–1714, 1680–1690 см-1) и С–О (1257–1263 см-1) связей. В спектрах ЯМР 1Н протоны малеинимидного кольца проявляются в виде характерного синглета с δ 7.22 м.д., на который накладываются сигналы протонов уретановой группы NHC(O)О при 7.19–7.22 м.д. Для фениленовых протонов характерны мультиплет при 7.65–7.94 м.д. (имид 4а) и дублеты с δ 7.54 и 8.06 м.д. с 3JНН 8.6 Гц (имид 4б).
ЭКСПЕРИМЕНТАЛЬНАЯ ЧАСТЬ
ИК спектры получены на ИК-Фурье спектрофотометре “ФСМ 1202” (Россия) в вазелиновом масле, спектры ЯМР 1Н – на спектрометре Bruker DRX500 (500.13 MГц) (Bruker Corporation, Германия) в ДМСО-d6, внутренний стандарт – тетраметилсилан, масс-спектры – на приборе Finnigam MAT INCOS-50 (энергия ионизирующих электронов 70 эВ, США). Анализ методом ТСХ проводили на пластинах Sorbfil ПТСХ-П-В, подвижная фаза – 1,4-диоксан (для диамидов 3a,b – ДМФА–этанол в объемном соотношении 1 : 4), проявитель – пары иода. Элементный анализ осуществляли на анализаторе фирмы Perkin Elmer 2400 CHN (Perkin Elmer Instruments, США). Температуру плавления определяли капиллярным методом. Использовали коммерческие продукты, растворители очищали перегонкой.
Исходные реагенты: толуол (ООО “Лукойл-Пермьнефтеоргсинтез”, Россия), м-аминобензойная кислота, п-аминобензойная кислота, малеиновый ангидрид, гексаметилендиизоцианат (Covestro, Германия), 2-хлорэтанол (Экос-1, Россия), ТЭБАХ (Вектон, Россия), 1,4-диоксан (Экос-1, Россия), ДМФА (Экос-1, Россия).
Бис(2-хлорэтил)гексан-1,6-диилдикарбамат (1) получали согласно [23] с теми же количествами исходных веществ. Выход 80.98 г ( 82%), бесцветный кристаллический порошок, т.пл. 110–111оС (перекристаллизовывали дважды из бензола).
Бис[2-(3-аминофенилкарбонилокси)этил]гексан-1,6-диилдикарбамат (2а). Смесь 17.5 г (0.1 моль) 3-аминобензоата калия, 16.46 г (0.05 моль) бис(2-хлорэтил)гексан-1,6-диилдикарбамата (1), 0.2 г ТЭБАХ и 50 мл ДМФА перемешивали при температуре 125–135оС в течение 3 ч. После охлаждения до комнатной температуры реакционную массу перемешивали с 500 мл воды, выделившийся осадок отфильтровывали, промывали 10 раз по 10 мл воды, сушили на воздухе. Выход 24.21 г (92%), бежевый порошок, т.пл. 94–96оС (перекристаллизовывали дважды из изопропилового спирта (ИПС)). Rf 0.58. ИК спектр, ν, см–1: 3429, 3338, 3218 (N–H), 1713, 1691 (С=О), 1260 (С–О–С), 751, 679 (С6Н4). Спектр ЯМР 1Н, δ, м.д.: 1.20 уш.с (4Н, 2CH2), 1.33 с (4Н, 2CH2, 3JНН 5.82 Гц), 2.94 к (4Н, 2CH2N, 3JНН 6.47 Гц), 4.25 м [4H, 2CH2OC(O)NH], 4.37 м [4H, 2CH2OC(O)], 5.35 с (4H, 2NH2), 6.80 д (2Н, 2Hар., 3JНН 7.88 Гц), 7.10 м и 7.18 с (6Hар), 7.21 т (2Н, 2NHCO, 3JНН 5.5 Гц). Найдено, %: С 58.95; Н 6.60; N 10.36. C26H34N4O8. Вычислено, %: С 58.86; Н 6.46; N 10.56.
