Organic Chemistry in Russian Universities: Achievements of recent years
- 作者: Stoykov I.I.1, Antipin I.S.1, Burilov V.A.1, Kurbangalieva A.R.1, Rostovsky N.V.2, Pankova A.S.2, Balova I.A.2, Remizov Y.O.3, Pevzner L.M.3, Petrov M.L.3, Vasily A.V.2,4, Averin A.D.5, Beletskaya I.P.5, Nenaydenko V.G.5, Beloglazkina E.K.5, Gromov S.P.5, Karlov S.S.5, Magdesieva T.V.5, Prishchenko A.A.5, Popkov S.V.6, Terentyev A.O.6,7, Tsaplin G.V.6, Kustova T.P.8, Kochetova L.B.8, Magdalinova N.A.8, Krasnokutskaya E.A.9, Nyuchev A.V.10, Kuznetsova Y.L.10, Fedorov A.Y.10, Egorova A.Y.11, Grinev V.S.11, Sorokin V.V.11, Ovchinnikov K.L.12, Kofanov E.R.12, Kolobov A.V.12, Rusinov V.L.13, Zyryanov G.V.13, Nosov E.V.13, Bakulev V.A.13, Belskaya N.P.13, Berezkina T.V.13, Obydennov D.L.14, Sosnovskikh V.Y.14, Bakhtin S.G.15, Baranova O.V.15, Doroshkevich V.S.15, Raskildina G.Z.16, Sultanova R.M.16, Zlotskiy S.S.16, Dyachenko V.D.17, Dyachenko I.V.17, Fisyuk A.S.18, Konshin V.V.19, Dotsenko V.V.19, Ivleva E.A.20, Reznikov A.N.20, Klimochkin Y.N.20, Aksenov D.A.21, Aksenov N.A.21, Aksenov A.V.21, Burmistrov V.V.22, Butov G.M.23, Novakov I.A.24, Shikhaliev K.S.25, Stolpovskaya N.V.25, Medvedev S.M.25, Kandalintseva N.V.26, Prosenko O..26,27, Menshchikova E.B.28, Golovanov A.A.29, Khashirova S.Y.30
-
隶属关系:
- Kazan (Volga Region) Federal University, Chemical Institute named after A.M. Butlerov
- St. Petersburg State University, Institute of Chemistry
- St. Petersburg Technological Institute (Technical University)
- St. Petersburg State Forestry University
- M.V. Loomonosov Moscow State University
- Russian Chemical-Technological University named after D.I. Mendeleev
- Institute of Organic Chemistry named after N.D. Zelinsky Russian Academy of Sciences
- Federal State Budgetary Educational Institution of Higher Education “Ivanovo State University”
- Federal State Autonomous Educational Institution of Higher Education “National Research Tomsk Polytechnic University”
- Nizhny Novgorod State University named after N.I. Lobachevsky
- Federal State Budgetary Educational Institution of Higher Education Saratov National Research State University named after N.G. Chernyshevsky
- Yaroslavl State Technical University
- Ural Federal University named after the first President of Russia B.N. Yeltsin Chemical-Technological Institute
- Ural Federal University named after first President of Russia B.N. Yeltsin, Institute of Natural Sciences and Mathematics
- Federal State Budgetary Educational Institution of Higher Education “Donetsk State University”
- Ufa State Petroleum Technical University
- Lugansk State Pedagogical University
- F.M. Dostoevsky Omsk State University
- Kuban State University
- Federal State Budgetary Educational Institution of Higher Education “Samara State Technical University”
- North Caucasus Federal University
- Federal State Budgetary Educational Institution of Higher Education “Volgograd State Technical University”
- Volga Polytechnic Institute, Volga State Technical University
- Federal State Budgetary Educational Institution of Higher Education “Volgograd State Technical University”, Volgograd State Technical University
- Voronezh State University
- Federal State Budgetary Educational Institution of Higher Education “Novosibirsk State Pedagogical University”
- Novosibirsk Research Institute of Antioxidants
- Federal State Budgetary Institution “Federal Research Center for Fundamental and Translational Medicine”
- Tolyatti State University
- Kh.M. Berbekov Kabardino-Balkarian State University
- 期: 卷 60, 编号 2-3 (2024)
- 页面: 170–396
- 栏目: Articles
- URL: https://journals.rcsi.science/0514-7492/article/view/274705
- DOI: https://doi.org/10.31857/S0514749224020058
- EDN: https://elibrary.ru/EKFUVM
- ID: 274705
如何引用文章
全文:
详细
An overview of the main scientific achievements of Russian universities in the field of organic chemistry for the period 2018–2023 is presented.
全文:
СОДЕРЖАНИЕ
- ВВЕДЕНИЕ
- КАФЕДРА ОРГАНИЧЕСКОЙ ХИМИИ КАЗАНСКОГО ФЕДЕРАЛЬНОГО УНИВЕРСИТЕТА
- КАФЕДРА ОРГАНИЧЕСКОЙ ХИМИИ СПБГУ
- САНКТ-ПЕТЕРБУРГСКИЙ ТЕХНОЛОГИЧЕСКИЙ ИНСТИТУТ (ТЕХНИЧЕСКИЙ УНИВЕРСИТЕТ). ГИБРИДНЫЕ ГЕТЕРОЦИКЛИЧЕСКИЕ СИСТЕМЫ НА ОСНОВЕ ФУРАНА И 1,2,3-ТИО- И СЕЛЕНОДИАЗОЛА, А ТАКЖЕ ДИГИДРОПИРАНА. СИНТЕЗ И МЕТОДЫ ФУНКЦИОНАЛИЗАЦИИИ
- ЭЛЕКТРОФИЛЬНАЯ АКТИВАЦИЯ В ХИМИИ НЕПРЕДЕЛЬНЫХ И ГЕТЕРОЦИКЛИЧЕСКИХ СОЕДИНЕНИЙ. ОРГАНИЧЕСКАЯ ХИМИЯ В САНКТ-ПЕТЕРБУРГСКОМ ГОСУДАРСТВЕННОМ ЛЕСОТЕХНИЧЕСКОМ УНИВЕРСИТЕТЕ
- КАФЕДРА ОРГАНИЧЕСКОЙ ХИМИИ МГУ ИМЕНИ М.В. ЛОМОНОСОВА
- КАФЕДРА ХИМИИ И ТЕХНОЛОГИИ ОРГАНИЧЕСКОГО СИНТЕЗА РХТУ ИМ. Д.И. МЕНДЕЛЕЕВА
- КАФЕДРА ФУНДАМЕНТАЛЬНОЙ И ПРИКЛАДНОЙ ХИМИИ ИВАНОВСКОГО ГОСУДАРСТВЕННОГО УНИВЕРСИТЕТА
- НОВЫЕ МЕТОДЫ И РЕАГЕНТЫ ДЛЯ ПОЛУЧЕНИЯ БИОЛОГИЧЕСКИ АКТИВНЫХ ВЕЩЕСТВ И МАТЕРИАЛОВ МЕДИЦИНСКОГО НАЗНАЧЕНИЯ (ИССЛЕДОВАНИЯ, ПРОВОДИМЫЕ В НОЦ Н.М. КИЖНЕРА)
- КАФЕДРА ОРГАНИЧЕСКОЙ ХИМИИ НИЖЕГОРОДСКОГО ГОСУДАРСТВЕННОГО УНИВЕРСИТЕТА ИМ. Н.И. ЛОБАЧЕВСКОГО
- РАЗВИТИЕ ФУНДАМЕНТАЛЬНЫХ ПОДХОДОВ К СОЗДАНИЮ БИБЛИОТЕК НОВЫХ N, O, S-СОДЕРЖАЩИХ ГИБРИДНЫХ ГЕТЕРОЦИКЛОВ И ИХ ФУНКЦИОНАЛЬНЫХ ПРОИЗВОДНЫХ НА КАФЕДРЕ ОРГАНИЧЕСКОЙ И БИООРГАНИЧЕСКОЙ ХИМИИ САРАТОВСКОГО ГОСУДАРСТВЕННОГО УНИВЕРСИТЕТА ИМ. Н.Г. ЧЕРНЫШЕВСКОГО
- КАФЕДРА ОРГАНИЧЕСКОЙ И АНАЛИТИЧЕСКОЙ ХИМИИ ЯРОСЛАВСКОГО ГОСУДАРСТВЕННОГО ТЕХНИЧЕСКОГО УНИВЕРСИТЕТА
- КАФЕДРА ОРГАНИЧЕСКОЙ И БИОМОЛЕКУЛЯРНОЙ ХИМИИ УРАЛЬСКОГО ФЕДЕРАЛЬНОГО УНИВЕРСИТЕТА. СОВРЕМЕННЫЕ ПОДХОДЫ К СИНТЕЗУ АЗАГЕТЕРОЦИКЛОВ. ИЗУЧЕНИЕ ПРИКЛАДНЫХ СВОЙСТВ
- Фотоактивированные реакции
- Фотоактивные азагетероциклы: люминофоры и хемосенсоры
- Механохимический синтез
- Синтез конденсированных азолоазинов как лекарственных кандидатов
- КАФЕДРА ТЕХНОЛОГИИ ОРГАНИЧЕСКОГО СИНТЕЗА УРАЛЬСКОГО ФЕДЕРАЛЬНОГО УНИВЕРСИТЕТА. ФУНДАМЕНТАЛЬНЫЕ И ПРИКЛАДНЫЕ АСПЕКТЫ ХИМИИ 1,2,3-ТРИАЗОЛОВ
- Реакции енаминов с азидами — путь к 1,2,3-триазолам
- Трансформации цикла 1,2,3-триазолов и 1,2,3-триазолинов
- Синтез и фотофизические свойства моно- и бициклических 2-арил-1,2,3-триазолов
- Проблемы регио- и хемоселективности в химии комановой и хелидоновой кислот в исследованиях Института естественных наук и математики Уральского федерального университета им. первого Президента России Б.Н. Ельцина
- ОСНОВНЫЕ ТЕНДЕНЦИИ РАЗВИТИЯ И РЕЗУЛЬТАТЫ РАБОТ В ОБЛАСТИ ОРГАНИЧЕСКОЙ ХИМИИ В ДОНЕЦКОМ УНИВЕРСИТЕТЕ
- РАБОТЫ ПО ОРГАНИЧЕСКОЙ ХИМИИ, ВЫПОЛНЕННЫЕ НА КАФЕДРЕ ОБЩЕЙ, АНАЛИТИЧЕСКОЙ И ПРИКЛАДНОЙ ХИМИИ (ОАПХ) УГНТУ
- Каталитические реакции циклических ацеталей с диазосоединениями
- Гетерогенно-каталитические трансформации циклических ацеталей и гем-дихлорциклопропанов
- Окисление и низкотемпературный озонолиз
- КАФЕДРА ХИМИИ И БИОХИМИИ ЛУГАНСКОГО ГОСУДАРСТВЕННОГО ПЕДАГОГИЧЕСКОГО УНИВЕРСИТЕТА
- КАФЕДРА ОРГАНИЧЕСКОЙ И АНАЛИТИЧЕСКОЙ ХИМИИ ОМСКОГО ГОСУДАРСТВЕННОГО УНИВЕРСИТЕТА ИМ. Ф.М. ДОСТОЕВСКОГО И КАФЕДРА ХИМИИ И ХИМИЧЕСКОЙ ТЕХНОЛОГИИ ОМСКОГО ГОСУДАРСТВЕННОГО ТЕХНИЧЕСКОГО УНИВЕРСИТЕТА
- КАФЕДРА ОРГАНИЧЕСКОЙ ХИМИИ КУБАНСКОГО ГОСУДАРСТВЕННОГО УНИВЕРСИТЕТА — САМАЯ ЮЖНАЯ ВЕТВЬ ШКОЛЫ АКАДЕМИКА А.Е. ФАВОРСКОГО
- КАФЕДРА ОРГАНИЧЕСКОЙ ХИМИИ САМАРСКОГО ГОСУДАРСТВЕННОГО ТЕХНИЧЕСКОГО УНИВЕРСИТЕТА. СИНТЕЗ ФУНКЦИОНАЛЬНЫХ ПРОИЗВОДНЫХ КАРКАСНОЙ СТРУКТУРЫ. НЕАРОМАТИЧЕСКИЕ ГЕТЕРОЦИКЛЫ НА ОСНОВЕ РЕАКЦИИ МИХАЭЛЯ И ВОССТАНОВИТЕЛЬНОЙ РЕАКЦИИ ХЕКА, КАТАЛИЗИРУЕМЫХ КОМПЛЕКСАМИ МЕТАЛЛОВ
- КАФЕДРА ОРГАНИЧЕСКОЙ ХИМИИ СЕВЕРО-КАВКАЗСКОГО ФЕДЕРАЛЬНОГО УНИВЕРСИТЕТА
- КАФЕДРА ОРГАНИЧЕСКОЙ ХИМИИ ВОЛГОГРАДСКОГО ГОСУДАРСТВЕННОГО ТЕХНИЧЕСКОГО УНИВЕРСИТЕТА
- КЛЮЧЕВЫЕ ДОСТИЖЕНИЯ, ОСНОВНЫЕ ФУНДАМЕНТАЛЬНЫЕ И ПРИКЛАДНЫЕ НАУЧНЫЕ РЕЗУЛЬТАТЫ КАФЕДРЫ ОРГАНИЧЕСКОЙ ХИМИИ ВОРОНЕЖСКОГО ГОСУДАРСТВЕННОГО УНИВЕРСИТЕТА С 2018 ПО 2023 Г.
- НАУЧНО-ИССЛЕДОВАТЕЛЬСКИЙ ИНСТИТУТ ХИМИИ АНТИОКСИДАНТОВ НОВОСИБИРСКОГО ГОСУДАРСТВЕННОГО ПЕДАГОГИЧЕСКОГО УНИВЕРСИТЕТА: 20 ЛЕТ ИСТОРИИ
- ОРГАНИЧЕСКАЯ ХИМИЯ В ТОЛЬЯТТИНСКОМ ГОСУДАРСТВЕННОМ УНИВЕРСИТЕТЕ: СОПРЯЖЕННЫЕ ЕНИНОНЫ И ИХ АНАЛОГИ В СИНТЕЗЕ КАРБО- И ГЕТЕРОЦИКЛИЧЕСКИХ СОЕДИНЕНИЙ
- ПОЛИМЕРНАЯ ХИМИЯ В КАБАРДИНО-БАЛКАРСКОМ ГОСУДАРСТВЕННОМ УНИВЕРСИТЕТЕ ИМ. Х.М. БЕРБЕКОВА. СОВРЕМЕНННЫЕ ТЕНДЕНЦИИ
СПИСОК ЛИТЕРАТУРЫ
__________◥✧◤___________
1. ВВЕДЕНИЕ
В 2018 году в Журнале органической химии был опубликован коллективный обзор “Современные тенденции органической химии в университетах России” [1]. Настоящий обзор подводит итоги результатов исследований, которые были проведены в российских университетах за период, прошедший с момента опубликования первого обзора. Данная статья написана большим коллективом авторов из многих городов России, и мы полагаем, что она будет интересна читателям, поскольку демонстрирует тенденции и направления развития органической химии не только в российских университетах, но и в российской науке в целом.
2. КАФЕДРА ОРГАНИЧЕСКОЙ ХИМИИ КАЗАНСКОГО ФЕДЕРАЛЬНОГО УНИВЕРСИТЕТА
На кафедре органической и медицинской химии Казанского федерального университета, в которую в 2021 году была преобразована кафедра органической химии, в последние годы основной акцент делается на получении органических соединений, обладающих уникальными свойствами. Однако помимо синтетических работ на кафедре интенсивно развиваются междисциплинарные подходы супрамолекулярной химии, позволяющие создавать на основе новых органических соединений комплексные системы, имитирующие живые. Совсем недавно были разработаны эффективные методы синтеза водорастворимых производных тиакаликс[4]арена в различных стереоизомерных формах (конус, частичный конус и 1,3-альтернат), а также моно- и деказамещенных пиллар[5]аренов, позволившие получить широкий ряд соединений, содержащих амидные, карбоксильные, аммониевые, лактидные аминогруппы, тиоэфирные, фосфорсодержащие фрагменты, а также остатки природных аминокислот. Полученные соединения предложены в качестве компонентов стабильных самособирающихся супрамолекулярных систем, способных к ингибированию холинэстеразы, связыванию ряда катионов металлов, аминов, гербицидов, красителей, биополимеров, а также лекарственных препаратов с целью их направленного транспорта, увеличения продолжительности действия и биодоступности.
Одним из научных направлений в группе проф. И.И. Стойкова в последние 5 лет стали синтез и изучение свойств водорастворимых производных тиакаликс[4]арена, содержащих четвертичные аммониевые [2–5] и поли(амидоаминные) [6–12] группы (рис. 2.1). Полученные соединения могут как сами по себе обладать противоопухолевой и антимикробной активностью, так и быть способными к связыванию биологически важных низко- и высокомолекулярных субстратов (катехоламины, ДНК, белки, ферменты). Отдельным направлением научной группы являются синтез и изучение электрохимических свойств гетероциклических соединений — производных фенотиазина [13–17]. Эти исследования проводятся совместно с группой проф. Евтюгина (кафедра аналитической химии). В результате совместной работы кафедр разработаны высокочувствительные электрохимические сенсоры на основе широкого ряда ароматических производных фенотиазина.
Разработаны методики формирования 3D самособирающихся наноразмерных частиц с различным зарядом и стабильностью на платформе полиионных производных пиллар[5]аренов, п-трет-бутилтиакаликс[4]аренов и диоксида кремния в водных средах путем их комбинирования посредством электростатических взаимодействий [18–25]. На основании характеристик самоассоциации каждой из платформ показано, что ключевую роль в формировании интерполиэлектролитного ассоциата играет способность макроцикла формировать его основу (ядро) за счет способности к мицеллообразованию. Выявлено, что именно знак заряда поверхности (отрицательный или положительный), а не его величина, является определяющим в распознавании биополимеров за счет электростатических взаимодействий [20, 22–25]. Выявлено, что для изменения селективности интерполиэлектролитного ассоциата по отношению к различно заряженным биополимерам (ДНК или белки) достаточной является смена конформации макроцикла (в случае производных тиакаликс[4]арена) без изменения природы функциональных групп [24].
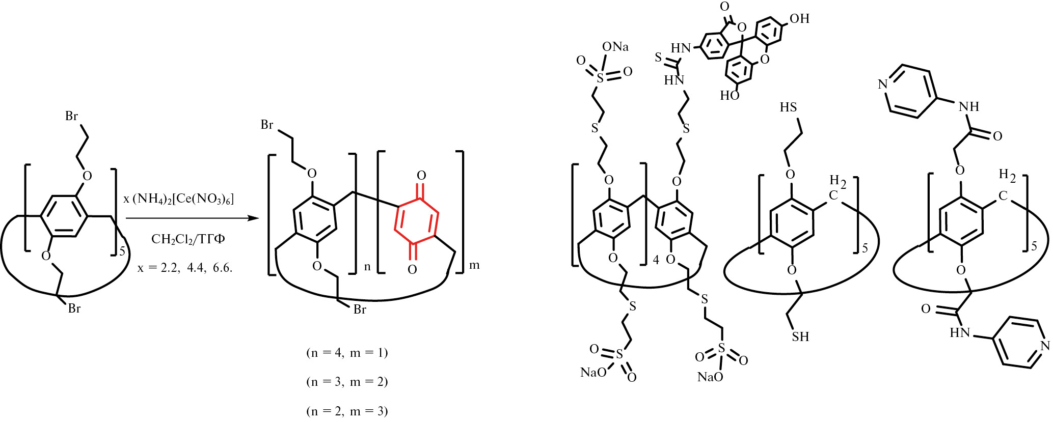
В исследовательской группе проф. И.И. Стойкова продолжаются исследования, направленные на изучение свойств парациклофанов — пиллар[n]аренов [26–35]. Так, за последние годы разработаны подходы к региоселективному получению полифункциональных производных пиллар[5]арена [28]. Селективным окислением церий(IV)-аммоний нитратом 2-бромэтоксильных производных деказамещенного пиллар[5]арена в мягких условиях были синтезированы макроциклы, содержащие от одного до трех 1,4-хиноновых фрагментов (рис. 2.2) [36]. Впервые был получен водорастворимый пиллар[5]арен, содержащий флуоресцентную метку и девять сульфоэтильных фрагментов. Методами УФ-, флуоресцентной спектроскопии было показано, что синтезированный макроцикл образует ассоциаты состава 1:2 с природными белками (биназа, блеомицин и лизоцим) с антибактериальной активностью [28].
В области создания материалов биомедицинского назначения реализован подход конструирования супрамолекулярных пленок, содержащих фрагменты пиллар[5]арена, с использованием тиол/дисульфидной окислительно-восстановительной сшивки соответствующих серусодержащих макроциклов (рис. 2.2). Полученные пленочные структуры продемонстрировали способность к самозаживлению под действием кислорода воздуха [36]. Комплексом физических методов была показана способность пиллар[5]арена, входящего в состав пленок, образовывать комплексы с антимикробным препаратом — моксифлоксацином — состава 2:1 (lgK11 = 2.14 и lgK12 = 6.20). Содержащие моксифлоксацин пленки эффективно подавляли развитие биопленок Staphylococcus aureus и Klebsiella pneumoniae на адгезивных поверхностях. Также продемонстрирована способность пиллар[5]арена, содержащего п-амидопиридиновые фрагменты (рис. 2.2), образовывать в метаноле супрамолекулярные ассоциаты с катионами Сu2+ и Pd2+ состава 2:1 [29]. Показано, что при концентрации 10 мМ ассоциаты переходят в металлосупрамолекулярные координационные полимеры в виде супрамолекулярных гелей. Полученные металлосупрамолекулярные координационные полимеры селективно сорбировали нитрофенольные соединения (2,6-динитрофенол и 2,4,6-тринитрофенол) из воды.
Важным направлением исследований, проводимых на кафедре, является дизайн монозамещенных пиллар[5]аренов, функционализированных фосфорсодержащими, карбоксильными, амидными и аммонийными фрагментами [37–51]. На их основе разработан подход к формированию ротаксановых структур [37], супрамолекулярных полимеров [39, 40], комплексов самовключения и твердых липидных наночастиц [41, 42], способных к инкапсуляции биологически значимых субстратов. Кроме того, предложен и реализован подход к получению водорастворимых деказамещенных пиллар[5]аренов [43–45], содержащих фрагменты аминокислот, а также показана их способность к связыванию гербицидов [46], красителей [47, 48], и ингибированию холинэстеразы [49].
Научное направление по синтезу амфифильных соединений на основе производных (тиа)каликс[4]аренов активно развивается на кафедре органической и медицинской химии под руководством члена-корреспондента РАН И.С. Антипина и доцента, доктор химических наук В.А. Бурилова. Особое внимание к амфифильным молекулам связано с их способностью формировать в водных растворах высокоупорядоченные молекулярные ансамбли, обладающие способностью к молекулярному распознаванию и к многоцентровым взаимодействиям. Для построения подобных систем активно используется модульный подход клик-химии (реакция медь-катализируемого циклоприсоединения азидов и алкинов, CuAAC). Для построения амфифильных соединений используются производные тиакаликс[4]арена в стереоизомерной форме 1,3-альтернат, в которые вводятся различные функциональные группы, включая дендроны галловой кислоты [52], способные стабилизировать частицы палладия в виде нанодендритов, и фрагменты флуоресцеина [53, 54] (схема 2.1).
Рис. 2.1. Поли(амидоаминные) дендримеры первой–третьей генерации на платформе тиакаликс[4]арена
Рис. 2.2. Синтез хинон[m]пиллар[n]аренов и структуры деказамещенных пиллар[5]аренов
Также получены амфифильные триазолы на основе арилазидкаликс[4]арена, которые могут применяться в мицеллярном катализе или в компактизации ДНК [55, 56]. Некоторые полиаминопроизводные каликс[4]арена демонстрируют противоопухолевые свойства [57].
Синтезированные амфифильные диацетиленовые производные (тиа)каликс[4]аренов (рис. 2.3) были применены для модификации полидиацетиленовых частиц, которые проявляют отклик по отношению к лантанидам [58], ДНК [59] или нуклеозидфосфатам [60]. Обнаружено [61], что диацетиленовые производные каликс[4]арена могут подвергаться восстановительному деалкилированию в присутствии гидразина.
Рис. 2.3. Сенсоры на основе модифицированных полидиацетиленовых везикул
Другим направлением группы доцента В.А. Бурилова стал синтез полимерных частиц, получаемых агрегацией и CuAAC-фиксацией макроциклических имидазолиевых азидов и алкинов (рис. 2.4), которые могут использоваться как носители для каталитически активных частиц палладия [62–64]. Имидазолиевые азиды можно использовать и для синтеза полифункциональных цвиттер-ионных амфифилов [65].
Введение имидазолиевых фрагментов в макроциклическую платформу открывает путь к синтезу NHC-лигандов для получения металлокомплексов. На основе тиакаликсарена получены прекурсоры и бис-NHC металлокомплексы Pd(II) [66–68] и гетеролигандные NHC-пиридиновые комплексы Pd(II) [69], показавшие высокую активность в реакциях сочетания и восстановления.
Рис. 2.4. Варианты использования макроциклических имидазолиевых прекурсоров CuAAC
В российско-японской НИЛ КФУ — RIKEN “Лаборатория биофункциональной химии” под руководством доцента А.Р. Курбангалиевой и доктора Кацунори Танака разработана эффективная стратегия синтеза гетерогенных структурно-организованных гликоальбуминов, способных селективно распознавать раковые клетки [70–73]. Для синтеза кластеров использованы две последовательные клик-реакции, с помощью которых осуществлено введение фрагментов двух различных аспарагин-связанных гликанов в структуру азидсодержащего линкера с последующей иммобилизацией N-гликаназидов на флуоресцентно-меченый альбумин. Исследование селективности взаимодействия полученных гликоконъюгатов с различными линиями раковых клеток позволило выявить два гликокластера-лидера, на основе которых впервые синтезированы N-гликоальбумины c более высокой степенью гетерогенности, содержащие фрагменты четырех различных N-гликанов (схема 2.2а) [71, 73]. Показано, что с увеличением степени гетерогенности кластеров увеличивается эффективность распознавания раковых клеток в живом организме. Методом флуоресцентной микроскопии выявлены основные зависимости между структурой гетерогенного гликоконъюгата и его способностью взаимодействовать с раковыми клетками в экспериментах in vitro, ex vivo и in vivo [70–73], что является важным шагом в понимании механизма распознавания образов гликанов, связанного с таргетингом опухолей.
Схема 2.2
Коллектив сотрудников RIKEN и КФУ разработал перспективный метод доставки лекарственного средства к раковым клеткам с использованием искусственного металлофермента на основе гликозилированного альбумина [74, 75]. В гидрофобную полость человеческого сывороточного альбумина был введен рутениевый катализатор, а на поверхность белка были иммобилизованы N-гликаны, благодаря которым происходит распознавание конкретных типов клеток и транспорт к ним всей системы доставки. Рутениевый комплекс катализировал превращение пролекарства в умбреллипренин, обладающий противоопухолевой активностью [74]. Таким образом, осуществлена адресная доставка катализатора к раковым клеткам и подтверждена возможность использования искусственного металлофермента in vivo.
Предложен препаративный и удобный метод синтеза стереоизомерно чистых форм 2,6-дизамещенных производных ряда 1,5-диазациклооктана, основанный на алкилировании продуктов взаимодействия акролеина с оптически активными аминоспиртами ((R)-(-)-2-фенил-глицинол, (1S,2R)-(-)-цис-1-амино-2-инданол) и последующем каталитическом гидрогенолизе полученных гетероциклических продуктов (схема 2.2б) [76, 77]. Выявлено различное поведение 2,6-дизамещенных производных 1,5-диазациклооктана в реакциях гидрогенолиза, проводимых в присутствии катализатора Перлмана.
В рамках исследования биологически активных пятичленных О-гетероциклов разработаны методы получения оптически активных сульфонов и дисульфонов на основе 3,4-дигалоген-5-гидрокси-2(5Н)-фуранонов, монотерпеновых спиртов, тиолов и дитиолов [78–80]. Синтезировано флуоресцентное производное фуранона, содержащее сульфонильную группу и остаток 2-(бензотиазол-2-ил)-4-бромфенола, оценена его способность проникать в бактериальные клетки S. aureus [81]. В ряду синтезированных соединений обнаружены вещества с выраженной антимикробной и противогрибковой активностью в отношении клеток Staphylococcus aureus, Bacillus cereus, Streptococcus spp. и Candida albicans (схема 2.2в). Для cульфонов 5(S)-(l-ментилокси)- и 5(S)-(l-борнилокси)-2(5Н)-фуранонов выявлен эффект синергизма при их комбинировании с антибиотиками аминогликозидного ряда, противогрибковыми средствами и бензалкония хлоридом в отношении микроорганизмов в составе как моно-, так и смешанных культур [78, 82–84].
3. КАФЕДРА ОРГАНИЧЕСКОЙ ХИМИИ СПБГУ
К 300-летию со дня основания Санкт-Петербургского государственного университета
Кафедра органической химии Санкт-Петербургского государственного университета имеет богатую историю и традиции. В настоящее время на кафедре работают 7 профессоров, 10 доцентов, а также старший преподаватель и ассистент Кадрового резерва Института химии СПбГУ. С 2018 по 2023 год на кафедре проводились исследования в рамках проектов, поддержанных грантами РНФ (18 проектов, десять из которых для молодых ученых), РФФИ (6 проектов) и Совета по грантам при президенте РФ (1 проект). В настоящем обзоре кратко представлены актуальные направления исследований научных групп кафедры органической химии СПбГУ и наиболее важные результаты, полученные за последние 5 лет. В основном работы ведутся в области органического синтеза, главным образом гетероциклических соединений, включая исследования механизмов реакций с привлечением квантово-химических расчетов. Две научные группы занимаются разработкой новых подходов и методов органического анализа.
Научная группа под руководством доктор химических наук, профессора И.А. Баловой, директора Института химии, работает в области химии ацетиленов, развивая традиции, заложенные в Санкт-Петербургском университете академиком А.Е. Фаворским, создавшим уникальную научную школу [85]. Исследования группы связаны с разработкой удобных подходов и методов синтеза различных гетероциклических систем с использованием циклизаций моно- и диацетиленов. Разработан общий синтетический подход к макроциклическим ендииновым системам, аннелированным с гетероциклами, с целью получения синтетических аналогов природных ендииновых антибиотиков с использованием реакции Николаса в качестве ключевой для замыкания ендиинового цикла. Бензотиофен-азаендииновое структурное ядро определено в качестве лидера для дальнейшей модификации и поиска структур, проявляющих противоопухолевые свойства (схема 3.1) [86, 87]; кроме того, получен ряд других гетероциклических аналогов ендиинов [88–90].
На основе Cu-катализируемого циклоприсоединения органических азидов к 1-иодбута-1,3-диинам получен новый класс соединений — 5-иод-4-этинил-1,2,3-триазолы [91, 92], которые с помощью кросс-сочетания Соногаширы–Хагихары и Сузуки–Мияуры были трансформированы в соответствующие 4,5-бис (арилэтинил)- и 5-арил-4-этинилтриазолы, обладающие интересными флуоресцентными свойствами [93, 94]. Разработан синтетический подход к новым гетероциклическим азидам — 4-азидоциннолинам и их производным (схема 3.2, A) [95], которые исследуются как потенциальные флуорофорные вещества [96]. Производные циннолинового ряда также представляют интерес в качестве селективных ингибиторов фермента протеинфосфотирозинфосфатазы 1В (PTP1B) (схема 3.2, B) (работа в сотрудничестве с доктор биологических наук А.О. Шпаковым, ИЭФБ РАН) [97‒100].
Изучено влияние природы заместителей и растворителей на 5-экзо : 6-эндо селективность циклизации Рихтера о-(арилэтинил)арендиазониевых солей для получения аналогов Комбретастатина А [99]. Разработан общий синтетический подход к получению циклоалкинов, конденсированных с гетероциклами, для проведения реакций биоконъюгации путем промотируемого напряжением в циклоалкине присоединения азидов к тройной связи (SPAAC) (схема 3.3). Проведены эксперименты по визуализации метаболически меченых клеток линии Hek293 с использованием нового реагента на основе гетероциклононина [101], а также получены новые оксациклононины, обладающие флуоресцентными свойствами [102].
Важным сопутствующим направлением исследований научной группы являлся синтез и изучение новых Pd- и Cu-содержащих ациклических и циклических диаминокарбеновых комплексов для разработки новых каталитических систем [103‒109].
В научной группе доктор химических наук, профессора А.Ф. Хлебникова синтезированы хлорангидриды 2H-азирин-2-карбоновых кислот [110–113], реакции которых с нуклеофилами, помимо разнообразных производных этих кислот [114], позволяют получать азирин-содержащие строительные блоки с диазо, азидо и другими активными функциональными группами с высоким синтетическим потенциалом (схема 3.4). В частности, разработаны методы синтеза азиринил-замещенных диазосоединений [112, 113], реакции циклизации и гетероаннелирования которых позволяют получать алкил-5/4-гидрокси-3H-бензо[e]индол-4/5-карбоксилаты [115], алкил-2-гидрокси-3-оксо-2,3-дигидро-1H-пиррол-2-карбоксилаты [113], циклогептатриенил-замещенные азирины, пирролы и изоксазолы [116], бензо/фуро/тиено[e]-конденсированные 1H-индол-7-олы [117]. Разработаны методы синтеза 2-(азидокарбонил)-2H-азиринов [118], легко трансформирующихся в производные 2-(1H-тетразол-1-ил)уксусной кислоты [119], бензо- и гетероконденсированные 1H-пирроло[2,3-b]пиридин-6(7H)-оны, α-аминопирролы [118] и алкил 5-аминопиколинаты [120]. На основе Fe(II)/Au(I)-катализируемой эстафетной изомеризации 4-пропаргилизоксазолов разработаны методы получения би-, тер- и кватерпиридинов [121–123].
Обнаруженные каталитические перегруппировки изоксазолов с непредельными заместителями в четвертом положении позволяют получать производные оксазола [124], N-аминопиразола [125], индол-3-карбоновой кислоты [126], пиррола [127] и 4-аминопиридина [128]. Разработаны методы получения производных пиримидинов [129], 1H-пиррол-2,3-дионов [130], 4-оксо-1,4-дигидропиридин-3-карбоксилатов [131], никотинатов [132], 4-гидроксипиридин-2(1H)-онов [133] и α-аминопирролов [134] Mo(CO)6-промотируемыми реакциями изоксазолов и оксадиазолов. Гетероциклические гибриды, содержащие азирин [111, 135], пиррол [127, 132, 136–140], имидазол [110], оксазол [112, 141], триазол [111, 142, 143] и тетразол [119], получены реакциями функционализированных азиринов.
В научной группе доктор химических наук, профессора М.С. Новикова проводились исследования по разработке новых синтетических методов на основе новых реакций 2Н-азиринов, N—N и N—O азолов, сопряженных азаполиенов и диазосоедиений (схема 3.5). Была разработана общая методология замещения галогена при азириновом цикле и предложены простые методики для формирования при азириновом атоме С2 связей С—Hal [144], С—O [145], С—N [146] и С—С [147]. Для некоторых из функционально замещенных азиринов, полученных по этим методикам, были найдены принципиально новые реакции расширения азиринового кольца, которые легли в основу удобных методов синтеза новых производных пиррола [148, 149], 1,3-оксазина [150], бутенолид-содержащих производных a- и b-аминокислот [151], имидазо[1,2-a]-, имидазо[1,5-a]- и пиразоло[1,5-a]пиридинов [152, 153].
Схема 3.5
Серия работ посвящена новому использованию доступных 3-арилазиринов в качестве аннелирующих агентов в медь-катализируемых синтезах различных пирроло- и фуроконденсированных гетероциклов [154–156]. Предложены новые применения диазосоединений и диазониевых солей как аннелирующих агентов для трансформации одних гетероциклических систем в другие: азиринов — в пиразино[2,3-b]индолы [157], производные азета [158, 159], 3,4-эпоксипирролины [160]; пиразолов — в дигидропиримидины [161]; 1,2,3-триазолов — в 4-пирролин-2-оны [162]; 1,2,4-оксадиазолов — в 1,3,5-оксадиазины [163]; пирролов — в пирроло[1,2-c][1, 3]оксазиноны [164]; изоксазолов — в 1,2,3-триазолы [165]. Эти синтезы реализуются через образование сопряженных азаполиеновых интермедиатов, уникальная химия которых относится к одним из главных приоритетов в исследованиях научной группы. Для генерирования первых представителей ди- и триазаполиенов были успешно применены Rh-катализируемые реакции 1-сульфонил-1,2,3-триазолов с азиринами и различными N—O и N—N азолами. В результате удалось разработать эффективные методы синтеза новых производных пиррола [166], имидазола [167, 168] и соединений с новым 1,4,8-триазаокта-1,3,5,7-тетраеновым скелетом [168]. Обсуждение новых концепций, выработанных на основе полученных результатов, можно найти в обзорах [169, 170], написанных совместно с другими научными группами кафедры.
