Synthesis of 2,3-Dihydrobenzo[B][1,4]Dioxins by the Hetero-Diels-Alder Reaction Based on 3,5-Di(tert-butyl)-6-nitro-1,2-benzoquinone
- Authors: Ivakhnenko E.P.1, Malay V.I.2, Demidov O.P.2, Merezhko N.I.1, Kislitsin S.E.1, Minkin V.I.1
-
Affiliations:
- Southern Federal University
- North Caucasus Federal University
- Issue: Vol 60, No 8 (2024)
- Pages: 23-28
- Section: Articles
- URL: https://journals.rcsi.science/0514-7492/article/view/279419
- DOI: https://doi.org/10.31857/S0514749224080034
- EDN: https://elibrary.ru/RARVUE
- ID: 279419
Cite item
Full Text
Abstract
A sterically hindered o-quinone activated by a nitro group can act as an effective diene in the Diels-Alder reaction. The interaction of a twofold excess of 3,5-di-(tert-butyl)-6-nitro-1,2-benzoquinone in the reaction with arylamines in an isopropanol/methylethyl ketone medium (1 : 1) leads to the formation of derivatives ((2,3-dihydrobenzo[ b][1,4]dioxin-2-yl)oxy)-3-nitrophenols.
Full Text
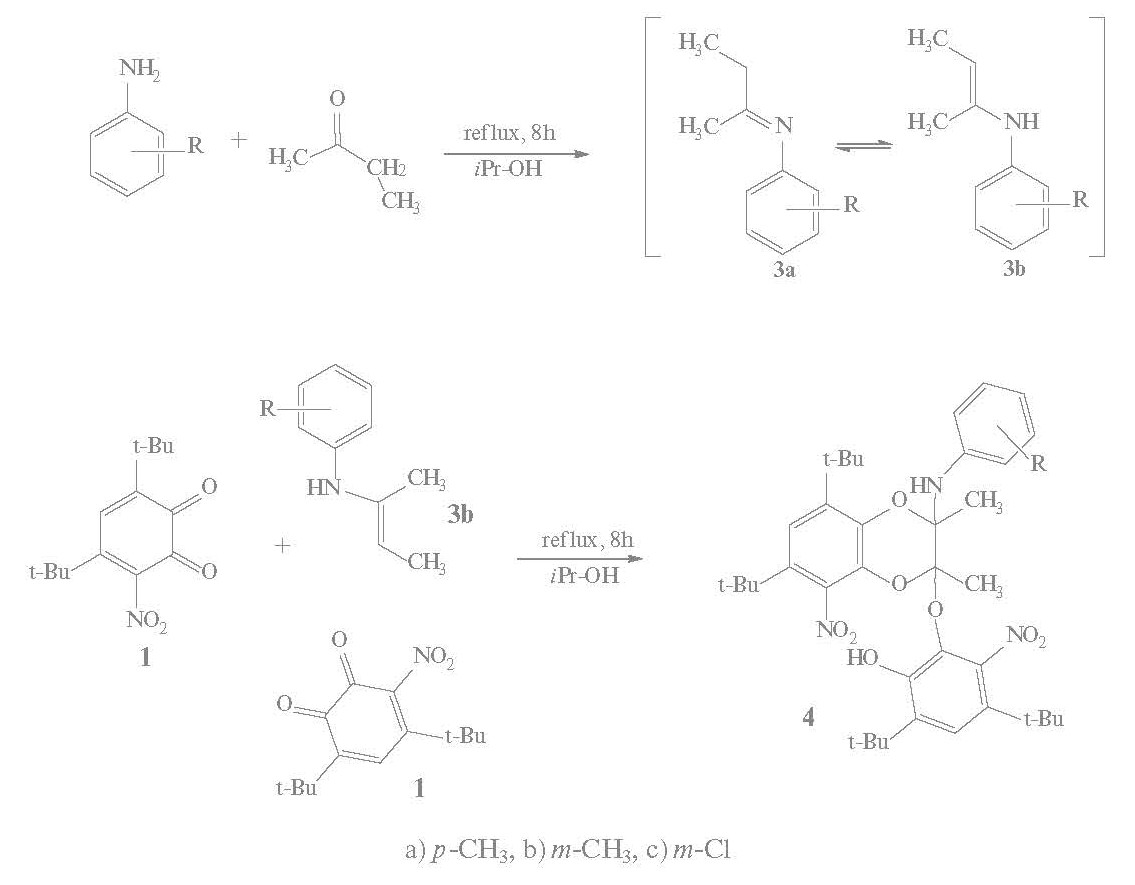
Молекулярная структура орто-хинонов, включающая две карбонильные группы, фрагменты 1,2-ендиона и 3,5-диен-1-она, создает возможность нескольких направлений их реакций, включая: образование оснований Шиффа, присоединение типа Михаэля, а также реакции циклоприсоединения, и обеспечивает удобный доступ к получению разнообразных N,O-гетероциклических систем [1—3]. Введение в о-хиноновое кольцо мощной электроноакцепторной нитрогруппы в 6-нитро-3,5-ди-(трет-бутил)-1,2-бензохинон 1 приводит к резкому увеличению электрофильности соседнего углерода, позволяет преодолеть пространственные препятствия, создаваемые объемистыми трет-бутильными группами, и перенаправляет реакцию с аминами с пути образования основания Шиффа на путь 1,4-присоединения по Михаэлю [4, 5]. Другим примером специфической реакционной способности 1 является его реакция с ароматическими аминами и ацетоном, приводящая к образованию производных новой гетероциклической системы 1Н-циклопента[b]пиридин-4,5-диона (схема 1) [6].