Бис[2-(4-аминофенилкарбонилокси)этил]гексан-1,6-диилдикарбамат (2b) получали аналогично вышеописанному с теми же загрузками исходных веществ. Выход 25.73 г (97%), светло-коричневый порошок, т.пл. 119–121оС (перекристаллизовывали дважды из ИПС). Rf 0.65. ИК спектр, ν, см–1: 3479, 3362, 3218 (N–H), 1683 (С=О), 1257 (С–О–С), 1600, 843 (С6Н4). Спектр ЯМР 1Н, δ, м.д.: 1.20 уш.с (4Н, 2CH2), 1.35 т (4Н, 2CH2, 3JНН 5.82 Гц), 2.94 к (4Н, 2CH2N, 3JНН 6.44 Гц), 4.23 м [4H, 2CH2OC(O)NH], 4.29 м [4H, 2CH2OC(O)], 5.95 с (4H, 2NH2), 6.56 д (4Н, С6H4., 3JНН 8.7 Гц), 7.19 т (2Н, 2NHCO, 3JНН 5.5 Гц), 7.63 д (4Н, С6H4., 3JНН 8.7 Гц). Масс-спектр, m/z (Iотн, %): 530 (1.60) [М]+. Найдено, %: С 58.73; Н 6.54; N 10.45. C26H34N4O8. Вычислено, %: С 58.86; Н 6.46; N 10.56.
Бис{2-[3-(3-карбокси-2-оксопропен-2-иламино)фенилкарбонилокси]этил}гексан-1,6-диилдикарбамат (3а). К суспензии 13.26 г (0.025 моль) диамина 2а в 40 мл ацетона прибавляли раствор 4.9 г (0.05 моль) малеинового ангидрида в 10 мл ацетона. Выдерживали при комнатной температуре в течение 3 ч, осадок отфильтровывали, промывали 4 раза по 4 мл ацетона, сушили на воздухе. Выход 17.1 г (94%), светло-коричневый порошок, т.пл. 150–152 оС (ацетон). Rf 0.82. ИК спектр, ν, см–1: 3317 (N–H), 1718, 1685 (С=О), 1626 (СН=СН), 1266 (С–О–С), 3050, 754 (С6Н4). Спектр ЯМР 1Н, δ, м.д.: 1.19 с (4Н, 2CH2), 1.34 с (4Н, 2CH2), 2.93 к (4Н, 2CH2N, 3JНН 6.44 Гц), 4.28 м [4H, 2CH2OC(O)NH], 4.44 м [4H, 2CH2OC(O)], 6.33 д и 6.47 д (4H, 2CH=CH, 3JНН 12.0 Гц), 7.22 т (2Н, 2NHCO, 3JНН 5.6 Гц), 7.48 т (2Hар., 3JНН 7.94 Гц), 7.67 д (2Hар., 3JНН 8.18 Гц), 7.89 д (2Hар., 3JНН 5.6 Гц), 8.26 с (2Н, 2Hар.), 10.55 с (2Н, 2NHCO), 12.90 с (2H, 2COOH). Найдено, %: С 56.15; Н 5.40; N 7.56. C34H38N4O14. Вычислено, %: С 56.20; Н 5.27; N 7.71.
Бис{2-[4-(3-карбокси-2-оксопропен-2-иламино)фенилкарбонилокси]этил}гексан-1,6-диилдикарбамат (3b). Получали аналогично вышеописанному с теми же загрузками исходных веществ. Выход 17.44 г (96%), светлый желтовато-коричневый порошок, т.пл. 170–172оС. Rf 0.79. ИК спектр, ν, см–1: 3327 (N–H), 1717, 1687 (С=О), 1629 (СН=СН), 1253 (С–О–С), 3040, 848 (С6Н4). Спектр ЯМР 1Н, δ, м.д.: 1.20 с (4Н, 2CH2), 1.32 с (4Н, 2CH2), 2.94 к (4Н, 2CH2N, 3JНН 6.12 Гц.2), 4.27 м [4H, 2CH2OC(O)NH], 4.40 м [4H, 2CH2OC(O)], 6.33 д, 6.49 д (4H, 2CH=CH, 3JНН 12.0 Гц), 7.19 м (2Н, 2NHCO), 7.76 д (4H, С6H4, 3JНН 8.6 Гц), 7.93 д (4H, С6H4, 3JНН 8.66 Гц), 10.62 с (2Н, 2NHCO), 12.85 с (2H, 2COOH). Найдено, %: С 56.12; Н 5.20; N 7.52. C34H38N4O14. Вычислено, %: С 56.20; Н 5.27; N 7.71.
