Новые кросс-сопряженные производные хлорциклопентенонов, содержащие при С-3 фрагменты аминокислот
- Авторы: Хасанова Л.С.1, Егоров В.А.1, Абдуллин М.Ф.1, Гималова Ф.А.1
-
Учреждения:
- Уфимский институт химии Уфимского федерального исследовательского центра Российской академии наук
- Выпуск: Том 60, № 7 (2024)
- Страницы: 868-874
- Раздел: Статьи
- URL: https://journals.rcsi.science/0514-7492/article/view/279480
- DOI: https://doi.org/10.31857/S0514749224070062
- EDN: https://elibrary.ru/RBMCXA
- ID: 279480
Цитировать
Полный текст
Аннотация
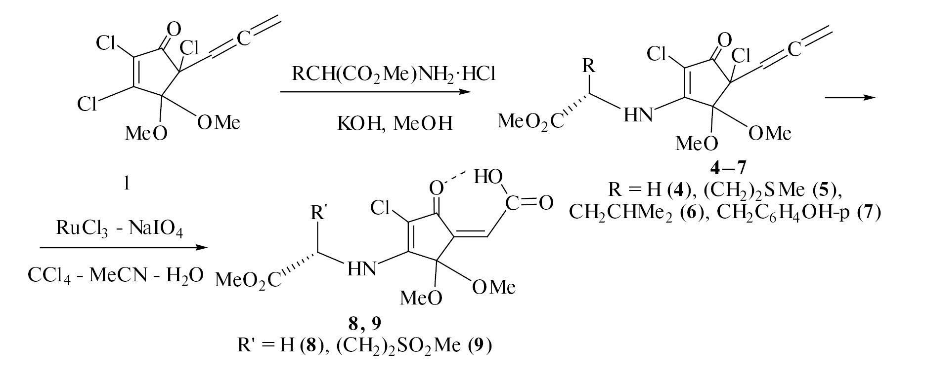
Реакцией 5-алленил-2,3,5-трихлорциклопентенона с метиловыми эфирами глицина, L-метионина, L-лейцина и L-тирозина получены соответствующие AdNE-аддукты, окислительным расщеплением алленового фрагмента которых синтезированы новые 4-карбокcиметилиденовые производные.
Полный текст
ВВЕДЕНИЕ
Несмотря на значительный прогресс в выяснении молекулярных механизмов и клеточной биологии вирусов, грипп продолжает оставаться наиболее серьезным респираторным заболеванием, затрагивающим миллионы людей во всем мире. Особую опасность для здоровья представляют распространенные в последнее время штаммы вируса гриппа H1N1 (свиной грипп) и H1N5 (птичий грипп).
Основным методом профилактики гриппа является вакцинация, благодаря которой возможно достижение частичного успеха в борьбе с эпидемией гриппа. Однако из-за широкого распространения вирусных заболеваний и быстрой мутации вируса гриппа рекомендовано применение противовирусных препаратов, которые оказывают непосредственное воздействие на репродукцию вируса [1] и рассматриваются как экономически эффективный вариант снижения риска быстрого распространения пандемии.
РЕЗУЛЬТАТЫ И ОБСУЖДЕНИЕ
Ранее нами на основе 3-аминопроизводных 5-алленилтрихлорциклопентенона 1 [2] были синтезированы соединения 2a–d (схема 1), среди которых кислота 2а проявила высокую активность в отношении вируса табачной мозаики [3, 4]. Кроме того, соединение 3, полученное взаимодействием 5-аллил-2,3,5-трихлорциклопентенона с метиловым эфиром L-метионина [5, 6], проявило активность в отношении вируса H1N1, сравнимую с активностью арбидола при меньшей токсичности [7].
Схема 1
В данной работе нами осуществлен синтез новых производных хлорциклопентенонов, сочетающих в своей структуре аминокислотный и карбоксиметилиденовые фрагменты. Для осуществления этой задачи вначале были получены соединения 4–7 взаимодействием трихлорциклопентенона 1 с гидрохлоридами метиловых эфиров глицина, L-метионина, L-лейцина и L-тирозина в разработанных ранее условиях [5, 6] в метаноле в присутствии избытка K2CO3 или КОН (схема 2).
Схема 2
Полученные производные 4, 5 после окислительного расщепления в алленовой части действием системы RuCl3(кат.)–NaIO4 в смеси CCl4–ацетонитрил–вода [3, 8] привели к разного типа функционализированным кросс-сопряженным циклопентенонам 8, 9 с умеренными выходами. При этом тиометильная группа в исходном соединении 5 окисляется до сульфона в полученной кислоте 9, что подтверждается сдвигом сигнала метильной группы у атома серы в спектре ПМР в слабое поле (синглет при 2.96 м.д. вместо сигнала при 2.07 м.д. в исходном соединении 5) и сигналом молекулярного иона c m/z 426 [M + H] в масс-спектре соединения 9.
