Synthesis and antioxidant activity furan derivatives containing 1,3,4-oxadiazole ring
- Авторлар: Aghekyan A.A.1, Panosyan H.A.1, Buniatyan Z.M.1, Muradyan R.E.1, Mkryan G.G.1
-
Мекемелер:
- The Scientific Technological Centre of Organic and Pharmaceutical Chemistry NAS RA
- Шығарылым: Том 60, № 5 (2024)
- Беттер: 614-622
- Бөлім: Articles
- URL: https://journals.rcsi.science/0514-7492/article/view/279711
- DOI: https://doi.org/10.31857/S0514749224050045
- EDN: https://elibrary.ru/RDHUFK
- ID: 279711
Дәйексөз келтіру
Толық мәтін
Аннотация
N-methylaminoamide derivatives were obtained by the reaction of methyl esters of 5-aminomethyl-substituted furocarboxylic acids with methylamine, and the corresponding amino acids were isolated by hydrolysis. Hydrazides were synthesized by interaction above mention esters with hydrazine hydrate, which were converted via diamide derivatives into biheterocyclic compounds containing furan and 1,3,4-oxadiazole rings. The target biheterocycles were also synthesized by the reaction of hydrazides with acid chlorides in the presence of phosphorus oxychloride in one stage without isolating diamides.
Негізгі сөздер
Толық мәтін
ВВЕДЕНИЕ
Производные фурана представляют собой важный класс гетероциклических соединений, проявляющих широкий спектр биологической активности. Структура фурана является основой таких лекарственных средств, как миорелаксант дантролен, противоязвенное средство ранитидин, противомикробное средство фурадонин. В последние несколько десятилетий значительное внимание было уделено синтезу производных фурана, обладающих антибактериальной, противовирусной, противовоспалительной, противогрибковой, противоопухолевой, антигипергликемической, обезболивающей, противосудорожной активностью и другими свойствами [1–6]. С другой стороны, исследования показали, что соединения, в которых, наряду с кольцом фурана, присутствует пятичленный гетероцикл, в частности, кольцо 1,2,4-триазола, обладают также антиоксидантной активностью [7].
Настоящая работа посвящена синтезу производных фурана, содержащих различные заместители в положениях 2 и 5, а также бисгетероциклических соединений, в которых замещенное фурановое кольцо непосредственно связано с ядром 1,3,4-оксадиазола, производные которого, в свою очередь, обладают высокой биологической активностью [8, 9].
РЕЗУЛЬТАТЫ И ОБСУЖДЕНИЕ
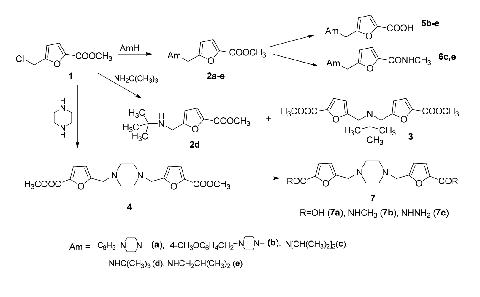
Для синтеза намеченных структур в качестве ключевого соединения нами использован метиловый эфир 5-хлорметилфуран-2-карбоновой кислоты (1), который вводили в реакцию с втор-бутил-, трет-бутил- и диизопропиламинами, а также с пиперазином и замещенными пиперазинами (фенилпиперазин и 4-метоксибензилпиперазин). В результате получены кристаллические аминоэфиры 2а,b и маслообразные аминоэфиры, охарактеризованные в виде гидрохлоридов 2с–е. В случае трет-бутиламина, наряду с монозамещенным продуктом 2d, было выделено дизамещенное производное 3, в ЯМР 1Н спектре которого проявляются сигналы 9 протонов трет-бутильной группы в области 1.50 м.д., 6 протонов 2 метоксильных групп при 3.84 м.д. и 4 протонов 2 метиленовых групп при 4.41 м.д. Конденсация хлорметилфурана 1 с пиперазином также приводит к дизамещенному производному 4. Далее синтезированные эфиры 5-замещенных фуран-2-карбоновых кислот 2b–e и диэфир 4 гидролизом были переведены в кислоты 5b–e и дикислоту 7a, а реакцией эфиров 2c,e и 4 с метиламином (схема 1) – в соответствующие N-метиламиды 6c,e и диамид 7b.
Схема 1
С целью получения гетероцикличекой системы, в которой фурановое кольцо непосредственно связано с ядром 1,3,4-оксадиазола, осуществлен синтез соответствующих гидразидов. Реакцией эфирoв 2а–d и 3 с гидразин-гидратом получены гидразиды 8а–d и 7с. Гидразид 8a взаимодействием с бензоилхлоридом переведен в дибензоилзамещенный гидразин 9, циклизованный действием хлорокиси фосфора в 5-пиперазинилметилзамещенный оксадиазолилфуран 10 (схема 2).
Схема 2
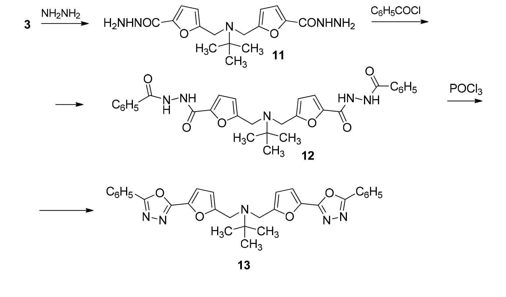
Реакцией же диэфира 3 с гидразингидратом выделен дигидразид 11, который через диамидное производное 12 переведен в тетрагетероциклическую систему 13 (схема 3).
Схема 3
Нами исследована также возможность перехода к бисгетероциклической системе оксадиазолилзамещенного фурана в одну стадию без выделения амидных производных. С этой целью гидразиды 8а–с введены в реакцию с хлорангидридами бензойной и фуранкарбоновой кислот в среде толуола с одновременным добавлением хлорокиси фосфора. В результате были выделены оксадиазолилзамещенные фураны 10 и 14а–d с выходом 50–60% (схема 4).
Схема 4
Изучена антиоксидантная активность синтезированных соединений в гомогенатах ткани мозга крыс в опытах in vitro [10]. Об антиоксидантной активности судили по процентным изменениям количества малонового диальдегида (МДА) в опытных пробах по сравнению с контролем. Соединения изучали в концентрации 10–3 М и вносили в инкубационную среду непосредственно перед инкубацией [11]. В качестве контроля выступала проба, в которую вместо соединений вносили растворитель. Наиболее выраженное действие выявлено у соединений 13 и 14b, под влиянием которых наблюдается ингибирование процесса окисления липидов в виде снижения количества МДА на 57 и 43% соответственно по сравнению с контролем. Относительно слабое действие обнаружено у соединений 14a и 2d, что составляет 28.5 и 24%. Остальные соединения не проявляют антиоксидантной активности.