Схема 1. Синтез 6-(трет-бутил)-2-метил-1-арил-1Н-циклопента[b]пиридин-4,5-дионов 2
Вероятный механизм реакции (подтвержден DFT/B3LYP/6-311++G(d,p) расчетами) включает предварительные стадии нуклеофильного присоединения амина к хинону 1 и последующие конденсацию c ацетоном, дегидратацию образовавшегося имина и циклизацию с отщеплением молекулы HNO2. Настоящая работа посвящена дальнейшему изучению этой реакции за счет расширения ассортимента используемых монокарбонильных компонентов.
РЕЗУЛЬТАТЫ И ОБСУЖДЕНИЕ
Однако оказалось, что при тех же относительно мягких условиях реакция с метилэтилкетоном, на первой стадии которой образуется соответствующий имин (изомеризующийся в его енаминовую таутомерную форму), развивается в направлении образования производных 2,3-дигидробензо[b][1, 4]диоксиновой системы 4 (схема 2). На своей основной стадии циклизации (4 +2) Дильса-Альдера этот механизм полностью аналогичен предложенному ранее для энантиоселективного органокаталитического арилоксилирования альдегидов о-хинонами [7]. В условиях реакции он дополняется спонтанным присоединением второй молекулы о-хинона.
Схема 2. Синтез дигидробензо[b][1, 4]диоксин-2-ил-окси-3-нитрофенолов 4
Строение соединений 4 (a–c) как производных системы [1, 4]диоксина было установлено с помощью ЯМР, ИК- и масс-спектроскопии и рентгеноструктурного анализа для соединения 4 (с) (рис. 1).
Рис. 1. Молекулярное строение соединений 4 (с)
В ЯМР 1Н спектре соединений 4 на 1.5–1.6 м.д. присутствовали синглетные трехпротонные сигналы метильных групп, встраиваемых в структуру гетероциклов из метилэтилкетона.
Конформация дигидродиоксинового кольца наиболее близка к полукреслу, как в ранее изученной структуре 2,3-дигидробензо[b][1, 4]диоксин-6-ила [8]. Атомы О1 и О2 незначительно и разнонаправленно отклоняются от плоскости фенильного фрагмента (–0.0042(18) A и 0.0287(18) A, соответственно). При этом атомы C15 и C17 располагаются на расстоянии 0.396(2) и –0.439 (2) Å по обе стороны от средней плоскости дигидробензодиоксинового кольца. Все длины связей и углы лежат в типичных диапазонах, встречающихся в органических структурах (рис. 2).
Рис. 2. Вид сбоку в двух проекциях диоксинового фрагмента 4 (с). Атомы водорода опущены для ясности
Основные длины связей и валентные углы для соединения 4 (с) приведены в табл. 1 и 2.