В научной группе доктор химических наук, доцента Н.В. Ростовского, заведующего кафедрой органической химии, c 2019 года проводились исследования по трем направлениям: химии 2Н-азиринов, реакциям диазосоединений (1,2,3-триазолов) и поиску веществ с высокой антибактериальной и цитотоксической активностью (схема 3.6). Впервые были получены и охарактеризованы комплексы 2Н-азиринов с тетраацетатом диродия [171]. Был разработан удобный и эффективный метод синтеза 2Н-азирин-2-карбоновых кислот [172], в том числе пригодный для получения природного представителя азиринов — азириномицина, и исследованы несколько путей модификации их карбоксильной группы [173, 174]. Исследование антибактериальной активности азиринкарбоновых кислот и их производных в отношении бактерий ESKAPE показало, что наиболее активной является 3-фенил-2Н-азирин-2-карбоновая кислота (в сотрудничестве с доктор медицинских наук Л.А. Краевой, СПбНИИЭМ им. Пастера).
Медицинская химия 2Н-азиринов была подробно описана в обзорной статье [175]. Было показано, что азирин-2-карбоксилаты подвергаются окислительной димеризации под действием триэтиламина с образованием пиримидин-4,6-дикарбоксилатов [176], а азирин-3-карбоксилаты, генерируемые из винилазидов, — аналогичной димеризации в фотохимических условиях в пиримидин-4,5-дикарбоксилаты [177]. Золото(I)-катализируемые реакции тризамещенных азиринов с инамидами могут быть использованы для получения различных типов производных аминопиррола [178]. Исследование химии карбенов нашло отражение в фотохимическом синтезе кетениминов из диазосоединений и изоцианидов [179]. На основе металл-катализируемых реакций азиринов с диазосоединениями и их аналогами, пиридотриазолами, были разработаны новые методы синтеза 1-пирролинов [180], 1,3-оксазин-6-онов [174] и пиридопиразинов [181]. Реакции пиридотриазолов с выделением азота были просуммированы в обзорной статье [182]. В качестве источников карбенов были использованы и 1-сульфонил-1,2,3-триазолы, реакции которых с 3,4,5-тризамещенными изоксазолами и незамещенными по азоту анилинами приводят к 2-ароилпиримидинам [183], и этен-1,2-диаминам [184] соответственно.
В научной группе доктор химических наук, доцента А.В. Степакова проводилось исследование реакций (3+2)-циклоприсоединения азометин-илидов, генерируемых in situ из циклических кетонов и аминов, к циклопропеновым диполярофилам. На основе данных реакций был разработан общий метод регио- и диастереоселективного синтеза функционализированных циклопропа[а]пирролизидинов и 3-азабицикло[3.1.0]гексанов, спиросочлененных с гетероциклическими фрагментами (схема 3.7) [185–191]. Впервые введены в синтетическую практику как карбонильные компоненты для генерации азометин-илидов природный алкалоид триптантрин и 11H-бензо[4, 5]имидазо[1,2-a]индол-11-он, а также впервые показана возможность использования пептидов как аминной компоненты для генерации азометин-илидов in situ. Ряд полученных спирогетероциклов показал выраженный антипролиферативный эффект на клеточных линиях K562, HeLa и CT26 [192–194].
Были исследованы меж- и внутримолекулярные реакции, протекающие с участием N-ацилиминиевых катионов (схема 3.8), как инструмент для построения новых связей углерод—углерод и углерод—гетероатом [195, 196], в том числе показана возможность генерирования N-ацилиминиевых катионов из 3-арил-4-гидрокси-1-метил-3,4-дигидрохиназолин-2(1H)-онов in situ и их реакция с алкенами, приводящая к хинолино[1,2-c]хиназолинам [197].
На основе Pd(II)-катализируемой реакции окислительного циклоприсоединения с участием алкинов и NH-субстратов разработан одностадийный синтез новых гетероциклических систем с азепино[3,2,1-ij]хиназолиновым каркасом (схема 3.9) [198].
Научная работа кандидат химических наук, доцента М.М. Ефремовой (ранее научная группа проф., доктор химических наук А.П. Молчанова) посвящена исследованию реакций (3+2)- и (3+3)-циклоприсоединения 1,3-диполей к N-винильным производным пирролов и индолов: изучено влияние заместителей при двойной связи в цикле на направление и селективность процессов (схема 3.10) [199–202].
Проведены исследования новых аспектов двойственной реакционной способности диазиридинов (схема 3.11). Для генерации азометиниминов из 6-арил-1,5-диазабицикло[3.1.0]гексанов была впервые использована микроволновая активация [203]. Показана зависимость типа реакционной способности диазиридинов, производных 3,4-дигидроизохинолина, от заместителя при атоме азота [204].
На основе реакций нитронов с непредельными соединениями были разработаны подходы к получению новых спироизоксазолидинов (схема 3.12) [205–207]. Для ряда полученных структур изучена активность против вируса гриппа H1N1 и противоопухолевая активность.
Были изучены хемо-, регио- и стереоселективность реакций циклоприсоединения нитронов с пирролил- и индолилалленами [208] и циклическими алленами [209]. Кроме того, на основе реакций циклоприсоединения нитронов были разработаны методы синтеза спироциклических и мостиковых структур, содержащих изоксазолидиновый фрагмент, и проведена оценка их противовирусной активности [210, 211].
Общим направлением работы кандидат химических наук, доцента А.С. Паньковой (ранее научная группа проф., доктор химических наук М.А. Кузнецова) стало изучение методов синтеза и реакционной способности пяти- и шестичленных азотистых гетероциклов на основе превращений азиридинов и (триметилсилил)пентенинонов. Путем термической рециклизации 2-ацилазиридинов был синтезирован ряд тиофенил-замещенных оксазолов, обладающих выраженной флуоресценцией (схема 3.13) [212]. Последние достижения в химии 2-ацилазиридинов описаны в обзоре [213].
Построение гетероциклов на основе инициированных электрофилами реакций кросссопряженных енинонов освещено в обзоре [214]. Продемонстрирована зависимость селективности циклизации пент-1-ен-4-ин-3-онов от заместителя при двойной связи (схема 3.14): 6-эндо-диг циклизация 1-этокси(гидрокси)пентенинонов в 4H-пиран-4-оны [215] и 5-экзо-диг циклизация 1-аминопентенинонов в 2-метилиденпиррол-3- оны [216].
Показано, что циклоизомеризация 2-арил-3-этинилпиридинов и хинолинов может быть использована в качестве удобного способа синтеза бензо[h]хинолинов и бензо[c]акридинов, причем заместитель при тройной связи определяет выбор катализатора: TfOH или PtCl2 (схема 3.15) [217]. Потенциал синтетических схем на основе циклизации орто-этинилбиарилов и последние достижения в этой области продемонстрированы в обзоре [218].
Исследования в научной группе доктор химических наук, профессора Д.С. Болотина с 2021 года проводились по одному из направлений развития области электрофильного органокатализа — созданию аналогов металлокомплексных катализаторов, имеющих в качестве центрального атома неметалл с кинетически лабильной координационной вакансией, а именно s-дыркой, локализованной на неметалле и являющейся областью с положительным электростатическим потенциалом (схема 3.16, s-дырки выделены цветом).
Схема 3.16
Катализаторы первого поколения — незаряженные элементоорганические соединения с сильными электроноакцепторными группами (А и Б) – являются малоперспективными для использования в катализе, вследствие их малой стабильности в условиях большинства реакций и низкой активирующей способности [219]. Катионные гетероциклические соединения, имеющие экзоциклический атом галогена или халькогена (В и Г, катализаторы второго поколения) обуславливают существенно большую активацию и обладают умеренной стабильностью в условиях реакции [220]. Наиболее перспективны гипервалентные галониевые (Д) [221–226] и халькониевые соли (Е) [221, 223, 227], что было подтверждено в реакциях получения серии гетероциклических соединений. Проведены квантово-химические расчеты для поиска наиболее эффективного гетероэлемента: наибольшие перспективы в нековалентном электрофильном катализе имеют теллур- и иодорганические соединения [223, 228].
В научной группе доктор химических наук, профессора Л.А. Карцовой разработаны новые подходы в области селективного хроматографического (ВЭЖХ, ГХ, ВЭТСХ, HILIC) и электрофоретического (КЗЭ, МЭКХ, МЭЭКХ, КЭХ, ЛОКЭ) определения биологически активных веществ (стероидных гормонов, аминов и аминокислот, лекарственных препаратов, катехоламинов, полифенольных антиоксидантов и др.) с УФ и МС-детектированием в плазме, сыворотке крови, моче, в культуральных жидкостях, биологических тканях (тканях мозга, клетки тканей печени) с использованием процессов комплексообразования, включая лигандный обмен, с участием ионных жидкостей и организованных сред (краун-эфиров, макроциклических антибиотиков, циклодекстринов, мицелл, образованных анионными и катионными ПАВ, микроэмульсий, сверхразветвленных полимеров на основе полиэтиленимина) [229–238]. Выполнены исследования по метаболическому профилированию биологических жидкостей и экстрактов лекарственных растений [239–241]. Предложен вариант одновременного определения противотуберкулезных препаратов и их метаболитов в плазме крови человека методом ОФ ВЭЖХ-МС-МС с электроспрей-ионизацией в режиме положительной ионизации путем мониторинга множественных реакций (MRM) [242]. Разработанный вариант электрофоретического анализа смеси нативных аминокислот с применением фонового электролита, содержащего ионы Cu2+, обеспечил детектирование всех аминокислот за счет образования поглощающих в УФ области спектра комплексов “Cu2+ – аминокислота” и был адаптирован к анализу культуральных жидкостей при создании клеточной модели неалкогольной жировой болезни печени (НАЖБП) [243]. Выявлены аналитические возможности полимерных наночастиц — сополимеров стирола и дивинилбензола с терминальными сульфо- и четвертичными аммонийными группами — в качестве модификаторов электрофоретических систем при определении и внутрикапиллярном концентрировании органических кислот, катехоламинов и аминокислот для целевого метаболического профилирования. Пределы обнаружения аналитов снижены в 2–10 раз, что сделало возможным их определение в биологических жидкостях [244–246]. Предложен гибридный вариант внутрикапиллярного электрофоретического концентрирования с использованием синтезированного хирального селектора на основе циклодекстрина и имидазолиевой ионной жидкости, обеспечивший концентрирование энантиомеров кетопрофена и кеторолака в 290–390 раз и снизивший при этом пределы их обнаружения до 12–55 нг/мл [247, 248].
Основные направления исследований научной группы доктор химических наук, профессора И.Г. Зенкевича связаны с совершенствованием хромато-спектральных способов идентификации органических соединений и родственным проблемам. Предложенный тип рекуррентных соотношений (1), предполагающий равноотстоящие значения аргументов и применимый к свойствам (A), зависящим от температуры, давления или концентрации компонентов, был использован для аппроксимации зависимостей времен удерживания как эффективный способ выявления образования гидратов органических соединений в условиях ВЭЖХ [249–254].
(1)
(2)
Подобные рекуррентные соотношения применимы для контроля, коррекции и восстановления значений физико-химических свойств органических соединений [255], аппроксимации температурной зависимости растворимости в воде [256] и решения иных задач. Более того, выполнение соотношения (2) для хроматографических индексов удерживания (RI) родственных соединений оказалось ключевым доводом для подтверждения их принадлежности к сериям гомологов или (в общем случае) конгенеров. Этот критерий в сочетании с химическими свойствами был использован для идентификации неизвестных ранее продуктов частичного гидролиза тетраэтоксисилана [257]. При помощи метода ВЭЖХ-МС было установлено, что основными продуктами окисления алкилфенолов хлоридом железа (III) являются продукты нуклеофильного присоединения исходных алкилфенолов к промежуточным хинонметидам, которые могут окисляться далее до смесей олигомеров [258]. Это процесс аналогичен окислению фенолов в водных растворах растворенным кислородом воздуха, что позволило установить механизм окисления природных флавоноидов [259, 260]. Показана возможность надежной идентификации диалкилфосфонатов и триалкилфосфитов [261], а также алкилдихлорфосфатов, диалкилхлорфосфатов и их тиоаналогов [262] с помощью хромато-масс-спектрометрической характеристики. Проявление более “тонких” стерических эффектов в хроматографических параметрах производных аминокислот рассмотрено в работе [263]. Среди “обычного” набора примесей этилового спирта впервые идентифицированы винилэтиловый эфир и диэтилацеталь формальдегида [264].
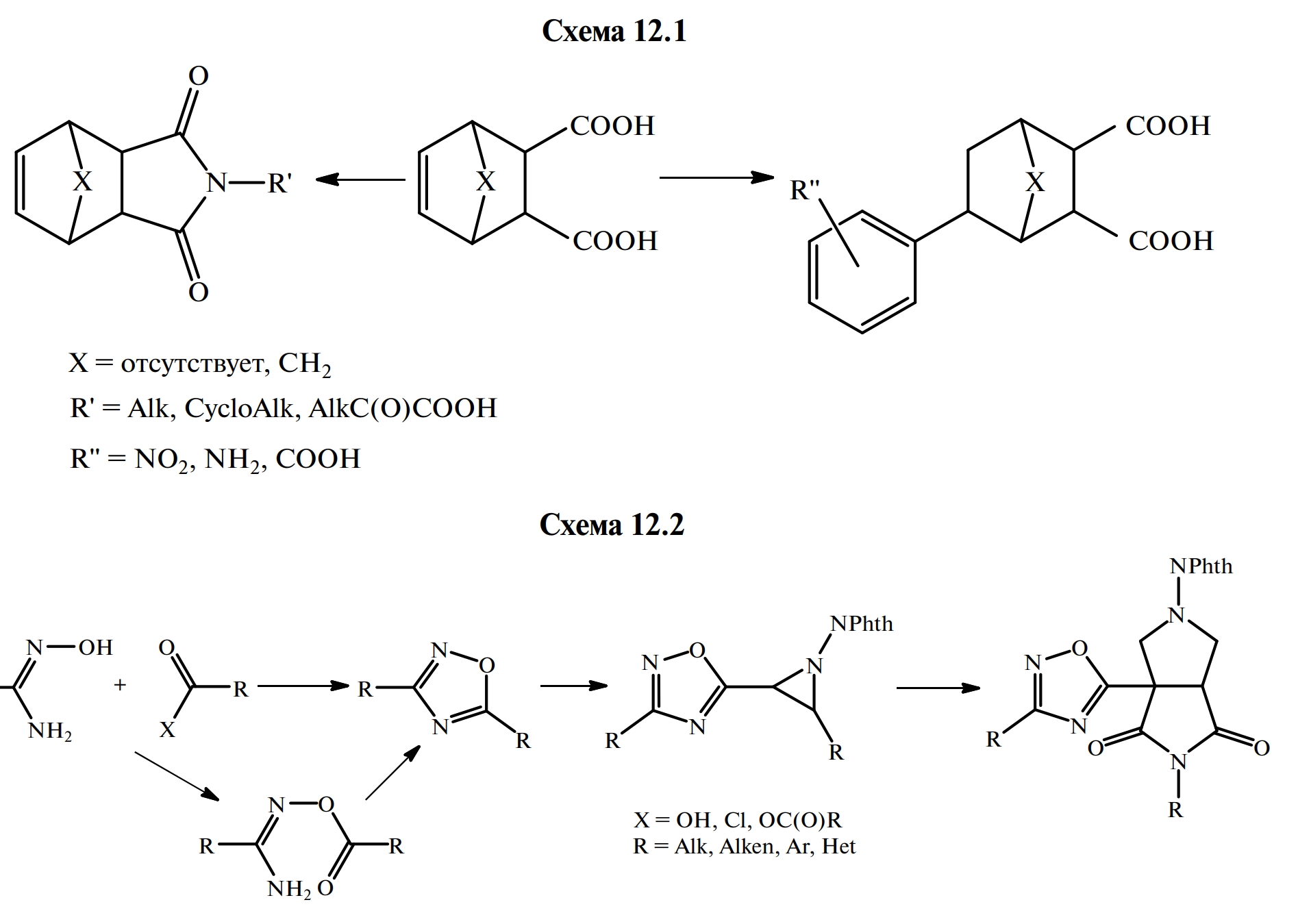
4. САНКТ-ПЕТЕРБУРГСКИЙ ТЕХНОЛОГИЧЕСКИЙ ИНСТИТУТ (ТЕХНИЧЕСКИЙ УНИВЕРСИТЕТ). ГИБРИДНЫЕ ГЕТЕРОЦИКЛИЧЕСКИЕ СИСТЕМЫ НА ОСНОВЕ ФУРАНА И 1,2,3-ТИО- И СЕЛЕНОДИАЗОЛА, А ТАКЖЕ ДИГИДРОПИРАНА. СИНТЕЗ И МЕТОДЫ ФУНКЦИОНАЛИЗАЦИИИ
Сочетание в одной молекуле π-избыточного гетероциклического фрагмента, находящегося в сопряжении с π-дефицитным, приводит к переносу электронной плотности внутри системы. В результате образуется биполярная структура, а химические свойства обоих гетероциклов заметно изменяются. Соединения подобного строения находят применение для создания лекарственных препаратов и средств медицинской диагностики, а также мономеров для π-альтернирующих полимеров, используемых в качестве органических полупроводников.
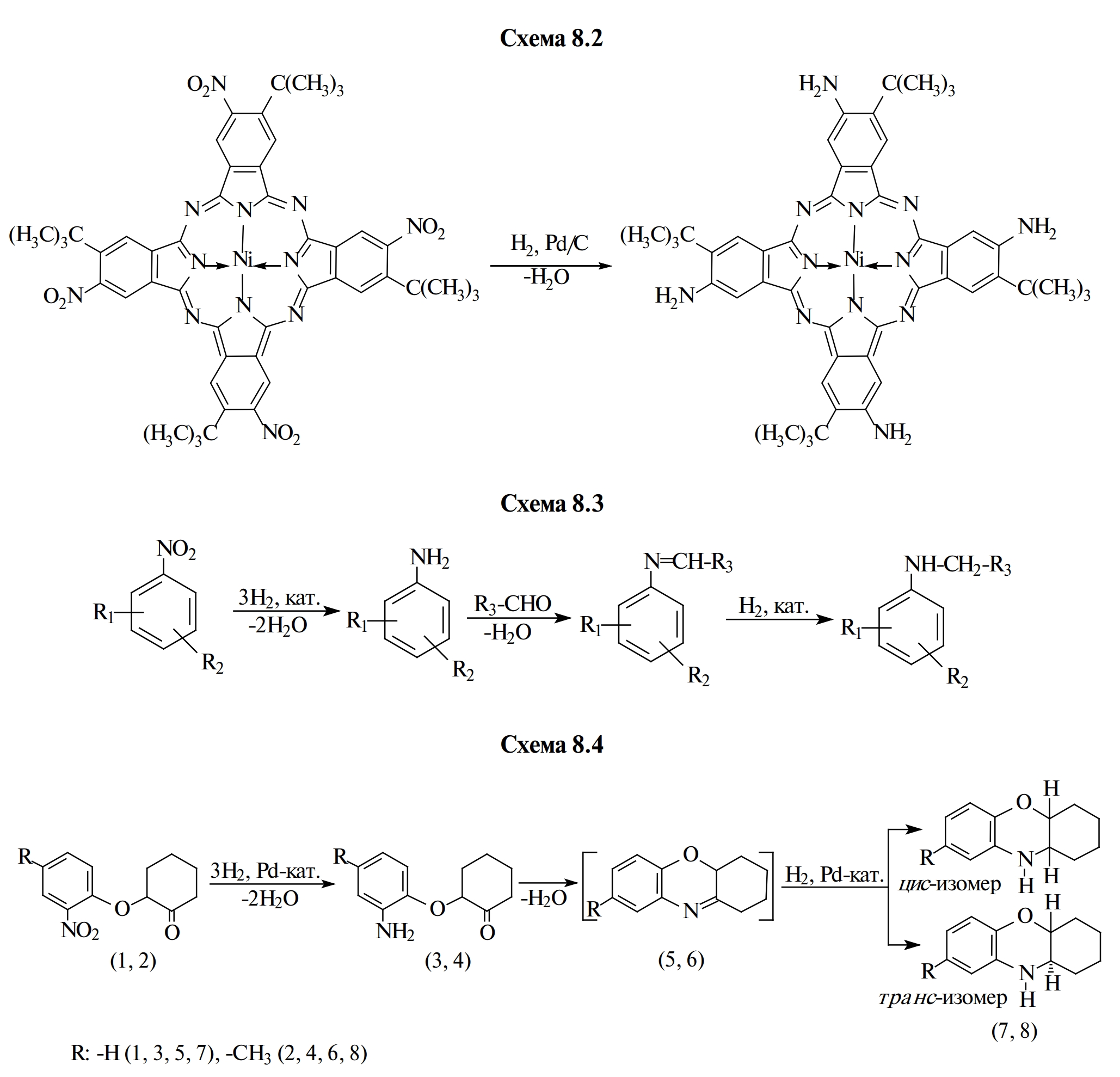
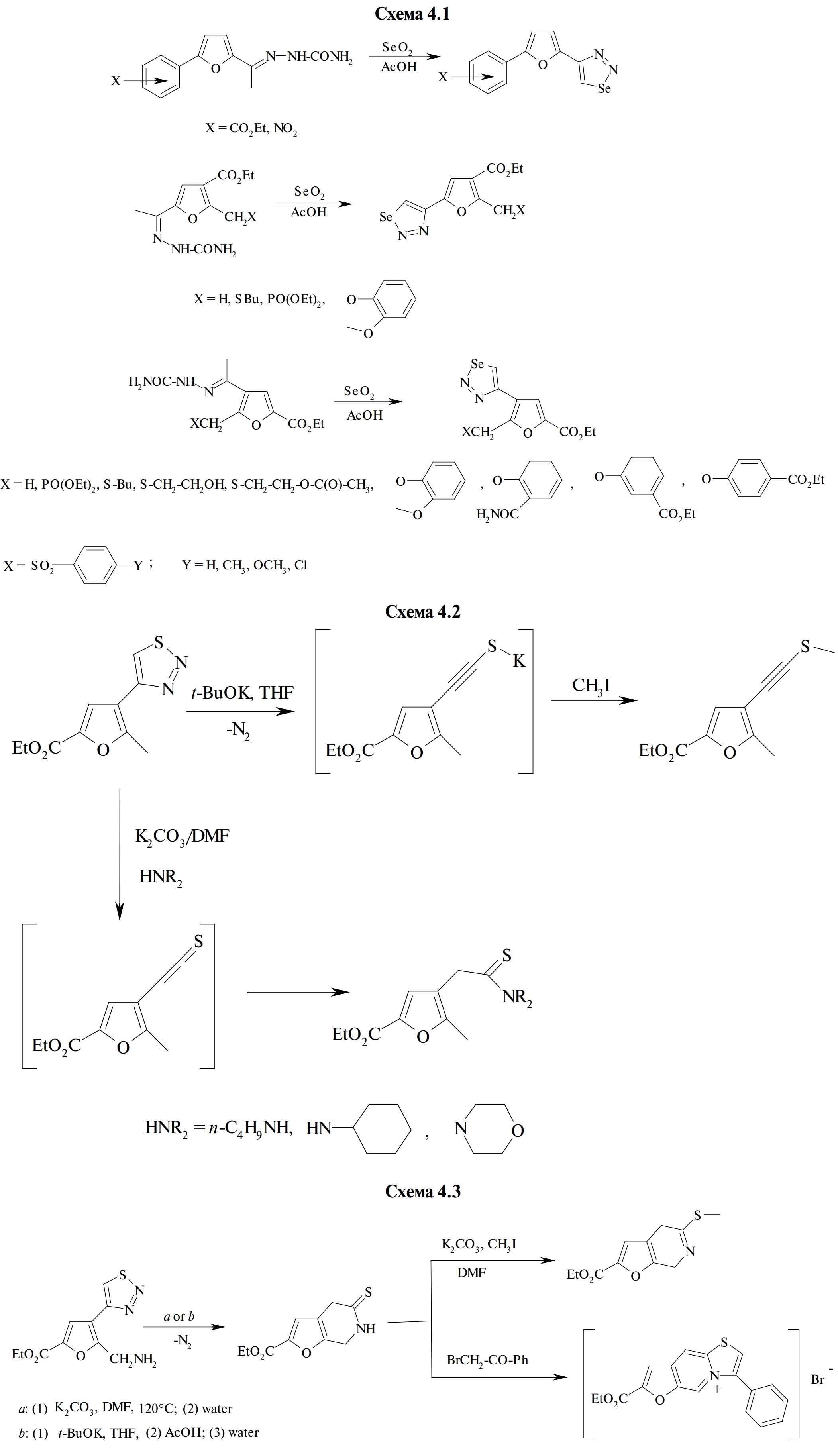
Одной из таких систем являются 1,2,3-тиа(селено)диазол-4-илфураны. Данная проблема успешно решается на кафедре органической химии СПбГТИ(ТУ). Ранее нами было показано, что для обеспечения термической стабильности 2- и 3-(1,2,3-тиадиазол-4-ил)фуранов необходимо вводить акцепторный заместитель - сложноэфирную группу или фенильный фрагмент, содержащий нитро- или сложноэфирную группу, в фурановое кольцо [265, 266]. Оказалось, что это же условие справедливо и для 2- и 3-(1,2,3-селенодиазол-4-ил)фуранов, которые были синтезированы окислением семикарбазонов соответствующих ацетилфуранов [267–270] двуокисью селена в уксусной кислоте (схема 4.1).
Термическая и химическая стабильность 1,2,3-селенодиазолилфуранов значительно меньше, чем тиадиазолов. Поэтому для получения функционально-замещенных соединений вводить функциональную группу необходимо на стадиях, предшествующих получению семикарбазона и образованию селенодиазольного кольца. Ценным качеством селенодиазолов является их способность медленно разлагаться с выделением селенистого водорода в условиях, близких к физиологическим. Поэтому они могут быть полезны в качестве препаратов для лечения последствий дефицита селена в организме.
В отличие от лабильных 1,2,3-селенодиазолилфуранов, их сернистые аналоги могут быть вовлечены в реакции целенаправленного превращения 1,2,3-тиадиазольного фрагмента в другие функциональные группы. При этом образуются производные фурана, получить которые другими способами очень трудно или невозможно. Реакции, протекающие при расщеплении 1,2,3-тиадиазольного кольца в отсутствии и в присутствии доноров протонов были изучены на примере эфира 4-(1,2,3-тиадиазол-4-ил)-5-метилфуран-2-карбоновой кислоты [271] (схема 4.2).
Оказалось, что при введении аминогруппы в боковую цепь эту реакцию можно провести и внутримолекулярно [272], как реакцию 6-эндо-диг- циклизацию (схема 4.3).
Алкилирование образующегося тионолактама протекает исключительно по сере, а в реакции с фенацилбромидом образующееся тиазольное кольцо окисляется кислородом воздуха до трициклической фенилфуро[3,2-d]тиазоло[3,2-а]пиридин-4-иевой соли.
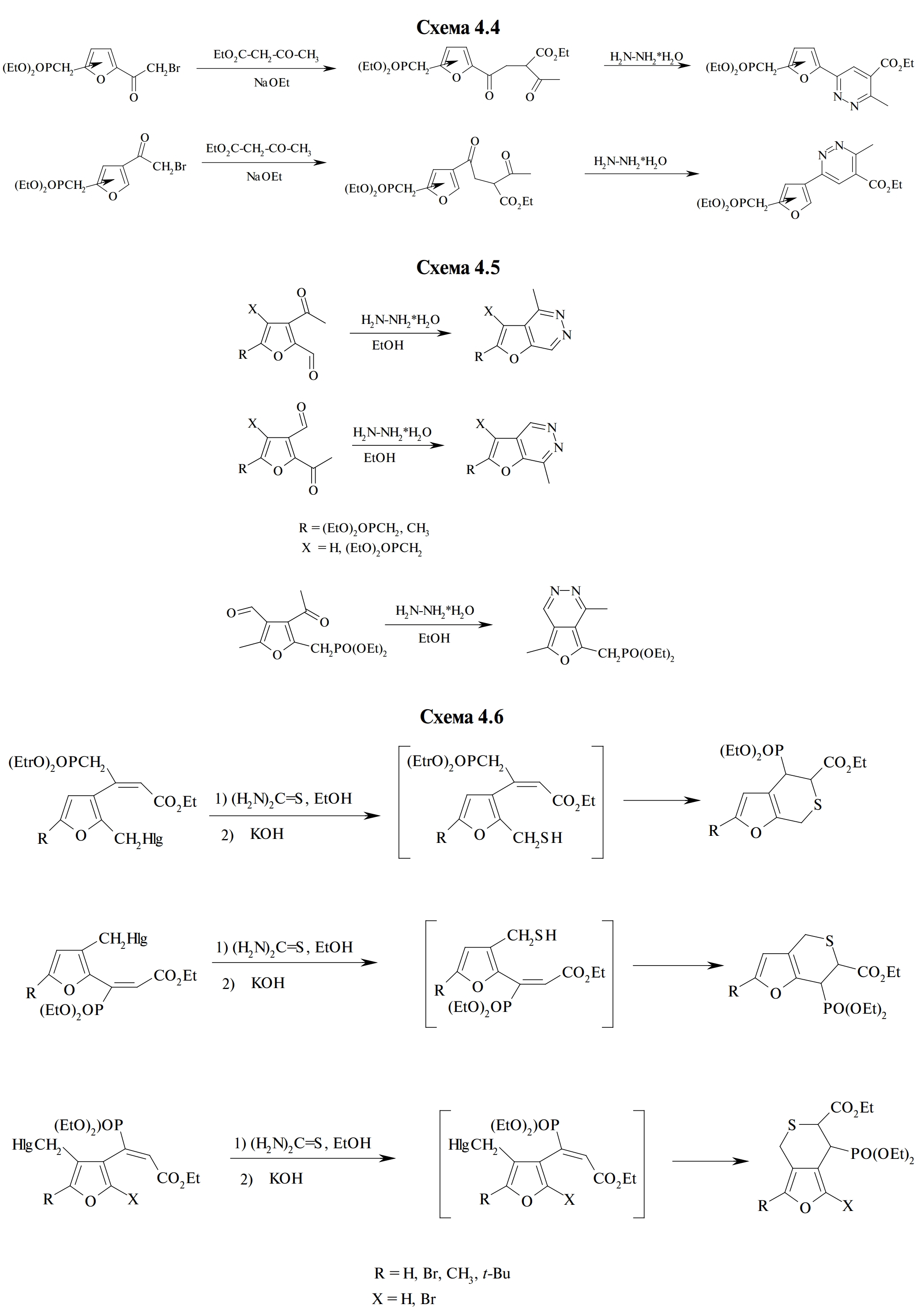
Формирование другой гибридной гетероциклической системы с переносом заряда от π-донора к π-акцептору — 3-фуранилпиридазина — было изучено на примере изомерных бромацетильных производных эфиров фурилметанкарбоновых кислот [273]. Эти соединения использовали для алкилирования ацетоуксусного эфира, полученные 1,4-дикетоны обрабатывали гидразингидратом, а в ходе реакции образующиеся циклические азины под действием кислорода воздуха претерпевали ароматизацию до пиридазинов. При этом были получены как 3-(2-фуранил), так и 3-(3-фуранил)пиридазины, имеющие в фурановом кольце диалкоксифосфорилметильную группу, а в пиридазиновом — сложноэфирную (схема 4.4).
Среди аннелированных систем с переносом заряда от π-донорной к π-акцепторной части общей сопряженной системы были впервые изучены фосфонметилированные фуропиридазины [274]. Исходными веществами послужили фосфонметилированные формилацетилфураны, которые при обработке гидразингидратом образовывали соответствующие фуро[2,3-d]- или фуро[3,4-d]-пиридазины, имеющие фосфорсодержащий заместитель в α- или β-положении фуранового кольца (схема 4.5).
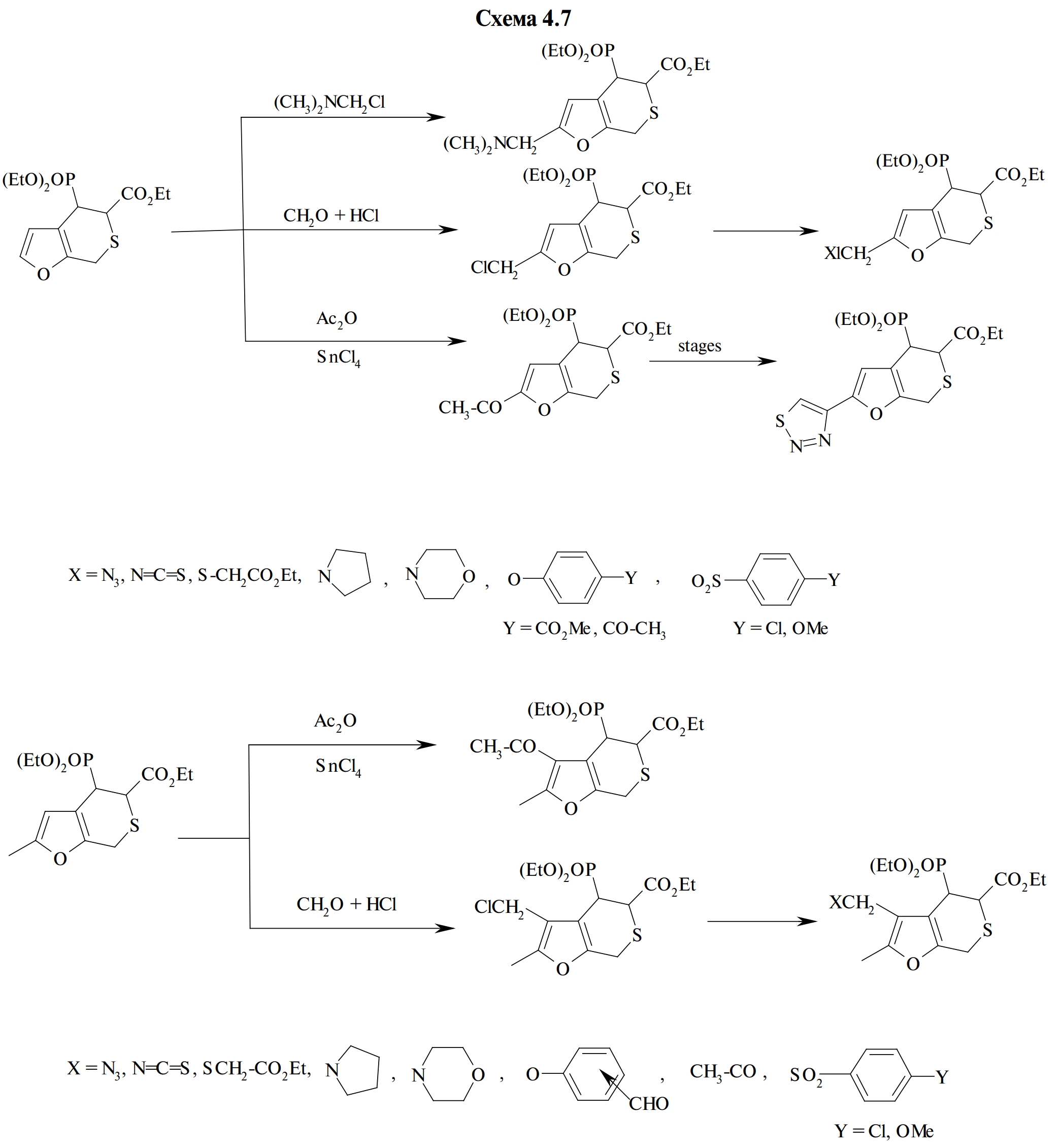
В последнее время все больший интерес проявляется к гибридным гетероциклическим системам, в которых аннелированы гетероароматический и насыщенный гетероциклический фрагмент средних размеров. Это связано с большей конформационной подвижностью таких соединений, что позволяет им легче координироваться к биологическим субстратам. Нами был найден удобный метод аннелирования дигидротиопиранового кольца к фурановому, позволяющий синтезировать три варианта сочленения этих гетероциклов [275] (схема 4.6).
На примере этилового эфира 4-(диэтоксифосфорил)-4,7-дигидро-5Н-тиопирано[3,4-b]фуран-5-карбоновой кислоты были разработаны методы функционализации положений 2 и 3 этой гибридной системы. Оказалось, что дигидротиопирановое кольцо ведет себя в реакциях электрофильного замещения фуранового фрагмента как акцепторный заместитель, сравнимый по силе со сложноэфирной группой [276, 277] (схема 4.7).