ЭКСПЕРИМЕНТАЛЬНАЯ ЧАСТЬ
ИК-спектры регистрировали на спектрометре “Nicolet Avatar 330 FT-IR” (США) в вазелиновом масле, спектры ЯМР 1Н – на спектрометре Varian Mercury-300 (США) в ДМСО-d6, рабочая частота 300 МГц, внутренний стандарт – ТМС. Температуры плавления определены на микронагревательном столике “Boёtius”(Германия). ТСХ проведена на пластинах Silufol UV-254, подвижная фаза для аминоэфиров – бензол–ацетон, 5 : 1, проявитель – пары йода. Все использованные реактивы соответствуют стандарту «х.ч.».
Метил-5-((4-фенилпиперазин-1-ил)метил)фуран-2-карбоксилат (2а). Смесь 3.5 г (0.02 моль) хлорида 1, 3.2 г (0.02 моль) 1-фенилпиперазина и 1.6 г (0.02 моль) пиридина в 50 мл смеси спирт–диоксан (1 : 10) кипятили 12 ч. Отгоняли растворители, к остатку прибавляли воду и экстрагировали бензолом, промывали экстракт водой, сушили, отгоняли бензол, остаток кристаллизовали из эфира и перекристаллизовывали из смеси бензол–эфир (5 : 1). Выход 3.8 г (63%), т.пл. 114–115оС, Rf 0.46. Спектр ЯМР 1Н, δ, м.д.: 2.60–2.65 м (4Н, 2СН2), 3.13–3.18 м (4Н, 2СН2), 3.63 уш.с (2Н, СН2), 3.83 с (3Н, ОСН3), 6.41 д (1Н, Н-4 fur., J 3.4 Гц), 6.70–6.76 м (1Н, Н-4 Ph), 6.80–6.86 м (2Н, Н-2,2'Ph), 7.11 д (1Н, Н-3 fur., J 3.4 Гц), 7.11–7.19 м (2Н, Н-3,3'Ph). Спектр ЯМР 13С, δ, м.д.: 48.2 (2СН2), 50.8 (СН3О), 52.1 (2СН2), 54.0 (СН2), 110.2 (СН), 115.3 (2СН), 118.1 (СН), 118.7 (СН), 128.3 (2СН), 143.2, 150.6, 156.0, 157.6. Найдено, %: С 67.72; Н 6.57; N 9.54. С17Н20N2О3. Вычислено, %: С 67.98; Н 6.71; N 9.33.
Метил-5-(((4-метоксибензил)пиперазин-1-ил)метил)фуран-2-карбоксилат (2b) получали аналогично соединению 2a, в реакции использовали 3.5 г (0.02 моль) хлорида 1 и 4.0 г (0.02 моль) 4-метоксибензилпиперазина. Выход 3.6 г (52%), т.пл. 120–122оС, Rf 0.54. Спектр ЯМР 1Н, δ, м.д.: 2.60–2.65 м (4Н, 2СН2), 3.13–3.18 м (4Н, 2СН2), 3.63 уш.с (2Н, СН2), 3.83 с (3Н, ОСН3), 6.41 д (1Н, Н-4 fur., J 3.4 Гц), 6.80–6.86 м (2Н, Н-2,2'Ph), 7.11 д (1Н, Н-3 fur., J 3.4 Гц), 7.11–7.19 м (2Н, Н-3,3'Ph). Спектр ЯМР 13С, δ, м.д.: 48.2 (2СН2), 50.8 (СН3О), 52.1 (2СН2), 54.0 (СН2), 110.2 (СН), 115.3 (2СН), 118.1 (СН), 118.7 (СН), 128.3 (2СН), 143.2, 150.6, 156.0, 157.6. Найдено, %: С 66.08; Н 7.19; N 7.98. С19Н24N2О4. Вычислено, %: С 66.26; Н 7.02; N 8.13. T.пл. дигидрохлорида 180–182оС.
Гидрохлорид метил-5-((диизопропиламино)метил)фуран-2-карбоксилата (2c). Смесь 8.8 г (0.05 моль) хлорида 1 и 10.0 г (1.0 моль) диизопропиламина в 50 мл бензола нагревали при 60оС в течение 6 ч. По охлаждении прибавляли разбавленный раствор (1 : 10) HCl, отделяли слои, водный раствор подщелачивали до pH 8.0 и экстрагировали бензолом (2 × 50 мл). Бензольный раствор сушили, отгоняли растворитель и остаток перегоняли в вакууме. Выход метил-5-((диизопропиламино)метил)фуран-2-карбоксилата 7.4 г (61.6%), т.кип. 122–125оС (2 мм рт.ст.), Rf 0.55. Действием на эфирный раствор основания эфирным раствором хлористого водорода выделяли 7.3 г (85%) соединения 2c, т.пл. 180–182оC. Спектр ЯМР 1Н, δ, м.д.: 1.38 д (6Н, 2СН3, J 6.6 Гц), 1.48 д (6Н, 2СН3, J 6.6 Гц), 3.65–3.76 м (2Н, 2.СН), 3.85 с (3Н, ОСН3), 4.44 д (2Н, СН2, J 4.1 Гц), 7.15 д (1Н, Н-4 fur., J 3.6 Гц), 7.18 д (1Н, Н-3 fur., J 3.6 Гц), 11.99 уш.с (1Н, НCl). Спектр ЯМР 13С, δ, м.д.: 16.8 (2СН3), 18.0 (2СН3), 41.1 (СН2), 51.2 (СН3О), 53.3 (2СН), 115.6 (СН), 118.4 (СН), 143.9, 149.1, 157.3. Найдено, %: С 56.39; Н 8.21; N 5.19. С13Н21NО3.НCl. Вычислено, %: С 56.62; Н 8.04; N 5.08.
