Замещенные карбамиды и их аналоги, содержащие каркасные фрагменты. I. 1-(4-гидроксиадамантан-1-ил)-3-(фтор, хлорфенил)мочевины
- Авторы: Данилов Д.В.1, Дьяченко В.С.1, Заправдина Д.М.1, Ильина Е.С.1, Дегтяренко Е.К.1, Бурмистров В.В.1
-
Учреждения:
- ФГБОУ ВО “Волгоградский государственный технический университет”
- Выпуск: Том 60, № 12 (2024)
- Страницы: 1195-1203
- Раздел: Статьи
- URL: https://journals.rcsi.science/0514-7492/article/view/283536
- DOI: https://doi.org/10.31857/S0514749224120029
- EDN: https://elibrary.ru/QEWUPY
- ID: 283536
Цитировать
Аннотация
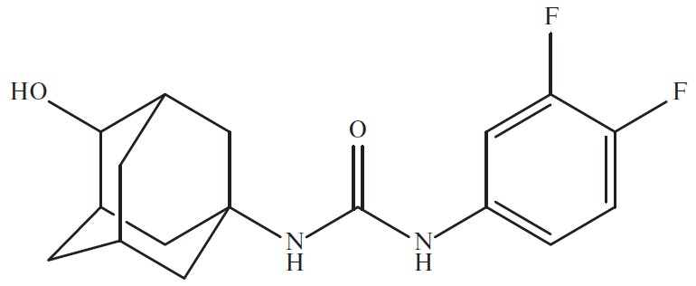
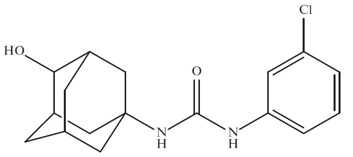
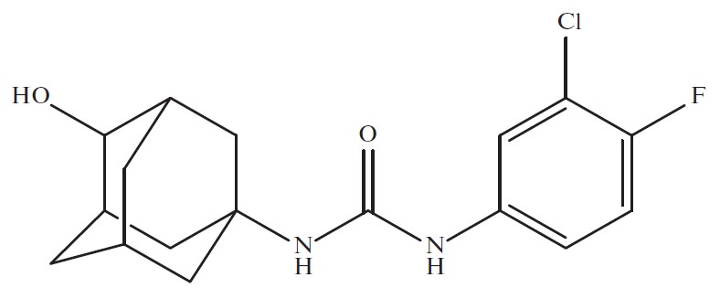
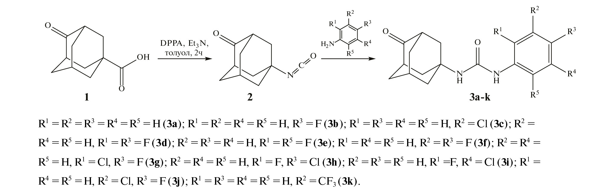
Реакцией 1-(4-оксоадамант-1-ил)-3-(галогенфенил)мочевин с боргидридом натрия синтезирована серия 1,3-дизамещенных мочевин, содержащих в своей структуре 4-гидроксиадамантан-1-ильный радикал, с выходом целевых продуктов 55–87%. Синтезированные мочевины являются потенциальными метаболитами и перспективными ингибиторами растворимой эпоксидгидролазы человека (sEH).
Полный текст
Об авторах
Дмитрий Владимирович Данилов
ФГБОУ ВО “Волгоградский государственный технический университет”
Email: vburmistrov@vstu.ru
ORCID iD: 0000-0001-8734-2617
Россия, 400005 Волгоград, просп. Ленина, 28
Владимир Сергеевич Дьяченко
ФГБОУ ВО “Волгоградский государственный технический университет”
Email: vburmistrov@vstu.ru
ORCID iD: 0000-0002-6209-7106
Россия, 400005 Волгоград, просп. Ленина, 28
Дарья Михайловна Заправдина
ФГБОУ ВО “Волгоградский государственный технический университет”
Email: vburmistrov@vstu.ru
ORCID iD: 0000-0002-8654-2382
Россия, 400005 Волгоград, просп. Ленина, 28
Екатерина Сергеевна Ильина
ФГБОУ ВО “Волгоградский государственный технический университет”
Email: vburmistrov@vstu.ru
ORCID iD: 0009-0005-0475-1113
Россия, 400005 Волгоград, просп. Ленина, 28
Егор Кириллович Дегтяренко
ФГБОУ ВО “Волгоградский государственный технический университет”
Email: vburmistrov@vstu.ru
ORCID iD: 0000-0002-7337-4885
Россия, 400005 Волгоград, просп. Ленина, 28
Владимир Владимирович Бурмистров
ФГБОУ ВО “Волгоградский государственный технический университет”
Автор, ответственный за переписку.