Таблица 1. Основные длины связей соединения 4 (с)
Связь | Длина, Å | Связь | Длина, Å |
Cl1-C22 | 1.7444(15) | C5-C4 | 1.3874(18) |
O3-C15 | 1.4107(14) | C5-C7 | 1.5385(18) |
O3-C1 | 1.3940(14) | C26-C35 | 1.5428(18) |
O2-C15 | 1.4430(13) | C26-C27 | 1.390(2) |
O2-C30 | 1.3749(14) | C28-C27 | 1.398(2) |
O1-C25 | 1.3734(15) | C28-C31 | 1.5422(19) |
O1-C17 | 1.4608(15) | C20-C21 | 1.373(2) |
O4-C6 | 1.3541(15) | C35-C37 | 1.508(13) |
O7-N2 | 1.2205(16) | C35-C36 | 1.455(13) |
N2-O8 | 1.2100(17) | C35-C38 | 1.560(13) |
N2-C29 | 1.4726(16) | C35-C37A | 1.530(5) |
N1-C17 | 1.4256(17) | C35-C36A | 1.559(5) |
N1-C19 | 1.3911(16) | C35-C38A | 1.521(5) |
O5-N3 | 1.2187(19) | C7-C9 | 1.538(3) |
N3-O6 | 1.2100(19) | C7-C8 | 1.532(2) |
N3-C2 | 1.4722(17) | C7-C10 | 1.533(2) |
C15-C17 | 1.5600(15) | C11-C14 | 1.504(4) |
C15-C16 | 1.5081(17) | C11-C13 | 1.472(4) |
C30-C25 | 1.3905(16) | C11-C12 | 1.534(5) |
C30-C29 | 1.3886(17) | C11-C12A | 1.469(7) |
C1-C6 | 1.3903(16) | C11-C13A | 1.560(9) |
C1-C2 | 1.3944(16) | C11-C14A | 1.426(8) |
C25-C26 | 1.4031(18) | C21-C22 | 1.379(3) |
C29-C28 | 1.3875(18) | C24-C23 | 1.392(2) |
C6-C5 | 1.4040(17) | C22-C23 | 1.356(3) |
C17-C18 | 1.5212(17) | C31-C33 | 1.524(5) |
C2-C3 | 1.3852(18) | C31-C34 | 1.603(7) |
C3-C4 | 1.3996(19) | C31-C32 | 1.501(5) |
C3-C11 | 1.5479(17) | C31-C32A | 1.670(13) |
C19-C20 | 1.387(2) | C31-C33A | 1.491(17) |
C19-C24 | 1.395(2) | C31-C34A | 1.354(11) |
Таблица 2. Основные валентные углы соединения 4 (с)
Связь | Угол, град | Связь | Угол, град |
C1-O3-C15 | 122.38(9) | O2-C15-C16 | 109.47(10) |
C30-O2-C15 | 116.26(8) | C16-C15-C17 | 115.69(10) |
C25-O1-C17 | 115.74(9) | O1-C17-C15 | 106.44(9) |
O7-N2-C29 | 118.52(11) | O1-C17-C18 | 104.93(10) |
O8-N2-O7 | 123.33(12) | N1-C17-O1 | 110.79(10) |
O8-N2-C29 | 118.04(11) | N1-C17-C15 | 107.18(9) |
C19-N1-C17 | 127.50(11) | N1-C17-C18 | 115.28(11) |
O5-N3-C2 | 117.26(13) | C18-C17-C15 | 111.91(10) |
O6-N3-O5 | 124.17(14) | O3-C15-C17 | 105.45(9) |
O6-N3-C2 | 118.48(13) | O3-C15-C16 | 114.47(10) |
O3-C15-O2 | 104.45(8) | O2-C15-C17 | 106.45(9) |
ЭКСПЕРИМЕНТАЛЬНАЯ ЧАСТЬ
Все использованные реагенты и растворители являются коммерчески доступными (Aldrich) и использовались без дополнительной очистки. Полученные продукты были охарактеризованы 1Н и 13С ЯМР-, ИК-спектроскопией и элементным анализом. 1Н и 13С ЯМР спектры были зарегистрированы на спектрометре Bruker Avance (600 МГц) в растворе CDCl3. ИК спектры зарегистрированы на спектрометре Varian Excalibur 3100 FTIR. Рентгеноструктурные данные соединения 4 (c) получены на автоматизированном дифрактометре (Agilent SuperNova) с использованием стандартной процедуры. Структура расшифрована прямым методом и уточнена МНК в анизотропном полноматричном приближении для неводородных атомов. Координаты атомов и другие параметры структуры 4 (с) депонированы в Кембриджском банке структурных данных (CCDC 2236129; deposit@ccdc.cam.ac.uk или http:// www.ccdc.cam.ac.uk/data_request/cif).
Общая методика получения 4 (a–c). К раствору анилина (1,0 ммоль) в изопропанол/метилэтилкетоне (1 : 1, 30 мл) добавляли 3,5-ди-(трет-бутил)-6-нитро-1,2-бензохинона 1 (530 мг, 2,0 ммоль). Реакционную смесь перемешивали при температуре кипения с обратным холодильником в течение 8 часов. Неочищенную реакционную смесь перекристаллизовали из ацетона.