Реакция метилового эфира 5-хлорметилфуран-2-илкарбоновой кислоты с трет-бутиламином. Смесь 10.5 г (0.06 моль) хлорида 1 и 8.8 г (0.12 моль) трет-бутиламина в 50 мл эфира оставляли при комнатной температуре в течение 72 ч. Отфильтровывали от гидрохлорида трет-бутиламина, из фильтрата отгоняли эфир и остаток перегоняли в вакууме. Выход: I фракция – 2.5 г (51%), т.кип.129–134оС (4 мм рт.ст.), Rf 0.53; и II фракция – 3.0 г (39%), т.кип. 225–230оС (4 мм рт.ст.), Rf 0.49. Действием на эфирные растворы каждой фракции эфирным раствором хлористого водорода получали гидрохлориды. Из первой фракции выделяли гидрохлорид метил-5-((трет-бутиламино)метил)фуран-2-карбоксилата (2d), т.пл. 210–212оС. Спектр ЯМР 1Н, δ, м.д.: 1.42 с (9Н, 3.СН3), 3.85 с (3Н, ОСН3), 4.17 т (2Н, NСН2, J 6.2 Гц), 7.06 д (1Н, Н-4 fur., J 3.5 Гц), 7.18 д (1Н, Н-3 fur., J 3.5 Гц), 10.15 уш.с (2Н, NН и НCl). Спектр ЯМР 13С, δ, м.д.: 25.0 (3СН3), 36.8 (СН2), 51.1 (ОСН3), 56.4 (СН3), 114.0 (СН), 118.5 (СН), 143.6, 150.5, 157.5. Найдено, %: С 53.12; Н 7.52; N 5.45. С11Н17NО3.НCl. Вычислено, %: С 53.33; Н 7.32; N 5.65.
Из второй фракции выделяли гидрохлорид диметил-5,5'-((трет-бутилазандиил)бис(метилен))бис(фуран-2-карбоксилата) (3), т.пл. 170–171оС. Спектр ЯМР 1Н, δ, м.д.: 1.50 уш.с (9Н, 3СН3), 3.84 с (6Н, 2ОСН3), 4.41 уш.с (4Н, 2СН2), 6.94 уш.с (2Н, 2Н-4 fur.), 7.09 д (2Н, 2Н-3 fur., J 3.5 Гц), 12.45 уш.с (1Н, НCl). Спектр ЯМР 13С, δ, м.д.: 24.7 (3СН3), 44.2 (2СН2), 51.1 (2ОСН3), 64.2 (С), 115.5 (2СН), 118.3, 143.9 (2СН), 148.8, 157.3. Найдено, %: С 56.37; Н 6.41; N 3.48. С18Н23NО6.НCl. Вычислено, %: С 56.03; Н 6.27; N 3.63.
Гидрохлорид метил-5-((втор-бутиламино)метил)фуран-2-карбоксилата (2е). Смесь 5.2 г (0.03 моль) хлорида 1 и 4.4 г (0.06 моль) втор-бутиламина в 50 мл эфира оставляли при комнатной температуре в течение 72 ч. Отфильтровывали от гидрохлорида втор-бутиламина, из фильтрата отгоняли эфир и остаток перегоняли в вакууме. Выход 4.3 г (68%), т.кип. 118–121оС (2 мм рт.ст.), Rf 0.52. Действием на эфирный раствор основания эфирным раствором хлористого водорода выделяли гидрохлорид 2е, т.пл. 130–131оС. Спектр ЯМР 1Н, δ, м.д.: 0.97 т (3Н, СН3СН2, J 7.5 Гц), 1.34 д (3Н, СН3СН, J 6.5 Гц), 1.54–1.70 м (1Н) и 1.87–2.01 м (1Н, СН3СН2), 3.01 уш.с (1Н, СН), 3.84 с (3Н, ОСН3), 4.25 уш.с (2Н, NСН2), 7.00 д (1Н, Н-4 fur., J 3.5 Гц), 7.16 д (1Н, Н-3 fur., J 3.5 Гц), 10.00 уш.с (1Н, NН), 10.11 уш.с (1Н, НCl). Спектр ЯМР 13С, δ, м.д.: 9.5 (СН3), 14.6 (СН3), 24.8 (СН2), 39.2 (СН2N), 51.1 (ОСН3), 54.0 (СН), 114.1 (СН), 118.4 (СН), 143.9, 150.1, 157.5. Найдено, %: С 53.61; Н 7.43; N 5.49. С11Н17NО3.НCl. Вычислено, %: С 53.33; Н 7.32; N 5.65.
Диметил-5,5'-(пиперазин-1,4-диилбис(метилен))бис(фуран-2-карбоксилат) (4). Смесь 3.5 г (0.02 моль) хлорида 1 и 3.5 г (0.04 моль) пиперазина в 50 мл толуола кипятили 5 ч. Образовавшиеся кристаллы отфильтровывали и перекристаллизовывали из этанола. Выход 2.8 г (79%), т.пл. 129–130оС, Rf 0.41. Спектр ЯМР 1Н, δ, м.д.: 2.52 уш.с (8Н, СН2, C4H8N2), 3.75 уш.с (4Н, СН2), 3.80 с (6Н, ОСН3), 6.35 д (2Н, fur., J 3.4 Гц), 7.08 д (2Н, fur., J 3.4 Гц). Спектр ЯМР 13С, δ, м.д.: 50.7 (2СН2), 50.8 (2СН3О), 51.9 (2СН2), 53.9 (2СН2), 110.0 (2СН), 118.0 (2СН), 143.0, 156.0, 157.6. Найдено, %: 59.41; Н 6.28; N 7.61. С18Н22N2О6. Вычислено, %: С 59.66; Н 6.12; N 7.73. T.пл. дигидрохлорида 219–220оС.
Дигидрохлорид 5-((4-(4-метоксибензил)пиперазин-1-ил)метил)фуран-2-карбоновой кислоты (5b). Смесь 1.0 г (0.003 моль) аминоэфира 2b и 10 мл концентрированной соляной кислоты кипятили 5 ч. Отгоняли воду и остаток перекристаллизовывали из спирта. Выход 0.7 г (60%), т.пл. 134–136oС, Rf 0.44 (бутанол–уксусная кислота–вода, 5 : 3 : 3). Спектр ЯМР 1Н, δ, м.д.: 3.18 уш.с (8Н, 4.СН2, C4H8N2), 3.83 с (3Н, ОСН3), 4.33 уш.с (4Н, СН2), 6.80 д (1Н, Н-4 fur., J 3.5 Гц), 7.44–7.50 м (2Н, Н-2,2'Ph), 7.55 д (1Н, Н-3 fur., J 3.5 Гц), 7.65–7.73 м (2Н, Н-3,3'Ph), 12.5 уш.с (2Н, 2.НCl). Найдено, %: С 53.34; Н 6.21; N 7.08. С18Н22N2О4.2НCl. Вычислено, %: С 53.61; Н 6.00; N 6.95.