Исключительно селективное генерирование тризамещенной Z-конфигурации экзоциклической двойной связи в соединениях 8, 9 связано с образованием внутримолекулярной водородной связи, как показано на схеме 2, что нами ранее было подтверждено рентгеноструктурным анализом (РСА) соединения 2а [9].
Выход соответствующих кислот при окислении соединений 6 и 7 с использованием системы RuCl3(кат.)–NaIO4 оказался очень низким, поэтому для их окисления была использована система OsO4(кат.)–NaIO4 в смеси ТГФ–вода, при этом получается смесь Z,E-изомеров кислот 10 и 11 (схема 3).
Схема 3
Структура полученных соединений доказана данными спектров ЯМР и масс-спектрометрии. Кислоты 8–11 представляют интерес в качестве потенциальных лекарственных средств.
ЭКСПЕРИМЕНТАЛЬНАЯ ЧАСТЬ
ИК спектры сняты на спектрофотометре «Shimadzu IR Prestige-21» (Япония) в пленке или вазелиновом масле. Спектры ЯМР записаны на спектрометре Bruker AM-300 (Германия) [рабочие частоты 300.13 (1H) и 75.47 МГц (13С)] или Bruker AVANCE-500 (Германия) [рабочие частоты 500.13 (1H) и 125.77 МГц (13С)] в CDCl3 или ацетоне-d6, в спектре ЯМР 13С за внутренний стандарт принято значение сигналов CDCl3, ацетона-d6 (δ)Н 77.00 и 28.83 м.д.), в спектре ЯМР 1H за внутренний стандарт принято значение сигналов остаточных протонов в CDCl3, ацетоне-d6 (δН 7.27 и 2.07 м.д.). Элементный анализ выполнен на CHNS-анализаторе “Euro EA 3100” (Италия). Масс-спектры ионизации электрораспылением (ИЭР, ESI [electrospray ionization]) получены на ВЭЖХ масс-спектрометре LCMS-2010EV (Shimadzu, Япония), шприцевой ввод, раствор образца в хлороформе/ацетонитриле при расходе 0.1 мл/мин, элюент – ацетонитрил–вода, 95 : 5, в режиме регистрации положительных и отрицательных ионов при потенциале игольчатого ионизирующего электрода 4.5 кВ. Температура капилляра интерфейса 250C, напряжение на капилляре интерфейса 5 В. Скорость потока небулизирующего (распыляющего) газа (азота) 1.5 л/мин для ХИАД. Напряжение на высокочастотных линзах (Q-array) 5 В. Углы оптического вращения измерены на приборе «Perkin-Elmer-341» (США). Температуру плавления определяли на приборе Boetius (PHMK 05 VEB Wagetechnik Rapido, Германия). Ход реакций контролировали методом ТСХ на пластинках «Sorbfil» (Россия) с обнаружением веществ с помощью 10%-ного раствора анисового альдегида в этаноле с добавкой серной кислоты. Продукты реакции выделяли методом колоночной хроматографии на силикагеле (30–60 г адсорбента на 1.0 г вещества).