Схема 4.7
Таким образом, гибридные и аннелированные системы на основе фурана становятся доступными соединениями. Тем самым открывается путь к ранее неизвестным аннелированным системам, в которые входят 1,2,3-тиа- и селенодиазол, фуран и дигидропиран. Относительная легкость их функционализации позволяет надеяться, что среди веществ этого ряда будут найдены структуры, пригодные в качестве платформ для создания лекарственных средств нового поколения, которые придут на смену тем, к которым бактерии и вирусы выработали резистентность.
5. ЭЛЕКТРОФИЛЬНАЯ АКТИВАЦИЯ В ХИМИИ НЕПРЕДЕЛЬНЫХ И ГЕТЕРОЦИКЛИЧЕСКИХ СОЕДИНЕНИЙ. Органическая химия в Санкт-Петербургском государственном лесотехническом университете
Электрофильная активация органических веществ под действием сильных кислот Бренстеда (CF3SO3H, FSO3H, HF, H2SO4 и др.), Льюиса (AlCl3, AlBr3, SbF5 и др.), кислотных цеолитов приводит к генерированию высоко реакционноспособных катионных частиц, которые могут участвовать в разнообразных регио- и стереоселективных превращениях. Использование метода электрофильной активации в химии непредельных соединений (алкенов, алкинов, алленов), а также гетероциклов позволяет осуществлять направленный синтез новых органических соединений.
Нитроэтилены 1, содержащие в вицинальном положении электроноакцепторные заместители Х = СХ3 (Х = F, Cl, Br) или X = CO2Alk (нитроакрилаты, Alk = Me, Et), в реакциях с аренами в трифторметансульфоновой кислоте CF3SO3H (TfOH) дают диарилзамещенные оксимы 2 [278, 279]. Постадийное взаимодействие нитроэтиленов 1 сначала с аренами, а потом с нитрилами позволяет синтезировать 1,2,4-оксадиазолы 3 [280] (схема 5.1).
СF3-замещенные аллиловые спирты или их ТМС-эфиры 4 в H2SO4 количественно циклизуются в индены 5, которые при хроматографическом выделении на силикагеле изомеризуются в индены 6 [281] (схема 5.2). Соединения 4 в реакциях с аренами в TfOH стереоселективно приводят к транс-инданам 7 [282]. Подобные трансформации СF3-спиртов 4, имеющих при двойной связи один или два атома брома, дают соответствующие алкены или индены [283].
Электрофильные превращения различных ССl3-замещенных сопряженных енонов 8 (R = Ar или Ме) в TfOH могут приводить к продуктам внутримолекулярной циклизации — инданонам 9 (для веществ 8 с R = Ar) [284], или в реакциях с аренами к инденам 10 (для веществ 8 с R = Ме) [285] (схема 5.3). Аналогичным образом бромзамещенные СF3-еноны в TfOH образуют СF3-индены [286].
Сопряженные диеноны 11 при взаимодействии с аренами дают продукты многостадийных катионных превращений — индены 12, преимущественно цис-строения [287] (схема 5.4).
Реакции сопряженной диеновой кислоты 13 с аренами в фторсульфоновой кислоте FSO3H при низкой температуре –78°С приводят к формированию бициклических кетонов 14 [287] (схема 5.5).
Нитрилы коричных кислот 15 при взаимодействии с аренами под действием TfOH или AlBr3 дают первоначально вещества 16, как продукты гидроарилирования связи С=С, последние циклизуются в инданоны 17 только в TfOH [288] (схема 5.)
Электронодефицитные аллены 18, имеющие различные акцептрные заместители P=O, S=O, C=O, протонируются в сильных кислотах Бренстеда с промежуточным генерированием частицы 19, которые циклизуются в стабильные катионы 20. Образование последних зафиксировано с помощью ЯМР [289–291]. Катионы 20 в условиях нуклеофильной обработки кислотных реакционных растворов (гидролиз, а также др. нуклеофилы) превращаются в производные рядов дигидро-1,2-оксафосфол-2-оксида 21 [289, 290], тиохромен-1,1-диоксида 22 [291], фуранона 23 [292] (схема 5.7), кроме этого могут получаться и др. вещества [289–291]. Фураноны подобного строения 23 образуются и в результате реакций алкил 4-гидроксибут-2-иноатов [>C(OH)–C≡C–CO2Alk] с аренами под действием TfOH или кислотных цеолитов [293].
Разнообразные алкины могут быть успешно вовлечены в процессы электрофильной активации для синтеза новых органических соединений. Так, O-ариловые и S-ариловые эфиры 3-арилпропиновых кислот 24 циклизуются в кумарины 25 (X = O) и тиокумарины 25 (X = S) под действием килотных цеолитов [294, 295] (схема 5.8).
Алкиловые эфиры и амиды 3-арилпропиновых кислот 26 вступают в однореакторную тандемную реакцию гидроарилирования-ионного гидрирования ацетиленовой связи при взаимодействии с аренами (первоначальное гидроарилирование) и циклогексаном (источник гидрид-ионов для последующего гидрирования связи С=С) в присутствии кислоты Льюиса AlCl3, что приводит к получению производных 3,3-диарилпропановых кислот [296]. Однако, данная реакция осложняется процессом обмена арильных групп Ar и Ar′ в образующихся целевых cоединениях 27 в электрофильных условиях (схема 5.9).
В такие же реакции вступают сопряженные ацетиленовые кетоны [296].
СF3-замещенные сопряженные ацетиленовые кетоны 28 в реакциях с аренами под действием TfOH или кислотных цеолитов HUSY превращаются в СF3-индены 29 [297] (схема 5.10).
В условиях электрофильной активации из СF3-пропаргиловых спиртов 30 можно генерировать резонансные пропаргильные-алленильные катионы 31, которые при взаимодействии с ароматическими нуклеофилами дают изомерные СF3-индены 32. Такие реакции протекают как в TfOH [298], так и под действием кислотных цеолитов [299]. Образование того или иного изомера индена 32 зависит от электронного строения и реакционной способности катиона 31 (схема 5.11), а также нуклеофильности ароматических колец Ar, Ar′ и Ar′′ [298].
Кросс-сопряженные ениноны 33 в H2SO4 при комнатной температуре медленно за 60 ч переходят в дигидропиран-4-оны 34 [300]. В более сильных и менее нуклеофильных кислотных системах (TfOH, TfOH-пиридин, цеолиты) для субстратов 33 можно осуществить последовательное гидроарилирование сначала тройной связи углерод-углерод с образованием веществ 35, а потом и двойной связи С=С с конечным получением соединений 36 (схема 5.12). Линейно-сопряженные 1,5-диарилпент-4-ен-2-ин-1-оны [Ar–CH=CH–C≡C–C(=O)Ar′] в таких же превращениях в TfOH дают дигидропираноны 34, а в реакциях с аренами — 1-алкилиденинданы [302].
ТМС-эфиры пропаргил-аллиловых спиртов 37 в TfOH превращаются в кросс-сопряженные резонансные пропаргил-алленильные катионы 38, которые в реакциях с аренами дают регио- и стереоселективно енины Е-39 [303]. Используя небольшое количество TfOH (1.5 экв.) за короткое время реакции 5–30 мин, можно остановить реакцию на этой стадии. Проводя реакцию в избытке TfOH, исходные ТМС-эфиры 37 или енины 39 можно превратить далее в бициклические структуры 43 через образование интермедиатов 40–42 [303] (схема 5.13).
Методы электрофильной активации имеют большое значение в химии гетероциклических соединений. С помощью этого синтетического подхода можно конструировать разнообразные гетероциклы (см. выше синтезы веществ 3, 21–23, 25, 34). Кроме этого, можно эффективно осуществлять структурную модификацию как самой гетероциклической системы, так и ее боковых заместителей. Так, разнообразные алкенилзамещенные гетероциклы рядов тетразола [304], 1,2,4-оксадиазола [305], фурана [306, 307] общего строения 44 в реакциях с аренами под действием TfOH, AlX3 (X = Cl, Br) или кислотных цеолитов подвергаются региоселективному гидроарилированию по боковой связи С=С с формированием веществ 46 с высокими выходами. Реакции протекают через промежуточное генерирование реакционноспособных дикатионов 45, образующихся при протонировании гетероатома и атома углерода связи С=С (схема 5.14). У производных фурана 46 обнаружены хорошие антимикробные свойства [306, 307].
Аналогично алкинилзамещенные тетразолы [308] и оксадиазолы [309] 47 в реакциях с аренами в TfOH дают с высокими выходами продукты гидроарилирования ацетиленовой связи E-,Z-48 (схема 5.15).
В гетарилкарбальдегидах рядов бензимидазола [310] и хинолина [311] 49 можно электрофильно активировать альдегидную группу путем ее протонирования и протонирования гетероциклической системы. В результате в реакциях с аренами промежуточные катионные частицы дают диарилметильные производные 50 таких гетероциклов (схема 5.16).
5-Гидрокси-1-пирролины 51 в реакциях с аренами в TfOH образуют продукты структурной модификации самой гетероциклической системы 5-арилпирролины 52 [312]. В кислотах Бренстеда TfOH или H2SO4 пирролины 51 претерпевают дегидратацию, количественно превращаясь в 3Н-пирролы 53 [311] (схема 5.17).
Протонирование диазогомофталимидов 54 приводит к генерированию реакционноспособных катионов диазония 55, которые могут реагировать с разнообразными нуклеофилами [313]. В электрофильном замещении с аренами катионы 55 дают арилированные производные 56. Проведение реакции в системе HF-пиридин заканчивается образованием монофторированных гомофталимидов 57, а использование системы HF-пиридин-N-бром(или хлор)сукцинимид позволяет получить фтор-бром(или хлор)замещенные субстраты 58 [313] (схема 5.18).
ТМС-эфиры СF3-замещенных гетарилалканолов бензильного типа 59 (производные тиофена и бензофурана) в реакциях с аренами в TfOH в зависимости от строения реагирующих субстратов и условий реакции (количество кислоты, время и температура) дают разнообразные целевые соединения рядов тиофена и бензофурана [314, 315] (схема 5.19).
Это продукты следующих реакций: арилирования боковой цепи и гетероциклической системы, ионного гидрирования, гидродегалогенирования и арилдегалогенирования в гетероцикле, и др. Полученные СF3-замещенные тиофены и бензофураны, а также синтезированные ранее СF3-инданы [316] проявили различные виды антимикробной активности [315, 316].
6. КАФЕДРА ОРГАНИЧЕСКОЙ ХИМИИ МГУ ИМЕНИ М.В. ЛОМОНОСОВА
В семи лабораториях кафедры органической химии химического факультета МГУ имени М.В. Ломоносова ведутся работы по самым различным направлениям органической химии и родственных дисциплин.
Лаборатория элементоорганических соединений (заведующий — академик РАН профессор И.П. Белецкая). В последние годы в лаборатории под руководством акад. Белецкой основные исследования проводились по двум основным направлениям: металл-катализируемые реакции присоединения по кратным связям и каталитические реакции замещения. Кроме того, ряд каталитических процессов начали проводить при облучении видимым светом в условиях фоторедокс-катализа. В первую очередь, следует отметить цикл работ по изучению дивергентных реакций присоединения к активированным алкинам [317–319]. Например, при использовании одних и тех же реагентов, о-трифторацетиланилинов и пропиолатов, в присутствии трифлата серебра селективно образуются хинолин-3-карбоксилаты. Замена серебра на медь и добавление основания приводит к получению производных индолина. Наконец, использование фосфинового катализа приводит к изомерным хинолин-2-карбоксилатам (схема 6.1).
Для решения проблемы распыления в виде отходов дорогостоящего платинового катализатора, применяемого в синтезе органосиланов, использованы двухфазные системы, позволяющие после окончания реакции разделить гидрофобный слой образующегося органосилана и слой полярной жидкости, содержащей платину. Данные каталитические системы обеспечивают протекание реакций гидросилилирования алкенов и алкинов с очень высокими выходами и практически количественной анти-Марковниковской селективностью [320]. Лучше всего в этом процессе зарекомендовала себя система K2PtCl4 (без дополнительного лиганда) – этиленгликоль (схема 6.2).
Важное место в исследованиях занимают фотокаталитические и фотоинициируемые реакции. Например, изучено прямое фотоинициированное иодсульфонирование дизамещенных ацетиленов с помощью тозилиодида, проходящее региоселективно как транс-присоединение [321]. В оптимизированных условиях симметричные диарил- и алкиларилацетилены образуют продукты присоединения с выходами от высоких до практически количественных, реакция проходит региоселективно (схема 6.3).
Исследованы фоторедокс процессы с участием комплексов Ru(II) на примере трифторэтоксилирования стиролов солями диазония (фоторедокс-катализируемая реакция Меервейна) [322] (схема 6.4). Исследования показали, что выходы, полученные при использовании данного катализатора в целом не уступают, а в некоторых случаях и превосходят выходы, полученные при использовании классического катализатора Ru(bpy)32+. В случае использования катализатора Ru-PhenC, содержащего в качестве лиганда фенантролин-3,8-дикарбоновую кислоту, при обработке смеси легко отделить его от продуктов реакции, при этом катализатор может быть успешно использован в 5 циклах без существенной потери выхода.
Был разработан метод синтеза новых Ru(II) комплексов, содержащих в качестве лиганда фенантролин с фосфонатными заместителями в положениях 3,8 (Ru-3,8PHEt) и 4,7 (Ru-4,7PHEt) [323]. Эффективность синтезированных комплексов изучали на примере реакций a-функционализации (нитрометилирования, фосфонирования и цианирования) модельного N-фенил-1,2,3,4-тетрагидроизохинолина различными нуклеофилами при облучении видимым светом (схема 6.5). Катализатор может быть рециклизован до 7 раз.
В реакции карбоксилирования эпоксидов исследованы цинк-содержащие металлорганические каркасные полимеры (МОКП) на основе 2,5-тиофендикарбоновой кислоты, 1,4-диазабицикло[2.2.2]октана и полиолов (Zn-NIIC-10) [324]. Показана возможность их использования для получения циклических карбонатов из моно- и дизамещенных эпоксидов с высокими выходами (схема 6.6). Продемонстрирована возможность рециклизации катализатора до 5 раз с сохранением активности. Другой цинк-содержащий МОКП на основе бис-1,1′-1,2,3-бензотриазолилметана (Bbtm) также оказался эффективным в реакциях монозамещенных эпоксидов с СО2 [325].
С помощью реакции азид-алкинового циклоприсоединения с участием иодалкинов и раличных арилазидов синтезирован широкий круг N-арилзамещенных 5-иодтриазолов, выступающих в качестве предшественников для получения конденсированных гетероциклических систем [326]. За счет таутомерного равновесия с открытой диаза-формой возможно проведение дальнейших медь-катализируемых реакций внедрения карбенов в связи N–H и S–H (схема 7) [327, 328]. В случае циклизации с участием амбидентных нуклеофилов на примере бензамидов показано, что циклизацию можно осуществить хемоселективно как по О-, так и по N-реакционным центрам [329] (схема 6.7).
Проведено обширное исследование образования связей С–С, C–S и C–N с использованием наночастиц меди (CuNPs), иммобилизованных на различные подложки [327]. В рамках изучения возможности использования не иммобилизованных на подложки наночастиц меди и ее оксидов (Cu2ONPs, CuONPs) проведена серия реакций каталитического арилирования различных аминов [330, 331]. На примере модельной реакции н-октиламина с иодбензолом было установлено, что высокий выход продукта арилирования (до 95%) обеспечивают наночастицы различного размера и состава в присутствии лигандов L1 (2-изобутирилциклогексанон) и L2 (1,1′-би-2-нафтол), успешно проведены реакции с производными иодбензола, содержащими электронодонорные и электроноакцепторные заместители в пара- и мета-положениях (выходы продуктов 84–93%) (схема 6.8).
Схема 6.8
В реакцию также вступают как алифатические амины (морфолин, пиперидин, бензиламин, циклогексиламин), так и NH-гетероциклы (выходы продуктов до 98%). Каталитическая система CuNPs 25 нм/L1 позволяет осуществлять арилирование как минимум до 9 раз с небольшим падением выхода продукта реакции.
В лаборатории ЭОС на протяжении многих лет успешно проводятся исследования по синтезу макроциклических и макрополициклических соединений с использованием реакций Pd(0)-катализируемого аминирования галоген(гетеро)аренов оксадиаминами и полиаминами [332, 333] (схема 6.9). В результате получены многочисленные соединения, в том числе с осевой (на основе (S)-БИНАМа) и планарной (на основе 1,5-дизамещенных антрацена и антрахинона) хиральностью.
Схема 6.9
Рис. 6.1. Примеры флуоресцентных детекторов на основе (S)-БИНАМа, макроциклических и макробициклических соединений
Разработаны методы получения флуоресцентных детекторов катионов металлов и оптически активных органических соединений, представляющих собой открытоцепные производные (S)-БИНАМа [334], макроциклические [335] и макробициклические [336] соединения, содержащие флуорофорные заместители (рис. 6.1).
Лаборатория органического синтеза под руководством профессора В.Г. Ненайденко занимается решением широкого круга синтетических проблем. Тематика лаборатории включает в себя разработку новых методов синтеза практически важных соединений (лиганды для переработки отработавшего ядерного топлива), катализ (металлокомплексный, асимметрический, органокатализ), химию фторсодержащих соединений, химию гетероциклических соединений, изучение многокомпонентных реакций на основе изоцианидов, квантово-химические расчеты.
Фторорганические соединения играют исключительно важную роль в современной органической, медицинской химии, агрохимии и химии материалов. Использование фторированных строительных блоков является очень удобным подходом и во многих случаях незаменимой альтернативой фторированию на поздних стадиях для создания структур со строго заданным положением атома фтора. В результате совместной работы с коллегами из ИОХ РАН был разработан стереоселективный подход к β-фтор-β-нитростиролам [337], основанный на радикальном нитровании и дебромировании соответствующих β-бром-β-фторстиролов [338] (схема 6.10).
Данные соединения являются эффективными диенофилами, электрофилами и диполярофилами, что открывает доступ к созданию широкого спектра новых фторсодержащих соединений. Так, например, на основе реакции Дильса-Альдера β-фтор-β-нитростиролов с открыто-цепными диенами был разработан подход к монофторированным производным циклогексана и бифенила [339, 340] (схема 6.11).
В свою очередь, реакция Дильса–Альдера β-фтор-β-нитростиролов с циклопентадиеном открыла доступ к новым монофторированным норборненам [341], норборнадиенам и бициклическим фторангидридам [342] (схема 6.12).
Другим типом реакций, в которые эффективно вступают β-фтор-β-нитростиролы является сопряженное присоединение по Михаэлю. Так, например, реакции с пирролами или индолами проводят без катализатора и растворителя в широком диапазоне температур в зависимости от реакционной способности и физических свойств исходных субстратов [343]. Из полученных аддуктов Михаэля под действием 1,8-диазабицикло[5.4.0]ундец-7-ена легко элиминируется азотистая кислота, давая новые монофторированные винильные производные пирролов [344] и индолов [345] (схема 6.13).
Однако, создание новых фторсодержащих гетероциклов из β-фтор-β-нитростиролов является наиболее важной и востребованной областью их применения. Например, реакции β-фтор-β-нитростиролов с азидом натрия привели к новым монофторированным производным триазола [346, 347]. Кроме того, нами был разработан подход для получения 4-фторпиразолов путем окислительного аннелирования β-фтор-β-нитростиролов гидразонами, полученными in situ [348]. Огромный синтетический потенциал β-фтор-β-нитростиролов был продемонстрирован в сборке более сложных бициклических систем (схема 6.14).
Так, например, путем промотируемого ацетатом меди(II) окислительного [3+2]-аннелирования β-фтор-β-нитростиролов с генерируемыми in situ пиридиний-илидами получен ряд фторированных индолизинов [349]. Подобным образом из соответствующих диполей были получены монофторированные пирроло[1,2-b]пиридазины [350] и пиразоло[1,5-а]пиридины [351]. Кроме того, на основе различных β-фтор-β-нитростиролов, галогенированных дикарбонильных соединений и диполярофилов различной электронной природы был получен широкий спектр нитрозоацеталей [352].
В свою очередь, использование илидов азометина в качестве диполей в реакциях [3+2]-циклоприсоединения к β-фтор-β-нитростиролам открыло доступ к новым монофторированным пирролидинам, пирролинам и пирролам [353] (схема 6.15).

Другим удобным способом получения в одну синтетическую стадию 4-фторпирролов из β-фтор-β-нитростиролов является реакция Бартона-Зарда с 2-этил изоцианоацетатом [354]. Данное превращение открыло доступ к получению фторсодержащих дипиррометанов и новых фторированных в ядре бордипиррометеновых красителей на их основе [355] (схема 6.16)
Несколько лет назад была открыта новая реакция каталитического олефинирования карбонильных соединений [356, 357]. Реакция обладает большим синтетическим потенциалом и позволяет стереоселективно синтезировать алкены, содержащие различные галогены и функциональные группы [358]. С использованием фреонов в реакции олефинирования были синтезированы фторированные алкены, удобные строительные блоки для синтеза более сложных фторированных соединений реакциями с нуклеофилами [359–365] (схема 6.17).
Так, регио- и стереоселективно с высокими выходами синтезированы α-фтор-, α-трифторметилакрилонитрилы [366] и α-фтор-β-арилвинилсульфоны [367], винил сульфиды [368], алкоксистиролы [369], CF3-имины [370], CF3-енамины [371–374], а также CF3-имидазолидины, CF3-оксазолидины и CF3-гексагидропиримидины [375] (схема 6.18).
Особенно интересными оказались α-CF3-енамины, получаемые реакцией фторированных алкенов с аминами [353-355]. CF3-енамины являются синтетическими эквивалентами трифторметилбензилкетонов и были успешно использованы в синтезах индолов реакциями Леймгрубера-Бач [376, 377], Фишера [378] и внутримолекулярной циклизацией енаминов, получаемых in situ при взаимодействии β-галоген-β-трифторметил(орто-бромстиролов) с первичными алифатическими аминами [379]. Также CF3-енамины были использованы в синтезе карболинов реакцией Пикте-Шпенглера [559] и в синтезе α,β-дизамещенных CF3-енонов конденсацией с карбонильными соединениями [380]. На основе реакции CF3-енонов с гидразинами были разработаны методы синтеза полностью замещенных CF3-пиразолинов и CF3-пиразолов, которые сложно получить другими методами [361]. С использованием восстановительных циклизаций CF3-енонов, содержащих нитрогруппы в арильных кольцах, были получены 2-CF3-индолы [381, 382] и 2-CF3-хинолины [383] (схема 6.19).
Схема 6.19
Было показано, что дибромалкены можно с успехом заменить на дихлоралкены в синтезе терминальных ацетиленов методом Кори-Фукса [384]. Кроме того, используя реакцию генерируемых in situ ацетиленидов лития с этилтрифторацетатом с высокими выходами, синтезировали ряд CF3-инонов [365], которые были с успехом использованы в гетероциклизациях реакциями с нуклеофилами и бинуклеофилами, а также реакциями циклоприсоединения (схема 6.20). Так, на основе реакций с гидразинами были разработаны эффективные региоселективные методы синтеза 5-CF3-пиразолинолов, 3- и 5-CF3-пиразолов [385, 386] и их производных [387], включая ряд лекарств, например Целебрекс. Реакциями с азидом натрия были синтезированы 3-CF3-изоксазолы и 4-трифторацетилтриазолы [388], алкилированием и арилированием которых были региоселективно получены 2-N-производные, показавшие интересные фотохимические свойства [389]. [3+2]-Циклоприсоединение замещенных азидов региоселективно привело к 1-N изомерным 4-трифторацетилтриазолам [390].
Схема 6.20
Реакцией с метилтиогликолятом были эффективно синтезированы производные метил 3-(трифторметил)тиофен-2-карбоксилата [391]. Реакции CF3-инонов с амидинами открыли путь к синтезу 1,3-пиримидинов [392]. Реакция с этилендиамином приводит к трифторметилсодержащим [1, 4]-диазепинам с хорошими выходами [393]. На основе реакций CF3-инонов с азинами был синтезирован целый ряд производных 1,3-оксазинопиридинов [394] и 1,3-оксазинохинолинов [395–397]. Перегруппировкой последних под действием оснований были получены 2-арилхинолины и 2-арил-3-трифторацетилхинолины [398].
Показано, что [399] 1,10-фенантролин-2,9-диамиды с циклическими заместителями демонстрируют высокую селективность при экстракции по отношению к паре Eu(III)/Am(III). Синтезирована линейка пирролидинпроизводных фенантролиндиамидов, содержащих в α-положениях заместители различного строения и природы [400] (схема 6.21). Проведенные квантово-химические расчеты и экстракционные эксперименты показывают существенные отличия в экстракционных свойствах различных диастереомерных форм [401].
Рис. 6.2. Серия N,N′-диалкил-N,N′-диарил-1,10-фенантролин-2,9-диамидов.
Показано [402], что фенантролин диамиды образуют комплексы с лантанидами состава 1 : 1. При этом координационное число может варьироваться от 9 до 10 в зависимости от ионного радиуса металла [403]. В ряде случаев образуются комплексы по типу ионной пары. Это позволило объяснить так называемый “гадолиниевый излом”, часто наблюдаемый при исследовании экстракционных свойств фенантролиндиамидов [404]. Для настройки экстракционных и других свойств лигандов за счет вариации строения заместителей была получена серия N,N′-диалкил-N,N′-диарил-1,10-фенантролин-2,9-диамидов [405]. Оказалось, что такие соединения способны образовывать с уранилнитратом комплексы, построенные по принципу тесных ионных пар [406] (рис. 6.2), а также обнаруживают “сверхэкстракцию” урана за счет того, что один моль лиганда способен связывать два моля металла [407].
Впервые синтезированы макроциклические производные фенантролиндиамидов (схема 6.22) [408, 409], которые демонстрируют высокие факторы селективности в паре Am(III)/Eu(III), достигая значений, равных 40.
Также был разработан комплексный подход к функционализации фенантролиндиамидов в 4,7-положениях гетероциклического остова. Нуклеофильное SNAr-замещение атомов хлора в диамидах 22–26 позволило нам получить первые примеры 4,7-дифторзамещенных диамидов с выходами до 88% [410] (схема 6.23). Детально изучена координационная химия фторсодержащих лигандов в сравнении с исходными хлорсодержащими лигандами, а также соответствующими диамидами без заместителей в положениях 4 и 7 [411].
Исходя из 4,7-дихлор-1,10-фенантролин-2,9-диамидов был разработан препаративный метод синтеза несимметричных фторсодержащих диамидов [412] (схема 6.24). Оказалось, что фторсодержащие лиганды при комнатной температуре легко гидролизуются до соответствующих гидрокси-оксо-производных соединений, в то время как гидролиз 4,7-дихлорзамещенных диамидов происходит в существенно более жестких условиях.
Предполагалось, что реакция дихлор-1,2-диаза-1,3-диенов [413] с избытком азида натрия даст новые бис-азиды [414] путем присоединения азид-анионов к связи С=С. Однако оказалось, что промежуточно образующийся бис-азид быстро превращается в соответствующий азидотриазол [415] (схема 6.25). Данная реакция имеет самый общий характер, что было продемонстрировано на широком круге примеров [416]. 2-
Схема 6.25
Замещенные триазолы привлекательны с точки зрения их фотофизических свойств, однако полученные азидотриазолы продемонстрировали низкие квантовые выходы люминесценции. С использованием различных вариантов замыкания цикла с участием азидной группы нами разработаны эффективные методы получения ранее неизвестных гетероциклических систем [417–420], ряд из которых демонстрирует квантовые выходы люминесценции вплоть до количественных. Показано, что активированные дихлоралкены могут быть использованы для синтеза и других малостабильных бис-азидов [421, 422].
В лаборатории биологически активных органических соединений (заведующий — профессор Е.К. Белоглазкина) разработана общая методология синтеза спиросочлененных гетероциклов реакциями циклоприсоединения 1,3-диполей различного типа (азометинилиды [423–425], нитрилимины [426–428], нитрилоксиды [428]) и сопряженных диенов [429] по экзоциклическим С=С, C=S и C=N связям производных 2-халькоген-5-метилензамещенных имидазолонов. Предложенная синтетическая методология: (1) универсальна: дает возможность, варьируя набор используемых реагентов, получать различные типы полиспирогетероциклов с высокой стереоселективностью; (2) атом-экономична: в реакциях циклоприсоединения все атомы исходных соединений входят в состав продукта; (3) перспективна с точки зрения использования в синтезе биологически активных соединений: жесткость спиросочлененного каркаса позволяет зафиксировать требуемое пространственное расположение важных с точки зрения взаимодействия с биологическим мишенями заместителей. Некоторые из представленных соединений продемонстрировали высокую цитотоксичность при существенной селективности по отношению к опухолевым клеткам, а одно из них успешно прошло доклинические испытания в качестве средства для терапии колоректального рака [423, 424].
В ходе исследований удалось разработать общий синтетический подход к 5-метилидензамещенным 2-халькогенимидазолонам исходя из a-аминокислот, содержащих в b-положении дополнительную группировку, способную к элиминированию (морфолиновую или гидроксильную), и изоцианатов, изотиоцианатов или изоселеноцианатов [430, 431]. Следует отметить, что 5-метилиденселеногидантоины, содержащие экзоциклическую СH2=С связь, не были описаны в литературе до начала наших работ. Далее на основе полученных диполярофилов был разработан метод регио- и диастереоселективного синтеза моно-, ди- и триспиропроизводных 2-халькоген-5-метиленгимидазолонов реакциями 1,3-диполярного циклоприсоединения к этим диполярофилам азометинилидов, нитрилиминов, азометиниминов и нитрилоксидов [423–434]. Структурные типы синтезированных соединений показаны на рис. 6.3. При введении в структуру исходных диполярофилов дополнительных хиральных заместителей [435, 436] оказалось возможным разделить образующуюся в реакции 1,3-диполярного циклоприсоединения смесь диастереомеров и далее удалить вспомогательную асимметрическую группу с получением энантиомерно чистых продуктов.
Рис. 6.3. Cтруктурные типы спиропроизводных 2-халькогенимидазолонов, полученные реакциями 1,3-диполярного циклоприсоединения
В ходе исследований реакций 1,3-диполярного циклоприсоединения к производным 2-халькоген-имидазолонов мы обнаружили, что самопроизвольная диффузия паров летучих реагентов в раствор, содержащий стабильный предшественник нестабильного реакционноспособного интермедиата, может быть простейшим методом проведения некоторых органических реакций, в том числе 1,3-диполярного циклоприсоединения. Диффузия паров третичных аминов в реакционную смесь, содержащую диполярофил и гидразонилхлорид или гидроксиимидоилгалогенид, позволяет проводить реакции 1,3-диполярного циклоприсоединения даже с малостабильными и легко димеризующимися нитрилоксидами и нитрилиминами с количественными выходами и чрезвычайно прост в экспериментальном оформлении (рис. 6.4) [428].
Рис. 6.4. Схема прибора для проведения реакций методом диффузионного смешивания
Помимо реакций 1,3-диполярного циклоприсоединения, мы также продемонстрировали возможность использования 5-метилиден-2-халькоген-имидазол-2-онов в качестве диенофилов в реакциях Дильса—Альдера с циклическими и ациклическими диенами – циклопентадиеном, циклогексадиеном, 2,3-диметилбутадиеном и изопреном (cхема 6.26) [437, 438].
Предложено три методологии синтеза бис-арил-спиро[азетидин-2,3′-индолин]-2′,4-дионов реакцией кетен-иминового циклоприсоединения по Штаудингеру: реакция замещенных 3-арилиминоиндолин-2-онов с хлорангидридами фенилуксусных кислот, позволяющая преимущественно получать транс-диастереомеры спиро-b-лактамов, и однореакторные процедуры синтеза из изатиниминов и фенилуксусных кислот с использованием оксалилхлорида или пара-толуолсульфонилхлорида в качестве активирующих агентов с преимущественным образованием цис-диастереомеров продукта (схема 6.27) [439, 440].
Впервые получены спирооксиндоло-b-лактамы с двумя спиросочленениями в цикле азетидин-2-она реакцией кетен-иминового циклоприсоединения по Штаудингеру активированных производных 2-оксопирролидин-3-карбоновых кислот с изатиниминами. Показано диастереоселективное протекание реакции с образованием исключительно транс-диастереомерных продуктов (cхема 6.28) [441].
В лаборатории также проводится разработка методов синтеза адресных конъюгатов терапевтических и диагностических препаратов на основе лигандов простатического специфического мембранного антигена – перспективных противоопухолевых препаратов направленного действия [442–452]. Впервые синтезированы новые высокоселективные лиганды простатического специфического мембранного антигена. Оценка их аффинности к ПСМА показала превосходство над известными аналогами. На их основе были получены низкомолекулярные конъюгаты с различными противоопухолевыми препаратами (доцетаксел (рис. 6.5), монометил ауристатин Е) для терапии опухолей предстательной железы, флуоресцентные конъюгаты с красителями FAM-5, SulfoCy5, SulfoCy7 для интраоперационной навигации. Для данных конъюгатов были разработаны возможные лекарственные формы для последующих доклинических, а также клинических испытаний. Для данных конъюгатов проведен полный спектр доклинических испытаний и планируются дальнейшие клинические исследования. Также были разработаны методики получения двойных конъюгатов на основе пары препаратов абиратерон/доцетаксел, абиратерон/монометил ауристатин Е, энзалутамид/монометил ауристатин Е, испинесиб/монометил ауристатин Е.
Рис. 6.5. Адресный конъюгат доцетаксела на основе лиганда простатического специфического мембранного антигена [446]
Проводится разработка и исследование новых платинасодержащих препаратов для терапии, диагностики и тераностики опухолевых заболеваний [453–458]. Предложены пролекарства Pt(IV) с аксиальными лигандами различной природы, синтезируемые из оксоплатина путем создания карбаматной связи и медь-катализируемого азид-алкинового циклоприсоединения (схема 6.29) и представляющие собой эффективные противоопухолевые препараты, способные преодолевать лекарственную устойчивость и эффективно накапливаться в злокачественных новообразованиях. Варьирование природы аксиального лиганда, его биологического действия и липофильности в структуре пролекарств платины (IV) позволяет настраивать фармакологическую активность, селективность и проникающую способность препарата. Показано, что цитотоксическая активность пролекарств Pt(IV) зависит от липофильности, скорости восстановления пролекарства, типа линкера между аксиальным лигандом и Pt(IV), однако в значительной степени определяется природой аксиального лиганда. Разработаны фотоактивируемые пролекарства Pt(IV) с лигандами на основе рибофлавина и бор-дипиррометенов, способных к контролируемому высвобождению цисплатина при возбуждении светом. Впервые получены фотоактивируемые пролекарства Pt(IV) двойного действия, представляющие собой агенты фотоконтролируемой химиотерапии и фотодинамической терапии.
Схема 6.29
Разработанные соединения показали способность преодолевать резистентность цисплатину, накапливаться в опухолевых клетках, продемонстрировали высокую цитотоксическую активность (в 150 раз превышающую цисплатин) и существенно более высокие максимально переносимые дозы in vivo, чем используемые в клинической практике препараты.
В лаборатории супрамолекулярной химии и нанотехнологии органических материалов (заведующий — член-корр. РАН, профессор С.П. Громов) создано новое научное направление — разработка фотоактивных супрамолекулярных устройств и машин [459], которое было отмечено Государственной премией РФ в области науки и технологий. Область применения разработанных фотоактивных супрамолекулярных устройств и машин — создание механизмов и машин для генерации, преобразования и передачи энергии и движения на наноуровнях, создание наноинструмента для контроля, диагностики наноколичеств материалов и веществ (рис. 6.6).
Рис. 6.6. Механизмы и машины для генерации, преобразования и передачи энергии и движения на наноуровнях
Разработан кристаллографический подход к топохимическим реакциям [2+2] фотоциклоприсоединения ([2+2] ФЦП) непредельных соединений с сохранением монокристалла [460], цикл работ был поддержан Премией имени Н.Д. Зелинского РАН. Область применения кристаллографического подхода к реакциям [2+2] ФЦП — это построение на основе монокристаллов устройств для обратимой оптической записи информации в объеме образца (рис. 6.7).
Рис. 6.7. Построение на основе монокристаллов устройств для обратимой оптической записи информации в объеме образца
В группе профессора РАН С.З. Вацадзе (совместно с коллегами из США) установлено, что вне зависимости от полярности радикала реакции с изонитрилами протекают с высокой скоростью, что объясняется дуализмом (“стереоэлектронные хамелеоны”) электронных свойств изонитрильной группы [461].
Впервые показано, что новые конъюгаты биспидинов, в том числе с монотерпеноидами (рис. 6.8), способны быть катализаторами таких реакций, как: реакция Анри [462, 463], присоединение диэтилцинка к халконам [464], присоединения терминальных ацетиленов к альдегидам [465], реакция Чана–Лама–Эванса [466]. Данный фрагмент работы проводился совместно с коллегами из НИОХ СО РАН.