Гидрохлорид 5-((диизопропиламино)метил)фуран-2-карбоновой кислоты (5c) получали аналогично соединению 5b из 1.4 г (0.005 моль) эфира 2c. Выход 1.0 г (75%), т.пл. 180–182оС, Rf 0.42 (бутанол–уксусная кислота–вода, 5 : 3 : 3). Спектр ЯМР 1Н, δ, м.д.: 1.31–1.53 уш.с (12Н, 4СН3), 3.70 септ. (2Н, 2СН, J 6.1 Гц), 4.43 с (2Н, СН2), 7.03 д (1Н, Н-4 fur., J 3.5 Гц), 7.11 д (1Н, Н-3 fur., J 3.5 Гц), 11.70 уш.с (1Н, НCl), 12.60 уш.с (1Н, СООН). Спектр ЯМР 13С, δ, м.д.: 16.8 (2СН3), 18.1 (2СН3), 41.2 (СН2), 53.3 (2СН), 115.2 (СН), 117.7 (СН), 145.4, 148.3, 158.5. Найдено, %: С 55.39; Н 7.51; N 5.50. С12Н19NО3.НCl. Вычислено, %: С 55.06; Н 7.70; N 5.35.
Гидрохлорид 5-((втор-бутиламино)метил)фуран-2-карбоновой кислоты (5e) получен аналогично соединению 5b из 1.2 г эфира 2е. Выход 0.8 г (70.7%), т.пл. 163–165оС, Rf 041 (бутанол–уксусная кислота–вода, 5 : 3 : 3). Спектр ЯМР 1Н, δ, м.д.: 0.95 т (3Н, СН3СН2, J 7.4 Гц), 1.30 д (3Н, СН3СН, J 6.4 Гц), 1.52–1.68 м (1Н) и 1.86–2.00 м (1Н, СН3СН2), 3.00 уш.с (1Н, СН), 4.24 с (2Н, NСН2), 6.97 д (1Н, Н-4 fur., J 3.5 Гц), 7.12 д (1Н, Н-3 fur., J 3.5 Гц), 10.88 уш.с (2Н, NH, HCl). Найдено, %: С 51.62; Н 6.79; N 5.84. С10Н15NО3.НCl. Вычислено, %: С 51.40; Н 6.90; N 5.99.
Дигидрохлорид 5,5’-(пиперазин-1,4-диилбис(метилен))бис(фуран-2-карбоновой кислоты) (7a). Суспензию 1.8 г диэфира 4 в 30 мл 20%-ного водного раствора NaOH нагревали до образования прозрачного раствора. По охлаждении подкисляли HCl, образовавшиеся кристаллы отфильтровывали, сушили и перекристаллизовывали из спирта. Выход 1.5 г (75%), т.пл. 198–200оС, Rf 0.38 (бутанол–уксусная кислота–вода, 5 : 3 : 3). Спектр ЯМР 1Н, δ, м.д.: 3.12 уш.с (8Н, 4.СН2, C4H8N2), 4.20 уш.с (4Н, 2СН2), 6.78 уш.д (2Н, fur., J 3.5 Гц), 7.21 д (2Н, fur., J 3.5 Гц), 12.6 уш.с (2Н, 2НCl). Спектр ЯМР 13С, δ, м.д.: 48.9 (4СН2), 51.1 (2СН2), 114.6 (2СН), 118.4 (2СН), 145.6 (2С), 150.3 (2С), 159.0 (2С). Найдено, %: С 47.36; Н 4.79; N 6.69. С16Н18N2О6.2НCl. Вычислено, %: С 47.19; Н 4.95; N 6.88.
Гидрохлорид 5-((диизопропиламино)метил)-N-метилфуран-2-карбоксамида (6c). К раствору 1.1 г (0.004 моль) аминоэфира 2c в 10 мл спирта прибавляли 10 мл 30%-ного раствора метиламина в спирте и оставляли при комнатной температуре в течение 48 ч. Отгоняли растворитель, остаток растворяли в эфире и действием эфирного раствора хлористого водорода выделяли гидрохлорид. Выход 0.8 г (73%), т.пл. 171–172оС (спирт), Rf 0.51 (бутанол–уксусная кислота–вода, 5 : 3 : 3). Спектр ЯМР 1Н, δ, м.д.: 1.39 д (6Н, 2.СН3, J 6.6 Гц), 1.47 д (6Н, 2СН3, J 6.6 Гц), 2.81 д (3Н, NСН3, J 4.7 Гц), 3.67–3.77 м (2Н, 2.СН), 4.44 д (2Н, СН2, J 4.8 Гц), 6.71 д (1Н, Н-4 fur., J 3.4 Гц), 6.92 д (1Н, Н-3 fur., J 3.4 Гц), 8.60 уш.к (1Н, NН, J 4.8 Гц), 11.19 уш.с (1Н, НCl). Спектр ЯМР 13С, δ, м.д.: 16.8 (2СН3), 18.1 (2СН3), 24.9 (СН3), 42.0 (СН2), 54.3 (СН3), 112.63 (СН), 112.68 (СН), 146.0, 148.7, 157.4. Найдено, %: С 56.61; Н 8.63; N 10.33. С13Н22N2О2.НCl. Вычислено, %: С 56.82; Н 8.44; N 10.19.
Гидрохлорид 5-((втор-бутиламино)метил)-N-метилфуран-2-карбоксамида (6e) получен аналогично соединению 6c из 1.0 г (0.004 моль) аминоэфира 2e. Выход 0.7 г (70%), т.пл. 150–152оС (спирт), Rf 0.49 (бутанол–уксусная кислота–вода, 5 : 3 : 3). Спектр ЯМР 1Н, δ, м.д.: 0.97 т (3Н, СН3СН2, J 7.5 Гц), 1.35 д (3Н, СН3СН, J 6.5 Гц), 1.55–1.70 м (1Н) и 1.91–2.04 м (1Н, СН3СН2), 2.80 д (3Н, СН3NН, J 4.8 Гц), 2.99–3.12 м (1Н, СН3СН), 4.22 уш.с (2Н, СН3N), 6.69 д (1Н, Н-4 fur., J 3.4 Гц), 6.95 д (1Н, Н-3 fur., J 3.4 Гц), 8.41 уш.к (1Н, СН3NН, J 4.8 Гц), 9.85 уш.с (2Н, NН и НCl). Спектр ЯМР 13С, δ, м.д.: 9.5 (СН3), 14.6 (СН3), 24.8 (СН2), 25.0 (СН3N), 39.5 (СН2N), 54.2 (СНN), 112.4 (СН), 112.6 (СН), 146.5, 148.4, 157.5. Найдено, %: С 53.71; Н 7.53; N 11.17. С11Н18N2О2.НCl. Вычислено, %: С 53.55; Н 7.76; N 11.35.