Метил-N-[2,4-дихлор-5,5-диметокси-3-оксо-4-(пропа-1,2-диен-1-ил)циклопент-1-ен-1-ил]глицинат (4). К перемешиваемой суспензии 0.197 г (1.75 ммоль) гидрохлорида метилового эфира глицина в 2 мл CH2Cl2 прибавляли 0.24 г (1.75 ммоль) безводного K2CO3, массу перемешивали 1 ч при комнатной температуре. Затем осадок отфильтровывали, из раствора упаривали CH2Cl2, остаток растворяли в 5 мл метанола, добавляли раствор 0.2 г (0.71 ммоль) соединения 1 в 2 мл метанола, реакционную массу перемешивали до исчезновения исходного соединения (контроль методом ТСХ, ~24 ч). Затем в реакционную массу прибавляли 5–6 мл воды, метанол упаривали, водный слой подкисляли 1 н. раствором НСl до рН 4.0 и экстрагировали хлороформом (4 × 10 мл). Объединенные экстракты промывали раствором NaCl, сушили MgSO4, упаривали. Продукт выделяли кристаллизацией из смеси этилацетат–петролейный эфир (20 : 1). Выход 0.13 г (58%). Бесцветные кристаллы. Т.пл. 150–151˚ C. ИК спектр, ν, см–1: 3343, 2492, 1958, 1757, 1715, 1624, 1605, 1462, 1414, 1377, 1366, 1281, 1217, 1182, 1142, 1076, 1038, 991, 974, 957, 885, 856, 810, 752, 714, 619. Спектр ЯМР 1Н, δ, м.д.: 3.47 с (3Н, ОСН3), 3.30 с (3Н, ОСН3), 3.76 с (3Н, СО2СН3), 4.49 д (1Н, J 8.2 Гц, СН2), 4.59 д (1Н, J 8.2 Гц, СН2), 5.03 д (2Н, J 6.6 Гц, =СН2), 5.55 т (1H, J 6.7 Гц, =CH), 7.43 уш.с (1H, NH). Спектр ЯМР 13С, δ, м.д.: 45.40 (СН2), 51.90 (OCH3), 52.22 (OCH3), 52.84 (CO2СН3), 54.37 (CHN), 72.49 (C4'), 79.65 (=CH2), 91.62 (=CH), 98.52 (C5'), 102.93 (C2'), 161.09 (C1'), 170.54 (CO2Me), 186.00 (C3'), 210.01 (=C=). Масс-спектр (EI), m/z (%): 300 [M – Cl]+ (100), 336 [M + H]+ (55). Найдено, %: С 47.04; Н 4.35; Cl 20.79; N 4.39. C13H15Cl2NO5. Вычислено, %: С 46.65; Н 4.50; Cl 21.09; N 4.17.
Метил-N-[2,4-дихлор-5,5-диметокси-3-оксо-4-(пропа-1,2-диен-1-ил)циклопент-1-ен-1-ил]-L-метионинат (5). К раствору 87 мг (0.5 ммоль) метилового эфира L-метионина в 10 мл метанола добавляли 0.02 г (0.35 ммоль) KOH и 0.05 мл (0.35 ммоль) триэтиламина, массу перемешивали 15 мин. Затем прибавляли 0.10 г (0.35 ммоль) алленилкетона 1 и реакционную массу перемешивали до исчезновения исходного соединения (контроль методом ТСХ). В реакционную массу добавляли 5–6 мл воды, метанол упаривали, водный слой подкисляли 1 н. раствором НСl до рН 4.0 и экстрагировали хлороформом (4 × 10 мл). Объединенные экстракты промывали раствором NaCl, сушили MgSO4, упаривали. Остаток хроматографировали на колонке с SiO2 (EtOAc–петролейный эфир, 1 : 10) и получали 55 мг (54%) соединения 5 в виде смеси диастереомеров (~3 : 2, ЯМР 1Н). Вязкое маслообразное вещество. ИК спектр, ν, см–1: 3308, 2953, 2841, 1956, 1749, 1595, 1526, 1437, 1362, 1306, 1175, 1119, 1069, 999, 854, 750, 714, 615. Масс-спектр (EI), m/z (%): 410 (411, 412) [M + H]+ (55), 374 [MH – Cl]+ (100%). Найдено, %: С 47.12; Н 5.35; Cl 17.66; N 3.38; S 8.10. C16H21Cl2NO5S. Вычислено, %: С 46.84; Н 5.16; Cl 17.28; N 3.41; S 7.82.
Основной диастереомер. Спектр ЯМР 1Н, δ, м.д.: 2.07 c (3Н, СН3), 2.21–2.28 м (2Н, СН2), 2.54 т (2Н, J 7.3 Гц, СН2), 3.44 с (6Н, ОСН3), 3.81 с (3Н, СО2СН3), 5.01–5.05 м (2Н, =СН2), 5.17 м (1Н, СНN), 5.45 т (1Н, J 6.6 Гц, =СН), 6.25–6.27 м (1Н, NH). Спектр ЯМР 13С, δ, м.д.: 15.46 (СН3), 29.27 и 32.36 (СН2), 51.81 и 52.15 (OCH3), 53.07 (CO2СН3), 54.79 (CHN), 71.99 (C4'), 79.92 (=CH2), 91.22 (=CH), 98.85 (C5'), 102.20 (C2'), 158.92 (C1'), 171.42 (CO2Me), 186.70 (C3'), 208.76 (=C=).