Email: vburmistrov@vstu.ru
ORCID iD: 0000-0002-8547-9166
Россия, 400005 Волгоград, просп. Ленина, 28
Список литературы
- Данилов Д.В., Бурмистров В.В., Рассказова Е.В., Бутов Г.М. ЖОрХ., 2020, 56, 870-878. [Danilov D.V., Burmistrov V.V., Rasskazova E.V., Butov G.M., Russ. J. Org. Chem., 2020, 56, 983—989]. doi: 10.1134/S1070428020060032
- Butterworth R.F., Drugs in R&D., 2021, 3, 267—272. doi: 10.1007/s40268-021-00351-6
- Dembitsky V.M., Gloriozova T.A., Poroikov V.V., Biochem. Biophys. Res. Commun., 2020, 529, 1225—1241. doi: 10.1016/j.bbrc.2020.06.123
- Dragomanova S., Andonova V., Pharmacia, 2023, 70, 1057—1066. doi: 10.3897/pharmacia.70.e111593
- Sun C.P., Zhang X.Y., Morisseau C., Hwang S.H., Zhang Z.J., Hammock B.D., Ma X.C., J. Med. Chem., 2020, 64, 184—215. doi: 10.1021/acs.jmedchem.0c01507
- Schmelzer K.R., Kubala L., Newman J.W., Kim I.H., Eiserich J.P., Hammock B.D., Proc. Natl. Acad. Sci. U.S.A. 2005, 102, 9772—9777. doi: 10.1073/pnas.0503279102
- Hammock B.D., Kim I., Morisseau C., Watanabe T., Newman J.W. Пат. 0164951 (2005). США.
- Gless R.D., Anandan S.K., Aavula B.R. Междунар. заявка WO 2008 112022.
- Soon K.A., Jin A., Nam S.C., Chang K.H., Tae-Jeong K., Kamsa P., Young J.S., Dong-Oh H., Cheol K.H. Пат. 0062797 (2011) Корея.
- Du F., Sun W., Morisseau C., Hammock B.D., Bao X., Liu Q., Wang C., Zhang T., Yang H., Zhou J., Xiao W., Liu Z., Chen G., Eur. J. Med. Chem. 2021, 223, 113678. doi: 10.1016/j.ejmech.2021.113678
- Jones P.D., Tsai H.J., Do Z.N., Morisseau C., Hammock B.D., Bioorg. Med. Chem. Lett., 2006, 16, 5212-5216. doi: 10.1016/j.bmcl.2006.07.009
- Hwang S.H., Wagner K.M., Morisseau C., Liu J.Y., Dong H., Wecksler A.T., Hammock B.D., J. Med. Chem., 2011, 54, 3037—3050. doi: 10.1021/jm2001376
- Huang S.X., Cao B., Morisseau C., Jin Y., Hammock B.D., Long Y.Q., Med. Chem. Commun., 2012, 3, 379—384. doi: 10.1039/C2MD00288D
- Бурмистров В.В., Питушкин Д.А., Васипов В.В., Дьяченко В.С., Бутов Г.М., ХГС, 2019, 55, 619-622. [Burmistrov V.V., Pitushkin D.А., Vasipov V.V., D’yachenko V.S., Butov G.M., Chem. Heterocycl. Compd., 55, 619—622.] doi: 10.1007/s10593-019-02507-4
- Burmistrov V., Morisseau C., D'yachenko V., Karlov D., Butov G.M., Hammock B.D., Bioorg. Med. Chem. Lett., 2019, 30, 126908. doi: 10.1016/j.bmcl.2019.126908
- Burmistrov V., Morisseau C., Danilov D., Harris T.R., Dalinger I., Vatsadze I., Shkineva T., Butov G.M., Hammock B.D., Bioorg. Med. Chem. Lett., 2015, 25, 5514—5519. doi: 10.1016/j.bmcl.2015.10.066
- Бурмистров В.В., Данилов Д.В., Дьяченко В.С., Рассказова Е.В., Бутов Г.М., ЖОрХ., 2020, 56, 672-678. [Burmistrov V.V., Danilov D.V., D'yachenko V.S., Rasskazova E.V., Butov G.M. Russ. J. Org. Chem., 2020, 56, 735—740]. doi: 10.1134/S1070428020050024
- Liu J.Y., Tsai H.J., Morisseau C., Lango J., Hwang S.H., Watanabe T., Kim I.H., Hammock B.D. Biochem. Pharmacol., 2015, 98, 718—731. doi: 10.1016/j.bcp.2015.10.013
- Hwang S.H., Wecksler A.T., Zhang G., Morisseau C., Nguyen L.V., Fu S.H., Hammock B.D., Bioorg. Med. Chem. Lett., 2013, 23, 3732—3737. doi: 10.1016/j.bmcl.2013.05.011
- Inceoglu B., Jinks S.L., Ulu A., Hegedus C.M., Georgi K., Schmelzer K.R., Wagner,K., Jones P.D., Morisseau C., Hammock B.D. Proc. Natl. Acad. Sci., 2008, 105, 18901—18906. doi: 10.1073/pnas.0809765105
- Данилов Д.В., Бурмистров В.В., Кузнецов Я.П., Дьяченко В.С., Е.В. Рассказова, Бутов Г.М., ЖОрХ, 2021, 57, 339-351. [Danilov D.V., Burmistrov V.V., Kuznetsov Y.P., D'yachenko V.S., Rasskazova E.V., Butov G.M., Russ. J. Org. Chem., 2021, 57, 327—337]. doi: 10.1134/S1070428021030027
- Gladkikh B.P., D’yachenko V.S., Danilov D.V., Matiukhina A.K., Burmistrov V.V. Butov G.M., Russ. J. Org. Chem., 2023, 59, 2138—2146. doi: 10.1134/S1070428023120114
- Гладких Б.П., Данилов Д.В., Дьяченко В.С., Бурмистров В.В., Бутов Г.М., Новаков И.А., Изв. АН. Сер. хим., 2022, 9, 1998—2005. [Gladkikh B.P., Danilov D.V., D’yachenko V.S., Burmistrov V.V., Butov G.M., Novakov I.A., Russ. Chem. Bull., 2022, 71, 1998—2005. doi: 10.1007/s11172-022-3620-1.
Дополнительные файлы




