5,5'-(Пиперазин-1,4-диилбис(метилен))бис(N-метилфуран-2-карбоксамид) (7b) получен аналогично соединению 6c из 1.1 г (0.003 моль) диэфира 4. Выход 0.8 г (73%), т.пл.205–206оС, Rf 0.53 (метанол). Спектр ЯМР 1Н, δ, м.д.: 2.44 уш.с (8Н, 4.СН2, C4H8N2), 2.76 д (6Н, 2.СН3, J 4.7 Гц), 3.50 с (4Н, 2.СН2), 6.28 д (2Н, fur., J 3.3 Гц), 6.89 д (2Н, fur., J 3.3 Гц), 7.89 уш.к (2Н, 2.NН, J 4.7 Гц). Спектр ЯМР 13С, δ, м.д.: 25.2 (2СН3), 51.9 (4СН2), 53.9 (2СН2), 110.1 (2СН), 113.0 (2СН), 147.5 (2С), 153.1 (2С), 157.8 (2С). Найдено, %: С 59.67; Н 6.59; N 15.72. С18Н24N4О4. Вычислено, %: С 59.99; Н 6.71; N 15.55.
Гидразиды 8а–d. Общая методика. Смесь 0.01 моль основания соответствующего аминоэфира и 15 мл гидразингидрата в 10 мл этилового спирта кипятили 4 ч. Отгоняли растворители, кристаллический остаток перекристаллизовывали.
5-((4-Фенилпиперазин-1-ил)метил)фуран-2-карбогидразид (8a) получен из 3.0 г эфира 2a. Выход 1.8 г (60%), т.пл.118–120оС (бензол). Спектр ЯМР 1Н, δ, м.д.: 2.58–2.64 м (4Н, 2СН2), 3.11–3.17 м (4Н, 2СН2), 3.60 с (2Н, СН2), 4.16 уш.с (2Н, NH2), 6.31 д (1Н, Н-4 fur., J 3.3 Гц), 6.69–6.76 м (1Н, Н-4 Ph), 6.80–6.85 м (2Н, Н-2,2'Ph), 6.98 д (1Н, Н-3 fur., J 3.3 Гц), 7.11–7.18 м (2Н, Н-3,3'Ph), 9.27 уш.с (1Н, NН). Спектр ЯМР 13С, δ, м.д.: 48.2 (2СН2), 52.0 (2СН2), 54.0 (СН2), 109.8 (СН), 113.1 (CH),115.3 (2СН), 118.6 (СН), 128.3 (2СН), 146.2, 150.5, 153.2, 157.6. Найдено, %: С 63.71; Н 6.52; N 18.90. С16Н20N4О2. Вычислено, %: С 63.98; Н 6.71; N 18.65.
5-((4-(4-Метоксибензил)пиперазин-1-ил)метил)фуран-2-карбогидразид (8b) получен из 3.5 г эфира 2b. Выход 2.2 г (63%), т.пл. 141–142оС (бензол). Спектр ЯМР 1Н, δ, м.д.: 2.37 уш.с (4Н) и 2.44 уш.с (4Н, 4СН2, C4H8N2), 3.37 с (2Н, СН2), 3.51 с (2Н, СН2), 3.75 с (3Н, СН3), 4.19 уш.с (2Н, NH2), 6.24 д (1Н, fur., J 3.4 Гц), 6.73–6.78 м (2Н, С6Н4), 6.95 д (1Н, fur., J 3.4 Гц), 7.11–7.16 м (2Н, С6Н4), 9.20 уш.с (1Н, NН). Спектр ЯМР 13С, δ, м.д.: 52.0 (2СН2), 52.2 (2СН2), 54.0 (СН2), 54.4 (СН3), 61.5 (СН2), 109.5 (СН), 112.9 (2СН), 113.0 (CH), 129.4 (2СН), 129.6, 146.1, 153.4, 157.6, 158.0. Найдено, %: С 62.59; Н 7.21; N 16.43. С18Н24N4О3. Вычислено, %: С 62.77; Н 7.02; N 16.27.
5-(Диизопропиламино)метилфуран-2-карбогидразид (8c) получали из 2.4 г аминоэфира 2c. Выход 1.7 г (71%), т.пл. 68–69оС (гексан). Спектр ЯМР 1Н, δ, м.д.: 1.02 д (12Н, 4СН3, J 6.6 Гц), 3.05 септ (2Н, 2СН, J 6.6 Гц), 3.63 с (2Н, СН2), 4.06 уш.с (2Н, NН2), 6.20 д.т (1Н, Н-4 fur., J 3.4 и 1.0 Гц), 6.93 д (1Н, Н-3 fur., J 3.4 Гц), 9.03 уш.с (1Н, NН). Спектр ЯМР 13С, δ, м.д.: 20.3 (4СН3), 41.9 (СН2), 48.1 (2СН), 107.3 (СН), 113.3 (СН), 145.2, 157.9, 158.5. Найдено, %: С 60.48; Н 8.65; N 17.74. С12Н21N3О2. Вычислено, %: С 60.23; Н 8.84; N 17.56.
5-((трет-Бутиламино)метил)фуран-2-карбогидразид (8d) получен из 2.1 г эфира 2d. Выход 1.4 г (66%), т.пл. 144–145оС (спирт). Спектр ЯМР 1Н, δ, м.д.: 1.43 уш.с (9Н, 3.СН3), 3.52 уш.с (2Н, СН2), 4.17 уш.с (2Н, NН2), 6.75 д (1Н, Н-4 fur., J 3.3 Гц), 7.01 д (1Н, Н-3 fur., J 3.3 Гц), 9.01 уш.с (1Н, NН). Спектр ЯМР 13С, δ, м.д.: 25.1 (3СН3), 37.1 (СН2), 56.5 (С), 112.5 (СН), 113.2 (СН), 146.9, 147.4, 157.1. Найдено, %: С 57.00; Н 7.92; N 19.71. С10Н17N3О2. Вычислено, %: С 56.85; Н 8.11; N 19.89.