4,6-ди-трет-бутил-2-((5,7-ди-трет-бутил-2,3-диметил-8-нитро-3-(p-толиламино)-2,3-дигидробензо[b][1, 4]диоксин-2-ил)окси)-3-нитрофенол 4 (a)
Бесцветное твердое вещество (70%); Т.пл. 150-152°C. ИК спектр, ν, см–1: 3487, 3409, 2959, 2913, 2871, 1616, 1531, 1483, 1409, 1364, 1301, 983. Спектр ЯМР 1Н, δ, м.д.: 1.31 с (9H), 1.34 с (18H), 1.43 с (9H), 1.53 с (3H), 1.57 с (3H), 2.29 с (3H), 4.53 с (1H), 6.99 д (J 8.2 Гц, 2H), 7.06 д (J 8.1 Гц, 2H), 7.09 с (1H), 7.25 с (1H), 7.35 с (1H). Спектр ЯМР 13С, δ, м.д.: 17.49, 18.78, 20.71, 29.19, 29.25, 29.38, 29.58, 30.87, 30.89, 30.39, 35.45, 35.52, 35.66, 35.79, 89.49, 105.72, 119.38, 122.76, 124.38, 129.36, 130.66,132.00, 132.57, 132.98, 138.42, 138.80, 139.26, 139.51, 139.95, 143.47, 146.67. HRMS (ESI) m/z: [M + Na]+ Вычислено для C39H53N3O8Na 714.3725; Найдено 714.3721.
4,6-ди-трет-бутил-2-((5,7-ди-трет-бутил-2,3-диметил-8-нитро-3-(m-толиламино)-2,3-дигидробензо[b][1, 4]диоксин-2-ил)окси)-3-нитрофенол 4 (b)
Бесцветное твердое вещество (55%); Т.пл. 135-140°C. Бесцветное твердое вещество (55%); Т.пл. 135–140°C. ИК спектр, ν, см–1: 3502, 3420, 2955, 2912, 2871, 1613, 1529, 1482, 1407, 1366, 1297, 980. Спектр ЯМР 1Н, δ, м.д.: 1.32 с (9H), 1.34 с (9H), 1.36 с (9H), 1.44 с (9H), 1.55 с (3H), 1.60 с (3H), 2.29 с (3H), 4.61 с (1H), 6.82 д (J 7.5 Гц, 1H), 6.87 д (J 7.9 Гц, 1H), 6.90 с (1H), 7.09 с (1H), 7.12 т (J 7.7 Гц, 1H), 7.26 с (1H), 7.32 с (1H). Спектр ЯМР 13С, δ, м.д.: 17.21, 18.63, 21.29, 29.17, 29.22, 29.34, 29.63, 30.84, 30.87, 30.94, 35.44, 35.54, 35.63, 35.78, 89.12, 105.80, 119.46, 120.13, 122.87, 123.58, 123.89, 128.58, 130.63, 131.87, 132.10, 132.60,138.15, 138.59, 138.78, 139.54, 139.92, 141.99 143.45, 146.67. HRMS (ESI) m/z: [M + Na]+ Вычислено для C39H53N3O8Na 714.3725; Найдено 714.3718.
4,6-ди-трет-бутил-2-((5,7-ди-трет-бутил-3-((4-хлорфенил)амино)-2,3-диметил-8-нитро-2,3-дигидробензо[b][1, 4]диоксин-2-ил)окси)-3-нитрофнол 4 (c)
Бесцветное твердое вещество (46%); Т.пл. 145–148°C. ИК спектр, ν, см–1: 3482, 3402, 2960, 2911, 2871, 1598, 1528, 1493, 1407, 1364, 1298, 983. Спектр ЯМР 1Н, δ, м.д.: 1.31 с (9H), 1.33 с (18H), 1.43 с (9H), 1.55 с (3H), 1.58 с (3H), 4.67 с (1H), 7.01 д (J 8.5 Гц, 2H), 7.10 с (1H), 7.19 с (1H), 7.21 д (J 8.5 Гц, 2H), 7.26 с (1H). Спектр ЯМР 13С, δ, м.д.: 17.24, 18.79, 29.24, 29.42, 29.63, 30.84, 30.88, 30.94, 35.47, 35.55, 35.68, 35.82, 88.98, 105.63, 119.63, 122.95, 124.57, 128.31, 128.83, 130.78, 131.83, 131.96, 132.85, 138.07, 138.82, 139.72, 139.98, 140.81, 143.37, 146.52. HRMS (ESI) m/z: [M + Na]+ Вычислено для C38H50ClN3O8Na 734.3179; Найдено 734.3170.