Минорный диастереомер. Спектр ЯМР 1Н, δ, м.д.: 2.07 c (3Н, СН3), 2.14–2.17 м (2Н, СН2), 2.53 т (2Н, J 7.3 Гц, СН2), 3.44 с (3Н) и 3.45 с (3Н, ОСН3), 3.81 с (3Н, СО2СН3), 5.01–5.05 м (2Н, =СН2), 5.17 м (1Н, СНN), 5.53 т (1Н, J 6.6 Гц, =СН), 6.25–6.27 м (1Н, NH). Спектр ЯМР 13С, δ, м.д.: 15.49 (СН3), 29.27 и 32.54 (СН2), 51.66 и 52.13 (OCH3), 53.07 (CO2СН3), 54.66 (CHN), 70.55 (C4'), 79.68 (=CH2), 90.16 (=CH), 98.85 (C5'), 101.89 (C2'), 158.54 (C1'), 171.10 (CO2Me), 186.24 (C3'), 209.39 (=C=).
Метил-N-[2,4-дихлор-5,5-диметокси-3-оксо-4-(пропа-1,2-диен-1-ил)циклопент-1-ен-1-ил]-L-лейцинат (6) получен аналогично соединению 5 из 0.1 г (0.35 ммоль) соединения 1 и 95 мг (0.52 ммоль) гидрохлорида метилового эфира L-лейцина в виде смеси диастереомеров (соотношение ~4 : 3). Выход 80 мг (54%). Белые кристаллы, т.пл. 172–173˚. ИК спектр, ν, см–1: 3277, 2955, 2843, 1959, 1749, 1595, 1526, 1437, 1369, 1269, 1215, 1182, 1152, 1072, 1043, 980, 926, 860, 814, 748, 714, 619. Масс-спектр (EI), m/z (%): 392 (393, 394) [M + H] (100), 356 [M – Cl] (26). Найдено, %: С 51.79; H 5.69; Cl 18.40; N 3.44. C17H23Cl2NO5. Вычислено, %: С 52.05; H 5.91; Cl 18.08; N 3.57.
Основной диастереомер. Спектр ЯМР 1Н, δ, м.д. 0.96 д (3Н, J 6.10 Гц, СН3), 0.97 д (3Н, J 5.90 Гц, CH3), 1.69–1.72 м (2Н, СН2), 1.73–1.79 м (1Н, СН), 3.45 с (6Н, ОСН3), 3.77 с (3Н, СО2СН3), 5.01 д (2Н, J 6.60 Гц, =СН2), 5.05–5.07 м (1Н, NCH), 5.53 т (1H, J 6.60 Гц, =CH), 5.79–5.83 м (1H, NH). Спектр ЯМР 13С, δ, м.д.: 22.58 (2СН3), 24.87 (СН), 42.32 (СН2), 52.05 (OCH3), 52.80 (CO2СН3), 54.37 (CHN), 70.80 (C4'), 79.71 (=CH2), 90.40 (=CH), 98.74 (C5'), 102.12 (C2'), 159.07 (C1'), 172.37 (CO2Me), 186.27 (C3'), 208.86 (=C=).
Минорный диастереомер. Спектр ЯМР 1Н, δ, м.д. 0.94 д (3Н, J 6.10 Гц, СН3), 0.97 д (3Н, J 5.90 Гц, CH3), 1.69–1.72 м (2Н, СН2), 1.73–1.79 м (1Н, СН), 3.43 с (6Н, ОСН3), 3.77 с (3Н, СО2СН3), 5.03 д (2Н, J 6.70 Гц, =СН2), 5.05–5.07 м (1Н, NCH), 5.45 т (1H, J 6.70 Гц, =CH), 5.79–5.83 м (1H, NH). Спектр ЯМР 13С, δ, м.д.: 22.01 (2СН3), 24.87 (СН), 42.47 (СН2), 51.79 (OCH3), 52.42 (CO2СН3), 54.37 (CHN), 71.87 (C4'), 79.87 (=CH2), 91.22 (=CH), 98.74 (C5'), 102.12 (C2'), 158.72 (C1'), 172.35 (CO2Me), 186.68 (C3'), 209.36 (=C=).
Метил-N-(2,4-дихлор-5,5-диметокси-3-оксо-4-пропа-1,2-диен-1-илциклопент-1-ен-1-ил)-L-тирозинат (7) получен аналогично соединению 5 из 0.1 г (0.35 ммоль) соединения 1, 0.12 г (0.52 ммоль) гидрохлорида метилового эфира L-тирозина и 40 мг KOH. Выход 102 мг (72%). Бесцветные кристаллы. Т.пл. 126–127˚. ИК спектр, ν, см–1: 3354, 3277, 2989, 2952, 2843, 1959, 1734, 1718, 1595, 1616, 1595, 1587, 1516, 1444, 1366, 1244, 1220, 1182, 1179, 1116, 1072, 1044, 978, 847, 813, 737, 715, 703. Масс-спектр (EI), m/z (%): 442 (443, 444) [M + H] (65), 406 [M – Cl] (100). Найдено, %: С 54.57; H 4.66; Cl 16.29; N 3.38. C20H21Cl2NO6. Вычислено, %: С 54.31; H 4.79; Cl 16.03; N 3.17.