Рис. 6.8. Новые конъюгаты биспидинов
В группе молекулярной электрохимии профессора Т.В. Магдесиевой ведется работа по дизайну и синтезу устойчивых органических радикалов. Актуальным направлением является синтез амбиполярных молекул, способных давать три устойчивых редокс-состояния (катион-радикал-анион), которые востребованы в органической электронике как редокс-активные материалы для органических батарей и др. Проведен цикл работ по дизайну и синтезу устойчивых “самонастраивающихся” диарилнитроксильных радикалов [467], обладающих амбиполярностью за счет динамической стабилизации противоположно заряженных редокс-состояний: путем введения заместителей-хамелеонов, способных менять свои донорно-акцепторные свойства путем вращения относительно фенильного кольца [468], или путем дополнительных внутримолекулярных взаимодействий через пространство, которые включаются/выключаются при необходимости [469] (рис. 6.9). Предложен новый метод синтеза симметричных диариламинов (прекурсоров целевых диарилнитроксилов) – аминирование арилборных кислот алкилнитритами, катализируемое Cu(I) [470].
Синтезирован новый тип крайне редких нейтральных устойчивых смешанновалентных радикалов [471], которые проявляют ярко выраженную амбиполярность, а также обладают интенсивным поглощением во всей видимой и ближней ИК области, что представляет интерес для создания теплоизолирующих покрытий. Присущая новым радикалам инверсия заселенности (SOMO-HOMO inversion) делает их интересными объектами для спинтроники.
Рис. 6.9. Динамическая стабилизация амбиполярных диарилнитроксильных радикалов (а, б) и новый тип устойчивых смешанновалентных радикалов (в)
Устойчивость и свойства радикала во многом зависят от разности потенциалов его окисления и восстановления. Предложена теоретическая модель [472], проясняющая физическую природу электрохимической щели (DE = EOx — ERed) в радикалах и ее связь с распределением спиновой плотности. Показано, что главным фактором, который обеспечивает саму возможность существования радикалов в растворе, является кулоновское отталкивание, возникающее при восстановлении, когда второй электрон заселяет SOMO.
В настоящее время основной направленностью исследований, проводящихся в лаборатории физической органической химии (заведующий — профессор РАН С.С. Карлов) является синтез органических соединений непереходных металлов и металлоидов, исследование их структуры, химических свойств и возможного прикладного применения.
Одно из основных направлений исследований группы под руководством профессора С.С. Карлова — синтез новых инициаторов полимеризации циклических сложных эфиров и изучение поведения этих инициаторов в полимеризации, приводящей к получению биоразлагаемых полимеров [473]. В ходе исследований последних лет было синтезировано значительное количество новых комплексов металлов (цинк, галлий, алюминий, титан), которые оказались эффективными инициаторами гомополимеризации L-лактида и ε-капролактона. Следует отметить, что полученные производные являются комплексами металлов, которые традиционно считаются нетоксичными, что важно из-за применения подобных полимеров в медицине и фармацевтике, а их активность в полимеризации часто заметно выше, чем активность используемого в настоящее время в промышленности бис(2-этилгексаноата олова) [473, 474]. Крайне важный результат получен при исследовании сополимеризации L-лактида и ε-капролактона. Следует отметить, этот сополимер, поли(L-лактид-со-капролактон), является одним из важнейших биоразлагаемых сополимеров. Два соответствующих гомополимера обладают противоположными физическими и механическими свойствами: поликапролактон обладает хорошей эластичностью и проницаемостью, но плохими механическими характеристиками (вязкостью), что противоположно полилактиду.
Рис. 6.10. Два эффективных инициатора на осно- ве алюминия: в присутствии бензилового спирта соединение на основе пиридино(бисфенола) при- водит к получению поли(LA-stat-CL), а на основе диэтилентриамина — поли[LA-stat-(4-бензилокси- карбонил-4-метил-триметиленкарбоната)]
Получение статистического сополимера поли(LA-stat-CL) могло бы привести к биоразлагаемым материалам с улучшенными свойствами, но в большинстве случаев сополимеризация LA и CL приводит к образованию блок-, poly(LA-block-CL) или градиентных poly(LA-grad-CL) сополимеров из-за разных скоростей реакций полимеризации этих мономеров при использовании большинства изученных инициаторов. Интересно, что гомополимеризация CL обычно протекает быстрее, чем для LA, в то время как сополимеризация обоих мономеров часто приводит к первоочередному расходованию LA из смеси мономеров. В группе профессора С.С. Карлова были синтезированы и изучены два эффективных инициатора на основе алюминия: в присутствии бензилового спирта соединение на основе пиридино(бисфенола) приводит к получению поли(LA-stat-CL), а на основе диэтилентриамина — поли[LA-stat-(4-бензилоксикарбонил-4-метил-триметиленкарбоната)] (рис. 6.10) [475, 476]. Кроме того, механизм сополимеризации L-лактида и ε-капролактона был детально изучен при помощи квантовохимических расчетов методом DFT [477].
Кроме указанного направления выполняются работы в области синтеза и изучения свойств тетриленов — производных элементов 14-й группы в степени окисления (2+), являющихся тяжелыми аналогами карбенов. В группе были проведены систематические исследования по синтезу тетриленов с различным лигандным окружением (типы лигандов приведены на рис. 6.11) [478]. Установлены структурные факторы, определяющие существование синтезированных тетриленов в виде мономера или в виде одного из двух типов димерных структур (рис. 6.11). Исследовано поведение полученных тетриленов в реакциях внедрения и циклоприсоединения. Найдено, что мономерная структура тетрилена способствует протеканию реакции, которая приводит к ожидаемым продуктам внедрения и присоединения, в которых степень окисления атома элемента 14 группы становится равной 4+. В то время как димерные тетрилены часто дают смеси трудноидентифицируемых соединений.
Рис. 6.11. Структурные факторы, определяющие существование синтезированных тетриленов в виде мономера или в виде одного из двух типов димерных структур
Совсем недавно при исследовании реакции внедрения гермилена Лапперта, Ge[N(SiMe3)2]2 по связи S–S дифенилдисульфида в присутствии различных внешних оснований (амины, фосфины), было установлено, что чем ниже потенциал окисления внешнего основания, тем сильнее это основание ускоряет реакцию окислительного присоединения. Однако данная зависимость имеет экстремум — лиганды, окисляющиеся при потенциалах меньших, чем сам гермилен, имеют худший каталитический эффект [479].
В группе, возглавляемой в.н.с. А.А. Прищенко, разработана кремнийорганическая методология синтеза функционализированных фосфорорганических соединений, на основе которой получены новые производные фосфонистых и фосфиновых кислот, включающие элементоорганические (кремний-, германий-, фосфор- и ферроценорганические) и гетероциклические (пиридин-, фуран- и пирролидонсодержащие) фрагменты. Представленные методы синтеза водорастворимых кислот и их солей основаны на взаимодействии высоко реакционноспособного бис(триметилсилокси)фосфина с функционализированными непредельными синтонами с образованием соответствующих алкилфосфонитов, последующее аминометилирование и карбоксиэтилирование которых приводит к триметилсилиловым эфирам фосфиновых кислот разнообразного строения. Дальнейший метанолиз этих эфиров протекает в мягких условиях и приводит к целевым фосфиновым кислотам, а обработка функционализированных алкилфосфонитов метилатом натрия в метаноле завершается образованием соответствующих натриевых солей с высоким выходом (рис. 6.12).
Рис. 6.12. Образование натриевых солей с высоким выходом
Полученные соединения представляют интерес в качестве перспективных биологически активных веществ и эффективных полидентатных лигандов для использования в различных целях [480–484].
Раздел 6 подготовлен в рамках государственного задания кафедры органичекой химии МГУ имени М.В. Ломоносова.
7. КАФЕДРА ХИМИИ И ТЕХНОЛОГИИ ОРГАНИЧЕСКОГО СИНТЕЗА РХТУ ИМ. Д.И. МЕНДЕЛЕЕВА
Кафедра химии и технологии органического синтеза (ХТОС) РХТУ им. Д.И. Менделеева создана в 1935 г. Область научных интересов кафедры смещалась от исследований по получению спецпродуктов (А.Е. Кретов, 1935–1937 гг.; П.Г. Сергеев, 1937–1938 гг.) в область разработки технологий продуктов тяжелого органического синтеза, включая способы получения высокомолекулярных соединений (В.В. Коршак, 1939–1953 гг.). Созданная отечественная школа синтеза и производства изоцианатов (Ю.А. Стрепихеев, 1953–1979 гг.) решала задачи ассимиляции фосгена в производство исходных веществ для получения полиуретанов, химических средств защиты растений (ХСЗР), и в дальнейшем была развита при создателе научной школы производных карбаминовой кислоты (А.Л. Чимишкян, 1979–2008 гг.). На кафедре сложилась научная школа химии и технологии органического синтеза и биологически активных веществ (БАВ). В 1980–2000 гг. были внедрены в промышленность технологии производства гербицидов, родентицидов, регуляторов роста растений, антикоагулянтов. В настоящее время на кафедре продолжаются поисковые исследования новых ХСЗР, фармацевтических субстанций, технологий БАВ. На кафедре работает 13 преподавателей, среди них 1 член-корр. РАН, 1 доктор наук, 7 кандидатов наук, обучаются 160 студентов (специалисты, бакалавры, магистранты) и 7 аспирантов, функционируют 5 научных групп.
Одним из основных направлений исследований научной группы зав. кафедрой ХТОС, доцента, кандидат химических наук С.В. Попкова является синтез и изучение биологической активности производных 1-замещенных азолов. Пристальное внимание в научной работе уделяется разработке синтеза замещенных триазолов и имидазолов, систематическому изучению их химических и биологических свойств, выявлению связи структура—биологическая активность.
На основе 2,2-дизамещенных-6-арилиденциклогексанонов разработаны эффективные способы получения 1-азолилметилспиро[2.4]октанолов и -диспиро[2.1.4.3]-додеканолов. В результате метиленирования исходных кетонов по Кори–Чайковскому, в зависимости от используемого реагента, по C=C или С=O связи получают соответствующие оксираны, которые после раскрытия азолами приводят к целевым азолилметилциклогексанолам (схема 7.1) [485]. Соединения этих рядов проявляют высокую фунгицидную, анимикотическую активность и превосходят по фунгитоксичности эталон — триадименол. При использовании в качестве исходных бис-(2,6-арилиден)циклогексанонов аналогичным способом получен ряд 1-азолилметилдиспиро[2.1.2.3] деканолов [486].
Схема 7.1
Из замещенных алкано- и бензофенонов в результате конденсации с хлоргидрином глицерина получают 2-арил-4-хлорметил-1,3-диоксоланы, которыми затем алкилируют триазолат или имидазолат натрия с образованием 4-азолилметил-2-арил-1,3-диоксоланов (схема 7.2) [487]. Азолилметилдиоксоланы демонстрируют значительную фунгицидную [3], антимикобактериальную [488] активность, а также проявляют ретардантные свойства [489]. Альтернативным способом получают азолилметилдиоксоланы с меньшим выходом путем конденсации 3-азолил-1,2-пропандиолов с ацето- и бензофенонами [490].
Основным направлением работы ассистента Г.В. Цаплина является изучение методов получения и биологической активности азол-1-илметилазолов, предложен новый подход к дизайну соединений с высокой фунгицидной активностью (схема 7.3) [491].
Разработаны способы получения 5-(азол-1-илметил)-1,2,4-триазол-3-тионов из ключевого 2-(1,2,4-триазол-1-илметил)ацетгидразида по реакции ацилирования изотиоцианатами с последующей циклизацией в щелочной среде (схема 7.4) [492]. 1,2,4-Триазол-3-тионы подвергают дальнейшей модификации, целевые продукты обладают низкой токсичностью [493], проявляют антиоксидантные и антигипоксические свойства [494].
Аналогичные 5-(азол-1-илметил)-1,3,4-тиадиазол-2-тионы и -1,3,4-оксадиазол-2-тионы (cхема 7.5) получают по реакции 2-(1,2,4-триазол-1-илметил)ацетгидразида с сероуглеродом в присутствии основания с образованием соли карбодитионовой кислоты с последующей кислотно- или основно-катализируемой циклизацией (схема 7.5) [491, 495, 496].
4-Амино-1,2,4-триазол-3-тион синтезирован по реакции типа ANRORC гидразин гидрата с соответствующим 1,3,4-оксадиазол-2-тионом [497, 498] или сплавлением триазолилацетгидразида с тиокарбазидом. Модификация по атому серы селективно протекает только после введения арилиденового фрагмента по экзоциклическому атому азота 4-амино-1,2,4-триазол-3-тиона (cхема 7.6).
Как в ряду S-замещенных-1,2,4-триазоов, так и в рядах 2-алкилтио-5-(1,2,4,-триазол-1-илметил)-1,3,4-тиадиазолов и -1,3,4-оксадиазолов наиболее высокой фунгицидной активностью обладают арилоксиалкановые производные [491, 492, 495, 496]. Обнаружено, что S-циннамилпроизводные 5-(азол-1-илметил)-1,2,4-триазол-3-тионов проявляют антигельминтные свойства (схема 7.4) [499].
В исследованиях Д.В. Минина разработана методология поиска новых PPARδ/β агонистов аналогов эндуробола [500] в рядах 4-арилазолилметилтио-2-метилфеноксиуксусных кислот и их аналогов. На основе замещенных бензойных кислот и бензонитрилов синтезированы ряды новых соединений, содержащих в качестве линкера различные азолы, а также продукты их окисления — сульфоны [501–503] (схема 7.7). В результате испытаний полученных соединений in vitro методом поверхностного плазмонного резонанса выявлено, что наиболее перспективным потенциальным агонистом PPARδ/β является 4-[4-метил-5-(3,4-дихлорфенил)-4H-1,2,4-триазол-3-ил-метилсульфонил]-2 метилфеноксиуксусная кислота.
Исследования М.А. Глушковой направлены на поиск новых фармацевтических субстанций в ряду β-агонистов, разработку новых методов синтеза известных препаратов тулобутерола [504], бромбутерола, кленпроперола и их аналогов [505] (схема 7.8), получению их метаболитов и изучению фармакокинетических параметров [506].
В тесной связи с лабораторией гомолитических реакций ИОХ им. Н.Д. Зелинского РАН проводятся исследования в научной группе доктор химических наук, профессора РАН А.О. Терентьева по синтезу и изучению биологической активности органических пероксидов [507–509], тиоцианатов [510, 511], функциональных производных пиразолидинона [512, 513], тетрагидрохинолина [514], а также бис(диалкилтиокарбамоил) дисульфидов [515]. Полученные соединения проявляют высокую фунгицидную активность и превосходят эталоны — триадимефон и крезоксим-метил. Эффективный синтез большинства из перечисленных классов фунгицидных соединений стал возможен благодаря разработанным в группе А.О. Терентьева методам окислительного сочетания и пероксидирования. Протекающее с высоким выходом окислительное сочетание малонилпероксида с эфирами енолов открывает доступ к моноэфирам 2,2-дизамещенных малоновых кислот и α-гидроксикетонов (схема 7.9) [516].
В научной группе кандидат химических наук, доцента В.В. Захарычева и кандидат химических наук, доцента А.В. Кузенкова проводятся исследования по поиску биологически активных веществ в рядах замещенных пиридинов. На основе пиридилкетонов синтезированы производные оксимы и их O-алкил- и O-бензилпроизводные [517, 518]. Полученные из никотинового альдегида альдонитроны вводят в реакцию 1,3-циклоприсоединения с этилакрилатом или стиролами с образованием 2-арил-3-(3-пиридил)изоксазолидинов [519] (схема 7.10). Пиридилсодержащие соединения проявляют фунгицидную активность, в ряде случаев сравнимую с эталоном — триадимефоном.
Доцентом В.В. Захарычевым за последние 5 лет выпущены представительные учебные пособия по ХСЗР, посвященные химии и биологической активности фунгицидов [520], гербицидов [521] и регуляторов роста растений [522].
Научная группа кандидат химических наук, доцента С.Н. Мантрова продолжает исследования в области производных карбаминовой кислоты, разрабатывая безфосгенные способы получения замещенных карбаматов [523], изоцианатов [524] и мочевин [525] (схема 7.11). Разработкой технологий получения малотонажных промышленных продуктов, в том числе изоцианатов, с применением трифосгена занимается кандидат технических наук, ассистент Р.Р. Дашкин [526].
Исследования кафедры ХТОС развивают сложившуюся научную школу химии и технологии органического синтеза и биологически активных веществ по поиску перспективных ХСЗР, фармсубстанций и разработке импортозамещающих технологий БАВ.
8. КАФЕДРА ФУНДАМЕНТАЛЬНОЙ И ПРИКЛАДНОЙ ХИМИИ ИВАНОВСКОГО ГОСУДАРСТВЕННОГО УНИВЕРСИТЕТА
В 2020 году на базе кафедры органической и физической химии была создана кафедра фундаментальной и прикладной химии в составе Института математики, информационных технологий и естественных наук ИвГУ. Спектр научных направлений кафедры существенно расширился и в настоящее время включает исследование кинетики и механизма реакций ацильного переноса с участием аминокислот, дипептидов, амидов и гидразидов ароматических карбоновых и сульфоновых кислот (профессора Т.П. Кустова и Л.Б. Кочетова); разработку гетерогенных Pt- и Pd-содержащих катализаторов на основе активированного угля и углеродных наноматериалов: фуллеренов, фуллереновой сажи, углеродных нанотрубок, углеродных нановолокон, наноалмазов и графеноподобных материалов для гидрогенизационных процессов: гидрирования непредельных органических соединений и ароматических нитросоединений, гидродегалогенирования галогенаренов и тетрахлорметана, гидрогенизационного аминирования карбонильных соединений аминами и др. (профессор М.В. Клюев, доцент Н.А. Магдалинова); исследование взаимосвязи структуры и физико-химических свойств, подходы к дизайну супрамолекулярных мезоморфных материалов (доценты М.С. Федоров и Е.А. Лапыкина); исследования в области плазмохимии, направленные на получение водорастворимых производных хитозана (доцент И.К. Наумова) и др.
Сотрудниками кафедры в содружестве с НИЦ “Курчатовский институт” – ИРEА выполнен цикл работ [527, 528], посвященных реакционной способности дипептида L-Tyr-L-Pro и его аналога с восстановленной до -CH2OH карбоксильной группой, обладающих анальгетической активностью. Экспериментальное исследование кинетики бензоилирования дипептидов активированными нитрогруппой фенилбензоатами в растворителе вода (40 масс. %)—1,4-диоксан показало, что константа скорости реакции с участием L-Tyr-L-Pro(CH2OH) в среднем в 5 раз превышает константу скорости реакции с участием L-Tyr-L-Pro (схема 8.1) и изменяется в диапазоне k298 = 0.065–2.219 л·моль–1·с–1.
Схема 8.1
Сопоставление активационных параметров реакции (1) (схема 8.1) с участием 2,4-динитрофенилбензоата и изученной ранее реакции с Gly в тех же условиях показало, что величины ΔH≠298 и –ΔS≠298 близки и составляют 31–37 кДж⋅моль–1 и 134–145 Дж·моль–1·К–1 соответственно. Установлено, что на скорость бензоилирования аминокислот и дипептидов определяющее влияние оказывает основность участвующих в ацилировании аминогрупп, получена линейная корреляция между lgk реакций аминокислот и дипептидов с пикрилбензоатом и значениями рК их аминогрупп. Это позволило спрогнозировать величины констант скорости реакций с участием олигопептидов Tyr-Pro-Phe-Pro-Gly-Pro-Ile (рК = 7.31) и Tyr-Pro-Phe-Val-Glu-Pro-Ile (рК = 7.34) – 0.080–0.084 л·моль–1·c–1.
Механизмы реакций дипептидов в реакциях ацильного переноса на сегодняшний день исследованы мало [529]. В работе [530] выполнено компьютерное моделирование маршрута реакции на основе расчета трехмерной ППЭ в координатах расстояний между атомами аминного азота дипептидов L-Tyr-L-Pro и L-Tyr-L-Pro(CH2OH) и карбонильного углерода сложного эфира, которое изменялось от 4.0 до 1.0 Å, и угла атаки молекулы дипептида на карбонильный реакционный центр сложного эфира (NCC), который меняли в интервале от 90° (аксиальная p-атака) до 180°. Как правило, в реакциях дипептидов со сложными эфирами реализуется бимолекулярный согласованный механизм SN2, о чем свидетельствует вид ППЭ реакций: на них присутствует единственная седловая точка, соответствующая переходному состоянию реакции и единственный минимум, соответствующий продуктам. Маршрут реакции начинается аксиальной атакой нуклеофила под углом 90–100°, с последующим существенным увеличением угла атаки при сближении реагирующих молекул. Конфигурация карбонильного реакционного центра в ПС реакции стремится к тетраэдрической, сумма порядков рвущейся и образующейся связей в нем обычно превышает единицу, что свидетельствует об образовании “сжатого” ПС. В то же время реакции тирозилпролина с 4-нитрофенилбензоатом идут по стадийному механизму, о чем свидетельствует наличие на ППЭ каждого из процессов двух седловых точек, соответствующих двум ПС, и дополнительного минимума, соответствующего тетраэдрическому промежуточному продукту реакции. Структура обоих ПС и интермедиата близка к тетраэдрической. В первом ПС начинается формирование амидной связи, при этом связь с уходящей группой сохраняется. Затем образуется интермедиат, в котором связь с уходящей группой разрыхлена, а амидная связь сформирована в несколько большей степени. Второе ПС предшествует отщеплению уходящей группы, при этом амидная связь уже образовалась.
Рис. 8.1. Структуры молекул порфинов, содержащих нитрогруппы
Наряду с дипептидами на кафедре на протяжении последних пяти лет активно изучаются индивидуальные аминокислоты и их функциональные производные [531, 532] в бензоилировании в водно-органических средах. В работе [532] на основе экспериментального изучения кинетики реакции этилового эфира D,L-лейцина с 2,4-динитрофениловым и 2,4,6-тринитрофениловым эфирами бензойной кислоты в бинарных водно-органических растворителях, содержащих в качестве неводного компонента этанол, изопропанол, ацетонитрил и 1,4-диоксан, установлен диапазон изменения констант скорости k298 = 0.011 – 1.45 л·моль–1·с–1 и определены активационные барьеры реакций. Показано, что с ростом доли воды в бинарном растворителе от 20 до 80 масс.% константа скорости существенно увеличивается, обнаружен компенсационный эффект от состава растворителя. Как показали выполненные кинетические исследования, для проведения бензоилирования этилового эфира лейцина наиболее предпочтительны водно-спиртовые растворители.
Другим направлением кинетических исследований кафедры является сульфонилирование амидов и гидразидов ароматических карбоновых и сульфоновых кислот [533, 534]. Получен ряд реакционной способности в среде водного 1,4-диоксана (ωН₂О = 20 масс. %): амид бензойной кислоты > гидразид бензойной кислоты > гидразид бензолсульфоновой кислоты > амид бензолсульфоновой кислоты > сахарин, причем константа скорости реакции бензамида с 3-нитробензолсульфонилхлоридом (k298 = 0.039 л·моль–1·с–1) более чем в 200 раз превышает константу скорости реакции с участием сахарина. Результаты компьютерного моделирования трехмерных ППЭ рассмотренных процессов в газовой фазе показали, что реализуется маршрут, начинающийся как аксиальная атака нуклеофила, угол которой в ходе взаимодействия уменьшается. Реакции протекают по механизму бимолекулярного согласованного нуклеофильного замещения SN2 с образованием единственного активированного комплекса.
Одним из направлений кафедры, развиваемым под руководством профессора М.В. Клюева, является разработка гетерогенных платина- и палладийсодержащих катализаторов гидрогенизационных процессов на основе активированного угля, широко применяемого в промышленных синтезах, и углеродных наноматериалов: фуллеренов, фуллереновой сажи, углеродных нанотрубок, углеродных нановолокон, наноалмазов и графеноподобных материалов [535]. За последние несколько лет полученные катализаторы изучены в реакциях гидрирования ряда непредельных органических соединений [535, 536], ароматических нитросоединений [535, 536], нитросодержащих макрогетероциклических соединений (рис. 8.1) [536] и металлокомплексов (схема 8.2) [537], гидродегалогенирования галогенаренов [536] и тетрахлорметана [538], гидрогенизационного аминирования карбонильных соединений аминами или нитросоединениями (схема 8.3) [536, 539, 540], восстановительной циклизации нитрофеноксикетонов с образованием 2,3,4,4а,10,10а-гексагидро-1H-феноксазинов (схема 8.4) [541]. Данные реакции имеют значение для получения синтетически и практически важных продуктов, в том числе с потенциальной биологической активностью [540, 541], образование аминогрупп в макрогетероциклических соединениях дает возможность их дальнейшей модификации реакциями алкилирования или ацилирования.
В исследуемых реакциях металлсодержащие углеродные наноматериалы оказались в несколько раз каталитически активнее, селективнее и стабильнее, чем коммерческие Pt/C и Pd/C [535]. В гидрировании нитробензола платиновые катализаторы на основе углеродных нанотрубок, нановолокон и наноалмазов по активности превосходят катализатор Pt/C (Е-ТЕК) в 1.5–3.8 раза. Аналогичная ситуация наблюдалась и для палладийсодержащих углеродных наноматериалов, в частности, хорошо проявили себя образцы на основе наноалмазов, активность которых превышала 1 масс. % Pd/С в 1.5–10 раз. При изучении их стабильности в гидрировании последовательно пяти порций нитробензола обнаружен эффект “разработки” катализаторов [535]. Активность (TOF) палладийсодержащих наноалмазов (1 масс. % палладия) в синтезе 2,3,4,4a,10,10а-гексагидро-1H-феноксазинов (схема 8.4), полученных с количественными выходами, строение которых подтверждено методом ЯМР, составила 80 мин–1, что в три раза выше по сравнению с обычным 1 масс. % Pd/С (TOF = 26 мин–1) [541].
Исследования молекулярной структуры различных классов органических соединений и поиск взаимосвязей между строением и проявляемыми свойствами, традиционно выполняемые на кафедре под руководством профессора Н.И. Гиричевой, в настоящее время нашли продолжение в теоретических и экспериментальных работах по дизайну супрамолекулярных мезогенов. Исследования в разные годы были поддержаны Министерством науки и высшего образования, а также грантами РНФ (руководитель — доцент М.С. Федоров). Выявление особенностей взаимосвязи “структура—свойство” и закономерностей изменения свойств в ряду исследуемых соединений позволяет предложить принципы дизайна и наиболее перспективные соединения для конкретных практических применений. Процесс самоорганизации молекул в мезоморфные супрамолекулярные комплексы является сложным и многофакторным, поэтому изучается с использованием комплексного подхода, в котором сочетаются современные методы квантово-химического моделирования структуры и свойств, а также многие экспериментальные методы.
Рис. 8.2. Структурные формулы некоторых исследуемых мезоморфных H-комплексов
В результате работ, выполненных в последние годы, была показана взаимосвязь между структурой и мезоморфными свойствами ряда супрамолекулярных комплексов на основе ароматических карбоновых и сульфоновых кислот (рис. 8.2). Так, при изучении комплексов на основе 4-алкилоксикоричных кислот c 4,4′-бипиридином и его аналогами с различными мостиковыми группами (состав 2:1 соответственно) было установлено, что структурная жесткость и геометрическая форма центральной молекулы значительно влияет как на геометрическую форму H-комплекса, так и на его мезоморфные свойства. Наибольшей термостабильностью мезофазы обладают комплексы более структурно жестких 4,4′-бипиридина и 4,4′-азопиридина [542, 543]. При этом с ростом длины алкилокси-заместителя в молекуле кислоты уменьшается вероятность индуцирования нематического типа мезофазы.
Получены комплексы алкилоксизамещенных бензойных и коричных кислот с анизотропными производными пиридина (4-пирдил-4′-алкилоксибензоаты и др.). Детально изучены изменения колебательных спектров, сопровождающие разрушение циклических димеров кислот и формирование их H-комплексов с производными пиридина. Например, показано, что структурными единицами систем состава 1:1, состоящих из 4-додецилокисбензойной кислоты (A) и 4-пиридил-4′-додецилоксибензоата (B), являются Н-комплексы типа А⋯В, при этом в системе состава 2А:1В в процессе самосборки вместо комплексов А⋯А⋯В и А⋯В⋯А стехиометрического состава обнаруживается смесь комплексов A⋯B и циклических димеров кислоты [544]. Также для подобных систем была изучена взаимосвязь структурной нежесткости с мезоморфными свойствами. Проведено сравнение структурной и динамической нежесткости циклических димеров ароматических карбоновых кислот и различных их H-комплексов с производными пиридина. Увеличение структурной нежесткости центрального фрагмента комплекса способствует значительному увеличению как амплитуд колебаний остова, так и концевых групп заместителей и снижению температур фазового перехода “кристалл–жидкий кристалл” [545].
Для сульфоновых кислот впервые показана возможность формирования водородосвязанных комплексов с анизотропными производными пиридина, проявляющих мезоморфные свойства [546, 547]. Даже немезогенные кислоты способны индуцировать мезофазу в комплексе с анизотропными производными пиридина (рис. 8.2). Их главное отличие от карбоновых кислот состоит в том, что при формировании межмолекулярной водородной связи между сульфокислотной группой и пиридиновым фрагментом происходит перенос протона, что подтверждено результатами анализа колебательных спектров. Кроме того, за счет особенностей геометрического строения сульфокислотной группы полученные H-комплексы могут иметь отличающиеся от стержнеобразных формы и обладают большей структурной нежесткостью по сравнению с H-комплексами карбоновых кислот.
Начиная с 2022 г. на кафедре развивается новое научное направление в партнерстве с учеными Института химии растворов им. Г.А. Крестова Российской академии наук — разработка новых биосовместимых и биоразлагаемых материалов для медицинского и сельскохозяйственного применения. Выполнен ряд работ, посвященных модифицированию хитозана с целью получения его водорастворимых фракций, обладающих бактерицидным и фитостимулирующим действием. В работе [548] рассмотрено модифицирование хитозана подводным разрядом переменного тока и тлеющим разрядом постоянного тока при атмосферном давлении. Водорастворимые фракции хитозана получали путем газоразрядной обработки его 1%-ного раствора в уксусной кислоте, концентрацию которой изменяли в диапазоне 0.5–2% при времени обработки 5–20 минут. Установлено, что за 20 минут обработки молекулярная масса хитозана с исходной молекулярной массой 195 кДа и степенью дезацетилирования 0.82 уменьшается до 15–40 кДа.
Интересные результаты получены в работе [549], где исследован одностадийный синтез многокомпонентных полимерных нанокомпозитов, содержащих наночастицы оксида цинка и оксида меди на основе хитозана и поливинилового спирта с использованием подводной плазмы импульсного разряда. Прямое инициирование разряда между металлическими электродами в растворе полимера позволяет безреагентно получать наночастицы оксидов металлов со средним диаметром около 30 нм. Включение наночастиц металлов в пленки хитозана подтверждено данными рентгеноструктурного анализа. Наблюдения с помощью просвечивающей электронной микроскопии показали, что наночастицы равномерно диспергированы в полимерной матрице. Полученные образцы показали антимикробную активность в отношении бактерий Escherichia coli, Staphylococcus aureus и Bacillus subtilis, при этом максимальный антимикробный эффект продемонстрировала полимерная пленка, содержащая наночастицы 0.35% Cu2O и 3.41% ZnO. В работах [550, 551] были испытаны дисперсии хитозана, обработанные разрядом переменного тока между погруженными в жидкую фазу графитовыми электродами, суммарная концентрация водорастворимых и нерастворимых фракций хитозана составляла 0.2%.
Биологическая активность низкомолекулярных водорастворимых продуктов, полученных при различных условиях обработки хитозана, исследована по влиянию на всхожесть семян ряда сельскохозяйственных культур (ячменя, пшеницы, льна, гороха, огурцов, томатов) и по темпам раннего развития растений, а также по способности к подавлению роста патогенной микрофлоры. Установлено, что по фитостимулирующей активности полученные хитоолигосахариды не уступают коммерческому стимулятору роста “Эпин-экстра”. Так, проращивание гороха в чашках Петри показало всхожесть 89% при всхожести в контрольной партии с использованием обычной воды 84%, увеличилась степень набухания семян. Также обнаружено более высокое содержание хлорофилла в вытяжках из высушенной зелени огурцов и гороха, которые поливали растворами модифицированного хитозана, что указывает на интенсификацию процессов фотосинтеза.
9. НОВЫЕ МЕТОДЫ И РЕАГЕНТЫ ДЛЯ ПОЛУЧЕНИЯ БИОЛОГИЧЕСКИ АКТИВНЫХ ВЕЩЕСТВ И МАТЕРИАЛОВ МЕДИЦИНСКОГО НАЗНАЧЕНИЯ (ИССЛЕДОВАНИЯ, ПРОВОДИМЫЕ В НОЦ Н.М. КИЖНЕРА)
Научно-образовательный центр Н.М. Кижнера (НОЦ Н.М. Кижнера) стал преемником (с 2017 г.) кафедры органической химии, одной из старейших кафедр Томского политехнического университета, основанной в 1901 г. академиком Н.М. Кижнером. В последующие годы на кафедре получен ряд приоритетных результатов в ароматическом иодировании, открыты новые реагенты для окисления кратных связей до 1,2-дикетонов, разработаны удобные и эффективные методы диазотирования-иододезаминирования ароматических и гетероароматических аминов [552].
В настоящее время в НОЦ Н.М. Кижнера продолжаются исследования в области химии диазониевых соединений [553]. Получен и исследован широкий ряд арендиазоний сульфонатов (тозилаты, трифлаты) – уникальный класс ароматических солей диазония, устойчивых при хранении, безопасных в работе, хорошо растворимых в воде и органических средах различной полярности, демонстрирующих высокую активность в реакциях, типичных для солей диазония (схема 9.1) [553–555].
Диазотирование аминопиридинов и аминохинолинов в присутствии сульфокислот приводит к образованию крайне неустойчивых солей диазония, которые быстро превращаются в эфиры сульфокислот. Так, был разработан общий подход к получению пиридилсульфонатов — тозилатов 1, трифлатов 2, камфорсульфонатов 3 – ценных полупродуктов органического синтеза (схема 9.2) [553, 556]. Показано, что при диазотировании аминопиридинов в гексафторизопропиловом спирте образуются гексафторизопропилоксипиридины 4 (схема 9.2) [557]. Анилины в этих условиях практически инертны.
Впервые было установлено, что пиридилтрифлаты 2 при нагревании в ДМФА способны замещать трифлатную группу с образованием N,N-диметиламинопиридинов. Замещение ускоряется под действием микроволнового облучения. На основании полученных результатов был разработан однореакторный метод получения 2- и 4-N,N-диметиламинопиридинов 5 из коммерчески доступных аминопиридинов (схема 9.3).
Метод обеспечивает хорошие выходы целевых продуктов и является альтернативой существующим методам синтеза N,N-диметилпиридин-4-амина (DMAP) – катализатора, широко используемого в органическом синтезе [558].
Исследования в области химии диазониевых соединений были направлены также на поиск новых подходов к осуществлению реакций межмолекулярного и внутримолекулярного электрофильного ароматического аминирования с использованием катионов аминодиазония R2N–N2+ как особого типа диазониевых соединений. В частности, экспериментальными и теоретическими методами исследованы механизмы генерирования H2N–N2+ (протонированная азотистоводородная кислота) и возможных маршрутов его реакций с ароматическими соединениями [559]. При этом установлено, что из двух возможных направлений реакции электрофильного аминирования аренов (А) и (Б) (схема 9.4) более вероятным является маршрут (А). В работе [559] также определено влияние заместителей в RC6H5 на энергии и структурные параметры переходных состояний электрофильного аминирования.
Схема 9.4
Схема 9.4 Возможные маршруты реакции электрофильного аминирования
В работе [560] с использованием методов B3LYP/aug-cc-pvdz и MP2 в базисе aug-cc-pVTZ проведено моделирование всех стадий реакций внутримолекулярного электрофильного аминирования, протекающего при протонировании ряда азидов Ar(Het)CH(Alk)N3 по схеме 9.5. Расчеты показывают, что синхронная перегруппировка является значительно более выгодным процессом.
Недавно [561] исследованы особенности протекания клик-реакции SuFEx, позволяющей синтезировать ценные серусодержащие органические соединения. В частности, с использованием этой реакции получены новые фторсульфатные производные фенолов 7 на основе 1,4-нафтохинона. Обнаружено, что наилучшими субстратами для получения целевых фторсульфатов являются силиловые эфиры 6 этих фенолов (схема 9.6).