5,5'-(Пиперазин-1,4-диилбис(метилен))бис(фуран-2-карбогидразид) (7c) получен из 3.6 г диэфира 4. Выход 2.5 г (69%), т.пл. 244–245оС (бензол). Спектр ЯМР 1Н, δ, м.д.: 2.40 уш.с (8Н, 4СН2, C4H8N2), 3.49 уш.с (4Н, 2СН2), 4.38 уш.с (4Н, 2NН2), 6.37 уш.д (2Н, fur., J 3.4 Гц), 7.00 д (2Н, fur., J 3.4 Гц), 9.51 уш.с (2Н, 2.NН). Спектр ЯМР 13С, δ, м.д.: 52.1 (4СН2), 53.8 (2СН2), 110.2 (2СН), 113.2 (2СН), 146.2 (2С), 154.0 (2С), 157.9 (2С). Найдено, %: С 53.31; Н 6.00; N 22.98. С16Н22N6О4. Вычислено, %: С 53.03; Н 6.12; N 23.19.
5,5'-((трет-Бутилазандиил)бис(метилен)бис(фуран-2-карбогидразид) (11) получен из 3.9 г (0.01 моль) эфира 3. Выход 2.3 г (65%), т.пл. 85–87оС (бензол). Спектр ЯМР 1Н, δ, м.д.: 1.43 уш.с (9Н, 3СН3), 3.52 уш.с (4Н, 2СН2), 4.28 уш.с (4Н, 2.NН2), 6.74 д (2Н, 2.Н-4 fur., J 3.3 Гц), 7.01 д (2Н, 2Н-3 fur., J 3.3 Гц), 9.01 уш.с (2Н, NН). Найдено, %: С 55.23; Н 6.41; N 20.19. С16Н23N5О4. Вычислено, %: С 55.00; Н 6.64; N 20.04.
N'-Бензоил-5-((4-фенилпиперазин-1-ил)метил)фуран-2-карбогидразид (9). K смеси 1.2 г (0.004 моль) гидразида 8a и 0.4 г (0.004 моль) триэтиламина в 30 мл диоксана прибавляли 0.56 г (0.004 моль) бензоилхлорида и нагревали 5 ч. По охлаждении выливали в воду, образовавшиеся кристаллы отфильтровывали, сушили и перекристаллизовывали. Выход 1.1 г (69%), т.пл.97–98оС (эфир). Спектр ЯМР 1Н, δ, м.д.: 2.61–2.70 м (4Н) и 3.13–3.21 м (4Н, 4.СН2, C4H8N2), 3.65 с (2Н, СН2), 6.40 д (1Н, fur., J 3.3 Гц), 6.70–6.76 м (1Н, Н-4 Ph), 6.82–6.88 м (2Н, Н-2,2' Ph), 7.12–7.19 м (2Н, Н-3,3' Ph), 7.16 д (1Н, fur., J 3.3 Гц), 7.41–7.54 м (3Н, Н-3,3',4 СОPh), 7.93–7.98 м (2Н, Н-2,2' СОPh), 10.23 уш.с (2Н, 2.NН). Спектр ЯМР 13С, δ, м.д.: 48.2 (2СН2), 52.2 (2.СН2), 54.1 (СН2), 110.0 (СН), 114.6 (CH), 115.3 (2СН), 118.6 (CH), 127.4 (2СН), 127.6 (2СН), 128.3 (2СН), 130.9 (СН), 132.4, 145.8, 150.7, 154.0, 156.8, 165.2. Найдено, %: С 68.57; Н 5.74; 13.71. С23Н24N4О3. Вычислено, %: С 68.30; Н 5.98; N 13.85.
5,5'-((трет-Бутилазандиил)бис(метилен))бис(N'-бензоилфуран-2-карбогидразид) (12) получен аналогично соединению 9 из 2.1 г (0.006 моль) гидразида 11 и 1.7 г (0.012 моль) бензоилхлорида. Выход 2.5 г (75%), т.пл. 242–243оС. Спектр ЯМР 1Н, δ, м.д.: 1.19 с (9Н, 3СН3), 3.90 уш.с (4Н, 2СН2), 6.30 д (2Н, fur., J 3.4 Гц), 7.03 д (2Н, fur., J 3.4 Гц), 7.39–7.54 м (6Н, Н-3,3',4 Ph), 7.92–7.98 м (4Н, Н-2,2' Ph), 10.10 уш.с (2Н, 2NН), 10.37 уш.с (2Н, 2NН). Спектр ЯМР 13С, δ, м.д.: 26.9 (3СН3), 45.4 (СН2), 54.6 (С), 108.9 (СН), 114.9 (СН), 127.4 (СН), 127.6 (СН), 130.9, 132.3, 144.9, 156.9, 157.5, 165.4. Найдено, %: С 64.39; Н 5.79; N 12.71. С30Н31N5О6. Вычислено, %: С 64.62; Н 5.60; N 12.56.
2-Фенил-5-(5-((4-фенилпиперазин-1-ил)метил)фуран-2-ил)-1,3,4-оксадиазол (10).
Метод А. Смесь 0.8 г (0.002 моль) амида 9 и 7 мл хлорокиси фосфора в 20 мл толуола нагревали 2 ч. Отгоняли растворители и к остатку прибавляли холодную воду. Водный кислый раствор подщелачивали аммиачной водой, образовавшиеся кристаллы отфильтровывали, сушили и перекристаллизовывали. Выход 0.5 г (65%), т.пл. 170–171оС (бензол), Rf 0.50 (бензол–ацетон, 3 : 1). Спектр ЯМР 1Н, δ, м.д.: 2.64–2.71 м (4Н, 2СН2), 3.14–3.21 м (4Н, 2СН2), 3.72 с (2Н, СН2), 6.55 д (1Н, fur., J 3.4 Гц), 6.70–6.76 м (1Н, Н-4 Ph), 6.81–6.87 м (2Н, Н-2,2' Ph), 7.11–7.19 м (2Н, Н-3,3' Ph), 7.23 д (1Н, fur., J 3.4 Гц), 7.51–7.60 м (3Н, Н-2,2',4 Ph), 8.06–8.13 м (2Н, Н-3,3' Ph). Спектр ЯМР 13С, δ, м.д.: 48.2 (2СН2), 52.1 (2СН2), 53.9 (СН2), 110.7 (СН), 114.3 (СН), 115.3 (2СН), 118.6 (СН), 123.1, 126.3 (2СН), 128.3 (2СН), 128.6 (2СН), 131.1 (СН), 138.1, 150.6, 155.4, 156.4, 162.7. Найдено, %: С 71.74; Н 5.61; N 14.69. С23Н22N4О2. Вычислено, %: С 71.48; Н 5.74; N 14.50.