Основной диастереомер. Спектр ЯМР 1Н, δ, м.д.: 3.12 д (2Н, J 4.1 Гц, CH2), 3.31 с (6H, ОСН3), 3.75 с (3Н, ОСН3), 4.99 д (2Н, J 6.2 Гц, =СН2), 5.27 уш.с (1H, NСH), 5.42 т (1H, J 6.3 Гц, =CH), 6.04 уш.с (1H, NH), 6.82 д (2Н, J 6.0 Гц, Ph), 6.95 д (2Н, J 6.8 Гц, Ph). Спектр ЯМР 13С, δ, м.д.: 38.59 (СH2), 51.77 и 52.07 (OCH3), 52.95 (CO2СН3), 56.19 (CHN), 70.64 (C4'), 79.77 (=CH2), 90.06 (=CH), 98.65 (C5'), 102.03 (C2'), 115.96 (C2Ar, C6Ar), 125.16 (C1Ar), 130.30 (C3Ar, C5Ar), 156.03 (C4Ar), 159.51 (C1'), 171.03 (CO2Me), 187.22 (C3'), 208.83 (=C=).
Минорный диастереомер. Спектр ЯМР 1Н, δ, м.д.: 3.12 д (2Н, J 4.1 Гц, CH2), 3.31 с (3H) и 3.34 с (3H, ОСН3), 3.75 с (3Н, ОСН3), 4.97–4.98 м (2Н, =СН2), 5.27 уш.с (1H, NСH), 5.53 т (1H, J 6.2 Гц, =CH), 6.04 уш.с (1H, NH), 6.82 д (2Н, J 6.0 Гц, Ph), 6.95 д (2Н, J 6.8 Гц, Ph). Спектр ЯМР 13С, δ, м.д.: 38.37 (СH2), 51.57 и 51.95 (OCH3), 52.95 (CO2СН3), 56.38 (CHN), 72.04 (C4'), 80.08 (=CH2), 91.16 (=CH), 98.65 (C5'), 101.75 (C2'), 115.94 (C2Ar, C6Ar), 125.42 (C1Ar), 130.46 (C3Ar, C5Ar), 156.03 (C4Ar), 159.42 (C1'), 171.75 (CO2Me), 187.66 (C3'), 209.44 (=C=).
Метил-N-[(4Z)-4-(карбокcиметилен)-2-хлор-5,5-диметокси-3-оксо-1-циклопент-1-ен-1-ил]глицинат (8). К перемешиваемой суспензии 0.13 г (0.36 ммоль) дихлорциклопентенона 4 и 0.17 г (0.79 ммоль) NaIO4 в 10 мл смеси CCl4–МеCN–H2O (2 : 2 : 3 об.) прибавляли ~4 мг RuCl3·3H2O, реакционную массу перемешивали при комнатной температуре в течение 4–5 ч. К реакционной смеси прибавляли 10 мл CH2Cl2, органический слой отделяли, водный слой экстрагировали CH2Cl. (4 × 30 мл). Объединенные органические экстракты сушили MgSO4, отфильтровывали, упаривали, остаток кристаллизовали из эфира. Выход 0.03 г (32%). Белый порошок, т.пл. 130–132.5˚. Спектр ЯМР 1Н, δ, м.д.: 3.32 с (6H, ОСН3), 3.88 с (3Н, ОСН3), 4.52 д (1Н, J 5.5 Гц, NСН2), 6.28 c (1H, =CH), 6.59 уш.с (1Н, NH), 14.99 уш.с (1H, CO2H). Спектр ЯМР 13С, δ, м.д.: 44.46 (NСН2), 52.42 (2 OCH3), 53.18 (CO2СН3), 101.50 (C5'), 124.50 (C2'), 125.94 (=CH), 145.60 (C4'), 155.10 (C1'), 169.30 (CO2H), 174.55 (CO2Me), 188.60 (C3'). Масс-спектр (EI), m/z (%): 320 (321) [M + H]+ (100). Найдено, %: С 45.34; H 4.23; Cl 11.38; N 4.50. C12H14ClNO7. Вычислено, %: С 45.08; H 4.41; Cl 11.09; N 4.38.