Получены неизвестные ранее фторсульфатные производные 2-(гидроксифенил)бензоксазолов. Обнаружено, что повышение давления газообразного SO2F2 увеличивает селективность SuFEx реакции в пользу целевого фторсульфата, снижая количество побочного сульфата с двумя бензоксазольными гетероциклами (схема 9.7). Предварительное силилирование гидроксильной группы в данном случае снижает выход фторсульфата.
В 2020 г. в НОЦ Н.М. Кижнера организована научно-исследовательская лаборатория “Молекулярное моделирование и синтез биологически активных соединений”. Здесь продолжаются работы в области химии и технологии лекарственных веществ, начатые в середине прошлого века профессором Л.П. Кулевым [552].
Новый импульс получили исследования по синтезу линейных и циклических производных мочевин в качестве противосудорожных препаратов. Так, впервые определен энантиомерный состав 1-фенил(3-хлорфенил)-метилмочевины в рацемическом препарате Галодиф 8 методами ЯМР и хиральной ВЭЖХ [562]. Получены и идентифицированы (R-) и (S+) диастереомеры N-((3-хлорфенил)(фенил)метил-камфорсульфамидов 9 как потенциальных предшественников Галодифа в асимметрических синтезах (схема 9.8).
Механизм фармакологического действия препарата Галодиф 8 неизвестен, предположительно его активность обусловлена взаимодействием с рецептором γ-аминомасляной кислоты ГАМКА. Оценку взаимодействия Галодифа с бензодиазепиновым сайтом ГАМКА проводили методом молекулярного докинга. Были получены более 10 различных трехмерных конформаций с потенциальной энергией, близкой к теоретическому минимуму [563].
Впервые получен водорастворимый 4-оксо-4-{3-[фенил(3-хлорфенил)метил]уреидо}бутановой кислоты 9а – приемлемый кандидат для разработки водорастворимой лекарственной формы Галодифа (схема 9.9) [564]. Разработаны практичные вольтамперометрические методы анализа лекарственных форм Галодифа [565].
В лаборатории активно ведутся исследования по разработке ингибиторов JNK-киназы. Синтезирован и исследован ряд новых оксимов на основе 11H-индено[1,2-b]хиноксалин-11-она 10 и хиноксалина 11 (схема 9.10), изучены их физико-химические и биологические свойства [566–573].
Разработанные методики синтеза различных оксимов с заместителями как в гетероциклическом фрагменте, так и у атома кислорода позволяют получать их с высокими выходами без использования дорогостоящих реагентов и сложных синтетических процедур. С применением экспериментальных и квантово-химических методов была изучена люминесценция производных триптантрина, модифицированных по оксимной группе. Некоторые производные триптантрина и 11H-индено[1,2-b]хиноксалина обладают высокими показателями ингибирующей активности в отношении ферментов семейства JNK и противовоспалительной активности, что позволяет говорить о перспективах их использования в качестве биологически активных соединений с противовоспалительными, противоишемическими и антигипертензивными свойствами.
Синтезированы ранее неизвестные производные 1,4-бензодиазепин-2-она (БД) 12-15, обладающие широким спектром биологической активности. Так, установлено, что 3-ацилоксипроизводные 12 проявляют аффинитет к центральным бензодиазепиновым рецепторам (ЦБДР) и обладают гипноседативными и анксиолитическими свойствами (схема 9.11) [574]. Установлено, что наиболее высоким аффинитетом обладают соединения, содержащие атом хлора в орто-положении 5-фенильного заместителя, кроме того, на величину аффинитета влияет длина углеводородной цепи ацильного остатка.
Впервые полученные 3-фталимидоацилокси производные 13, 14 (схема 9.12) [575] наряду с высокой антигипоксической активностью проявляют противосудорожное и антитоксическое действие, а также улучшают длительную память и обучаемость. Важно отметить, что все производные 13, 14 являются малотоксичными, их LD50 > 550 мг/кг.
Было показано, что ранее неизвестные 3-ариламинопроизводные 15 [576] в низких дозах (2,07–2,21 мкМ) оказывают существенное влияние на аппетит, проявляя как орексигенное, так и анорексигенное действие (схема 9.13).
В содружестве с НОЦ Б.П. Вейнберга ТПУ и организациями медико-биологического профиля разработаны новые композитные материалы, используемые в качестве имплантатов и средств целевой доставки препаратов.
Впервые предложен и осуществлен метод поверхностного модифицирования медицинских изделий на основе поли(молочной кислоты) (ПМК), заключающийся в предварительной обработке смесью “хороший/плохой” растворитель и позволяющий иммобилизовать 2-5(аминобензо[d]оксазол-2-ил)фенол, N-(2-(2-гидроксифенил)бензо[d]оксазол-5-ил)ацетамид в качестве флуоресцентных меток, полиакриловую кислоту [577], гиалуроновую кислоту и желатин [578–580] на поверхности пленок ПМК. Предложен метод оценки эффективности данной иммобилизации [581].
Впервые получены композитные материалы на основе поли(ε-капролактона) (PCL), наполненного L-аргинином [582], ингибитором JNK-киназы [583–585] и препаратом Доксорубицин [586]. Так, новые матриксы на основе PCL, содержащие производные нафтохинона, позволяют обеспечить пролонгированный выход препарата из матрикса; при этом повышение концентрации увеличивает цитотоксичность матриксов в отношении линии клеток MonoMac-6 [585]. Таким образом, полученные скаффолды могут быть использованы как материалы медицинского назначения, обладающие противораковыми и другими полезными свойствами. В настоящее время получены новые медицинские материалы на основе сополимера поликапролактона и поливинилпирролидона с использованием гексафторпропанола как растворителя при электропрядении [586, 587].
Научные исследования, проводимые в НОЦ Н.М. Кижнера, поддержаны грантами РФФИ, РНФ, государственным заданием Министерства науки и высшего образования РФ, грантами ТПУ в рамках программ “5-100”, “Приоритет 2030”.
Работа выполнена в рамках государственного задания Министерства науки и высшего образования Российской Федерации (Наука № FSWW-2023-0008).
10. КАФЕДРА ОРГАНИЧЕСКОЙ ХИМИИ НИЖЕГОРОДСКОГО ГОСУДАРСТВЕННОГО УНИВЕРСИТЕТА ИМ. Н.И. ЛОБАЧЕВСКОГО
На протяжении нескольких последних лет на кафедре органической химии химического факультета Нижегородского государственного университета им. Н.И. Лобачевского (КОХ ННГУ) активно развивались несколько научных направлений в области медицинской химии, синтетической органической химии и химии высокомолекулярных и элементоорганических соединений.
В области медицинской химии на кафедре проводятся исследования, посвященные (а) химии адресных ферментативно-расщепляемых конъюгатов природных порфиринов для фотодинамической терапии (ФДТ) и имиджинга в качестве эффективных агентов для комбинированной противоопухолевой терапии [588]; (б) дизайну и синтезу аналогов природных алкалоидов — гетероциклических колхициноидов, проявляющих противоопухолевые, противофиброзные, противовирусные и антивоспалительные свойства, и систем их адресной доставки [589]; (в) созданию олигопептидных комплексов карбонилов железа, способных под действием ферментов высвобождать терапевтические количества монооксида углерода (ET-CORMs). Кроме того, изучение структур и молекулярной динамики BET-протеинов позволило создать первые селективные ингибиторы бромодоменов BET-протеинов, вовлеченные в эпигенетические механизмы модификации хроматина и регулирующие экспрессию онкогенов [590]. Созданы ингибиторы сигнального пути PI3K/Akt/mTOR [591] и агенты PROTAC, нацеленные на разложение онкогенных белков [592].
Схема 10.1
Конъюгаты для фотодинамической терапии на основе порфириновых соединений. Предложена концепция создания мультифункциональных конъюгатов для адресной фотодинамической терапии, накапливающихся избирательно в клетках опухоли за счет взаимодействия со специфическими рецепторами фактора роста. Систематический анализ этой концепции представлен в наших обзорах [588, 593, 594]. Предложенные конъюгаты состоят из фотосенсибилизатора на основе хлорина — природного дигидропорфирина (выделен на схеме зеленым цветом), 4-ариламинохиназолинового лиганда рецептора факторов роста EGFR/VEGFR (красный цвет) и связывающего их линкера (схема 10.1, соединения 1 и 2). К сожалению, растворимость этих соединений оказалась недостаточной для проведения полноценных биологических тестов [595]. Введение в состав конъюгатов гидрофилизирующих четвертичных аммонийных или углеводных фрагментов (соединения 3–8) позволило решить проблему водорастворимости [596–599]. Известно, что наличие углевода дает возможность адресной доставки содержащего его конъюгата к целевым клеткам за счет взаимодействия с опухоль- и тканеспецифичными рецепторами [600].
Установлено, что для соединений 4 и 5 фотодинамическая активность в ~50 раз выше по сравнению с темновой цитотоксичностью (IC50(темн.) ~20 мкМ; IC50(свет.) ~0.4 мкМ при облучении 20 Дж/см2) [596]. Для производных 6 и 7, содержащих 4-ариламинохиназолиновый вектор к рецепторам факторов роста, фототерапевтический индекс возрастает до ~360. Эти конъюгаты обладают значительной фотоактивностью — IC50(свет.) ~0.2 мкМ (облучение 20 Дж/см2), при этом они эффективно ингибируют рост опухолей в мышах, не проявляя существенных побочных эффектов [597, 598].
Схема 10.2
Синтезирован фоторасщепляемый конъюгат 9, который, в результате облучения светом, должен выделять свободный фотосенсибилизатор на основе синтетического порфирина 10 и химиотерапевтический агент комбретастатин А-4 11, претерпевающий фотоизомеризацию и переходящий в терапевтически активную Z-форму (принцип действия показан на схеме 10.2) [601]. Показано, что наличие ацетиленового фрагмента препятствует фотоиндуцированному распаду конъюгата 9.
Осуществлен синтез μ-оксо-Fe3+-комплекса хлорина-е6, содержащего липоевую кислоту в боковой цепи, способный выступать в качестве сенсора для детектирования и количественного определения оксида азота-2 (NO) [602].
Терапевтические агенты на основе алкалоидов колхицинового ряда. Колхицин (схема 10.3) – алкалоид, проявляющий широкий спектр физиологической активности, — применяется в клинической практике для лечения подагры, болезни Бехчета, семейной средиземноморской лихорадки и некоторых других заболеваний. Колхицин обладает большим противоопухолевым потенциалом, однако высокая системная токсичность не позволяет применять его как антимитотический препарат. На КОХ ННГУ осуществлен цикл работ по модификации скелета колхицина и синтезу конъюгатов на его основе, что привело к семейству колхициноидов, обладающих различной биоактивностью.
Схема 10.3
Молекула колхицина является удобным хиральным строительным блоком — модификация его циклов “А”, “В” и “С” позволяет синтезировать различные типы биоактивных полициклических соединений сохранением центральной и аксиальной хиральности исходного природного соединения. Например, дигидробензооксепины 12 (схема 10.3) получены в 5 стадий с использованием золото-катализируемой циклизации; продукты продемонстрировали умеренную цитотоксичность [603]. Бифункциональные аллоколхициноиды 13 и фураноаллоколхициноиды 14 синтезированы в 4 и 8 стадий соответственно [604, 605], некоторые из них демонстрируют противоопухолевую активность в низких наномолярных концентрациях. С использованием синтеза индолов по Фишеру из колхицина в 6 стадий получены пары изомерных индолоаллоколхициноидов 15 и 16 [606]. Направленный синтез индолоаллоколхициноидов со структурной формулой 15 реализован нами ранее по Pd-катализируемой внутримолекулярной каскадной реакции [607]. Конъюгирование колхицина с терпеноидами (например, соединение 17) приводит к образованию соединений, обладающих противовирусной активностью [608], а соединение 18, имеющее в своем составе аналог цетиризина, предположительно, обладает противовоспалительными и антиаллергическими свойствами [609].
Разработан универсальный подход к синтезу гетероциклических колхициноидов через ариновый интермедиат 19, который был получен в 3 стадии из колхицина. Следует отметить, что нами получен первый пример арина, обладающего комбинацией центральной и аксиальной хиральности. Арин 19 вступает в реакции [3+2] или [4+2]-циклоприсоединения с фуранами, азидами, диазо-производными или в реакции внедрения с циклическими мочевинами, приводя к образованию различных тетрациклических гетероциклов 20–23 в нерацемическом виде [610].
Схема 10.4
В 5 стадий из колхицина, с использованием в качестве ключевой стадии перегруппировки Демьянова, синтезировано производное 24, содержащее в скелете фрагмент акцептора Михаэля, что позволяет ему ковалентно связываться с белковыми мишенями [611]. Методом РСА установлено, что колхициноид 24 эффективно встраивается в колхициновый сайт белка тубулина. Производное 24 ингибирует рост резистентных опухолей в низких нано-молярных концентрациях и проявляет синергетический эффект при совместном применении с винкристином. Исходя из производного 24 в одну стадию были получены соединения 25–27. Фураноаллоколхициноиды 28 [612] и производные 29, содержащие экзо-кратную связь в кольце “D”, демонстрируют антипролиферативную активность в пико-молярных концентрациях (схема 10.4). Соединения 29 в кислой среде склонны к изомеризации в соответствующие фураны 30 [613].
Исходя из колхицина синтезированы “колхицино-кумарины” 31 [613], а также производные колхицина и тиоколхицина, содержащие фрагменты акцепторов Михаэля в циклах “В” (соединения 32) [614] и “А” (соединения 33) [615].
Для повышения селективности действия колхициновых производных успешно созданы различные системы доставки. В 6 стадий получен конъюгат фураноаллоколхицина с хитозаном, функционализированным родаминовым красителем 34, с помощью которого было определено биораспределение колхициноид-содержащих наночастиц в органах и тканях на животных моделях [616]. Установлено, что хитозановые наночастицы колхициноидов более эффективно ингибируют рост опухолей in vivo по сравнению с интактными формами колхициноидов, при этом не проявляют гастро- и кардиотоксичности. Липидный рН-чувствительный пролекарственный конъюгат 35 синтезирован из колхицина и золькеталя в 16 стадий [617]. Его липосомальные формы эффективно высвобождают терапевтический агент, близкий по структуре к 29 при рН среды 4.5–5.9, что соответствует закислению опухолевого микроокружения, при этом липосомальные формы производного 35 в ~105 раз менее токсичны по сравнению с интактным терапевтическим агентом. Исходя из природного колхицина синтезирован хиральный фосфолипид 36, легко встраиваемый в терапевтические наноразмерные липосомы (100–110 нм) на основе природного фосфатидилхолина [618]. Показано, что липидный пролекарственный конъюгат 36 эффективно высвобождает терапевтический колхициноид типа 29 на поверхности липосомального бислоя, под действием фосфолипаз PL-2, вырабатываемыми опухолевыми тканями [618].
Ферментативно-активируемые молекулы, высвобождающие оксид углерода (II). Разработан дизайн и синтез нового типа ферментативно-чувствительных молекул (схема 10.5), высвобождающих оксид углерода (II) под действием ферментов (ЕТ-CORMs — Enzymatically Triggered CO-Releasing Molecules). В приведенном на схеме 10.5 конъюгате 37 железотрикарбонильный фрагмент (выделен красным цветом) отделен от тетрапептида, специфичного к опухолевой протеазе — плазмину (выделен синим цветом), самораспадающимся линкером (выделен синим цветом) [619].
При взаимодействии плазмина с конъюгатом происходит расщепление пептидной связи между лизином и самораспадающимся линкером, что приводит к разрушению конъюгата, образованию циклической мочевины, а также енольной формы циклогексадиенового комплекса железа. Последний при переходе в кетонную форму разрушается с выделением ионов железа (III) и оксида углерода (II). Монооксид углерода (СО) является эндогенной молекулой, проявляющей в низких концентрациях (ppm) сигнальные функции, а также противовоспалительные, противоопухолевые, антиапоптотические, антикоагуляционные, и антиоксидантные свойства.
Новые синтетические аспекты в химии солей Эшенмозера. Разработан каскадный метод превращения замещенных стиролов в сопряженные енали в реакциях с иминиевыми катионами в присутствии системы ZnCl2/LiCl/H2O (схема 10.6) [620]. Методика была опробована на различных субстратах — производных стирола, — а также была проверена толерантность условий реакции к различным защитным группам.
На основе DFT-расчетов, ЯМР-экспериментов и применения метода меченных атомов, показано, что реакции проходят через стадии электрофильного присоединения и гидридного переноса с участием иминиевых катионов, при этом система LiCl/ZnCl2/H2O активирует иминиевый электрофил. Ключевым этапом является изомеризация промежуточного продукта иминия, предположительно, через стабилизированные ZnCl2 азометинилиды [620].
Химия полимеров и биосовместимых материалов. Исследована полимеризация алкил(мет)акрилатов и стирола в присутствии ингибиторов радикальных процессов: радикал Блаттера обрывает на себе одну полимерную цепь (схема 10.7A) [621], п-хиноны — две (схема 10.7B) [622–624]; 4-алкинилкумарины встраиваются в полимерную цепь аналогично п-хинонам (схема 10.7С) [625].
Макромолекулы, образующиеся по схемам 10.7А и 10.7В, в условиях полимеризации способны инициировать полимеризацию по механизму обратимого ингибирования, что позволяет проводить полимеризацию без предварительной очистки мономера от ингибитора. В случае алкинилкумаринов отсутствуют признаки контролируемой полимеризации. Полиметилметакрилат, включающий в свою структуру ковалентно связанный алкинилкумарин, обладает флуоресценцией зеленого цвета, которая сохраняется в лабораторном образце органического стекла в течение трех лет.
Схема 10.7
Получены биосовместимые материалы путем прививки синтетических полимеров (полиметилметакрилата, полиакриламида) к коллагену или желатину в присутствии алкилов бора [626, 627]. Этот подход приводит к образованию привитого сополимера сшитой структуры, что особенно важно для создания материалов регенеративной медицины.
Химия элементоорганических соединений V группы. Синтезированы новые элементоорганические соединения сурьмы и висмута, содержащие фрагменты непредельных карбоновых кислот. Полученные ЭОС использованы для синтеза металлоорганических сополимеров [628–631]. Созданные металлосодержащие материалы используются в компонентах УФ-резисторов как органическое стекло со специальными свойствами (поглощение радиационного и рентгеновского излучения), а также обладают бактерицидной и фунгицидной активностью.
Работа выполнена при поддержке Российского научного фонда в рамках гранта № 24-13-00179.
Работа выполнена при поддержке Российского научного фонда (проект 21-73-10230) и Научно-исследовательской лаборатории химии природных соединений и их синтетических аналогов, созданной по государственному заданию при Научно-образовательном центре “Техноплатформа 2035” (проект FSWR-2024-0002).
11. РАЗВИТИЕ ФУНДАМЕНТАЛЬНЫХ ПОДХОДОВ К СОЗДАНИЮ БИБЛИОТЕК НОВЫХ N, O, S-СОДЕРЖАЩИХ ГИБРИДНЫХ ГЕТЕРОЦИКЛОВ И ИХ ФУНКЦИОНАЛЬНЫХ ПРОИЗВОДНЫХ НА КАФЕДРЕ ОРГАНИЧЕСКОЙ И БИООРГАНИЧЕСКОЙ ХИМИИ САРАТОВСКОГО ГОСУДАРСТВЕННОГО УНИВЕРСИТЕТА ИМ. Н.Г. ЧЕРНЫШЕВСКОГО
Продолжены исследования научных проблем в области химии N,O-содержащих гетероциклов c линейносвязанными и конденсированными, в том числе фармакофорными, фрагментами.
В результате систематических исследований на основе различных дикарбонильных структур расширена библиотека гетероциклических соединений, включающая как би-, так и трициклические конденсированные системы с различными типами сочленения циклов, с разнообразными комбинациями гетероатомов и размерами циклов в зависимости от вводимых в реакцию бинуклеофилов (N,O; N,S) (схема 11.1). Изучена стереохимия имидазоимидазол(оксазол)(ти)онов, имидазопиримидин(оксазин)(ти)онов, имидазодиазепин(оксазепин)(ти)онов различной степени замещенности, относительная реакционная способность, внутримолекулярные взаимодействия, таутомерия, реакции их азосочетания, мультикомпонентных превращений, а также комплексообразования (проф. А.Ю. Егорова с сотр.). Впервые получены фундаментальные данные о реакционной способности тетрагидропирролооксазолонов, тетрагидропирролооксазинонов, дигидробензопирролооксазолонов, дигидрoбензопирролооксазиннов с селективным тионирующим реактивом Лавессона в условиях однореакторного синтеза, позволяющего ввести в структуру изучаемых соединений тионный фрагмент [632–636].
Изучено влияние условий синтеза и природы исходных реагентов на возможность реализации новых направлений гетероциклизации в реакциях бензоилглицина с терминальными алифатическими диаминами (доц. В.С. Гринев с сотр.). Установлено, что реакция гиппуровой кислоты с алифатическими диаминами приводит к образованию, с количественными выходами соли, дигиппураты алкан-1,N-диаммония (схема 11.2). При MWI образуются бис(фенилдигидроимидазолоны), для установления вклада отдельных молекул проведен конформационный анализ. Проведены реакции кватернизации иодистым метилом в системе KOH/ДМСО 3,3′-(алкандиил)бис(2-фенил-3,5-дигидро-4Н-имидазол-4-он)ов [637–639].
С целью изучения оптических свойств и биологической активности синтезирована представительная библиотека арилгидразонов оксазол-5(4H)-она. С помощью РСА нескольких представителей ряда установлено, что гидразоны находятся в Z-форме.
Предложены многокомпонентные реакции (проф. О.В. Федотова) как метод направленного создания разнообразно сформированных гибридных систем с участием “систем-платформ” — 4-гидрокси-2Н-хромен-2-она, 3-ацето-ацетил-2Н-хромен-2-она, 1,3-индандиона, 3,4-дигидронафталин-1(2H)-она и ароматических альдегидов при их совместном присутствии (схема 11.3) [640, 641].
Получены новые данные в области химии фуранонов, их S,N-гетероаналогов (проф. А.Ю. Егорова с сотр.). Разработаны оптимальные условия синтеза арил(гетарил) аминометилиден-3Н-фуран-2-онов на основе onе-pot конденсации фуранонов, ортоэфира и аминов ароматического и гетароматических рядов. Осуществлен переход к их тиоаналогам. Исследованы способы трансформации изучаемых соединений в новые разнообразно построенные гетероциклические системы (схема 11.4) [642–646].
Получило дальнейшее развитие изучение реакции циклоприсоединения в синтезе спиросочлененных пирролидинов и пирролизидинов (проф. В.В. Сорокин с сотр.). Разработаны подходы к регио- и стереонаправленному получению новых представителей указанных рядов на основе 1,3-диполярного циклоприсоединения азометин-илидов и диполярофилов, в качестве которых использовались алкены с ярко выраженными электронными эффектами (схема 11.5). Взаимодействие бензилиденмалононитрилов и илидов на основе изатина и пролина имеет свою специфику: образуется смесь изомерных пирролизидинов, способных к взаимному превращению, в том числе благодаря реакции ретро-Манниха [647]. Активно исследовались трехкомпонентные реакции карбонильных соединений, малононитрила и N,N-бинуклеофилов, приводящих к новым пиридо[1, 2-a]пиримидинкарбонитрилам и спиропиразолинкарбонитрилам [648, 649].
Проводились исследования в области химии соединений ряда хромена, хинолина, хиназолина, пиримидина, содержащих линейносвязанные и конденсированные фрагменты (проф. А.П. Кривенько с сотр.). Посредством двух- и трехкомпонентной конденсаций карбонильных соединений с С– и N–нуклеофилами (малононитрил, ацетат аммония, цианогуанидин) при варьировании условий получена серия новых 4,8-С-замещенных 2-аминохромен(хинолин)-3-карбонитрилов и изучены их реакции с участием аминогруппы (N–ацилирование), вицинальных амино- и цианогрупп (аннелирование пиримидинового цикла), хроменового фрагмента (O–N рециклизация), кватернизация (для пиридилзамещенных систем) (схема 11.6). Трехкомпонентной конденсацией синтезированы ранее неизвестные тиазолопиримидинкарбоксилаты, хроменкарбоксилаты, а также аминохинолинкарбонитрилы, а на основе последних — продукты аннелирования пиримидинового цикла (пиримидохинолиноны). Аннелирование осуществлено с использованием оксида графена как рециркулируемого гетерогенного нанокатализатора [650–652].
На основе карбонильных соединений и цианогуанидина осуществлен синтез 4,8-арил(гетарил)замещенных 2-цианоиминооктагидрохиназолинов, окисление которых привело к избирательному дегидрированию тетрагидропиримидинового цикла и трансформации цианоиминогруппы с образованием 2-аминокарбамоил- и 2-нитрозотетрагидрохиназолинов (схема 11.7).
Совместно с ИБФРМ РАН (проф. Л.Ю. Матора и проф. С.Ю. Щеголев с сотр.) проводятся испытания различных видов биологической активности новых соединений: антимикробной, влияния на угнетение дыхания клеток тканей опухолей различного генеза, а также ростостимулирующей активности по отношению к растениям, имеющим сельскохозяйственное значение [653–659]. Проводятся исследования влияния сосуществования бактерий рода азоспирилл в целенаправленно создаваемых эктосимбиотических ассоциациях с хозяйственно-значимыми растениями в культуре in vitro на физиолого-биохимические и серологические характеристики реизолятов, их способность к колонизации и стимулированию роста растений.
12. КАФЕДРА ОРГАНИЧЕСКОЙ И АНАЛИТИЧЕСКОЙ ХИМИИ ЯРОСЛАВСКОГО ГОСУДАРСТВЕННОГО ТЕХНИЧЕСКОГО УНИВЕРСИТЕТА
Одно из направлений исследований на кафедре связано с изучением синтеза фенилциклоалканкарбоновых кислот и их производных. Для синтеза фенилциклоалканового фрагмента была выбрана реакции алкилирования бензола циклоалкен-1,2-дикарбоновыми кислотами и их функциональными производными (cхема 12.1).
Показано, что стереохимический результат реакции зависит от последовательности прибавления реагентов. На основе этого были разработаны методы синтеза фенилциклоалкандикарбоновых кислот и способы их разделения с целью получения необходимого диастереомера. Предложен механизм этого явления [660].
Синтезирован ряд амидов карбоновых кислот, содержащих в своей структуре имидный, циклогексеновый и норборненовый циклы и фрагменты природных аминокислот. Подобраны условия синтеза, позволяющие получать данные соединения с высоким выходом. По результатам биотестирования можно сделать вывод, что ряд полученных соединений может быть рекомендован для дальнейших исследований в качестве регуляторов роста растений [661].
На основе 4-нитрофенилциклоалкан-1,2-дикарбоновых и природных аминокарбоновых кислот были получены новые оптически активные, термостойкие, растворимые в различных органических растворителях полиамидоимиды [662].
Разработаны методы синтеза функциональных производных фенилциклоалканполикарбоновых кислот различными способами [663, 664, 665].
Проведено квантово-химическое исследование реакции алкилирования по Фриделю-Крафтсу бензола циклогекс-4-ен-1,2-дикарбоновой кислотой. Результаты квантово-химического исследования и эксперимента показывают, что реакция алкилирования бензола циклогекс-4-ен-1,2-дикарбоновой кислотой и дальнейшая функционализация продукта регио- и стереоселективны [666].
Другое направление исследований посвящено получению и функционализации 3,5-дизамещенных-1,2,4-оксадиазолов. Основным путем синтеза выбрана реакция взаимодействия амидоксимов с производными карбоновых кислот (cхема 12.2).
Разработан эффективный однореакторный способ синтеза 3,5-дизамещенных 1,2,4-оксадиазолов взаимодействием амидоксимов с ангидридами или хлорангидридами карбоновых кислот, катализируемый системой NaOH/ДМСО [667]. Показано, что реакция протекает через стадию образования О-ациламидоксимов, что доказано экспериментально и с применением квантово-химических расчетов [668].
Нами проведен синтез 3,5-дизамещенных-1,2,4-оксадиазолов взаимодействием амидоксимов с карбоновыми кислотами или их эфирами в условиях высокого давления (10 кбар) и в отсутствии других реагентов или катализаторов. В реакцию вступают как алифатические, так и ароматические карбоновые кислоты. Реакция осложняется параллельно протекающей конденсацией двух молекул амидоксима в 3,5-бис-1,2,4-оксадиазоле [669].
Синтез 5-алкенил- и 5-стирил-1,2,4-оксадиазолов осуществлен циклодегидратацией О-ациламидоксимов при комнатной температуре в суперосновной среде KOH/ДМСО. Разработан однореакторный метод синтеза широкого ряда этих структур. Получена серия новых соединений, которые при испытаниях проявили умеренную активность в отношении штаммов E. coli, S. aureus и C. albicans, а также одного штамма грибов [670–672].
На основе 3,5-дизамещенных 1,2,4-оксадиазолов, содержащих алкенильный фрагмент, осуществлен синтез N-фталимидоазиридинов, имеющих пиридиновый и 1,2,4-оксадиазольный циклы. Проведен термолиз этих соединений в присутствии диполярофилов и синтезирован ряд новых представителей ряда N-фталимидоазиридинов и N-фталимидопирролидинов. В результате новые соединения содержат несколько фармакофорных групп (азиридиновый, оксадиазольный, пиридиновый и фталимидный фрагменты) [673].
Перспективным направлением исследований на кафедре является химия тиопиранов. После разработки эффективного способа получения соединений ряда 3,4-дигидро-2Н-тиопирана [674, 675] на основе однореакторного синтеза (тионирование, гетеро-реакция Дильса-Альдера) мы начали систематическое изучение синтетического потенциала этих соединений. Основные результаты исследований проиллюстрированы на схеме 12.3.
Схема 12.3
Было установлено, что реакция α,β-ненасыщенных кетонов и реагента Лавессона с малеиновой, итаконовой или 5-норборнен-2,3-дикарбоновой кислотой приводит к соответствующим ангидридам 3,4-дигидро-2Н-тиопиранов. В результате реакции метакриловой кислоты, реагента Лавессона и халкона образуется 4-метил-1,8-дифенил-2,6-дитиабицикло[2.2.2]октан-3-он. Исследована селективность реакции ацилирования аминов при использовании синтезированных ангидридов [676].
В статье [677] приводятся результаты исследования реакции галогенирования 3,4-дигидро-2Н-тиопиранов. Установлено, что бромирование производных 3,4-дигидро-2Н-тиопирана приводит к получению бромзамещенных 3,4-дигидро-2Н-тиопиранов или 4Н-тиопиранов в зависимости от условий проведения реакции и структуры исходных гетероциклов.
Исследовано поведение соединений ряда 3,4-дигидро-2Н-тиопирана, их S-оксидов и S,S-диоксидов в реакции окислительного фталимидоазиридинирования. Установлено образование продуктов типа “енамин”, “сульфоксиимин”, “азиридин” соответственно [678].
Разработан простой способ получения новых полициклических соединений тиопирана на основе трехстадийной домино-реакции дибензилиденацетона с производными малеиновой кислоты, включающей в себя стадии тионирования, HAD и CAD реакции Дильса-Альдера. Установлено, что использование в качестве диенофилов стирола и норборнена приводит только к продуктам HAD реакции Дильса-Альдера, способных взаимодействовать с производными малеиновой кислоты в более жестких условиях [679].
Логичным продолжением этой серии работ стало применение однореакторного подхода к синтезу 2H-тиопиранов из β-аминоенонов [680].
13. КАФЕДРА ОРГАНИЧЕСКОЙ И БИОМОЛЕКУЛЯРНОЙ ХИМИИ УРАЛЬСКОГО ФЕДЕРАЛЬНОГО УНИВЕРСИТЕТА. СОВРЕМЕННЫЕ ПОДХОДЫ К СИНТЕЗУ АЗАГЕТЕРОЦИКЛОВ. ИЗУЧЕНИЕ ПРИКЛАДНЫХ СВОЙСТВ
Кафедра является одной из старейших, созданных в советский период. В 2014 г. она отметила свое 90-летие, а с 2015 г. называется кафедрой органической и биомолекулярной химии. Сегодня в составе преподавателей кафедры работают 2 академика РАН, 1 член-корреспондент РАН, 1 профессор РАН, 4 профессора и 10 доцентов.
Кафедра традиционно сосредоточена на исследованиях в области химии гетероциклических соединений. Работы носят как фундаментальный характер, связанный с изучением реакционной способности, структуры и свойств гетероциклов, так и направлены на изучение прикладных свойств гетероциклов, например, в области биомолекулярной химии — путем выявления закономерностей структура–биологическая активность, а также в области химии материалов — в этом направлении исследования нацелены на изучение комплексообразующих и сенсорных свойств полученных продуктов в плане создания новых лекарственных препаратов, а также их люминесцентных характеристик. Наряду с этими направлениями развитие получают исследования в области механохимии и фотохимии, а также другие методы зеленой химии.
Среди зеленых методов приоритетными являются процессы прямой С–Н функционализации ( реакций) гетероциклов, инициированные в работах академика О.Н. Чупахина и получившие дальнейшее развитие в исследованиях академика В.Н. Чарушина, члена-корреспондента В.Л. Русинова, профессоров М.В. Вараксина, Г.В. Зырянова, И.А. Утеповой и других сотрудников. В последнее время такие работы получили очевидную практическую направленность.
Так, впервые была осуществлена модификация графена фрагментами аза-гетероциклических лигандов путем двухстадийного подхода, основанного на восстановительном алкинилировании коммерчески доступного 3-х слойного графена 1 (few-layer graphene, FLG) (триметилсилил)этиниллитием. Полученный графенид 2 далее взаимодействовал с фенантридином или [1, 2, 5]оксадиазоло[3,4-b]пиразином с образованием азинил-модифицированных графенов 3а,b (схема 13.1). Следует также отметить, что при реакции графенида 2 с водой был выделен этинил-замещенный графен 4, а лиганд 3b (L2) взаимодействовал с Eu(OAc)3 c формированием комплекса [EunL2(OAc)2n] 5, структура которого была подтверждена методом РФЭС [681].
Предложен подход к прямой C(sp2)–H-функционализации фенантридина остатком 1H-бензотриазола, осуществляемый в присутствии реактива Selectfluor® и приводящий к формированию новой C(sp2)–N-связи (схема 13.2) с одностадийным образованием 𝛼-(1H-бензотриазол-1-ил)фенантридина 6, который является ценным синтоном для дальнейших химических превращений [682].
Разработан метод прямой C–H-функционализации различных 8-азапуринов 7 C-нуклеофилами (cхема 13.3) с образованием 4-гетероарилзамещенных 2-арил-2H-бензо[4, 5]имидазо[1,2-а][1, 2, 3]триазоло[4,5-e]пиримидиновых флуорофоров 8, обладающих состоянием планаризованного внутримолекулярного переноса заряда (PLICT). Все флуорофоры 8 показали высокие квантовые выходы люминесценции (до 60%) и большие значения Стоксова сдвига — до 7459 см–1. Кроме того, были найдены соединения 8, проявляющие положительный сольватохромный эффект, а также выраженные AIE-свойства (AIE — эмиссия, вызванная агрегацией). Такое поведение было дополнительно подтверждено посредством измерений времени жизни флуоресценции с временным разрешением и исследований по оптимизации геометрии с помощью DFT. Одно из соединений 8 продемонстрировало хорошо выраженный ацидохромизм по отношению к трифторуксусной кислоте через видимое изменение цвета с желто-зеленого на оранжевый, который возвращался к исходному желто-зеленому раствору после добавления триэтиламина (ТЭА), а также тушение фотолюминесценции с константой Штерна–Фольмера 38 M–1 [683].
Наряду с прямой С–Н функционализацией ароматических азагетероциклов исследования ведутся и в рядах неароматических систем. Так, был разработан подход прямого кросс-дегидрогенативного C–H/N–H сочетания в ряду циклических 2H-имидазол-1-оксидов 9 в присутствии системы реагентов I2–трет-бутилгидропероксид (ТБГП) с образованием гетероциклических производных 10 с выходами до 97% (cхема 13.4). Радикальная природа процесса была подтверждена в ЭПР-экспериментах. На первом этапе имеет место N-йодирование циклического амина с гомолизом связи N–I полученного интермедиата и последующим аминированием нитронного фрагмента через образующийся азот-центрированный радикал [684].
Разработан удобный подход к синтезу ранее неизвестных фосфониевых солей 11, содержащих 2H-имидазольный фрагмент. Подход основан на прямой нуклеофильной C(sp2)–H функционализации 2Н-имидазол-1-оксидов 9, при этом в качестве нуклеофила выступает трифенилфосфин, а N-оксидный фрагмент гетероциклического субстрата играет роль вспомогательной группы, элиминирование которой в ходе реакции способствует отщеплению водорода от связи С–Н (схема 13.4) [685].