ЗАКЛЮЧЕНИЕ
В реакции, представленной на схеме 2, 6-нитро-3,5-ди-(трет-бутил)-о-бензохинон ведет себя как гетеродиен. Потенциально о-хиноны могут выступать в реакциях (4 + 2) Дильса-Альдера в качестве диенофилов и диенов. В то время как диенофильная активность о-хинонов была изучена достаточно полно [9–10], примеры реакций, в которых о-хиноны функционируют как карбо- [11] или гетеродиены [7, 12], редки.
ФОНДОВАЯ ПОДДЕРЖКА
Работа выполнена при финансовой поддержке Российского научного фонда (проект № 19-13-00022, https://rscf.ru/project/19-13-00022/).
КОНФЛИКТ ИНТЕРЕСОВ
Авторы заявляют об отсутствии конфликта интересов.
About the authors
E. P. Ivakhnenko
Southern Federal University
Author for correspondence.
Email: ivakhnenko@sfedu.ru
ORCID iD: 0000-0003-0338-6466
Russian Federation, Rostov-on-Don
V. I. Malay
North Caucasus Federal University
Email: malay@sfedu.ru
ORCID iD: 0000-0002-5302-743X
Russian Federation, Stavropol
O. P. Demidov
North Caucasus Federal University
Email: ivakhnenko@sfedu.ru
ORCID iD: 0000-0002-3586-0487
Russian Federation, Stavropol
N. I. Merezhko
Southern Federal University
Email: ivakhnenko@sfedu.ru
ORCID iD: 0009-0000-2672-4072
Russian Federation, Rostov-on-Don
S. E. Kislitsin
Southern Federal University
Email: ivakhnenko@sfedu.ru
ORCID iD: 0009-0007-0873-696X
Russian Federation, Rostov-on-Don
V. I. Minkin
Southern Federal University
Email: ivakhnenko@sfedu.ru
ORCID iD: 0000-0001-6096-503X
Russian Federation, Rostov-on-Don
References
- Abakumov G.A., Druzhkov N.O., Kurskii Yu.A., Abakumova L.G., Shavyrin F.S., Fukin G.A. Russ Chem Bull., 2005, 54, 2571–2577. doi: 10.1007/s11172-0157-7
- Vasu D., Leich J.A., Dixon D.J. Tetrahedron, 2019, 75, 50, 130726. doi: 10.1016/j.tet.2019.130726
- Nicolas Y., Allama F., Lepeltier M., Massin J., Castet F., Ducasse L., Hirsch I., Boubegtiten Z., Jonusauskas G., Olivier C., Toupance T.. Chem Eur J. 2014, 20, 3678–88. doi 10.1002/ chem.201303775
- Ivakhnenko E., Malay V., Romanenko G., Demidov O., Knyazev P., Starikov A., Minkin V. Tetrahedron 2021, 79, 131841. doi: 10.1016/j.tet.2020.131841
- Ивахненко Е.П., Малай В.И., Демидов О.П., Минкин В.И. ЖОрХ. 2023, 59, 8, 1032–1040. doi: 10.31857/S0514749223080049
- Ivakhnenko E., Malay V., Demidov O., Starikov A., Min-kin V. Tetrahedron 2022, 103, 132575. doi: 10.1016/j.tet.2021.132575
- Hernandez-Juan F.A., Cockfield D.M., Dixon D.J. Tetrahedron Lett. 2007, 48, 1605-1608. doi: 10.1016/j/tetlet.2006.12.140
- Richard A.S. , Murthy S.M., Basavaraju Y.B., Yathirajan H.S., Parkin S., Van Meervelt L. Acta Crystallographica, E. Cryst. Com. 2023, 79, 674-677. doi: 10.1107/S2056989023005613
- Mazza S., Danishefsky S., McCurry P. J. Org. Chem. 1976, 39, 3610–3611. doi: 10.1021/jo00938a043.
- Charini R., Fang C., Herrington D., Higgs K., Rodrigo R., Taylor N. Aust. J. Chem. 1997, 50, 271–278. doi. 10.1071/C96099
- Escorihuela J., Looijen W., Wang X., Aquino A., Lischka H., Zuilhof H. J. Org. Chem. 2020, 85, 13557–13566. doi: 10.1021/acs.joc.0c01674
- Bekele T., Shah M. H., Wolfer J., Abraham C. J., Weatherwax A, Lectka T. J. Am. Chem. Soc. 2006, 128, 1810–1811. doi: 10.1021/ja058077g
Supplementary files