(2Z)-[2,2-Диметокси-3-(1-метоксикарбонил-3-метилсульфонилпропил)амино-5-оксо-4-хлорциклопент-3-ен-1-илиден]уксусная кислота (9). Получали аналогично соединению 8 из 49.5 мг (0.13 ммоль) дихлорциклопентенона 5 и 60 мг (0.28 ммоль) NaIO4 с добавлением ~2 мг RuCl3·3H2O. Выход 25 мг (49%). Белый порошок, т. пл. 98–100. [α]D20–18° (с 0.5, MeOH). ИК спектр, ν, см–1: 3286, 3053, 2954, 2928, 2848, 1739, 1696, 1604, 1533, 1456, 1437, 1418, 1407, 1377, 1297, 1275, 1236, 1218, 1180, 1132, 1099, 1080, 966, 734, 703. Спектр ЯМР 1Н, δ, м.д.: 2.51–2.52 м (2Н, СН2), 2.96 с (3H, СН3), 3.19–3.22 м (2Н, СН2), 3.47 с (6H, ОСН3), 3.86 с (3Н, ОСН3), 5.17–5.19 м (1Н, СНN), 6.24 уш.c (1H, NH), 6.45 с (1Н, =CH). Спектр ЯМР 13С, δ, м.д.: 25.18 (СН2), 41.04 (СН3), 50.28 (СН2), 52.02 и 52.29 (OCH3), 53.56 (CO2СН3), 54.82 (CHN), 102.15 (C2'), 112.02 (C4'), 125.56 (=CH), 138.58 (C1'), 158.89 (C3'), 170.19 (CO2H), 174.27 (CO2Me), 190.40 (C5'). Масс-спектр (EI), m/z (%): 426 (427, 428) [M + H]+ (100). Найдено, %: C 41.99; H 4.55; Cl 8.61; N 3.02; S 7.84. C15H20ClNO9S. Вычислено, %: C 42.31; H 4.73; Cl 8.33; N 3.29; S 7.53.
Метил-N-[(4Z)-4-карбокcиметилен-5,5-диметокси-3-оксо-2-хлор-1-циклопент-1-ен-1-ил]-L-лейцинат (10). К перемешиваемому раствору 82 мг (0.19 ммоль) соединения 6 в 10 мл смеси ТГФ–Н2О (3 : 1) прибавляли 3 мг ОsО4 и по истечении 15 мин наблюдали почернение реакционной массы, затем прибавляли по каплям раствор 0.2 г (0.95 ммоль) NaIO4 в 5 мл Н2О. Смесь перемешивали при комнатной температуре в течение 3 ч, выпавший осадок NаIО3 отфильтровывали, ТГФ упаривали, остаток экстрагировали СН2Сl2 (3 × 10 мл). Объединенные органические экстракты промывали насыщенным водным раствором NаСl, сушили МgSО4, растворитель упаривали. Остаток очищали кристаллизацией из диэтилового эфира. Выход 46 мг (60%) в виде смеси изомеров в соотношении 2 : 1 (по интегральной интенсивности протонов CHN-фрагмента). Бесцветные кристаллы, т.пл. 179–181˚С. [α]D20 +54˚ (с 0.5, CHCl3). ИК спектр, ν, см–1: 3237, 2926, 1751, 1715, 1595, 1547, 1537, 1462, 1456, 1377, 1271, 1151, 1105, 964, 901, 721, 633. Масс-спектр (EI), m/z (%): 376 (377, 378) [M + H]+ (100). Найдено, %: C 51.45; H 5.78; Cl 9.81; N 3.66. C16H22ClNO7. Вычислено, %: C 51.14; H 5.90; Cl 9.43; N 3.73.
Основной изомер. Спектр ЯМР 1Н, δ, м.д.: 0.98–1.02 м (6Н, СН3), 1.68–1.71 м (2Н, CH2), 1.83–1.87 (1Н, CH), 3.20 с (3H, OCH3), 3.34 с (3H, OCH3), 3.80 с (3H, OCH3), 5.04–5.09 м (1Н, NCH), 6.21 д (1Н, J 10.1 Гц, NH), 6.24 c (1Н, =CH), 15.0 уш.с (1Н, СО2Н). Спектр ЯМР 13С, δ, м.д.: 21.73 и 22.64 (СН3), 24.94 (СН), 42.60 (СН2), 52.48 и 52.70 (OCH3), 52.88 (CO2СН3), 55.23 (СНN), 102.18 (C5'), 111.32 (C2'), 125.94 (=CH), 138.83 (C4'), 163.43 (C1'), 164.54 (CO2H), 172.06 (CO2Me), 181.44 (C3').