Метод Б. Смесь 0.9 г (0.003 моль) гидразида 8a, 0.4 г (0.003 моль) хлорангидрида бензойной кислоты и 8 мл хлорокиси фосфора в 20 мл толуола нагревали 3 ч. Отгоняли растворители, остаток растворяли в воде, экстрагировали бензолом, водный раствор подщелачивали Na2CO3, экстрагировали бензолом, сушили, отгоняли бензол, остаток перекристаллизовывали. Выход 0.6 г (52%), т.пл. 170–171оС (бензол).
2-Метил-N,N-бис((5-(5-фенил-1,3,4-оксадиазол-2-ил)фуран-2-ил)метил)пропан-2-амин (13) получен аналогично соединению 10 по методу А из 1.2 г (0.002 моль) амида 12. Выход 0.8 г (71%), т.пл. 103–104оС (эфир), Rf 0.57 (бензол–ацетон, 3:1). Спектр ЯМР 1Н, δ, м.д.: 1.25 с (9Н, 3СН3), 3.96 уш.с (4Н, 2СН2), 6.47 уш.д (2Н, fur., J 3.4 Гц), 7.10 д (2Н, fur., J 3.4 Гц), 7.48–7.58 м (6Н) и 7.99–8.06 м (4Н, 2.Ph). Спектр ЯМР 13С, δ, м.д.: 26.8 (3СН3), 45.4 (2СН2), 54.7 (С), 109.6 (2СН), 114.4 (2СН), 123.1, 126.2 (4СН), 128.5 (4СН), 131.0 (2СН), 137.4, 156.4, 158.3, 162.5. Найдено, %: С 69.28; Н 5.41; N 13.20. С30Н27N5О4. Вычислено, %: С 69.08; Н 5.22; N 13.43.
N-Изопропил-N-((5-(5-фенил-1,3,4-оксадиазол-2-ил)фуран-2-ил)метил)пропан-2-амин (14a) получен аналогично соединению 10 по методу Б из 0.96 г (0.004 моль) гидразида 8c и 0.56 г (0.004 моль) бензоилхлорида. Выход 0.7 г (54%), т.пл. 84–85оС (гексан), Rf 0.51 (бензол–ацетон, 3:1). Спектр ЯМР 1Н, δ, м.д.: 1.07 д (12Н, 4СН3, J 6.6 Гц), 3.10 септ (2Н, 2СН, J 6.6 Гц), 3.76 уш.с (2Н, СН2), 6.42 д.т (1Н, fur., J 3.4 и 0.9 Гц), 7.16 д (1Н, fur., J 3.4 Гц), 7.51–7.60 м (3Н) и 8.04–8.11 м (2Н, С6Н5). Спектр ЯМР 13С, δ, м.д.: 20.3 (4СН3), 42.0 (СН2), 48.3 (2СН), 108.3 (СН), 114.5 (СН), 123.2, 126.2 (2СН),128.6 (2СН), 131.0 (СН), 137.1, 156.5, 160.8, 162.5. Найдено, %: С 70.38; Н 7.27; N 12.65. С19Н23N3О2. Вычислено, %: С 70.13; Н 7.12; N 12.91.
2-(5-((4-(4-Метоксибензил)пиперазин-1-ил)метил)фуран-2-ил)-5-фенил-1,3,4-оксадиазол (14b) получен аналогично соединению 10 по методу Б из 1.0 г (0.003 моль) гидразида 8b и 0.4 г (0.003 моль) бензоилхлорида. Выход 0.7 г (56%), т.пл. 134–135оС (бензол–эфир, 2 : 1), Rf 0.55 (бензол–ацетон, 3 : 1). Спектр ЯМР 1Н, δ, м.д.: 2.42 уш.с (4Н, 2СН2), 2.51 уш.с (4Н, 2СН2), 3.40 уш.с (2Н, СН2), 3.64 уш.с (2Н, СН2), 3.75 с (3Н, ОСН3), 6.48 уш.д (1Н, fur., J 3.4 Гц), 6.73–6.78 м (2Н) и 7.12–7.17 м (2Н, С6Н4), 7.20 д (1Н, fur., J 3.4 Гц), 7.51–7.60 м (3Н) и 8.04–8.12 м (2Н, С6Н5). Спектр ЯМР 13С, δ, м.д.: 52.1 (4СН2), 53.9 (СН2), 54.4 (СН3), 61.5 (СН2), 110.5 (СН), 112.9 (2СН), 114.3 (СН), 123.1, 126.2 (2СН),128.6 (2СН), 129.4 (2СН), 131.1 (СН), 138.0, 155.7, 156.5, 158.0, 162.7. Найдено, %: С 70.01; Н 5.82; N 13.25. С25Н26N4О3. Вычислено, %: С 69.75; Н 6.09; N 13.01.
N-(5-(5-(Фуран-2-ил)-1,3,4-оксадиазол-2-ил)метил)-N-изопропилпропан-2-амин (14c) получен аналогично соединению 10 по методу Б из 0.96 г (0.004 моль) гидразида 8c и 0.5 г (0.004 моль) хлорангидрида фуранкарбоновой кислоты. Выход 0.65 г (51.7%), т.пл. 105–106оС (бензол–эфир, 2 : 1), Rf 0.54 (бензол–ацетон, 3 : 1). Спектр ЯМР 1Н, δ, м.д.: 1.05 д (12Н, 4СН3, J 6.7 Гц), 3.08 септ. (2Н, 2СН, J 6.7 Гц), 3.74 уш.с (2Н, СН2), 6.42 д.т (1Н, fur., J 3.5 и 1.0 Гц), 7.06 д (1Н, fur., J 3.5 Гц), 7.20 д (1Н, fur., J 3.5 Гц), 7.25 д.д (1Н, fur., J 3.5, 0.6 Гц), 7.81 д.д (1Н, fur., J 1.8, 0.6 Гц). Спектр ЯМР 13С, δ, м.д.: 20.3 (4СН3), 46.0 (СН2), 48.3 (2СН), 110.8 (СН), 111.6 (СН), 113.5 (СН), 114.3 (СН), 137.8, 138.4, 145.8 (СН), 150.6, 155.6, 155.7. Найдено, %: С 64.52; Н 6.59; N 13.48. С17Н21N3О3. Вычислено, %: С 64.74; Н 6.71; N 13.32.