Синтетическая стратегия, основанная на реакциях 2H-имидазол-1-оксидов 9 с тиофенолами в присутствии ацетилхлорида была успешно применена в качестве удобного инструмента для получения ряда новых азагетероциклических молекул, включая водорастворимые гидрохлоридные формы. Оптимизированные условия реакции нуклеофильного замещения водорода в неароматических азагетероциклических субстратах по схеме “присоединение —элиминирование” (SNH AE) позволили получить серию арилтиолированных 2H-имидазолов 12 с выходами до 90% (схема 13.4). Разработанная синтетическая схема открывает путь к получению азагетероциклических молекулярных систем, представляющих интерес в области медицинской химии и материаловедения [686].
Стратегия нуклеофильного замещения водорода (SNH) была впервые применена для некатализируемых металлами реакций C–H/C–H сочетания 4H-имидазол-3-оксидов 13 с индолами. В результате получен ряд новых бифункциональных азагетероциклических производных 14 с выходами до 95% (cхема 13.5) Разработанные соединения могут представлять особый интерес для медицинской химии, особенно при целенаправленном создании низкомолекулярных кандидатов для лечения нейродегенеративных заболеваний. Для этого были проведены in silico эксперименты по молекулярному докингу для оценки возможности связывания синтезированных малых азагетероциклических молекул 14 с выбранными биомишенями (BACE1, BChE, CK1δ, AChE), ассоциированными с патогенезом нейродегенеративных заболеваний [687].
Отдельно следует отметить целое направление работ, связанных с реакциями ипсо-замещения цианогруппы в ряду 5-циано-1,2,4-триазинов 15, полученных посредством реакций из 1,2,4-триазин-4-оксидов. Так, под действием N-нуклеофилов в отсутствии растворителя имеет место образование продуктов ипсо-аминирования — 5-амино-1,2,4-триазинов 16, которые могут в дальнейшем быть трансформированы в α-аминопиридины 17 посредством реакций аза-Дильса–Альдера с 2,5-норборнадиеном (схема 13.6) [688–691]. Интересно, что в реакциях с 2-аминооксазолами не происходило образование продуктов ипсо-аминирования, а имело место исключительное протекание реакции аза-Дильса–Альдера [692–695], что является удобным способом получения пиридинов 18, 19, а также 2,2′-бипиридинов 20 как аналогов природных антибиотиков [696], а также перспективных флуорофоров [697].
13.1. Фотоактивированные реакции
С точки зрения атомной экономии и зеленой химии фотоактивированные процессы являются наиболее перспективными для синтетической органической химии и химии материалов. Такие работы развиваются и на кафедре органической и биомолекулярной химии.
Так, были осуществлены реакции окислительного фотокатализируемого C−H/C−H сочетания азинов с дипиррилметанами 21 в аэробных при фотооблучении (λ = 425 нм) в присутствии фотокатализатора TiO2 и кислорода воздуха (cхема 13.7). В зависимости от природы субстратов и условий реакции дипиррилметаны 21 взаимодействовали с азинами с образованием моно- или дизамещенных продуктов 22 [698].
Впервые было осуществлено промотируемое видимым светом (синий LED, 34 Вт) региоселективное О-ацилирование C(sp3)−H положения малого азагетероцикла, арил-2H-азирина, под действием (диацетокси)иодбензола в присутствии фотоокислительно-восстановительного катализатора Бенгальский розовый (Rose Bengal). Удобство реакции заключается в том, что она протекает в аэробных условиях при комнатной температуре. Превращение протекает по радикальному пути, что было доказано в экспериментах с ловушками свободных радикалов, в также в темноте. Протокол также применим при синтезе в граммовом масштабе [699] (cхема 13.8).
Был разработан эффективный протокол для синтеза 2-фенацил-замещенных тетрагидрофуранов либо α-оксиалкилкетонов 27 на основе простых эфиров путем взаимодействия синтонов 26 с винилазидами в присутствии Бенгальского розового, радикального инициатора — трет-бутилгидропероксида, в условиях фото-облучения. Процесс инициируется радикальным присоединением к винилазиду, что было доказано контрольными экспериментами, это далее запускает механизм каскадной фрагментации, обусловленный потерей молекулы азота, а стабилизированный радикал в итоге дает α-оксиалкилкетоны (cхема 13.9) [700].
В подобных условиях протекало взаимодействие 1,4-хинонов с винилазидом, приводящее к образованию 1-окса-4-азаспирооксазолинов с выходами до 92%. Реакция протекает через спироаннелирование винилазида по двойной связи C=O вместо двойной связи C=C с образованием целевых продуктов 28 (cхема 13.10) [701].
13.2. Фотоактивные азагетероциклы: люминофоры и хемосенсоры
Разработан удобный синтетический подход, позволяющий получить перспективные флуорофоры на основе N(2)-фторарил-1,2,3-триазола 29, рассматриваемые в качестве ценных функциональных блоков при создании органических материалов, излучающих синий свет. Стратегия включает пять синтетических стадий с выходами 60–99% на каждой. Установлено, что полученные фотоактивные 2-фторарил-5-арил-4-метил-1,2,3-триазолы 29 обладают сине-фиолетовым излучением в диапазоне 330–440 нм и абсолютным квантовым выходом > 99% в растворителях различной полярности. С помощью DFT и CIS расчетов также изучены особенности механизма переноса электрона в возбужденных состояниях разработанных N(2)-фторарил-1,2,3-триазолах 29 по сравнению с аналогами на основе 1,2,3-триазол-1-оксида [702] (cхема 13.11).
Выполнены исследования в области пуш-пульных флуорофоров ряда хиназолина и хиноксалина. Получена серия хромофоров типа Д-π-А на основе 2-арил/тиенил-4-(морфолин-4-ил)хиназолинов, 2-арил/тиенил-4-цианохиназолинов 30 или хиназолин-4(3Н)-онов 31. Проведен анализ влияния природы донорного и акцепторного фрагментов, а также природы и длины π-спейсера, на фотофизические свойства. Выявлены галохромные свойства 4-(морфолин-4-ил)хиназолинов 30 при добавлении трифторуксусной кислоты к раствору хромофора в толуоле [703, 704]. Синтезированы производные 3-арил-[1, 2, 4]триазоло[4,3-c]хиназолина 32, содержащие амино-[1,1′]-бифенильный фрагмент в положении 5 гетероциклического ядра (схема 13.12), проанализированы фотофизические свойства полученных флуорофоров [705].
Разработаны 2,4-диарил-замещенные хиназолины типа Д-π-А 33, а также их 2-азинильные аналоги 34. Изучено влияние природы донорного фрагмента и заместителя в положении 2 хиназолинового ядра на положение максимумов абсорбции и эмиссии, а также значение квантового выхода. Отмечены спектральные изменения при добавлении катионов металлов к растворам некоторых хиназолинов 33, 34, сольватохромные и нелинейно оптические свойства [706, 707]. Построены полициклические соединения 35 в результате Rh(III)-катализируемого аннелирования дифенилацетилена к 2-(тиофен-2-ил)хиназолин-4(3Н)-ону. Показано, что в случае 2-фенилхиназолин-4(3Н)-она те же самые условия способствуют формированию производного бензонафтиридина 36 в результате алкоголиза амидной группы и двойного аннелирования фенилацетилена (cхема 13.13). Производные 35 проявили агрегационно-индуцированную эмиссию в смеси МеСN/вода, для производного бензонафтиридина 36 отмечено усиление интенсивности люминесценции в присутствии катионов Fe3+ [708].
Синтезированы V-образные хромофоры типа Д-π-А-π-Д 37–39 на основе 2,3-бис(арил-тиофен-2-ил)хиноксалина и его дибензопроизводного (cхема 13.14). Продемонстрирована хорошая чувствительность хромофоров данного класса к различным по природе нитросоединениям [709–711].
Получен ряд 2-(2-гидроксифенил)хиназолин-4(3Н)-онов 40, изучено влияние природы и расположения заместителя R на фотоиндуцированный внутримолекулярный перенос протона, а также усиление эмиссии в результате агрегации. Выполнен синтез BF2 комплексов 41, 42 на основе лигандов 40 и 4-арилхиназолиновых аналогов (cхема 13.15), для соединений 41, 42 отмечена интенсивная эмиссия в растворе и порошке, большие значения сдвига Стокса [712, 713].
Разработан высокоэффективный подход к новому классу полициклических 8-азапуринов — бензо[4, 5]имидазо[1,2-а][1, 2, 3]триазоло[4,5-е]пиримидинов 44 посредством конденсации аминобензимидазолов с 3-оксо-2-фенилазопропионитрилом с образованием 3-(арилазо)-бензо[4, 5]имидазо[1,2-а]пиримидин-4-аминов 43, которые подвергаются окислительной циклизации под каталитическим действием ацетата меди(II), в результате чего получаются целевые 8-азапурины 44, демонстрирующие хорошие квантовые выходы (до 60%) с максимумами поглощения при 379–399 нм и эмиссии при 471–505 нм (схема 13.16) [714].
С использованием комбинации реакций Поварова (аза-Дильса-Альдера) и окисления, исходя из бензимидазола-2-арилиминов, синтезирована серия новых люминофоров — 4-(арил)-бензо[4, 5]имидазо[1,2-а]пиримидин-3-карбонитрилов 45, для полученных соединений изучены фотофизические свойства. Флуорофоры 45 демонстрировали абсорбцию с λмах до 421 нм и эмиссию с λмах до 567 нм. Во всех случаях регистрировалась положительная эмиссионная сольватохромия со Стоксовым сдвигом от 120 до 180 нм. Для некоторых флуорофоров 45 были обнаружены AIE- и механолюминесцентные свойства, а также флуоресценция в твердой фазе и в пленках (схема 13.17) [715].
C использованием комбинации -процессов/реакций аза-Дильса–Альдера или процессов Pd-катализируемого кросс-сочетания в комбинации с реакцией аза-Дильса–Альдера синтезированы ряды 2,2′-бипиридинов 46, 47 как перспективных пуш-пульных/AIE-флуорофоров (схема 13.18) [716–721].
13.3. Механохимический синтез
Механохимические процессы также представляются достаточно перспективными для развития зеленых методов. Основное достоинство таких процессов в том, что они протекают при комнатной температуре в отсутствие растворителя, при этом метод применим для широкого круга реакций. Так, была продемонстрирована применимость механосинтеза для осуществления реакций 1,3-диполярного азид-алкинового циклоприсоединения (ААС) в отсутствие катализатора на основе комплексов меди для получения 1,4-дизамещенных-1,2,3-триазолов 48, 49, включая противоэпилептический препарат руфинамид 50а и его аналоги, например Cl-производное руфинамида 50b [722], а также для конструирования ПЭГ-связанных бис-1,2,3-триазол-содержащих флуоресцентных хемосенсоров типа бола 51, которые показали свою эффективность для обнаружения нитросодержащих взрывчатых веществ, в том числе труднообнаруживаемого пенатэритрит тетранитрата (ТЭН), со значениями констант тушения до 104 М–1. Следует отметить, что хемосенсоры 51 также могут быть получены и путем реакции азид-алкинового циклоприсоединения в растворе в присутствии солей меди (I) [723] (cхема 13.19).
Продемонстрирована эффективность механосинтеза для построения гетероциклов путем двухкомпонентных реакций, что было показано на примере получения имидизолинов путем реакции азиридинов с нитрилами в присутствии HClO4 [724], синтеза кумаринов или аннелированных пирано[2,3-f] и [3,2-f]индолов путем реакции Пехмана между фенолами с β-кетоэфирами в условиях кислого катализа [725], а также мультикомпонентных методов построения пирролов путем реакции между индолами, фенилглиоксалем, анилинами и диметиловым эфиром ацетилендикарбоновой кислоты в условиях катализа FeCl3 [726]. Наконец, с использованием процессов механоситнтеза был эффективно осуществлен синтез азометинов, а также азометин-содержащих полимочевин как хемосенсоров для визуального обнаружения OH– и F– [727] или CN– анионов [728], а также в качестве синтонов для получения α-замещеннных азолиламинов [729].
13.4. Синтез конденсированных азолоазинов как лекарственных кандидатов
Особое внимание уральскими химиками уделяется важной в фармацевтическом отношении группе полиазотистых бициклических соединений с мостиковым атомом азота − азоло[1,5-a]пиримидинам, азоло[5,1-с]-1,2,4-триазинам или соединениям, содержащим эти фрагменты. Поскольку кольцевая система этих гетероциклов изоэлектронна системе пуринов, такие соединения можно рассматривать в качестве возможных заместителей пуринововых оснований. К настоящему времени рассматриваемые структуры представляют собой новые семейства противовирусных [730], антибактериальных, противоопухолевых, антикоагуляционных соединений [731], а также противодиабетических [732, 733] и защищающих от таких заболеваний, как Альцгеймер, Паркинсон и Хантингтон [734]. Отечественный препарат Триазавирин (Риамиловир) – натриевая соль 2-метилтио-6-нитро-1,2,4-триазоло[5,1-с]-1,2,4-триазинона, дигидрат, активно используется для лечения ОРВИ, гриппа и короновирусной инфекции [735].
В последние годы нами были идентифицированы производные рассматриваемых азолоазинов, которые продемонстрировали значительный потенциал в таких терапевтических областях, как химиотерапия рака, диабета, вирусные и бактериальные заболевания, и которые позволяют оценить возможности рассматриваемых гетероциклических систем в поиске биологически активных соединений. Основным методом получения азолопиримидиновой системы является циклоконденсация аминоазолов с различными биэлектрофильными синтетическими эквивалентами (схема 13.20). Среди полученных таким способом соединений были обнаружены производные (например, 2,6-диэтоксикарбонил-1,2,4-триазоло[1,5-a]пиримидин-7-он 53a), проявляющие выраженное антикоагулянтное действие [736].
Некоторые из полученных таким способом нитропроизводных, например метилсульфанильный 53d и фурильный 53c гетероциклы, продемонстрировали значимое антигликирующее действие, что может быть использовано для профилактики поздних осложнений сахарного диабета второго типа [733]. Нитросодержащие азолопиримидины обладают противовирусным действием и проявляют мощный противосептический эффект [730].
Рассматриваемые азоло[1,5-а]пиримидины — удобные объекты для различных модификаций (схема 13.21). Реакция аминотетразола 10 с ацетоуксусным эфиром и последующее нитрование полученного гетероцикла привели к продукту 11. Разработанная нами система для хлордезоксигенирования “хлористый фосфорил-пиридин-ацетонитрил” оказалась эффективна, и в данном случае 5-метил-6-нитро-7-хлортетразолопиримидин удается выделить с выходом 75–85%. Последующее взаимодействие с различными алкиламинами позволило синтезировать серию производных 12, среди которых обнаружены производные, обладающие мощным противовоспалительным действием. Эксперименты на моделях цитокинового шторма in vivo продемонстрировали способность соединения 12а снижать тромбообразование и воспаление в тканях легких, что может быть использовано при терапии осложнений COVID-19 [737].
Поиск методов синтеза соединений азолоазинового ряда с потенциальной противоопухолевой активностью привел к изучению реакционной способности 6-нитрилсодержащих производных 21. Было показано, что нитрильную группу можно эффективно конвертировать в тетразольный цикл действием азида натрия при нагревании в ДМФА. Таким способом была синтезирована серия 6-(тетразол-5-ил)-7-аминоазоло[1,5-a]пиримидинов 22 среди которых были обнаружены мощные ингибиторы казеинкиназы 2 с концентрацией полумаксимального ингибирования в низком микромолярном диапазоне [738]. Так, соединения 22 (Y = H, CN, C6H5) могут представлять интерес в качестве потенциальных противоопухолевых агентов, поскольку показана зависимость скорости роста некоторых типов злокачественных опухолей от уровня экспрессии казеинкиназы 2.
Другим подходом к синтезу 4,7-дигидроазоло[1,5-а]пиримидинов стало использование трехкомпонентной конденсации различных аминоазолов 51, морфолинонитроэтиленов и (гетеро)ароматических альдегидов (схема 13.22). Использование борфторида эфирата в качестве катализатора привело к синтезу серии производных 59. Среди таких 6-нитро-7-(гет)арилазолопиримидинов 59 выявлены соединения с высоким цитотоксическим эффектом в отношении опухолевых клеток [739].
Предложен также высокоэффективный подход PASE к новому классу полициклических производных пурина. Стратегия включает последовательное восстановление металлами в кислых средах, аутоароматизацию и гетероциклизацию нитробензимидазопиримидинов 60, полученных трехкомпонентной конденсацией (схема 13.23). Новые производные бенз[4, 5]имидазо[1,2-а]пуринов 61 синтезированы с хорошими выходами, и предложенная структура подтверждена данными РСА. Полученные конвергентные бензимидазопурины объединяют два актуальных каркаса медицинской химии — бензимидазол и пурин [740].
Схема достройки азинового цикла к азольному активно используется и при синтезе биологически активных азоло[5,1-с]-1,2,4-триазинов 63 и включает взаимодействие диазоазолов 62 с эфирами малоновой, циануксусной или нитроуксусной кислот [730, 741] (схема 13.24). Этот способ лежит в основе синтеза противовирусного препарата Триазавирин и его аналогов [735].
Исследования последних лет показали, что синтезированные азоло[5,1-с]-1,2,4-триазины обладают антигликирующим действием: ингибируют реакцию неферментативного гликирования белков (реакцию Майяра) – основную причину негативных последствий сахарного диабета [732]. Это позволило разработать на основе натриевой соли диэтилового эфира 4-оксо-1,4-дигидропиразоло[5,1-c]-1,2,4-триазин-3,8-дикарбоновой кислоты, моногидрата, эффективный антигликирующий препарат (АВ-19) [742–745], подготовленный на настоящий момент для клинических испытаний.
Для исследования метаболизма азагетероциклов наиболее перспективным является использование изотопно-меченных атомов. С этой целю синтезированы селективно содержащие изотопы 2Н, 13C и 15N молекулы Триазавирина 64 и АВ-19 65 (схема 13.25) [746, 747].
Кроме того, при введении нескольких изотопов, например 13С и 15N, появление констант спин-спинового взаимодействия 1H–15N и 13С–15N для 15N обогащенных образцов значительно расширяет возможности спектроскопии ЯМР в исследованиях особенностей строения и химических трансформаций азинов, азолов, азолоазинов и других азагетероциклов [748]. Показано, что введение нескольких меченых атомов 15N одновременно в азольный и азиновый фрагменты позволяет исследовать азидо-тетразольное равновесие методом 1D 15N ЯМР. На примере тетразоло[1,5-b][1, 2, 4]триазина 68***T (схема 13.26) и тетразоло[5,1-b]хиназолина продемонстрированы возможности этого подхода [749]. Так, наблюдение констант спин-спинового взаимодействия (КССВ) 15N–15N и анализ химических сдвигов меченых атомов азота позволили однозначно подтверждать строение тетразольной формы даже в случаях образования двух циклических изомеров. Кроме того, эти характеристики были использованы для фиксирования азидоформ в растворе. Важно отметить, что такой подход использовался впервые для оценки азидо-тетразольного равновесия.
Недавно была продемонстрирована возможность использования изотопов 13C в исследованиях реакции адамантилирования 1,2,4-триазоло[1,5-a]пиримидин-7-онов в среде трифторуксусной кислоты и перфторвалерьяновой кислоты [750]. Введение углерода-13 в азольный цикл позволило зафиксировать перегруппировку 1,2,4-триазоло[1,5-a]пиримидинов в 1,2,4-триазоло[4,3-a]пиримидины, которая сопровождала процесс N-адамантилирования. При этом основными диагностическими признаками образования структур являлись дальние КССВ 13С–13C (2JCC и 3JCC).
Второй вариант построения азолоазновой структуры — достройка азольного фрагмента — использован в синтезе 1,2,4-триазоло[4,3-а]азинов 70 с использованием катализа соединениями гипервалентного иода. Подход основан на внутримолекулярной циклизации 2-азинилгидразонов 69 в присутствии (диацетокси)иодбензола (PIDA) или бис(трифторацетокси)иодбензола (PIFA) (схема 13.27). В результате были получены гетарил- и металлоценил-содержащие азолоазины 70 с выходами 40–93%. Для 1,2,4-триазоло[4,3-а]азинов исследована способность активировать HSF1. Показано, что полученные соединения повышают степень активации HSF1. Показано, что 1,2,4-триазины можно применять для индукции экспрессии белка теплового шока Hsp70 и уменьшения степени образования агрегатов мутантного HTT, что может быть использовано в качестве защитного фактора при заболеваниях головного мозга [751].
Было установлено, что производные пирролил- и индолилазинов проявляют Hsp70-индуцирующие свойства. Синтезированные соединения были апробированы в in vitro модели болезни Альцгеймера и модели вторичных повреждений после черепно-мозговой травмы. В обоих случаях пирролил- и индолилазины продемонстрировали значимый терапевтический эффект, повышая выживаемость нейрональных клеток. На культуре нейронов человека была оценена полулетальная концентрация отобранных соединений, полученные результаты позволяют говорить о крайне низком уровне их цитотоксичности [752–754].
В плане поиска нейродегенеративных соединений синтезированы новые производные такрина как потенциальные кандидаты для лечения болезни Альцгеймера [755, 756]. Исследования in silico докинга синтезированных соединений как ингибиторов ацетилхолинэстеразы в отношении комплексов белков CYP1A2 и CYP3A4 и показали перспективность поиска лекарственных кандидатов в данных рядах.
Путем конденсации моно- и дигидразинилазинов с (гетероарил)карбальдегидами с последующей окислительной циклизацией моно- и бис-азинилгидразонов в присутствии гипервалентного йода(III) были получены моно- и бис-1,2,4-триазолоазины, которые показали цитотоксическую активность в отношении линий раковых клеток MCF7, DLD-1 и A549, а также избирательность токсического действия на фибробласты дермы человека (DF-2) [757].
14. КАФЕДРА ТЕХНОЛОГИИ ОРГАНИЧЕСКОГО СИНТЕЗА УРАЛЬСКОГО ФЕДЕРАЛЬНОГО УНИВЕРСИТЕТА. ФУНДАМЕНТАЛЬНЫЕ И ПРИКЛАДНЫЕ АСПЕКТЫ ХИМИИ 1,2,3-ТРИАЗОЛОВ
1,2,3-Триазолы играют важную роль в химии гетероциклических соединений начиная с их открытия Пехманом в 1888 г. Их популярность значительно выросла после разработки Мелдалом и Шарплессом в 2002 г. эффективных методов синтеза 1,4- и 1,5-дизамещенных 1,2,3-триазолов. На основе CuAAC и RuAAC реакций была создана мощная методология синтеза разнообразных производных 1,2,3-триазола и, как следствие, выявления среди них веществ с практически полезными свойствами.
Несмотря на огромные достижения CuAAC и RuAAC реакций в синтезе производных 1,2,3-триазола, остались недоступными триазолины и триазолы с экзоциклическими двойными связями. Существенным ограничением этой стратегии является невозможность реализации прямого синтеза N2-замещенных производных этого гетероцикла. В большей степени это касается 2-арил-1,2,3-триазолов, интерес к которым вызван фотофизическими и биологическими свойствами, которые создают возможность их использования в двух важнейших направлениях: в качестве биологически активных соединений [758] и в химии материалов [759]. Поэтому на кафедре ТОС УрФУ проводится поиск и разработка новых методов синтеза 1,2,3-триазолов на основе взаимодействия азидов с енаминами, 2-цианотиоацетамидов и амидинов с электрофильными азидами, а также посредством окисления гидразонов.
14.1. Реакции енаминов с азидами — путь к 1,2,3-триазолам
В опубликованном нами обзоре в 2018 г. [760] было продемонстрировано, что енамины проявляют исключительно высокую реакционную способность в реакциях 1,3-диполярного циклоприсоединения с азидами по сравнению с другими диполярофилами. Показано, что первоначально образующиеся продукты реакции, 1,2,3-триазолины, как правило, являются нестабильными и склонны к интересным реакциям и различным превращениям цикла [760]. Эти данные инициировали продолжение исследований реакций енаминов с азидами, проведенных нами ранее.
Мы обнаружили, что взаимодействие азолиленаминонов 1 с сульфонилазидами приводит к образованию трудноразделимой смеси двух пар соединений, образующихся из триазолинов 2 в результате реализации двух конкурирующих реакций: 4-азолоил-NH-1,2,3-триазолов 3 с сульфаниламидами 4 (путь А) и азолилдиазокетонов 5 с N-сульфаниламидинами 6 (путь В) [761] (схема 14.1).
Было показано, что электронодонорная метильная или метоксигруппа в пара-положении арилсульфонилазидов способствует получению NH-1,2,3-триазолов 3. С другой стороны, использование высокоэлектрофильного 4-нитрофенилсульфонилазида способствует образованию смеси диазокетонов 5 и сульфаниламидинов 6. Мы обнаружили, что направление каждой реакции не только контролируется природой исходных енаминонов 1 и сульфонилазидов, но и зависит от используемого растворителя. Проведение реакции в пиридине способствует образованию NH-триазолов 3.
Разработанная нами оптимизированная методика синтеза NH-триазолов 3 из енаминонов 1 заключается в использовании тозилазида в качестве сульфонилазида и пиридина в качестве растворителя при температуре 25−52°C с последующей отмывкой водорастворимых сульфаниламидов 4 водой [761] (схема 14.2).
Линейно сочлененные полиазолы, содержащие гетероциклы, являются привлекательными объектами для медицинской химии [762], органического синтеза [763, 764], химии материалов [765] и органической электроники [766]. В связи с этим синтез бис-1,2,3-триазолов, сочлененных как простой связью, так и посредством карбонильной группы, является актуальной задачей. Наиболее популярный метод синтеза 1,2,3-триазолов реакциями CuAAC имеет ограниченное применение для синтеза азолилтриазолов в связи с малой доступностью азолилацетиленов. Напротив, получение намеченных соединений в реакции азидов со значительно более доступными енаминами является более перспективным [760].
С целью получения енаминов 8 мы обработали 4-ацетил-1,2,3-триазолы 7 морфолином и пирролидином в различных условиях (в присутствии CaO или p-TsOH, без растворителя или в толуоле с его отгонкой) в течение нескольких часов [767]. Однако во всех этих опытах исходные кетоны 7 оставались неизменными. Мы обнаружили, что многочасовое кипячение кетонов 7 и большого избытка арилазидов в различных комбинациях условий (в морфолине или пирролидине, без добавок или с добавлением CaO или TiCl4) приводит к образованию бис-1,2,3-триазолов 9 (схема 14.3).
Возможность использования енаминонов для синтеза бисгетероциклических систем, в которых азольный фрагмент и 1,2,3-триазольный цикл связаны через карбонильную группу, была продемонстрирована в реакции енаминонов 10 с арилазидами (схема 14.4). 4-(1,2,3-Триазол-4-карбонил)азолы 11 получены с выходами от умеренных до хороших [767].
2-Нитро- и 5-нитроимидазолы проявляют как высокую биологическую активность, так и люминесцентные свойства и применяются в диагностике и лечении опасных заболеваний [768]. Несмотря на прогресс в разработке новых и простых методов синтеза имидазолов, методы получения имидазолов, линейно связанных через 1,2,3-триазолы с другими азольными кольцами, разработаны слабо. Мы предложили [769] экологичный и эффективный метод получения тригетероциклических соединений, основанный на реакции 1,3-диполярного циклоприсоединения β-азолиленаминов 12 к 5-азидоимидазолам 13 и последующей ароматизации триазолинов 14 в 1,2,3-триазолы 15 путем элиминирования молекулы амина (схема 14.5).
Данные экспериментальных и теоретических исследований [767] позволили предложить механизм этого превращения и предположить, что процесс протекает по типу E1cB.
Разработан эффективный, катализируемый основаниями метод синтеза бисгетероциклов, соединенных амидиновым линкером, включающий, помимо вновь образующегося 1,2,3-триазольного цикла, дополнительный гетероцикл: пиримидиндион, 4-нитроимидазол, изоксазол, 1,2,4-триазол, 2-оксохромон, тиазол [770]. Процесс включает циклоприсоединение 3,3-диаминоакрилонитрилов 16 к гетероциклическим азидам [771] с последующей перегруппировкой интермедиатов 17 по типу Корнфорта в конечные продукты 18 (схема 14.6). Разработанный метод имеет широкую область применения и может быть использован для получения различных N-гетероарил-1,2,3-триазол-4-карбимидамидов 18, содержащих в положении N1 алкильные, аллильные, пропаргильные, бензильные, циклоалкильные и индолильные заместители.
14.2. Трансформации цикла 1,2,3-триазолов и 1,2,3-триазолинов
Легкодоступные 4,5-циклоалкено-1-сульфо-нил-1,2,3-триазолы 19 устойчивы к β-сдвигу водорода и могут быть источниками Rh(II) иминокарбеноидов в Rh(II) катализируемой реакции с нитрилами, что позволило получить 1-сульфонилциклогексено, циклогептено-, дигидропирано-, 5-фенилтетрагидробензо- и 4,5-дигидронафто[d]имидазолы 20 с хорошими выходами [772] (схема 14.7).
1-Сульфонил-1,2,3-триазолы 21 могут быть легко превращены в NH-имидазолы 22 в Rh(II) катализируемой реакции с бензонитрилом и последующим гидролизом промежуточных 1-сульфонилимидазолов [772] (схема 14.7).
Трансформация кольца гетероциклических соединений представляет собой интересный подход к различным типам органических соединений [773]. Эти процессы часто протекают с помощью необычных механизмов, расширяя наши знания о реакционной способности гетероциклов. Нами обнаружено, что образующиеся из енаминов 23 и гетероциклических азидов 1,2,3-триазолины 24 при кратковременном кипячении или при комнатной температуре в метаноле претерпевают элиминирование азота, сопровождающееся раскрытием циклопентанового цикла с образованием N-гетероариламидинов валериановой кислоты 25 [773] (схема 14.8).
Триазолины, содержащие в положении 1 1,3,5-триазиновый цикл, при кипячении в метаноле не образуют амидинов валериановой кислоты. Однако, при растворении в уксусной кислоте 1,2,3-триазолин 26 претерпевает другой тип трансформации с образованием N-(1,3,5-триазин-2-ил)диаминоалкена 27с, строение которого подтверждено методом РСА [774] (схема 14.9).
Таким образом, наличие в положении 1 триазолинового цикла высокоэлектроноакцепторного гетероароматического радикала является определяющим фактором направления трансформации циклопентано[d][1, 2, 3]триазолинов 24 и 26 в амидины валериановой кислоты 25 и диаминоалкены 27 соответственно.
14.3. Синтез и фотофизические свойства моно- и бициклических 2-арил-1,2,3-триазолов
Синтез новых производных 2-арил-1,2,3-триазола был направлен на моделирование функциональных групп, а также на введение различных комбинаций функциональных групп и заместителей в гетероцикл и ароматический цикл для изучения теоретических аспектов фотофизических свойств и определения возможностей реализации оптических феноменов, настраивания пространственной структуры и электронных свойств.
Интерес к 2-арил-1,2,3-триазол-4-карбоновым кислотам связан с тем, что карбоксильная группа широко распространена в природных и биомолекулах и часто встречается в структуре синтетических биологически активных соединений. Производные триазолкарбоновых кислот 29 и 30 получены щелочным гидролизом 1,2,3-триазол-4-карбонитрилов 28 (cхема 14.10) [775].
Изучение фотофизических свойств кислот 29 и 30 продемонстрировало гипсохромное смещение максимумов поглощения (322–350 нм) и испускания (416–451 нм) и увеличение квантового выхода в 1.2–3.2 раза (Ф = 20.6–96.0%) для соединений, содержащих электронодонорные заместители (R1 = OMe). В бинарных смесях ДМСО-вода максимумы поглощения (10–22 нм) и эмиссии (1–14 нм) смещаются в коротковолновую область спектра. Однако если для кислот 29 наблюдается сохранение или увеличение интенсивности эмиссии, то для триазолов 30 происходит значительное уменьшение квантового выхода (в 3.5–16 раз). Таким образом, структура аминогруппы у атома C5 гетероцикла резко разделяет кислоты на две группы по чувствительности флуоресценции к добавлению воды. Различное агрегационное поведение кислот 29 и 30 можно объяснить морфологическими различиями в формирующихся наночастицах вследствие различных конформаций и моделей упаковки, которые в основном, по-видимому, определяются именно заместителем в аминогруппе. Регистрация спектров поглощения и эмиссии в различных буферных растворах позволила определить pKa = 7.65–8.08 для кислот 29 и 3.05–3.45 для кислот 30. Эти величины соответствует интервалам рН для эффективной оценки изменения кислотности биологических жидкостей.
Чтобы лучше понять природу внутри- и межмолекулярных взаимодействий и оценить их влияние на свойства 1,2,3-триазол-4-карбоновых кислот, было проведено обширное исследование для двух репрезентативных примеров ‒ кислот 29а,b и их натриевых солей 31а,b (схема 14.11). Для исследования использовались экспериментальные (спектральные данные) и теоретические (квантово-химические расчеты при использовании теории функционала плотности) методы [776–778]. Особенности оптических свойств 1,2,3-триазол-4-карбоновых кислот и их натриевых солей исследовались в различных растворителях (1,4-диоксан, ДМСО, МеОН) и в смесях этих растворителей с водой. Как показали полученные результаты, в полярных и неполярных растворителях флуоресценцию обеспечивают сильные нейтральные ассоциаты. Метанол (протонный растворитель) ослабляет ассоциацию молекул кислоты, приводя к образованию новых флуоресцентных частиц. В бинарных смесях с большим содержанием воды кислоты 29 проявляют оптические характеристики, аналогичные характеристикам их солей, поэтому можно предположить анионный характер. Все эти результаты показали, что фотофизические свойства кислот 29 заметно зависят от окружающей среды, и они могут быть использованы в качестве сенсоров для идентификации аналитов с лабильными протонами. Полученные спектральные и расчетные данные показали, что наряду с ожидаемым активным участием группы СООН атомы азота 1,2,3-триазольного цикла являются активными участниками межмолекулярных взаимодействий.
Молекулярный докинг выявил четыре сайта (ASP185, LYS44, LEU49 и VAL51), способных формировать H-связи между кислотой 29b и аминокислотами матриксной металлопротеиназы (MMP-2). Карбоксильная группа, по-видимому, играет важную роль благодаря образованию двух Н-связей с остатками LEU49 и VAL51 [778].
Амидная группа широко распространена в живых системах, входит в состав соединений, которые играют важную роль практически во всех биологических процессах. Карбоксамиды нейтральны, стабильны и обладают как акцепторными, так и донорными свойствами. Поэтому естественным продолжением поиска новых флуоресцентных сенсоров стал синтез новых карбоксамидов 2-арил-1,2,3-триазолов 32–35 (схема 14.12) щелочным гидролизом 1,2,3-триазол-4-карбонитрилов 28 или ацилированием эфиров аминокислот [779].
Сравнение фотофизических характеристик 2-арил-1,2,3-триазолов 32–35 и кислот 29, 30 показало, что свойства амидов, особенно содержащих вторичную аминогруппу (NHMe и NHC6H11-cyclo) при атоме C5 триазольного цикла, отличаются от свойств соответствующих кислот. Следует отметить усиление флуоресценции 2-арил-1,2,3-триазолов 32–35 при добавлении воды к их растворам в ДМСО и 1,4-диоксане, особенно для амидов 33 и 35 (в 1.3–12.8 раза). С помощью метода динамического рассеяния света было установлено, что соединения 32–35 образуют четко детектируемые наночастицы диаметром чуть более 100 нм. Cпектральные исследования позволили выявить способность 2-арил-1,2,3-триазолов 32–35 избирательно распознавать ионы Hg2+ в смеси ДМСО-вода (2/98). Таким образом, полученные флуорофоры являются новыми низкомолекулярными гетероциклическими сенсорами с высокой селективностью, низким пределом обнаружения и простотой использования. Полоски фильтровальной бумаги, пропитанные раствором 2-арил-1,2,3-триазолов, четко демонстрировали тушение голубой флуоресценции в присутствии иона Hg2+ (рис. 14.1).
Мы впервые использовали для получения комплекса с La3+ натриевую соль 1,2,3-триазол-4-карбоновой кислоты 31b (схема 14.13) [780].
Исследование структуры комплекса 36 с помощью квантово-механических расчетов (M06-2X/lanl2dz DFT) показало практически симметричное расположение лигандов вокруг иона металла. Способность улавливать свободные радикалы и предполагаемые механизмы антиоксидантного действия комплекса 36, кислоты 29b и натриевой соли 31b были исследованы в нескольких модельных системах. Статистически значимый эффект как ловушки OH• был обнаружен для всех исследованных веществ. Однако в отличие от кислоты 29b и натриевой соли 31b комплекс 36 продемонстрировал высокую активность в более низкой концентрации. Поведение комплекса в эксперименте in vitro выявило интересные возможности для его терапевтического применения как в качестве антиоксиданта, так и потенциального прооксиданта.