Минорный изомер. Спектр ЯМР 1Н, δ, м.д.: 0.98–1.02 м (6Н, СН3), 1.73–1.81 м (2Н, CH2), 1.83–1.87 (1Н, CH), 3.27 с (3H, OCH3), 3.30 с (3H, OCH3), 3.82 с (3H, OCH3), 5.16–5.20 м (1Н, NCH), 6.32 д (1Н, J 10.1 Гц, NH), 6.27 c (1Н, =CH), 15.0 уш.с (1Н, СО2Н). Спектр ЯМР 13С, δ, м.д.: 21.65 и 22.61 (СН3), 24.94 (СН), 41.93 (СН2), 52.25 и 52.51 (OCH3), 53.23 (CO2СН3), 54.50 (СНN), 101.83 (C5'), 108.20 (C2'), 126.43 (=CH), 137.26 (C4'), 161.65 (C1'), 164.43 (CO2H), 171.39 (CO2Me), 183.87 (C3').
Метил-N-[(4Z)-4-(карбокcиметилен)-5,5-диметокси-3-оксо-2-хлор-1-циклопент-1-ен-1-ил]-L-тирозинат (11) получен аналогично соединению 10 из 90 мг (0.22 ммоль) соединения 7 с использованием 0.23 г (1.10 ммоль) NaIO4 и 3 мг OsO4. Остаток очищали кристаллизацией из смеси этилацетат–петролейный эфир. Выход 30 мг (31%) в виде смеси диастереомеров (соотношение ~4 : 3). Бесцветные кристаллы, т.пл. 114–117˚C [α]D20 +11˚ (с 1.0, MeOH). ИК спектр, ν, см–1: 3198, 3081, 3012, 2954, 2839, 1739, 1715, 1662, 1591, 1576, 1516, 1447, 1394, 1350, 1266, 1218, 1196, 1176, 1097, 993, 963, 830, 760, 764, 748, 665. Масс-спектр (EI), m/z (%): 426 (427, 428) [M + H]+ (80). Найдено, %: C 53.26; H 4.55; Cl 8.66; N 3.16. C19H20ClNO8. Вычислено, %: C 53.59; H 4.73; Cl 8.33; N 3.29.
Основной изомер. Спектр ЯМР 1Н, δ, м.д.: 3.00–3.05 м (1Н, СН2), 3.11–3.18 м (1Н, CH2), 3.28 с (3H, OCH3), 3.54 с (3H, OCH3), 3.81 с (3H, OCH3), 5.37–5.39 м (1Н, NCH), 6.22 c (1Н, =CH), 6.26 уш.с (1Н, ОН), 6.41 д (1Н, J 8.6 Гц, NH), 6.78–6.82 м (2Н, HAr), 6.94 д (1Н, J 8.0 Гц, HAr), 6.99–7.03 м (1Н, HAr). Спектр ЯМР 13С, δ, м.д.: 38.40 (СН2), 51.22 и 52.25 (OCH3), 52.59 (CO2СН3), 56.08 (СНN), 102.10 (C5'), 109.50 (C2'), 116.08 (CAr), 124.90 (CAr), 130.54 (=CH), 130.76 (CAr), 138.82 (C4'), 149.10 (CAr), 155.74 (C1'), 161.40 (CO2H), 170.05 (CO2Me), 182.20 (C3').
Минорный изомер. Спектр ЯМР 1Н, δ, м.д.: 3.00–3.05 м (1Н, СН2), 3.11–3.18 м (1Н, CH2), 3.22 с (3H, OCH3), 3.50 с (3H, OCH3), 3.83 с (3H, OCH3), 5.23–5.25 м (1Н, NCH), 6.23 c (1Н, =CH), 6.28 уш.с (1Н, ОН), 6.32 д (1Н, J 8.8 Гц, NH), 6.78–6.82 м (2Н, HAr), 6.94 д (1Н, J 8.0 Гц, HAr), 6.99–7.03 м (1Н, HAr). Спектр ЯМР 13С, δ, м.д.: 42.13 (СН2), 51.28 и 52.25 (OCH3), 53.21 (CO2СН3), 56.08 (СНN), 102.10 (C5'), 109.50 (C2'), 115.92 (CAr), 124.90 (CAr), 130.24 (CAr), 130.54 (=CH), 138.50 (C4'), 149.10 (CAr), 155.74 (C1'), 161.60 (CO2H), 170.08 (CO2Me), 182.20 (C3').