5-(5-((4-Фенилпиперазин-1-ил)метил)фуран-2-ил)-2-фуран-2-ил-1,3,4-оксадиазол (14d) получен по методу Б из 0.9 г ( 0.003 моль) гидразида 8a и 0.4 г (0.003 моль) хлорангидрида фуранкарбоновой кислоты. Выход 0.6 г (53%), т.пл. 133–135оС (бензол–диэтиловый эфир, 2 : 1), Rf 0.52 (бензол–ацетон, 3 : 1). Спектр ЯМР 1Н, δ, м.д.: 2.64–2.70 м (4Н, 2СН2), 3.15–3.21 м (4Н, 2СН2), 3.72 с (2Н, СН2), 6.55 д (1Н, fur., J 3.5 Гц), 6.70 д.д (1Н, fur., J 3.5, 1.8 Гц), 6.71–6.76 м (1Н, Н-4 Ph), 6.81–6.87 м (2Н, Н-2,2' Ph), 7.12–7.19 м (2Н, Н-3,3' Ph), 7.22 д (1Н, fur., J 3.5 Гц), 7.27 д.д (1Н, fur., J 3.5, 0.6 Гц), 7.86 д.д (1Н, fur., J 1.8, 0.6 Гц). Спектр ЯМР 13С, δ, м.д.: 48.2 (2СН2), 52.1 (2СН2), 53.9 (СН2), 110.8 (СН), 111.8 (СН), 113.8 (СН), 114.6 (СН), 115.3 (2СН), 118.7 (СН), 128.3 (2СН), 137.8, 138.4, 145.8 (СН), 150.6, 155.6 (2С), 155.7. Найдено, %: С 67.29; Н 5.52; N 14.69. С21Н20N4О3. Вычислено, %: С 67.01; Н 5.36; N 14.88.
ЗАКЛЮЧЕНИЕ
Исследованы возможности синтеза бисгетероциклической системы, в которой фурановое кольцо непосредственно связано с ядром 1,3,4-оксадиазола. Получены диамиды замещенных гидразидов фуранкарбоновых кислот, которые подвергнуты внутримолекулярной циклизации с образованием таргетных соединений. Разработан метод, позволяющий осуществить переход к вышеуказанным бисгетероциклам в одну стaдию без выделения амидных производных.
КОНФЛИКТ ИНТЕРЕСОВ
Авторы заявляют об отсутствии конфликта интересов.
Авторлар туралы
A. Aghekyan
The Scientific Technological Centre of Organic and Pharmaceutical Chemistry NAS RA
Хат алмасуға жауапты Автор.
Email: aaghekyan@mail.ru
ORCID iD: 0000-0001-6151-4951
Армения, prosp. Azatutyana, 26, Yerevan, 0014
H. Panosyan
The Scientific Technological Centre of Organic and Pharmaceutical Chemistry NAS RA
Email: aaghekyan@mail.ru
ORCID iD: 0000-0001-8311-6276
Армения, prosp. Azatutyana, 26, Yerevan, 0014
Zh. Buniatyan
The Scientific Technological Centre of Organic and Pharmaceutical Chemistry NAS RA
Email: aaghekyan@mail.ru
ORCID iD: 0000-0002-3152-3176
Армения, prosp. Azatutyana, 26, Yerevan, 0014
R. Muradyan
The Scientific Technological Centre of Organic and Pharmaceutical Chemistry NAS RA
Email: aaghekyan@mail.ru
ORCID iD: 0000-0002-4110-9454
Армения, prosp. Azatutyana, 26, Yerevan, 0014
G. Mkryan
The Scientific Technological Centre of Organic and Pharmaceutical Chemistry NAS RA
Email: aaghekyan@mail.ru
ORCID iD: 0000-0001-9879-9524
Армения, prosp. Azatutyana, 26, Yerevan, 0014
Әдебиет тізімі
- Lukevits É., Demicheva L. Chem. Heterocycl. Compd. 1993, 29, 243–267. doi: 10.1007/BF00531499
- Loğoğlu E., Yilmaz M., Katircioğlu H., Yakut M., Mercan S. Med. Chem. Res. 2010, 19, 490–497. doi: 10.1007/s00044-009-9206-8
- Dai B., Ma X., Tang Y., Xu L., Chen X., Lu S., Wang G., Liu Y. Bioorg. Med. Chem. 2021, 29, 115891. doi: 10.1016/j.bmc.2020.115891
- Alizadeh M., Jalal M., Hamed K., Saber A., Kheirouri S., Pourteymour Fard Tabrizi F., Kamari N. J. Inflamm. Res. 2020, 13, 451–463. doi: 10.2147/JIR.S262132
- Tomasic T., Masic L. Curr. Med. Chem., 2009, 16, 1596–1629. doi: 10.2174/092986709788186200
- Игидов С.Н., Турышев А.Ю., Махмудова Р.Р., Шипиловских Д.А., Игидов Н.М., Шипиловских С.А. ЖOX, 2022, 92,1378–1386. [Igidov S.N., Turyshev A.Yu., Makhmudov R.R., Shipilovskikh D.A., Igidov N.M, Shipilovskikh S.A. Russ. J. Gen. Chem. 2022, 92, 1629–1636.] doi: 10.1134/S1070363222090067
- Yusuf Sicak Med. Chem. Res. 2021, 30, 1557–1568. doi: 10.1007/s00044-021-02756-z
- Karabelyov V., Kondeva-Burdina M., Angelova V.T. Bioorg. Med. Chem. 2021, 29, 115888. doi: 10.1016/j.bmc.2020.115888
- Rashid M., Husain A., Mishra R. Eur. J. Med. Chem. 2012, 54, 855–866. doi: 10.1016/j.ejmech.2012.04.027
- Арутюнян А.В., Дубинина Е.Е., Зыбина Н.А. Методы оценки свободнорадикального окисления и антиоксидантной системы организма. СПб, ИКФ «Фолиант», 2000, 90–94.
- Владимиров Ю.А., Азизова О.А., Даев А.И., Козлов А.В. Свободные радикалы в живых системах. М: ВИНИТИ, 1991, 29, 126–130.
Қосымша файлдар