Серия мезоионных тиено[3,4-d]триазолий-олатов 38 была получена реакцией окислительной циклизации 3-амино-4-арилазотиофенов 37, катализируемой солями меди(II) [781] (схема 14.14). Большой набор возможных резонансных структур, значительное расстояние между центрами заряда и локализация отрицательного заряда на атоме кислорода обеспечивает стабилизацию и способствует образованию молекул 38.
Серия экспериментов in vitro с помощью конфокальной лазерной сканирующей микроскопии показала, что триазолий-олаты 38 успешно окрашивают эпителиальные клетки зеленой мартышки (Vero) и клетки MIA PaCa-2 (линия клеток рака поджелудочной железы человека) при облучении лазером с длиной волны 405, 488, и 561 нм. Следует отметить селективность накопления флуорофоров в эндоплазматическом ретикулуме (ЭПР).
Другим примером аннелирования триазольного цикла стала реакция окислительной циклизации 4,6-диамино-1-арил-5-арилазопиримидинтионов 39 (схема 14.15) [782].
Максимумы испускания для соединений 40 располагаются в области 408–532 нм. Характеристики флуоресценции сильно зависят от комбинации заместителей R1 и R4 и их положения в ароматических циклах А и B. Более высокие квантовые выходы флуоресценции наблюдаются для пиримидин-5-онов 40, содержащих электронодонорные заместители в пара-положении цикла А и электроноакцепторные группы в пара-положении цикла В (Ф = 23–39%).
Исследование пиримидин-5-онов 40 с помощью конфокального лазерного сканирующего микроскопа на клетках HeLa показало, что флуорофор легко проникает через клеточную мембрану, ярко флуоресцирует при возбуждении светом с λвозб = 405 нм и накапливается в лизосомах. Интенсивность эмиссии после возбуждения была достаточной для получения качественного изображения.
Серия производных 2-арил-1,2,3-триазоло[4,5-d]пиримидинов 42 была получена окислительной циклизацией 5-арилазо-6-аминопиримидинов 41 (схема 14.16) [783].
В спектрах поглощения триазоло[4,5-d]пиримидинов 42 длинноволновые максимумы поглощения расположены при 337–397 и 331–402 нм в CHCl3 и ДМСО соответственно. Максимумы испускания находятся в интервале 407–495 нм в CHCl3 и 414–545 нм в ДМСО. Квантовые выходы соединений 42 изменялись от 1 до 11%. Сдвиг Стокса был достаточно большим и значительно увеличивался в ДМСО (до ~8008 см–1), что свидетельствует о том, что для триазоло[4,5-d]пиримидинов 42 характерен эффект внутримолекулярного переноса заряда и положительная сольватохромия. В ходе спектральных исследований было обнаружено, что интенсивность флуоресценции триазоло[4,5-d]пиримидинов 42 постепенно увеличивается.
Усиление интенсивности флуоресценции под воздействием света наблюдалось и в инкубировании с клеточной культурой. При возбуждении лазером с длиной волны 405 нм интенсивность очень быстро увеличивалась и достигала максимума через 30 с. Важным результатом исследования является обнаружение избирательного накопления триазоло[4,5-d]пиримидинов 42 в клеточной мембране, а также в аппарате Гольджи и ЭПР.
В результате проведенных в 2018–2023 гг. исследований на кафедре ТОС выявлена эффективность новых методов синтеза и продемонстрированы интересные химические, биологические и оптико-физические свойства 1,2,3-триазолов. Показано, что 2-арил-1,2,3-триазолы являются новыми гетероциклическими флуорофорами, обладающими интенсивной голубой флуоресценцией. Их фотофизические свойства можно существенно перестраивать при модификации заместителей и функциональных групп, а также при аннелировании к гетероциклам. Синтезированные моно- и бициклические 2-арил-1,2,3-триазолы легко проникают в живые клетки и избирательно накапливаются в ЭПР, аппарате Гольджи, мембране или лизосомах. Все это позволяет сделать вывод о хороших перспективах использования 1,2,3-триазолов в органическом синтезе, экологии, биологии, и медицинских исследованиях.
Работа выполнена при поддержке РНФ (проект 23-13-00248).
15. ПРОБЛЕМЫ РЕГИО- И ХЕМОСЕЛЕКТИВНОСТИ В ХИМИИ КОМАНОВОЙ И ХЕЛИДОНОВОЙ КИСЛОТ В ИССЛЕДОВАНИЯХ ИНСТИТУТА ЕСТЕСТВЕННЫХ НАУК И МАТЕМАТИКИ УРАЛЬСКОГО ФЕДЕРАЛЬНОГО УНИВЕРСИТЕТА ИМ. ПЕРВОГО ПРЕЗИДЕНТА РОССИИ Б.Н. ЕЛЬЦИНА
В последнее время 4-пирон-2-карбоновые кислоты приобретают все большее значение благодаря их реакционной способности и использованию в химии лекарственных соединений [784, 785]. Родоначальниками данного класса кислородсодержащих гетероциклов служат комановая (4-пирон-2-карбоновая кислота) и хелидоновая кислоты (4-пирон-2,6-дикарбоновая кислота), которые являются и наиболее доступным соединениями в ряду 4-пиронов [786]. Комановая кислота обычно получается из хелидоновой, которая, в свою очередь, синтезируется на основе конденсации ацетона и диэтилоксалата [787]. Несмотря на то, что эти молекулы известны более 100 лет, многие их свойства, как и методы функционализации, остаются ограниченно изученными из-за высокой химической активности пиронового кольца. При этом реакции могут протекать как по самому кольцу, так и по боковому заместителю, который может не только активировать цикл, но и направлять атаку в определенное положение. Усложняет картину тот факт, что взаимодействие возможно по нескольким электрофильным центрам в пироновом кольце, но в то же время их близкая реакционная способность позволяет путем тщательного подбора условий реакции влиять на регионаправленность процесса.
Производные комановой и хелидоновой кислот являются скрытыми тетра- и пентакарбонильными соединениями, поэтому могут выступать в качестве удобной платформы для конструирования самых разнообразных азагетероциклических соединений. Реакции под действием нуклеофилов обычно являются ANRORC процессом, который включает раскрытие цикла и образование поликарбонильного интермедиата [788]. Циклизация последнего может влиять на процесс в целом и обычно зависит как от структуры нуклеофильного реагента, так и от условий проведения реакции [789].
Комановая и хелидоновая кислоты, как и их эфиры, являются хорошо изученными соединениями, однако их амиды и нитрилы были неизвестны до наших работ. Сложность проведения взаимодействия эфиров с аммиаком связана с тем, что реакция ведет к образованию пиридонов как более стабильных систем [788]. Нами было обнаружено, что обработка этилового эфира комановой кислоты (1) 20%-ным водным раствором аммиака позволяет получить селективно амид 2 с выходом 75% (схема 15.1) [790, 791]. Последующее перемешивание с трифторуксусным ангидридом и пиридином в ТГФ при охлаждении приводит к образованию 2-циано-4-пирона (3) с выходом 48%.
Синтез симметричного 2,6-дициано-4-пирона (6) может быть осуществлен с использованием такого же подхода (схема 15.2) [787]. Диэтиловый эфир хелидоновой кислоты (4) при обработке 20%-ным водным раствором аммиака при 0°C в течение 1 ч дает диамид хелидоновой кислоты (4) с выходом 87%. Дегидратация диамида происходит при перемешивании при комнатной температуре с трифторуксусным ангидридом в диоксане с образованием динитрила 6 с выходом 71%.
В отличие от 2,6-дициано-4-пирона (6), который с аминами дает сложную смесь продуктов, 2-циано-4-пирон (3) реагирует с первичными аминами в среде безводного метанола при –20°C в течение 1 недели (схема 15.3) [790]. Реакция протекает как первоначальная атака по положению С-6, что дает ацилцианид А, взаимодействующий со второй молекулой амина с образованием карбамоилированных енаминонов 7a–g. Eнаминоны 7 как полинуклеофильные субстраты способны подвергаться циклизации под действием ДМА-ДМФА (диметилацеталь диметилформамида) в среде сухого толуола в течение 24 ч при комнатной температуре с образованием 4-пиридон-3-карбоксамидов 8а–с с выходами 74–87%.
4-Пирон-2-карбоновые кислоты содержат фрагмент пировиноградной кислоты и поэтому способны вступать в реакцию Хинсберга. Мы обнаружили, что комановая кислота (8) и моноэтиловый эфир хелидоновой кислоты (10) могут взаимодействовать селективно с о-фенилендиамином с образованием функционализированных хиноксалинонов (схема 15.4) [792]. Трансформация кислоты 8 в кипящем этаноле протекает как атака по С-2 и С-6 положениям с образованием аминовинилкетона 9, который не подвергался дальнейшей циклизации при нагревании. Реакция моноэтилового эфира хелидоновой кислоты (10) с о-аминофенолом или о-фенилендиамином приводит к образованию симметричных структур 11, содержащих фрагмент бензоксазинона или хиноксалинона. Последнее соединение не было выделено в чистом виде, так как содержало примесь 3-(1H-1,5-бензодиазепин-2(3H)-илиденметил)хиноксалин-2(1H)-она в количестве 12%.
Взаимодействие производных комановой и хелидоновой кислот с гидразинами позволяет осуществить синтез замещенных пиразолов (схема 15.5) [790]. Реакция 2-циано-4-пиронов (3) и (6) с гидразином протекает с замещением цианогруппы через образование 2-пиразолилацетилцианида B и приводит к гидразидам пиразолилуксусных кислот 12 с выходами 29–63%. Как и в случае аминов, трансформация 2-циано-4-пиронов (3) реализуется как первоначальная атака по атому С-6 с образованием монозамещенного пиразола.
Реакции 2-циано-4-пиронов 3 и 6 с фенилгидразином протекали менее селективно (схема 15.6) [790], а их направление очень сильно зависело от условий, что позволяло проводить региоселективные синтезы. 2-Циано-4-пирон (3) взаимодействует с фенилгидразином с образованием смеси региоизомерных гидразидов пиразолилуксусных кислот 13 и 14. Проведение реакции в толуоле позволяет преимущественно получить продукт 14 как результат атаки по положениям С-4 и С-2, в то время как атаке по положениям С-2 и С-6, ведущей к продукту 13, благоприятствует использование метанола. В случае 2,6-дициано-4-пирона (6) при длительном выдерживании при –20°C был получен 3-циано-N-фенилпиразол 15 [787], а кипячение в бензоле приводит к продукту атаки по атому С-4 – фенилгидразону 16, который является устойчивым соединением и не подвергается дальнейшим трансформациям с фенилгидразином.
На примере данных превращений можно четко выделить закономерность, что апротонные растворители способствуют протеканию реакции по положению С-4, а протонные — атаке по положениям С-2 и С-6. При этом в боковой цепи продукта всегда оказывается наиболее активный заместитель, что может быть связано с образованием наиболее стабильных интермедиатов и легкостью раскрытия цикла.
Взаимодействие 4-пирон-2-карбоновых кислот с фенилгидразином нас привлекло как удобная стратегия для конструирования 3-пиразолилиндолов на основе реакции получения пиразолов по Кнорру и индолизации по Фишеру (схема 15.7) [793]. Взаимодействие этиловых эфиров 1 и 4 с гидрохлоридом фенилгидразина в этаноле протекает селективно по атомам С-2 и С-6 c образованием фенилпиразолов 17, содержащих в положении 5 остаток фенилгидразона пировиноградной кислоты. Важно отметить, что в случае данных эфиров реакцию не удалось провести в толуоле из-за их низкой реакционной способности. Последующее кипячение фенилгидразонов в уксусной кислоте с добавлением HCl позволяет осуществить синтез пиразолилиндолов 18 с выходами 43–58%.
Введение карбоксильной группы в структуру пирона приводит к увеличению реакционной способности. Особенно интересной в реакции с фенилгидразином оказалась комановая кислота (8), которая позволяла регионаправленно и one-pot получать 3-пиразолилиндолы из 4-пиронов (схема 15.8) [792]. При нагревании кислоты 8 с гидрохлоридом фенилгидразина в водной уксусной кислоте образуется 3-(N-фенилпиразол-5-ил)индол-3-карбоновая кислота 19. Проведение реакции c основным фенилгидразином в диоксане с последующей обработкой HCl приводит к 3-(N-фенилпиразол-3-ил)индол-2-карбоновой кислоте 20.
Особый интерес представляли селективные трансформации 2-циано-4-пиронов по боковой цианогруппе, так как в результате могут быть получены труднодоступные гетарил-замещенные 4-пироны и пиридины. 2-Циано-4-пироны являются скрытыми ацилцианидами, что обуславливает дополнительную активацию бокового заместителя. Было найдено, что взаимодействие пирона 3 с азидом натрия и гидроксиламином протекает исключительно по цианогруппе с образованием 2-тетразолил-4-пирона 21 и амидоксима 22 соответственно (схема 15.9) [791]. Селективность данных превращений может быть связана со специфичной координацией нуклеофила с нитрильным атомом азота. 2-Тетразолил-4-пирон (21) может быть подвергнут ацилированию уксусным ангидридом, в результате чего образуется 2-(1,3,4-оксадиазолил)-4-пирон 23. Взаимодействие 4-пиронов 21–23 с аммиаком приводит к образованию 4-гидроксипиридинов 24 с выходами 68–88%.
На основе 2,6-дициано-4-пирона (7), в свою очередь, может быть осуществлен доступ к симметричным и несимметричным гетероциклическим ансамблям (схема 15.10) [787]. Используя ранее найденные селективные реакции с гидроксиламином и азидом натрия, можно провести функционализацию обеих цианогрупп, в результате чего были получены бис-тетразолильное производное 25 и бис-амидоксим 26 c высокими выходами. Последующее ацилирование с помощью хлорангидридов или ангидридов позволяет осуществить синтез гетероциклических триад — 2,6-бис(1,3,4-оксадиазол-2-ил)-4-пиронов 27 и 2,6-бис(1,2,4-оксадиазол-2-ил)-4-пиронов 28.
Взаимодействие 2,6-дициано-4-пирона (7) c окисями нитрилов, которые были получены in situ путем взаимодействия имидоилхлоридов с триэтиламином, в присутствии эфирата фторида бора приводило к гетероциклизации только по одной цианогруппе (схема 15.11) [787] и давало 6-(1,2,4-оксадиазол-5-ил)-2-циано-4-пироны 29 с выходами 29–65%. Незатронутая цианогруппа была вовлечена по отработанной схеме в селективные реакции с гидроксиламином или азидом натрия, что позволило на основе последующего ацилирования получить гетероциклические ансамбли 31 и 33. Интересно отметить, что при взаимодействии с азидом натрия 6-(1,2,4-оксадиазол-5-ил)-2-циано-4-пирона 29, содержащего п-бромфенильный заместитель, только замена хлорида аммония на гидрохлорид диэтиламина позволила синтезировать соответствующий 2-тетразолил-4-пирон 32.
2,6-Бис(гетарил)-4-пироны могут быть превращены в 2,6-бисгетарил-4-гидрокси-пиридины путем селективного взаимодействия 4-пиронов с аммиаком (схема 15.12) [787]. Наиболее активным оказался 2,6-бис(тетразолил)-4-пирон (25), который реагировал в водном растворе аммиака при комнатной температуре в течение 2 суток. Другие пиридины 34 были получены при нагревании соответствующих пиронов в более жестких условиях в 15%-ном растворе аммиака в этаноле в течение 8 часов при 100°C в автоклаве.
Для химии 4-пиронов данные по взаимодействию с 1,3-диполями остаются ограниченными [794]. Из ряда производных комановой и хелидоновой кислот в реакции циклоприсоединения с азометин-илидами вступали только эфиры комановой кислоты с образованием пирано[2,3-c]пирролидинов 36 c выходами 55–63% (схема 15.13) [795]. Генерация азометин-илидов проходила при кипячении в бензоле с саркозином и параформом, а также при перемешивании с N-бензил-1-метокси-N-[(триметилсилил)метил]метанамином в CH₂Cl₂ в присутствии CF3CO2H. Атака преимущественно проходила по двойной связи, активированной сложноэфирным заместителем.
Таким образом, показано, что производные комановой и хелидоновой кислот являются удобными субстратами для регио- и хемонаправленного синтеза азагетероциклов, а также функционализированных 4-пиронов. Основные трансформации обычно включают взаимодействие с N-нуклеофилами, при этом начинает уделяться внимание и реакциям циклоприсоединения. Наиболее активными оказались нитрилы 4-пирон-2-карбоновых кислот, которые в зависимости от природы нуклеофила реагируют с замещением цианогруппы или селективно по цианогруппе, определяя широкий круг получаемых структур.
Обзор написан при поддержке Российского научного фонда (грант 22-73-10236).
16. ОСНОВНЫЕ ТЕНДЕНЦИИ РАЗВИТИЯ И РЕЗУЛЬТАТЫ РАБОТ В ОБЛАСТИ ОРГАНИЧЕСКОЙ ХИМИИ В ДОНЕЦКОМ УНИВЕРСИТЕТЕ
Органическая химия в ФГБОУ ВО “ДонГУ” берет свое начало в 1965 г., когда выдающимся химиком-органиком, первым ректором университета, академиком АН УССР Литвиненко Леонидом Михайловичем была основана и возглавлена кафедра органической химии, профессором которой он оставался до конца жизни. Основное направление заложенных им исследований состояло в изучении реакционной способности органических соединений, в основном реакций образования амидных связей (ацилирования). В ходе работ по изучению кинетики ацилирования Литвиненко Л.М. впервые в мире было зафиксировано, а затем обширно исследовано аномальное явление повышенной проводимости электронных эффектов в некоторых молекулах, получившее широкий резонанс в научной среде, — т.н. “положительный мостиковый эффект”, ПМЭ.
Долгое время (1976–2009 гг) кафедрой заведовал ученик Л.М. Литвиненко, доктор химических наук, проф. Н.М. Олейник, автор серии известных монографий по гомогенному органокатализу.
Исследования в области органической химии, посвященные изучению взаимосвязи структуры и реакционной способности органических соединении, велись также на кафедре биохимии Донецкого университета в рамках научной школы, руководимой доктор химических наук, проф., академиком НАНУ А.Ф. Поповым, еще одним учеником Л.М. Литвиненко
Тематика исследований, выполняемых ныне в области органической химии (уже на объединенной кафедре биохимии и органической химии), по-прежнему тесно связана с кинетикой и катализом органических реакций. Работа ведется в двух основных направлениях. Первое — изучение кинетики и механизма межфазнокаталитических и ферментативных процессов (основатель направления — кандидат химических наук, доц. В.В. Космынин, сегодня работают кандидат химических наук, доц., заведующий кафедрой О.В. Баранова, н.с. В.С. Дорошкевич). Объект исследования — реакции ацильного переноса (гидролиз, аминолиз) в двухфазных системах жидкость/жидкость в условиях межфазного переноса с разветвленным каталитическим циклом. Данные реакции проиллюстрированы на схеме 16.1.
В этой схеме Q+ – катион межфазного катализатора, RX — субстрат, Y– – нуклеофильный реагент, Z– – противоион катализатора, М+ – катион неорганической соли или основания.
Принципиальное отличие межфазнокаталитического процесса (в соответствии со схемой 16.1) от модели Старкса в том, что образование продукта реакции сопряжено с появлением новых экстракционных потоков. Кинетические закономерности таких реакций будут определяться не только начальным распределением катализатора, но и глубиной конверсии субстрата.
На примере модельных реакций аминолиза и гидролиза активированных эфиров аминокислот сотрудниками кафедры изучен механизм реакций: топология процесса, скорость-лимитирующая стадия, эффективность ониевых солей в качестве межфазного катализатора. В работе [796] изучена кинетика реакции аминолиза 4-нитрофенилового эфира N-бензилоксикарбонилглицина в двухфазной системе 1-бутанол/глициновый буферный раствор (рН = 10,4) при объемном соотношении фаз 1:1 в присутствии катализаторов межфазного переноса (I–V) (рис. 16.1).
Авторами установлено, что наибольшую активность проявляют имидазолиевые, бензимидазоливые и тетрафенилфосфониевые соли. Порядок зависимости наблюдаемых констант скорости в двухфазной системе для изучаемой реакции аминолиза от природы аниона Cl– > Br– > I– > ClO4– связан с уменьшением степени переноса Q+Y– (“активной формы” межфазного катализатора) в органическую фазу.
В последнее время на кафедре проводятся работы по разработке количественного подхода для описания активности межфазных катализаторов в реакциях ацильного переноса в двухфазных системах жидкость/жидкость. В работе [797] проведено сопоставление экспериментальных данных по каталитической активности изучаемых солей в реакции аминолиза 4-нитрофенилового эфира N-бензилоксикарбонилглицина в двухфазной системе хлороформ/глициновый буферный раствор (рН 10) с расчетными данными — величинами стандартной энтальпии образования ионной пары катиона ониевой соли с нуклеофилом (глицинат-анионом), которая является “активной формой” межфазного катализатора, поскольку именно ее взаимодействие с субстратом в органической фазе приводит к образованию целевого продукта. Было установлено, что каталитическая эффективность ониевых солей в межфазных процессах аминолиза в двухфазной системе жидкость/жидкость определяется энергетическим фактором: чем меньше величина стандартной энтальпии реакции образования “активной формы” катализатора, тем выше скорость изучаемого процесса. Эта величина может быть использована как количественный параметр оценки эффективности ониевых солей как межфазных катализаторов в экстракционном механизме межфазного катализа.
В рамках второго направления проводится изучение деталей механизма нуклеофильного раскрытия эпоксидов (основатель направления — доктор химических наук, проф. Е.Н. Швед; сегодня работают кандидат химических наук, доц. С.Г. Бахтин; ст. преп. М.А. Синельникова). Следует отметить, что нуклеофильное замещение у атома углерода оксиранового цикла под действием протонсодержащих нуклеофильных реагентов (NuH) относится к важнейшим органическим реакциям, широко используемым в промышленности и тонком органическом синтезе (схема 16.2).
Одними из наиболее эффективных катализаторов данной реакции выступают третичные амины (R3N) и их соли. К примеру, период полупревращения (t1/2) для некаталитической реакции (80°C) схемы 1 (Х = Cl и Nu = AcO) и в условиях катализа Et3N (60°C; Cкат = 0.005 М) составляет ≈ 11 суток и 2.5 ч соответственно. Кроме того, исследования, проведенные сотрудниками кафедры с применением комплекса экспериментальных [798] и квантово-химических [799] методов, показали, что в присутствии третичных аминов или тетраалкиламмониевых солей наблюдается высокая региоселективность реакции раскрытия цикла.
Бесспорно, роль R3N заключается в генерировании реакционноспособных частиц Nu–, однако нет единого мнения касательно подробного механизма этого генерирования. Чаще всего механизм ускорения третичными аминами обсуждается в рамках общеосновного катализа (схема 16.3).
Менее популярна альтернативная идея, где амин выступает не основанием, а нуклеофилом, образуя Nu– за счет первоначальной кватернизации амина при совместном участии оксирана и NuH.
Для ответа на дискуссионный вопрос о роли аминов (основание или нуклеофил) были предложены и изучены системы, в которых основные и нуклеофильные свойства R3N изменяются антибатно [800–802]; в дополнение, методами ЯМР 1Н, 13С [803, 804], УФ-спектроскопии [804–797] детализированы нуклеофильно-электрофильные и кислотно-основные взаимодействия в реакционных системах “оксиран — протонодонор — амин” (схема 16.4).
Недавно сотрудниками кафедры опубликована работа [798], касающаяся кинетических закономерностей стереоселективного катализа нуклеофильного замещения при участии хиральных аминов.
17. РАБОТЫ ПО ОРГАНИЧЕСКОЙ ХИМИИ, ВЫПОЛНЕННЫЕ НА КАФЕДРЕ ОБЩЕЙ, АНАЛИТИЧЕСКОЙ И ПРИКЛАДНОЙ ХИМИИ (ОАПХ) УГНТУ
На кафедре общей химии Уфимского нефтяного института (ныне УГНТУ) выпускником аспирантуры МИНХ и ГП им. И.М. Губкина (ныне РГУ НГ НИУ имени И.М. Губкина), учеником академика АН Арм. ССР В.И. Исагулянц Д.Л. Рахманкуловым была создана в начале 70-х годов научная школа по химии и технологии циклических ацеталей и родственных соединений.
В настоящее время заведует кафедрой ОАПХ — чл.-корр. АН РБ С.С. Злотский. Основные результаты, полученные в 2018–2023 гг., обсуждены и систематизированы в ряде обзорных статей [809–811]. В этот период объем научных исследований кафедры включали следующие направления.
17.1. Каталитические реакции циклических ацеталей с диазосоединениями
Каталитическое взаимодействие циклических ацеталей с диазокарбонильными соединениями является одним из удобных и селективных методов их функционализации. Установлено, что в реакции расширения цикла наибольшей активностью обладают 2-моно- и 2,2-дизамещенные 1,3-диоксоланы [812–814]. В частности, из 2-фенил-1,3-диоксолана образуется с выходом 80% соответствующий 2,3-дизамещенный 1,4-диоксан с диэкваториальным расположением заместителей (схема 17.1).
α-Диазо-β-кетоэфиры реагируют с циклическими ацеталями (схема 17.2) с образованием полиоксигенированных 8-, 9- и 10-членных гетероциклов с выходом до 90%.
Определено, что на региоселективность реакции существенное влияние оказывают размер и наличие заместителей в цикле.
17.2. Гетерогенно-каталитические трансформации циклических ацеталей и гем-дихлорциклопропанов
Изучена термокаталитическая изомеризация винил-гем-дихлорциклопропанов с образованием 4,4-дихлор-3-метилциклопентена (выход более 90%) в присутствии цеолитов типа SAPO-34 при температурах 200–250°C и продолжительности реакции 1–3 часа (схема 17.3).
Установлено, что образование циклопентеновой структуры происходит за счет раскрытия трехзвенного цикла олефина по связи С1–C3 и что основными продуктами являются 4,4-дихлор-циклопентены.
Разработан синтез вторичных 1,3-диоксациклоалкановых спиртов (схема 17.4) восстановлением кето-группы в 5-ацил-1,3-диоксанах гидридами металлов или гидрированием на Pd-содержащих катализаторах [815]. Лучшие результаты достигнуты при использовании Pd/C (конверсия = 85–90%, селективность = = 92–98%). На конверсию кетонов влияют заместители у карбонильной группы и в 5-ом положении 1,3-диоксанового цикла.
Алкоголиз фенил-гем-дихлорциклопропана в присутствии анионитов позволил получить ацетали фенилакролеина (схема 17.5).
Выход последних максимален для этанола и бутанола (80–87%) и снижается с ростом молекулярной массы спирта, а также при использовании спиртов изостроения и вторичных спиртов. Из полученных линейных ацеталей были синтезированы соответствующие гем-дихлорциклопропаны с выходом 72–80% [816, 817].
Гетерогенно-каталитической конденсацией аммиака и анилина с 2,2-диметил-4-оксиметил-1,3-диоксоланом (золькеталь) в диапазоне температур 350–500°C получены соответствующие соединения пиридинового ряда (схема 17.6).
Эти результаты показывают, что золькеталь может успешно заменить глицерин. Лучшие выходы целевых N-гетероциклов (до 75%) получены при использовании смеси золькеталь–глицерин в массовом соотношении 2:1. Данные работы [818] выполнялись совместно с научной группой доктор химических наук, с.н.с. Н.Г. Григорьевой (Лаборатория приготовления катализаторов ИНК УФИЦ РАН).
17.3. Окисление и низкотемпературный озонолиз
Низкотемпературный озонолиз винил-гем-дихлорциклопропанов в зависимости от условий обработки промежуточных перекисных соединений приводит к соответствующим альдегидам и сложным эфирам (схема 17.7).
Низкотемпературным озонолитическим расщеплением 4,7-дигидро-1,3-диоксепина и 2-изопропил-4,7-дигидро-1,3-диоксепина (схема 17.8) в зависимости от способа обработки промежуточных соединений синтезированы диальдегиды, диолы и диэфиры. Во всех случаях ацетальный фрагмент не затрагивался, и в целевых продуктах сохранялось 1,3-расположение атомов кислорода.
Для 1,3-диоксациклоалканов с экзоциклической двойной связью (2,2-диалкил-4-метилен-1,3-диоксолан) озонолиз протекал также без разрушения ацетального фрагмента и основным продуктом (выход 80–85%) являлись соответствующие 4-кетопроизводные (схема 17.9). Ранее подобные соединения были получены с низкими выходами конденсацией оксиуксусной кислоты с соответствующими кетонами.
Эти исследования [819] проводились совместно с научной лабораторией доктор химических наук, проф. Г.Ю. Ишмуратова (Лаборатория биорегуляторов насекомых УфИХ УфИЦ РАН).
Комплексные исследования в 2018–2023 гг. были направлены на определение областей потенциального применения полученных соединений. Обнаружены соединения-“лидеры”, проявившие себя как эффективные ингибиторы кислотной коррозии, присадки к маслам и полимерам, гербициды и лекарственные препараты [820–822].
Некоторые научные результаты были получены в рамках выполнения государственного задания Минобрнауки России в сфере научной деятельности FEUR — 2022-0007 “Нефтехимические реагенты, масла и материалы для теплоэнергетики”.
Обзор подготовлен при финансовой поддержке Российского научного фонда № 22-13-00185, https://rscf.ru/project/22-13-00185/
18. КАФЕДРА ХИМИИ И БИОХИМИИ ЛУГАНСКОГО ГОСУДАРСТВЕННОГО ПЕДАГОГИЧЕСКОГО УНИВЕРСИТЕТА
В структуре университета кафедра химии существует практически с момента его основания. До 1938 г. она была единственным центром подготовки учителей химии для всего Донбасса. Первыми преподавателями кафедры были супруги И.А. Войтенко (заведующий кафедрой с 1923 по 1957 г.) и О.П. Алексеева (заведующая кафедрой с 1957 по 1959 г.) – ученица А.Е. Фаворского, она некоторое время работала в его лаборатории. Выпускниками кафедры являются известные отечественные ученые-химики проф., доктор химических наук А.М. Шестопалов, проф., доктор химических наук Л.А. Родиновская, проф., доктор химических наук С.Г. Кривоколыско, доцент, доктор химических наук В.В. Доценко.
Современное становление кафедры можно отсчитывать с 1974 г., когда ее возглавил проф., доктор химических наук Ю.А. Шаранин. Талант организатора позволил ему развернуть активный научный труд в направлении синтеза гетероциклических соединений [823–825]. С 1994 г. по настоящее время кафедру химии и биохимии успешно возглавляет его ученик — проф., доктор химических наук В.Д. Дяченко. Его основные научные интересы посвящены методам получения селеносодержащих гетероциклов [826–830]. В результате была открыта ранее неизвестная многокомпонентная конденсация, приводящая к замещенным 7-алкилселено-1,4-дигидро-1,6-нафтиридинам (схема 18.1) [831].
С 2000 г. сотрудниками кафедры активно разрабатываются направления “Синтез карбо- и гетероциклов на основе активированных олефинов” [832–834] и “Синтез биологически активных соединений на основе функционализированных СН-кислот” [835–838]. Найдены новые подходы для синтеза важных 5-членных природных гетероциклов — пиррола, фурана [839, 840] и тиазола (схема 18.2) [841–843].
Также особое внимание уделяется таким фундаментальным проблемам синтетической органической химии как рециклизации [844, 845] и перегруппировки [846–849]. Опубликован литературный обзор, посвященный [3, 3]-сигматропным перегруппировкам [850], и найдена ранее неизвестная резиклизация пиранового цикла в фурановый (схема 18.3) [851].
В настоящее время основной фокус работ направлен на стремительно развивающиеся многокомпонентные реакции (МКР), инициируемые реакциями Кневенагеля, Михаэля, Сторка, нуклеофильного винильного замещения и алкилирования. На основе МКР синтезированы новые производные никотиновой кислоты [852–863], замещенные спиропиридины [864, 865] и тиено[2,3-b]пиридины [866–870], функционализированные бензо[b]пираны [871, 872] и пирано[2,3-d]пиримидины [873], частично гидрированные хинолины [874–877] и изохинолины [878, 879], а также конденсированные пиримидины (схема 18.4) [880, 881]. Удобным исходным реагентом в МКР при построении гетероциклов с программируемым набором гетероатомов является цианотиоацетамид, многообразию реакций которого посвящена наша монография [882] и литературный обзор [883].
В ходе наших исследований синтезированы новые гетероциклические системы — функционализированные пиридо[2′,3′:3,4]циклопента[1,2-с]изохинолин [884, 885] и хромено[3″,4″:5′,6′]пиридо[2′,3′:4,5]тиено[3,2-e]пиридин [886] — как результат протекания каскадных однореакторных домино-процессов (схема 18.5).
Получены новые реагенты для органического синтеза — 3-диметиламино-2-цианопроп-2-ентиоамид [887, 888] и селеносодержащие СН-кислоты [889, 890]. Их синтетический потенциал продемонстрирован на примерах получения замещенных тиазоло[3,2-a]пиридина, пиридо[2,1-b][1, 3]тиазина и селеназолов (схема 18.6).
Сегодня на кафедре химии и биохимии Луганского государственного педагогического университета работает 3 доктора и 5 кандидатов наук. За последние 10 лет сотрудниками кафедры получено более 800 новых гетероциклических соединений. В данный момент мы не останавливаемся на достигнутом и планируем продолжать поиск новых вариантов синтеза практически важных и биологически перспективных N,O,S,Se-содержащих гетероциклов.
Коллектив кафедры химии и биохимии Луганского государственного педагогического университета выражает особую благодарность проф., доктор химических наук В.Г. Ненайденко за всестороннюю помощь и поддержку, а также коллегам проф., доктор химических наук В.Н. Хрусталеву и П.В. Дороватовскому за рентгеноструктурный анализ синтезируемых нами соединений, и надеется на дальнейшее сотрудничество.
Обзор подготовлен при финансовой поддержке государственного задания ЛГПУ VGEA-2024-0004 (рег. номер 1023082100012-4-1.4.1).
19. КАФЕДРА ОРГАНИЧЕСКОЙ И АНАЛИТИЧЕСКОЙ ХИМИИ ОМСКОГО ГОСУДАРСТВЕННОГО УНИВЕРСИТЕТА ИМ. Ф.М. ДОСТОЕВСКОГО И КАФЕДРА ХИМИИ И ХИМИЧЕСКОЙ ТЕХНОЛОГИИ ОМСКОГО ГОСУДАРСТВЕННОГО ТЕХНИЧЕСКОГО УНИВЕРСИТЕТА
В последние годы на кафедре интенсивно проводились исследования в области синтеза, изучения свойств и поиска практически полезных соединений. Эти исследования были поддержаны рядом грантов РФФИ и РНФ. В 2020 г. в обзорной работе [891] были впервые систематизированы и проанализированы литературные данные о циклизации N-(2-ациларил)амидов (реакция Кэмпса), приводящей к образованию хинолонов, а также циклизации их близких аналогов — N-(3-оксоалкил)- и N-(3-оксоалкенил)амидов и тиоамидов 1,2, — в 5,6-дигидропиридин-2(1Н)-оны, -тионы 3 и пиридин-2(1Н)-оны 4, которая впервые была реализована и изучалась на кафедре органической химии ОмГУ [892–899] (схема 19.1).
Реакцией N-(3-оксоалкенил)хлорацетамидов 5 с 1,3-бензотиазол-2(3H)-тионом, 1,3-бензоксазол-2(3H)-тионом и 1-метил-1,3-дигидро-2H-бензимидазол-2-тионом были получены соответствующие 2-(гетероарилсульфанил)-N-(3-оксоалкенил)ацетамиды 6. Эти соединения при действии основания были превращены в пиридин-2(1Н)-оны 7, содержащие в положении С-3 атом двухвалентной серы, связанный с гетероциклом. Изучено бромирование, нитрование, алкилирование 3-(1,3-бензотиазол-2-илсульфанил)пиридин-2(1H)-онов 7 (X = S). Действием цинка в уксусной кислоте на соединения 7 (X = S) получены 3-сульфанилпиридин-2(1Н)-оны 8 [900] (схема 19.2).