Бис{2-[3-(2,5-дигидро-2,5-диоксо-1Н-пиррол-1-ил)фенилкарбонилокси]этил}гексан-1,6-диилдикарбамат (4а). Смесь 14.52 г (0.02 моль) диамида 3а, 0.3 г п-толуолсульфокислоты, 30 мл ДМФА и 60 мл толуола кипятили с насадкой Дина–Старка до прекращения отделения воды в течение 3 ч. Растворители отгоняли на водяной бане в вакууме водоструйного насоса. Остаток перемешивали с 300 мл воды, осадок отфильтровывали, промывали 10 раз по 10 мл воды, сушили на воздухе. Выход 12.6 г (91%), коричневый порошок, т.пл. 105–108оС. Rf 0.46. ИК спектр, ν, см–1: 3325 (N–H), 1712, 1690 (С=О), 1263 (С–О–С), 3086, 753, 698 (С6Н4). Спектр ЯМР 1Н, δ, м.д.: 1.18 уш.с (4Н, 2CH2), 1.32 уш.с (4Н, 2CH2), 2.92 к (4Н, 2CH2N, 3JНН 6.05 Гц), 4.28 с [4H, 2CH2OC(O)NH], 4.45 м [4H, 2CH2OC(O), 3JНН 4.19 Гц], 7.22 с (6H, 2CH=CH, 2NHCO), 7.65 д и 7.94 м (8Н, 2С6Н4). Найдено, %: С 59.15; Н 4.70; N 8.36. C34H34N4O12. Вычислено, %: С 59.13; Н 4.96; N 8.11.
Бис{2-[4-(2,5-дигидро-2,5-диоксо-1Н-пиррол-1-ил)фенилкарбонилокси]этил}гексан-1,6-диилдикарбамат (4b) получали аналогично с теми же загрузками исходных веществ. Выход 13.40 г (97%), светлый желто-коричневый порошок, т.пл. 118–120оС (перекристаллизовывали дважды из этилового спирта). Rf 0.49.
ИК спектр, ν, см–1: 3308 (N–H), 1714, 1680 (С=О), 1257 (С–О), 1592, 826 (С6Н4). Спектр ЯМР 1Н, δ, м.д.: 1.19 уш.с (4Н, 2CH2), 1.34 с (4Н, 2CH2), 2.93 к (4Н, 2CH2N, 3JНН 6.01 Гц), 4.29 с [4H, 2CH2OC(O)NH], 4.45 уш.с [4H, 2CH2OC(O)], 7.19 уш.с (6Н, 2CH=CH, 2NHCO), 7.22 с (4H, 2CH=CH), 7.54 д и 8.06 д (8Н., С6Н4, 3JНН 8.6 Гц). Найдено, %: С 59.35; Н 5.01; N 8.23. C34H34N4O12. Вычислено, %: С 59.13; Н 4.96; N 8.11.
ЗАКЛЮЧЕНИЕ
В результате проведенных исследований разработан метод синтеза неизвестных ранее бис[2-(3(4)-(2,5-дигидро-2,5-диоксо-1Н-пиррол-1-ил)фенилкарбонилокси)этил]гексан-1,6-диилдикарбаматов с 2 сложноэфирными и 2 уретановыми (карбаматными) группами в своем составе. Молекулярное строение и химическая структура полученных соединений доказаны с использованием комплекса современных физико-химических методов анализа, включающих масс-спектрометрию, ИК и ЯМР 1Н спектроскопию, элементный анализ. Полученные бисмалеинимиды с сложноэфирными и уретановыми группами в своем составе могут найти применение в качестве высокоэффективных компонентов широкого спектра полимерных материалов, в том числе обладающих функцией самовосстановления.
КОНФЛИКТ ИНТЕРЕСОВ
Авторы заявляют об отсутствии конфликта интересов.
About the authors
O. A. Kolyamshin
Chuvashskij gosudarstvennyj universitet imeni I.N. Ul'yanova
Author for correspondence.
Email: kolyamshin.oleg@yandex.ru
ORCID iD: 0000-0002-3473-1827
Russian Federation, Moskovskij pr., 15, Cheboksary, 428015
Yu. N. Mitrasov
Chuvashskij gosudarstvennyj pedagogicheskij universitet im. I.Ya. Yakovleva
Email: kolyamshin.oleg@yandex.ru
ORCID iD: 0000-0002-4083-7863
Russian Federation, ul. K. Marksa, 38, Cheboksary, 428000
V. A. Danilov
Chuvashskij gosudarstvennyj universitet imeni I.N. Ul'yanova
Email: kolyamshin.oleg@yandex.ru
ORCID iD: 0000-0001-9140-1747
Russian Federation, Moskovskij pr., 15, Cheboksary, 428015
References
- Михайлин Ю.А. Термоустойчивые полимеры и полимерные материалы. СПб.: Профессия, 2006.
- Митрасов Ю.Н., Колямшин О.А., Данилов В.А. Малеинимиды: синтез, свойства и полимеры на их основе. Чебоксары: Чуваш. гос. пед. у-т, 2017.