ЗАКЛЮЧЕНИЕ
Взаимодействием 5-алленил-4,4-диметокси-2,3,5-трихлорциклопент-2-ен-1-она (1) с метиловыми эфирами глицина, L-метионина, L-лейцина и L-тирозина получены новые аминокислотные производные, окислительным расщеплением алленового фрагмента которых синтезированы соответствующие 4-карбоксиметиленпроизводные 8–10, представляющие интерес как потенциальные противовирусные и противоопухолевые соединения.
БЛАГОДАРНОСТИ
Анализы выполнены на оборудовании ЦКП «Химия» УфИХ УФИЦ РАН.
ФОНДОВАЯ ПОДДЕРЖКА
Работа выполнена по теме № 122031400261-4 госзадания УфИХ УФИЦ РАН.
КОНФЛИКТ ИНТЕРЕСОВ
Авторы заявляют об отсутствии конфликта интересов.
Об авторах
Лидия Семеновна Хасанова
Уфимский институт химии Уфимского федерального исследовательского центра Российской академии наук
Email: fangim@anrb.ru
ORCID iD: 0000-0002-7183-4200
Россия, 450054 Уфа
Виктор Анатольевич Егоров
Уфимский институт химии Уфимского федерального исследовательского центра Российской академии наук
Email: fangim@anrb.ru
ORCID iD: 0000-0001-9710-265X
Россия, 450054 Уфа
Марат Фаритович Абдуллин
Уфимский институт химии Уфимского федерального исследовательского центра Российской академии наук
Email: fangim@anrb.ru
ORCID iD: 0000-0002-9894-213X
Россия, 450054 Уфа
Фануза Арслановна Гималова
Уфимский институт химии Уфимского федерального исследовательского центра Российской академии наук
Автор, ответственный за переписку.
Email: fangim@anrb.ru
ORCID iD: 0000-0002-5176-1227
Россия, 450054 Уфа
Список литературы
- Monto A.S. Clin. Infect. Dis., 2008, 47, 346–348. doi: 10.1086/589749
- Ахметвалеев Р.Р., Акбутина Ф.А., Иванова Н.А., Мифтахов М.С. Изв. АН. Сер. хим. 2001, 1417–1435. [Akhmetvaleev R.R., Akbutina F.A., Ivanova N.A., Miftakhov M.S. Russ. Chem. Bull., Int. Ed. 2001, 50, 1489–1509.]doi: 10.1023/A:1013038427455
- Акбутина Ф.А., Торосян С.А., Мифтахов М.С. Изв. АН. Сер. хим. 1997, 1646–1648. [Akbutina F.A., Torosyan S.A., Miftakhov M.S. Russ. Chem. Bull., Int. Ed. 1997, 46, 1569–1571.] doi: 10.1007/BF02502941
- Гилязетдинов Ш.Я., Юсупова З.Ф., Саитова М.Ю., Зарудий Ф.С., Ахметвалеев Р.Р., Мифтахов М.С., Акбутина Ф.А., Торосян С.А. Пат. 2144767 (1997). РФ. Б.И. 2000, № 3.
- Гималова Ф.А., Егоров В.А., Торосян С.А., Мифтахов М.С. ЖОрХ. 2007, 43 (7), 987–989. [Gimalova F.A., Egorov V.A., Torosyan S.A., Miftakhov M.S. Russ. J. Org. Chem. 2007, 43, 981–983.] doi: 10.1134/S1070428007070068.
- Егоров В.А., Гималова Ф.А., Хасанова Л.С., Мифта-хов М.С. ЖОрХ. 2015, 51 (12), 1755–1758. [Egorov V.A., Khasanova L.S., Gimalova F.A., Miftakhov M.S. Russ. J. Org. Chem. 2015, 51, 1721–1724.] doi: 10.1134/S107042801512009X
- Гималова Ф.А., Егоров В.А., Мифтахов М.С., Еримбетов К.Т., Подгородниченко В.К. Пат. 2599792 (2015). РФ. Б.И. 2016, № 29.
- Хейнс А. Методы окисления органических соединений. М: Мир, 1988, 163–164. [Haines A.H., Metody okisleniya organicheskikh soedineniy (Methods for the Oxidation of Organic Compounds), Moscow: Mir, 1988, 163–164].
- Чертанова Л.И., Акбутина Ф.А., Торосян С.А., Халилов Л.М., Мифтахов М.С. Изв. АН. Сер. хим. 1997, 1979–1981 [Chertanova L.F., Akbutina F.A., Torosyan S.A., Khalilov L.M., Miftakhov M.S. Russ. Chem. Bull., 1997, 46, 1875–1877.] doi: 10.1007/BF02503776