- Iredale R.J., Ward C., Hamerton I Progress Polymer Sci. 2017, 69, 1–21. doi: 10.1016/j.progpolymsci.2016.12.002
- Zhang L., Chen P., Gao M., Na L., Xiong X. and Fan Sh. Desig. Monomers Polymers. 2014, 17 (7), 637–646. doi: 10.1080/15685551.2014.907618
- Liu Y., He M., Zhang D., Zhao Q., Li Y., Qin Sh., Yu J., Materials. 2018, 11, 2330. doi: 10.3390/ma11112330
- Zhao Q., Zhan Y.-K., Liu Y.-F., He M., Gong Y.-J. Polymer Sci. Ser. B. 2020, 62 (4), 368–374. doi: 10.1134/S1560090420040119
- Jeemol P.A, Mathew S., Nair C.P. Reghunadhan. J. Polymer Res. 2020, 27, 300. doi: 10.1007/s10965-020-02197-z
- Park J. O., Yoon B.-J., Srinivasarao M. J. Non-Newtonian Fluid Mechanics. 2011, 166, 925–931. doi: 10.1016/j.jnnfm.2011.04.015
- Gaina V., Gaina C. Designed Monomers Polymers (Taylor and Francis Ltd Publ.) 2007, 10 (1), 91–104.
- Sava M. Designed Monomers Polymers. 2013, 16 (1), 14–24. doi: 10.1080/15685551.2012.705485
- Fache B., Meouche W., Pham Q.T., Milano J.C. J. Adhesion Adhesives. 2013, 42, 51–59. doi: 10.1016/j.ijadhadh.2012.12.002
- Froidevaux V., Decostanzi M., Manseri A., Caillol S., Boutevin B., Auvergne R. Front. Chem. Sci. Eng. 2021, 15, 330–339. doi: 10.1007/s11705-020-1929-6
- Yang Sh., Du X., Deng Sh., Qiu J., Du Z., Cheng X., Wang H. Chem. Engineer. J. 2020, 398, 125654. doi: 10.1016/j.cej.2020.125654
- Yang Sh., Wang Sh., Du X., Du Z., Cheng X., Wang H. Chem. Engineer. J. 2020, 391, 23544. doi: 10.1016/j.cej.2019.123544
- Aizpuruaa J., Martin L., Formoso E., González A., Irusta L. Progress in Org. Coatings. 2019, 130, 31–43. doi: 10.1016/j.porgcoat.2019.01.008
- Lindenmeyer K.M., Johnson R.D., Miller K.M. Polym. Chem. 2020, 11, 5321. doi: 10.1039/d0py00016g
- Zhu J., Hu X., Yang B., Liu B. Sensors Actuators: B. Chem. 2019, 282, 743–749. doi: 10.1016/j.snb.2018.11.136
- Liu T., Huo F., Yin C., Li J., Chao J., Zhang Y. Dyes Pigments. 2016, 128, 209–214. doi: 10.1016/j.dyepig.2015.12.031
- Song L., Sun X.-D., Ge Y., Yao Y.-H., Shen J., Zhang W.-B., Qian J.-H. Chinese Chem. Lett. 2016, 27, 1776–1780. doi: 10.1016/j.cclet.2016.05.007
- Колямшин О.А., Кузьмин М.В., Игнатьев В.А., Рогожина Л.Г., Кольцов Н.И. ЖОрХ. 2015, 51, 917–918. [Kolyamshin O.A., Kuz’min M.V., Ignat’ev V.A., Rogozhina L.G., Kol’tsov N.I. Russ. J. Org. Chem. 2015, 51, 901–902]. doi: 10.1134/S1070428015060159
- Колямшин О.А., Данилов В.А., Игнатьев В.А., Кузьмин М.В. ЖОрХ. 2019, 55, 1717–1721. [Kolymshin O.A., Danilov V.A., Ignatev V.A., Kuzmin M.V. Russ. J. Org. Chem. 2019, 55, 1686–1689]. doi: 10.1134/S1070428019110071
- Колямшин О.А., Митрасов Ю.Н., Данилов В.А., Авруйская А.А. ЖОХ. 2019, 9, 1321–1326. [Kolyamshin O.A., Mitrasov Yu.N., Danilov V.A., Avruiskay A.A. Russ. J. General Chem. 2019, 89, 1740–1743]. doi: 10.1134/S1070363219090020
- Колямшин О.А., Митрасов Ю.Н., Данилов В.А., Кузьмин М.В., Иванова К.Ю. ЖОрХ. 2023, 59, 486–491. [Kolyamshin O.A., Mitrasov Yu.N., Danilov V.A., Kuz’min M.V, Ivanova K.Yu. Russ. J. Org. Chem. 2023, 59, 606–610]. doi: 10.1134/S1070428023040073
Supplementary files