Ранее на основе N-(3-оксоалкенил)хлорацетамидов был разработан метод получения 4-арил-3-аминопиридин-2(1Н)-онов 12 [898, 899]. Поскольку эти соединения представляли интерес в качестве эффективных люминофоров и антиоксидантов, были изучены альтернативные методы их синтеза. При попытке осуществить реакцию Гофмана 2-оксо-1,2-дигидропиридин-3-карбоксамиды 9 превращались в оксазоло[5,4-b]пиридин-2(1H)-оны 11 в результате внутримолекулярной циклизации промежуточно образующегося изоцианата 10. Соединения 11 при нагревании с водной щелочью подвергались гидролизу с образованием 3-аминопиридин-2(1Н)-онов 12 [901]. Алкилирование оксазоло[5,4-b]пиридин-2(1H)-онов 11 по атому азота и последующий гидролиз циклического карбомата 16 привел к N-алкил-3-аминопиридин-2(1Н)-онам 13. Соединения 13 также были синтезированы восстановительным аминированием из 3-аминопиридин-2(1Н)-онов 12, ароматических альдегидов и NaBH4 в ТГФ, содержащем муравьиную кислоту, [902] или восстановлением NaBН4 соответствующих оснований Шиффа в изо-пропаноле [903] (схема 19.3). Оксазоло[5,4-b]пиридин-2(1H)-оны 11, 16 при взаимодействии с аминами раскрывают пятичленный цикл, превращаясь в мочевины [902], а в реакции с эфирами аминокислот образуют гидантоины 15 и 17 и эфиры уреидоацетатов 14 [904] (схема 19.3).
Недавно был разработан синтез конденсированных производных 3-аминопиридин-2-она 23b,c, 24, 26 путем циклоприсоединения азлактонов 18b,c к 3,4-дигидроферроцено[c]пиридинам 19 и 1-алкил-3,4-дигидроизохинолинам 20, протекающего при нагревании в ДМФА. Выделены и охарактеризованы промежуточные продукты присоединения азлактона 18b по метильной группе дигидропиридинового цикла 19 и 20. Реакция азлактона 18a с 3,4-дигидроферроцено[c]пиридинами 19 привела к соединениям 25, которые были окислены DDQ до 3-амино-2-фенил-6,7-дигидроферроцено[a]хинолизин-4-онов 26 [905, 906] (схема 19.4).
В то же время 3,4-дигидропиридин-2(1H)-оны 29a–d,j и 30a–i, полученные взаимодействием азлактонов 18a–j c енаминами ацетоуксусного эфира 27 или 3-метил-1-фенил-1H-пиразол-5-аминами 28, окислить до пиридонов-2 33 не удалось [907, 908]. Однако при их нагревании с POCl3 были выделены оксазоло[5,4-b]пиридины 31a–d,j и 32a–i, образующиеся в результате замыкания пятичленного цикла и окисления дегидропиридинового ядра кислородом воздуха. При действии на соединения 31a–d,j водной щелочи они подвергались гидролизу, превращаясь в амиды 33a–d,j [16]. 5-Амино-1,7-дигидро-6H-пиразоло[3,4-b]пиридин-6-оны 34a–i были получены реакцией оксазоло[5,4-b]пиридонов 32a–i со щелочью и гидразин гидратом в ДМСО [907]. Было установлено, что соединения 30a–i в суперосновной среде (ДМСО, t-BuOK) отщепляют бензамид, превращаясь в 1,7-дигидро-6H-пиразоло[3,4-b]пиридин-6-оны 35a–i с хорошими выходами [909] (схема 19.5).
Обнаружено, что 7-арилзамещенные оксазоло[5, 4-b]пиридины 36, при нагревании в хлорбензоле до 90°C с хлоридом алюминия, подвергаются ранее неизвестной перегруппировке с образованием бензо[c][1, 7]нафтиридинонов 37 [910]. Соединения 11, 16 [910], 32 [908], а также оксазоло[5,4-b]пиридины, имеющие p-донорные тиофеновый или фурановый циклы 32, 36, вступают в аналогичную реакцию с образованием продуктов 38–40, 42 (Схема 19.6).
Необходимо отметить, что нафтиридины 37 и 38 были получены нами впервые реакцией Пикте-Шпенглера из ароматических альдегидов и 3-аминопиридин-2(1Н)-онов 12 [911, 912]. Эта реакция протекала в жестких условиях (нагревание в фосфорной кислоте при 130°C), что существенно ограничивало ее возможности. Подход к синтезу нафтиридинонов, основанный на перегруппировке, не только позволил получать производные тиофена и фурана 38, 40, 42, но также вводить в пиридиновое ядро алкильный заместитель и атом водорода (схема 19.6). Недавно было показано, что в аналогичную перегруппировку вступают 4-фенилбензо[d]оксазолы 43, образуя фенантридин-4-олы 44 [913], что свидетельствует об ее общем характере (схема 19.6). В работах [910, 913] был предложен механизм этой реакции, а также изучены ее элементарные акты с помощью квантово-химических расчетов. Для новых гетероциклических систем — бензо[c][1, 7]нафтиридин-4(3H)-онов — были изучены реакции окисления, алкилирования, электрофильного замещения и другие превращения [914]. При действии на соединения 37 NaBH4 в AcOH протекало необычное восстановительное аминирование с участием уксусной кислоты, приводящее к 5-этил-5,6-дигидробензо[c][1, 7]нафтиридин-4(3H)-онам 41 [915] (схема 19.6). Среди 3-аминопиридин-2(1Н)-онов 12–14, 34 и дигидронафтиридинов 41 найдены эффективные люминофоры [901, 902, 908, 915] и соединения, обладающие высокой антиоксидантной активностью [901, 908]. Это позволило на их основе разработать красители для иммуноферментного анализа [902] и гистохимического окрашивания криосрезов кожи [915].
Реакцией 3,4-дигидроизохинолинов 45a–f с азлактоном 46 впервые получены карбоновые кислоты 47a–f [916], которые при действии гидразин-гидрата превращались в ранее неизвестные [1, 7]нафтиридин-5,7-дионы 48a–f (схема 19.7).
Недавно был предложен способ получения 1-тозил-3H-нафто[1,2,3-de]хинолин-2,7-дионов 51a–c, основанный на реакции хлорацетамидов 49а–c с пара-толуолсульфинатом натрия. Показано, что нуклеофильное замещение тозильной группы в соединениях 51a–c на азотистые и кислородные нуклеофилы протекает в мягких условиях, в ряде случаев при комнатной или пониженной температуре [917] (схема 19.8).
Разработан новый метод получения алкалоидов гармана, гармина и их аналогов 56 термолизом замещенных 3-азидо-4-арилпиридинов 55, полученных из 3-амино-4-арилпиридинов 53 [918, 919] через диазониевые соли 54. Необходимо отметить, что при наличии метоксигрупп в ароматическом ядре, находящемся по соседству с диазониевым катионом, протекает внутримолекулярное диазотирование с образованием пиридо[3,4-c]- или пиридо[3,2-c]циннолинов 61, 62 [919, 920]. Для замыкания пиррольного цикла соединений 58 и 59 также была использована реакция Кадогана. 3-Нитропиридины 57, содержащие при С2 ароматический заместитель, при нагревании в пара-цимоле с PPh3 в присутствии 5 мол % MoO2Cl2 (DMF)2 или с 1,2-бис(дифенилфосфино)этаном без растворителя [921, 922] превращались в b-карболины с выходами 30–71%. Этим методом были получены аннелированные ненасыщенными карбоциклами b-карболины 59, включая 2,3,4,10-тетрагидро-1H-индоло[3,2-b]хинолины 59 (n = 1) [922]. Дегидрированием последних соединений при нагревании в дифенилоксиде, содержащем Pd/C, был получен алкалоид хиндолин и его аналоги 60 [921]. b-Карболины 56 также могут быть получены реакцией Кадогана из нитропиридинов 57 (R3 = Ar) и P(OEt)3, однако в этом случае реакция протекает c низкими выходами [919] (схема 19.9).
Термолиз азидопроизводных был использован также для синтеза тиеноиндолов. С этой целью 2-азидо-1-арилэтан-1-оны 63a–h вводились в реакцию Вильсмейера (ДМФА/POCl3), а образующиеся в результате этого смеси Z- и E-изомеров 2-азидо-3-арил-3-хлоракрилальдегидов 64a–h нагревали с метил меркаптоацетатом в присутствии Cs2CO3 в метаноле (схема 19.10).
При использовании 1.5 эквивалента HSCH2CO2Me реакция до конца не протекала, 2 эквивалента приводили к смеси продуктов 65 и 66, а 3 эквивалента к полному восстановлению азидо-группы до аминов 65a–h (61–78%). Соединения 65a–h, через соответствующую диазониевую соль, были превращены в азидотиофены 66a–h с выходами 49–78%. Термолиз азидов 66а–h в микроволновом реакторе приводил к соединениям 67а–h [923] (схема 19.10). Недавно был предложен еще один метод получения конденсированных производных тиофена 71a–j, основанный на иод-промотрированной фотоциклизации 4,5-диарилзамещенных тиофенов 70a–j [924] (схема 19.11). Производные тиофена 71 были использованы для синтеза структур, представляющих интерес в качестве материалов для органической электроники [925].
С этой же целью, а также для изучения зависимости электронных и фотофизических свойств от строения сопряженных пятичленных гетероциклических систем были синтезированы соединения 72 [926], 73 [927, 928] и 74 [929] (рис. 19.1).
Для синтеза 4,5-дигидротиено[3,2-c]хинолин-2- и 4H-тиено[3,2-c]хромен-2-карбальдегидов 77 и 78 была использована Pd-катализируемая циклизация 4-((ариламино)метил)тиофен-2- или 4-(арилоксиметил)тиофен-2-карбальдегидов, содержащих атом иода в тиофеновом 75 и бензольном 76 циклах. Сравнение этих двух подходов показало, что лучшие выходы тиенохинолинов 78 достигаются при циклизации соединений, содержащих атом галогена в бензольном кольце 76 [930], а тиенохроменов 77 – в тиофеновом цикле 75 [931, 932] (схема 19.12). Необходимо отметить, что для циклизации соединений 92 возможно использовать гетерогенный катализатор 10% Pd/C, но выходы продуктов 78 в этом случае оказываются немного ниже. Хорошие результаты были показаны при фотохимическом замыкании пиранового цикла [933]. Как в случае соединения 75, так и 76 (X = O) были получены хорошие выходы тиенохроменов 77, однако для соединений 75, содержащих атом иода в тиофеновом цикле, реакция протекала в два раза быстрее.
Соединения 77 и 78 являются эффективными люминофорами, излучающими свет с высоким квантовым выходом (до 0.87) в синей и желто-зеленой области спектра и большим сдвигом Стокса (до 159 нм). Это позволило предложить их в качестве люминесцентных чернил для скрытого маркирования бумаги [930, 933].
Впервые была изучена фотохимическая окислительная циклизация дитиоамидов 79a–e, 80a–e и 83a,c–f в присутствии хлоранила, приводящая к образованию бензо[1,2-d:4,3-d′]бис(тиазолов) 84a,c–f [934] и ранее неизвестных дитиазолобензо[1,2-c][1, 2, 5]тиадиазолов 81a–e и дитиазоло[1,2-d][1, 2, 3]триазолов 82a–e [935] (схема 19.13).
Вычислены методом DFT и экспериментально установлены (методом циклической вольтамперометрии) значения их ВЗМО и НСМО. Изучены фотофизические и (спектро)электрохимические свойства конденсированных систем и полимерных пленок, электрохимически осажденных на ITO. Определен оптический контраст и время отклика синтезированных олигомеров. Полученные результаты позволяют рассматривать данные вещества в качестве перспективных материалов для электрохромных устройств [935].
Работа выполнена при поддержке Российского научного фонда (проект 22-13-00356).
20. КАФЕДРА ОРГАНИЧЕСКОЙ ХИМИИ КУБАНСКОГО ГОСУДАРСТВЕННОГО УНИВЕРСИТЕТА — САМАЯ ЮЖНАЯ ВЕТВЬ ШКОЛЫ АКАДЕМИКА А.Е. ФАВОРСКОГО
Кафедра органической химии была создана на естественном факультете Краснодарского государственного педагогического института им. 15-летия ВЛКСМ. Первым заведующим кафедры был Михаил Петрович Пятницкий (1905–1981), талантливый агрохимик, доктор биологических наук (1961), профессор, автор более 150 научных работ, кавалер ордена Ленина (1965). Научные интересы М.П. Пятницкого были сфокусированы на способах выделения витамина С из цитрусовых и лимонной кислоты из листьев табака и махорки. Противоцинготные и ранозаживляющие настои из кедра, полученные М.П. Пятницким, спасли жизнь многим советским солдатам во время Великой Отечественной войны.
Современный этап изучения органической химии в Кубанском госуниверситете берет начало в 1971 г., когда возглавить кафедру в новом реорганизованном университете пригласили молодого харизматичного Николая Васильевича Комарова (1928–2008), одним из первых защитившего докторскую диссертацию в Иркутском институте органической химии под началом член-корр. М.Ф. Шостаковского — ученика академика А.Е. Фаворского. Н.В. Комаров был в числе пионеров химии непредельных соединений кремния, германия, олова и свинца, чьи исследования внесли ощутимый вклад в развитие металлоорганических методов создания связи Si(Ge,Sn,Pb)–Csp. Впоследствии были открыты новые препаративные методы синтеза этого типа соединений с использованием гетерофункциональных производных кремния, германия и олова, в которых не требовалась предварительная активация нуклеофильных свойств 1-алкинов за счет металлирования традиционными реагентами типа литийорганических соединений или реактивов Гриньяра.
Многие из воспитанников кафедры органической химии продолжили путь в науке и сфере высшего образования. Так, среди лучших выпускников кафедры стоит отметить выпускника 1978 г. Владимира Наполеоновича Геворгяна (Vladimir Gevorgyan), профессора Техасского университета в Далласе (The University of Texas at Dallas, US) – химика-органика с мировым именем, автора более 200 научных публикаций в области химии катализа переходными металлами, и выпускника 1976 г. Андреева Алексея Алексеевича (1953–2010), опытного педагога и блестящего химика-практика, отдавшего много лет работе на кафедре органической химии КубГУ.
С момента выделения в 1971 г. в отдельное структурное подразделение на кафедре органической химии в разное время работали кандидат химических наук Э.В. Серебренникова, кандидат химических наук Л.И. Ольховская, кандидат химических наук К.С. Пушкарева, кандидат химических наук Т.Н. Дыбова, кандидат химических наук Е.М. Покровская, выпускница РГПУ им. Герцена, представительница школы проф. В.В. Перекалина, кандидат химических наук О.И. Юрченко, кандидат химических наук И.С. Акчурина, кандидат химических наук В.А. Ковардаков, доктор химических наук В.Д. Буиклиский, кандидат химических наук Л.И. Комарова, кандидат химических наук Л.П. Вахрушев, кандидат химических наук В.С. Сеничев. В 2007 г. кафедра была переименована в кафедру органической химии и технологий. В 2012 г. кафедру возглавил Стрелков Владимир Денисович (1952–2024) – доктор химических наук, агрохимик, долгое время работавший во Всероссийском научно-исследовательском институте биологической защиты растений. С приходом доктор химических наук В.Д. Стрелкова на кафедре возникло направление, связанное с синтезом и исследованиями новых регуляторов роста растений и фитоиммуномодуляторов — антидотов гербицида 2,4-Д.
С 2017 г. заведующим кафедрой органической химии и технологий КубГУ является Доценко Виктор Викторович (р. 1976), доктор химических наук (2015), представитель луганской школы гетероциклической химии. В это время на кафедре появляется и начинает активно развиваться новое направление, связанное с реакциями гетероциклизации метиленактивных нитрилов и тиоамидов. По состоянию на январь 2024 г. на кафедре работали 2 доктора наук (В.Д. Стрелков, В.В. Доценко), 5 доцентов/кандидатов наук (кандидат химических наук Н.А. Рыжкова, Д.Ю. Лукина, А.С. Левашов, А.В. Беспалов, Д.С. Бурый), 4 сотрудника вспомогательного персонала, обеспечивающие учебный процесс (Л.В. Коновалов, В.А. Коцегубова, Л.В. Бучинская, В.А. Сомова). Ежегодно кафедра выпускает 10–14 бакалавров и 8–10 магистров по направлению “Химия”, действует аспирантура по направлению “органическая химия”.
В целом, к настоящему времени на кафедре органической химии сформировались и успешно работают две научные группы. Одна из групп проводит исследования, ведущие свое начало от работ А.Е. Фаворского и учеников и связанные с получением и изучением свойств ацетиленидов кремния, германия и олова (кандидат химических наук А.С. Левашов, кандидат химических наук В.В. Коншин, кандидат химических наук Д.С. Бурый). Интересы второй группы сфокусированы на химии производных метиленактивных нитрилов и тиоамидов — O/S/N-гетероциклических соединений ряда тиено[2,3-b]пиридина, 1,3,5-тиадиазина, 1,2,4-тиадизола и др., а также на исследовании их реакционной способности и биологической активности in silico и изучении агрохимического потенциала соединений как антидотов гербицидов и регуляторов роста растений (доктор химических наук В.Д. Стрелков, доктор химических наук В.В. Доценко, кандидат химических наук Д.Ю. Лукина, кандидат химических наук А.В. Беспалов).
Для развития первого направления исторически значимым оказался обнаруженный А.А. Андреевым и Н.В. Комаровым факт, что алкинилтриорганилстаннаны и диалкинилдиорганилстаннаны могут быть легко получены по реакции соответствующих органооловогалогенидов с 1-алкинами в среде диэтиламина [936]. Схожая реакция тетрахлорида олова и фенилтрихлорстаннана, но протекающая в присутствии галогенидов цинка, открыла путь к ранее относительно труднодоступным триалкинилидам и тетраалкинилидам олова [937] (схема 20.1).
Использование для силилирования 1-алкинов аминосиланов так же становится возможным при проведении реакция в среде 1,4-диоксана в присутствии избытка хлорида цинка [938], впоследствии эта реакция была распространена на диаминосиланы [939]. Тетрааминосиланы в указанных условиях оказались не реакционноспособны, тетраалкинилсиланы в данном случае образуются лишь в следовом количестве и для их синтеза удобно использовать взаимодействие тетрахлорида кремния с 1-алкинами в присутствии избытка трифлата цинка и основания Хюнига [940].
Достаточно гладко при содействии галогенидов цинка протекает гермилирование 1-алкинов под действием тетрахлорида германия, фенилтрихлоргермана и получаемых из них соответствующих диалкиламинопроизводных [941].
Тетраалкинилиды олова можно рассматривать как атом-экономные алкинилирующие реагенты, лишенные существенных недостатков триорганоалкинилидов олова — токсичности, неприятного запаха и существенной молекулярной массы “балластного” фрагмента, ухудшающего эффективность реакционной массы. Нами было показано, что тетраалкинилиды олова могут быть весьма эффективно использованы в реакции Стилле [942], в синтезе ацетиленовых кетонов из ацилхлоридов [943], причем в случае хлорангидридов алифатических кислот выход становится практически количественным (схема 20.2). Интересно протекает взаимодействие с альдегидами — вопреки ожиданиям, вместо пропаргиловых спиртов основным продуктом реакции являются ацетиленовые кетоны [944, 945], то есть в данном случае наблюдается окисления промежуточных алкоголятов олова по Оппенауэру.
Алкинилирование иминов протекает с умеренными выходами, его особенностью является наилучшая эффективность в условиях отсутствия растворителя [946].
Как алкинилирующие реагенты в реакции кросс-сочетания возможно использовать и тетраалкинилсиланы, но, в отличие от соответствующих оловоацетиленов, в реакции сила-Соногаширы необходим медный сокатализатор [947] (схема 20.3).
Тетраалкинилгерманы в аналогичных условиях оказались менее реакционноспособны и позволяют получать соответствующий толан с выходом лишь 34% [947].
Сотрудниками кафедры за предшествующие 10 лет опубликовано более 100 работ, посвященных реакциям гетероциклизации метиленактивных нитрилов и тиоамидов и изучению свойств полученных соединений, получено более 30 патентов на изобретения. Некоторые результаты суммированы в обзорных работах [948–954].
Недавние исследования сотрудников кафедры были направлены на изучение синтетического потенциала дитиомалондианилида в области гетероциклической химии (схема 20.4). Дитиомалондианилид давно известен как бидентатный комплексообразующий агент, но при этом соединение является достаточно сильной СН-кислотой (pKa 10.25–10.28) [955], что создает широкие возможности использования в органическом синтезе. Так, дитиомалондианилид реагирует с производными акрилонитрила в присутствии морфолина с образованием функционализированных производных [1, 2]дитиоло[3,4-b]пиридина [956–959]. Дитиомалондианилид реагирует с ароматическими альдегидами и кислотой Мельдрума с образованием стабильных аддуктов Михаэля [960, 961]. При длительном нагревании аддукты Михаэля подвергаются циклизации с одновременным частичным окислением, в результате чего образуются замещенные пиридин-2-тиолаты и тетрагидро[1, 2]дитиолопиридины [962]. Некоторые из полученных соединений показали выраженный антидотный эффект в отношении гербицида 2,4-Д на проростках подсолнечника.
Использование монотиомалонамида в качестве метиленактивного соединения позволяет в условиях однореакторного синтеза получать различные производные никотинамида. Так, реакцией изатинов, малононитрила и монотиомалонамида в присутствии Et3N удалось получить спиросочлененные производные никотинамида в виде смеси прототропных таутомеров [962]. Аналогичная реакция с ароматическими альдегидами дает соответствующие тиолаты, которые при окислении системой ДМСО–HCl превращаются в гексагидроизотиазоло[5,4-b]пиридины [963] (схема 20.5).
В целом, реакции окисления тиоамидов различного строения могут быть использованы для получения разнообразных S,N-гетероциклов. Так, под действием широкого круга окислителей 3-арил-2-цианотиоакриламиды превращаются в функционализированные производные 1,2,4-тиадиазола (схема 20.6) [964–967]. Некоторые из полученных соединений демонстрируют высокий агрохимический потенциал в качестве антидотов 2,4-Д.
К традиционному для кафедры направлению исследований относятся работы в области изучения методов получения и свойств производных тиено[2,3-b]пиридина. Так, недавно была обнаружена [968, 969] необычная реакция окислительной димеризации 3-аминотиено[2,3-b]пиридин-2-карбоксамидов, протекающая под действием гипохлорита натрия (схема 20.7).
Ацетиленовые кетоны вступают в реакцию с цианотиоацетамидом в присутствии морфолина с образованием 2-тиоксо-1,2-дигидроникотинонитрилов, которые в условиях реакции Торпа–Циглера легко превращаются в соответствующие 3-аминотиено[2,3-b]пиридины (схема 20.8) [970].
3-Аминотиено[2,3-b]пиридины являются удобной молекулярной платформой для дальнейшей функционализации и построения полициклических ансамблей. Так, обработка 3-аминотиено[2,3-b]пиридин-2-карбоксамидов сульфидом фосфора в горячем пиридине приводит к производным 1,3,2λ5-диазафосфинина [971], результатом реакции с фталевым ангидридом является образование тиено[2′,3′:5,6]пиримидо[2,1-а]изоиндолов [972], а кислотно-катализируемая конденсация с нингидрином дает спироциклические производные пиридо[3′,2′:4,5]тиено[3,2-d]пиримидина [973] (схема 20.9).
3-Аминотиено[2,3-b]пиридины легко реагируют с 3,5-диметил-1-(цианоацетил)-пиразолом с образованием соответствующих цианоацетамидов, которые под действием сильных оснований претерпевают циклизацию по Кэмпсу, как показано на примере получения производных дипиридотиофена (схема 20.10) [974].
Еще одним активно разрабатываемым направлением исследований в области гетероциклической химии является аминометилирование С,S,N-нуклеофильных гетероциклических субстратов. Так, на кафедре был разработан принципиально новый способ построения бициклической системы тиено[2,3-d]пиримидина через взаимодействие 2-амино-4,5-дигидротиофен-3-карбонитрилов с НСНО и первичными аминами (схема 20.11) [975].
Исследовано поведение 1,6-диаминопиридинов в условиях реакции Манниха. Установлено, что строение продуктов определяется возможностью аминометилирования в пиридиновое кольцо — этот вариант реализуется в случае частично насыщенных аминопиридинов, и ведет к производным биспидина, конденсированных с 1,2,4-триазольным циклом [976]. Если аминометилирование в кольцо невозможно, то в реакции участвуют только аминогруппы, и продуктами являются замещенные триазолопиридины (схема 20.12) [977].
21. КАФЕДРА ОРГАНИЧЕСКОЙ ХИМИИ САМАРСКОГО ГОСУДАРСТВЕННОГО ТЕХНИЧЕСКОГО УНИВЕРСИТЕТА. СИНТЕЗ ФУНКЦИОНАЛЬНЫХ ПРОИЗВОДНЫХ КАРКАСНОЙ СТРУКТУРЫ. НЕАРОМАТИЧЕСКИЕ ГЕТЕРОЦИКЛЫ НА ОСНОВЕ РЕАКЦИИ МИХАЭЛЯ И ВОССТАНОВИТЕЛЬНОЙ РЕАКЦИИ ХЕКА, КАТАЛИЗИРУЕМЫХ КОМПЛЕКСАМИ МЕТАЛЛОВ
На кафедре органической химии Самарского государственного технического университета реализуется несколько взаимопроникающих и дополняющих друг друга научных направлений, из которых доминирующим и объединяющим большую часть тематик является химия каркасных соединений. Важной частью исследований коллектива являются работы, связанные с энантиоселективным металлокомплексным катализом. Оба направления включают поиск и исследование биологической активности синтезированных соединений и создание на их основе материалов с комплексом ценных свойств.
В химии каркасных соединений ведущую роль берет на себя адамантан в силу уникальности строения и физико-химических свойств. Трудовая биография адамантана и его производных насчитывает десятки тысяч веществ, а исследования их химических свойств не теряют своей актуальности. Исторически сложившееся на кафедре направление исследований по функционализации каркасных соединений в азотнокислых средах продолжает интенсивно развиваться и за последние 5 лет пополнилось существенным багажом знаний по разработке методик синтеза, исследованию хемоселективности нитроксилирования [978] и реакционной способности и изучению химических свойств синтезированных соединений.
Синтезирован ряд новых нитроксипроизводных каркасного строения с использованием дымящей азотной кислоты [979–983] и системы HNO3—Ac2O [984] (схема 21.1). В качестве исходных субстратов использовали замещенные производные адамантана, в том числе содержащие акцепторные группировки, а также практически инертный 1,3,5,7-тетраметиладамантан. Нитроксилирование субстратов в системе HNO3—Ac2O протекает более селективно по сравнению с HNO3. За счет высокой электрофильности и пониженной кислотности этой реакционной среды возрастает устойчивость нитратов, заметно снижается вероятность образования спиртов, а в ряде случаев подавляются нитролиз и окисление функциональных групп в исходных субстратах.
Особенностями нитроксилирования диамантана являются крайняя гидролитическая неустойчивость 1-нитроксидиамантана, а также относительно высокое содержание 1-нитродиамантана и дизамещенных продуктов в реакционной смеси. С использованием системы HNO3—AcOH осуществлен one-pot синтез производных диамантана [982] (схема 21.2). Промежуточно образующийся нитрат 1-диамантанола при добавлении в реакционную смесь внешних нуклеофилов дает продукты замещения.
Аналогичный подход был разработан для синтеза ациламинопроизводных [985] и аминоспиртов [986] с использованием углеводородов каркасного строения в качестве исходных субстратов (схемы 21.3, 21.4). Оба метода характеризуются универсальностью. Синтез аминоспиртов включает также добавление концентрированной серной кислоты на одной из стадий, что увеличивает концентрацию катиона нитрония, повышает окислительный потенциал системы H2SO4—HNO3 и приводит к окислению по соседнему узловому положению.
Использование системы H2SO4—HNO3 оказалось эффективным для получения полифункциональных производных адамантанового ряда, содержащих заместители одновременно в узловых и мостиковом положениях каркаса [987] (схема 21.5). Реакции протекают через стадию образования третичного карбокатиона, который стабилизуется преобладающим в реакционной смеси нуклеофилом.
Существенный вклад в развитие теоретических представлений внесло исследование кинетики окисления дезактивированных каркасных субстратов в системе H2SO4—HNO3 [988]. Реакция описывается кинетическим уравнением псевдопервого порядка. Измерен первичный кинетический изотопный эффект (2.9 ± 0.3). Данное исследование позволило получить ответы на вопросы: какова предпочтительная последовательность введения карбокси- и карбоксиметильных групп в адамантаное ядро, до какой степени можно дезактивировать каркас за счет введения электронакцепторных заместителей и при этом успешно вводить функциональные группы?
Традиционно в качестве основной молекулярной платформы при получении функционально замещенных производных используют гидроксипроизводные и карбоновые кислоты адамантанового ряда как наиболее доступные субстраты. Заметно меньше уделяется внимания галогенпроизводным адамантана, чаще всего они играют роль алкилирующих агентов. Коллективом кафедры были изучены превращения галогенадамантанов в среде дымящей азотной кислоты. Начальным этапом масштабного исследования стало изучение кинетики нитролиза галогенадамантанов [989].
Реакции 1,3-дигалогенадамантанов с дымящей азотной кислотой протекают через ряд промежуточных превращений: нитролиз исходных дигалогенпроизводных с образованием соответствующих нитроксипроизводных, которые затем претерпевают структурные трансформации каркаса, включающие фрагментацию Гроба и трансаннулярные циклизации. Результатом этих превращений являются труднодоступные производные 2-оксаадамантановой структуры [990, 991] (схема 21.6).
Исследованы реакции 3-бромметил-5,7-диметил-2-оксаадамантан-1-ола в среде 96%-ной кислоты как в присутствии, так и в отсутствии нуклеофилов (схема 21.7). В ходе реакций протекает ряд структурных трансформаций 2-оксаадамантанового каркаса, а также открываются пути к труднодоступным 1,2,3-тризамещенным адамантанам [992].
За счет реализации реакций нуклеофильного замещения в среде концентрированной серной кислоты из синтезированных нитроксипроизводных получен широкий ряд функциональных производных каркасного строения [993–995] (схема 21.8).
Предложены способы получения каркасных субстратов, обладающих большими препаративными возможностями для использования их в качестве молекулярной платформы в синтезе веществ с потенциальной биологической активностью и для получения материалов с комплексом ценных свойств [996, 997] (схема 21.9).
Еще одна тематика исследований, реализуемая на кафедре, — разработка методов получения и изучение химических свойств гетероциклов, содержащих каркасные фрагменты. На основе превращений стерически затрудненных непредельных производных адамантанового ряда показана возможность получения N, O, S-содержащих гетероциклических систем различного размера [998, 999] (схема 21.10).
Направление раскрытия трехчленных циклов 1-адамантилзамещенных оксиранов и азиридинов во многом зависит от природы исходного гетероцикла. Под действием нуклеофилов продуктами раскрытия оксиранового цикла являются дифункциональные производные, содержащие адамантановый фрагмент [1000] (схема 21.11). 2-(Адамантан-1-ил)азиридины под действием трифторуксусного ангидрида образуют продукт перегруппировки — дигидро-1,3-оксазин, конденсированный с каркасом гомоадамантана. В отдельных случаях происходит образование ацилированных по атому азота аминоспиртов как в индивидуальном виде, так и в смеси с дигидро-1,3-оксазином. Направление раскрытия азиридинового цикла определяется структурой исходного субстрата [1001] (схема 21.11).
Восстановлением бромидов 1-[(адамантан-1-ил)-2-оксоэтил]пиридиния получены 1-[2-(адамантан-1-ил)-2-гидроксиэтил]-1,2,3,6-тетрагидропиридины, которые под действием трифторметансульфокислоты претерпевают сопровождающуюся перегруппировкой Вагнера–Меервейна карбкатионную внутримолекулярную циклизацию с образованием замещенных 1-азабицикло[3.3.1]нон-3-енов, аннелированных с гомоадамантановым каркасом [1002] (схема 21.12). 1-[2-Гидрокси-2-(4-R-фенил)этил]-4-метил-1,2,3,6-тетрагидропиридины и 1-фенетил-1,2,3,6-тетрагидропиридины в аналогичных условиях дают азабициклические и азатрициклические структуры [1003, 1004].
Число гомоадамантановых соединений в настоящее время относительно невелико, что в значительной степени связано с их малой синтетической доступностью. Данная проблема в последние годы успешно решается благодаря разработанному методу синтеза этил-5-оксогомоадамантил-4-карбоксилата из легкодоступных реагентов. Синтетическая привлекательность и потенциал этой молекулы предопределили развитие данного направления на долгие годы, поскольку уже на ее основе изучены типичные для химии β-дикарбонильных соединений свойства и в ряде случаев получены совершенно неожиданные результаты, что может быть обусловлено влиянием каркасного фрагмента. Был осуществлен синтез 4,4-дизамещенных гомоадамантан-5-онов на основе реакций этил-5-оксогомоадамантил-4-карбоксилата с углерод- и гетероатом-центрированными электрофильными агентами. При взаимодействии этил-5-оксогомоадамантил-4-карбоксилата и его производных с бинуклеофилами, а также с использованием реакций Лейкарта-Валлаха и гидрирования получен ряд производных гомоадамантана, [4:5]аннелированных с азотсодержащими гетероциклическими фрагментами [1005] (схема 21.13).
Был обнаружен неожиданный кислотно-катализируемый 1,2-алкильный сдвиг в ряду 4,4-дизамещенных гомоадамантан-5-онов. Такая ретропинаколиновая перегруппировка приводит к тетра- или пентациклическим моно- или бис-лактонам, содержащим фрагмент гомоадамантана. Эти превращения открывают доступ к синтезу ранее неизвестных 2,4-ди- и 2,3,4-тризамещенных производных гомоадамантана [1006] (схема 21.14).
Были изучены реакции 4-замещенных этил-5-оксогомоадамантил-4-карбоксилатов с различными нуклеофильными агентами. Основным результатом было “декарбэтоксилирование” вместо деацилирования по ретрореакции Клайзена. Только один пример получения желаемого производного бицикло[3.3.1]нонана был отмечен в случае реакции α-нитрокетоэфира с аммиаком [1007] (схема 21.14).
С развитием направления исследований, посвященных химии бициклических соединений, были разработаны удобные подходы к получению 3,7-дизамещенных производных бицикло[3.3.1]нонана с использованием 2-адамантанона в качестве исходного субстрата [1008, 1009] (схема 21.15) и изучены особенности строения синтезированных веществ с позиции конформационного анализа.
Многие из синтезированных каркасных соединений испытаны на проявление антивирусного действия в отношении вируса гепатита С и поксвирусов. Найдено значительное количество веществ с выраженной активностью [1010, 1011].
Выполнение большинства из вышеописанных исследований пришлось на период пандемии COVID-19, которая бросила вызов химикам-органикам в части создания как новых молекул, так и новых структурных типов молекул, которые могли бы обеспечить потенциал антивирусной терапии. С помощью методов молекулярной динамики и молекулярного докинга уточнена структура геликазы коронавируса NSP13, предложен ряд потенциальных ингибиторов, содержащих каркасный фрагмент, и уточнен их вероятный механизм действия. Предложенный метод также подходит для конструирования лигандов, взаимодействующих с другими вирусными геликазами [1012]. В обзорах систематизированы сведения о низкомолекулярных соединениях, в том числе об известных фармацевтических препаратах и природных веществах, обладающих высокой противовирусной активностью по отношению к коронавирусам [1013], и приведен анализ данных об известных ионных каналах вирусов, вызывающих различные социально значимые заболевания [1014].
В коллаборации с сотрудниками Волгоградского государственного медицинского университета были проведены исследования и опубликован цикл статей, посвященных исследованию нейропсихотропных и церебропротекторных свойств 1-адамантилпирролидин-2-онов [1015–1019]. Другим перспективным направлением использования производных адамантана является создание основ масел для теплонапряженных газотурбинных двигателей [1020–1022].
Комплексы металлов с хиральными вицинальными диаминами, содержащими в своей структуре каркасные фрагменты, такие как адамантан и гомоадамантан, представляют несомненный интерес в качестве катализаторов асимметрических реакций. В рамках данного направления исследований коллективом кафедры были созданы удобные подходы к получению N,N-донорных лигандов такого типа и исследованы каталитические свойства комплексов на их основе в различных асимметрических превращениях.
1-(Адамантан-1-ил)этан-1,2-диамин был получен в две стадии из 1-(адамантан-1-ил)-2-азидоэтан-1-она. Расщепление рацемата диамина осуществлялось с использованием L-винной кислоты. В результате был получен (S)-изомер с 96% ее (схема 21.16) [1023].
Диастереодивергентный синтез 1-(адамантан-1-ил)пропан-1,2-диамина и 1-(адамантан-1-ил)-2-фенилэтандиамина осуществлен исходя из азидоксима с использованием разных восстановительных систем. Расщепление рацемических смесей трео- и эритро-изомеров проводили посредством кристаллизации диастереомерных солей с (R)-миндальной и L-яблочной кислотами соответственно из водно-спиртовых растворов (схема 21.17) [1024, 1025].
1,2-Диаминоадамантан получен из 2-оксоадамантоилхлорида через стадию образования азидоксима с последующей перегруппировкой Курциуса, гидролизом и реакцией Лейкарта-Валлаха 1-аминоадамантан-2-она. Кристаллизацией рацемического 1,2-диаминоадамантана с L-винной кислотой был выделен (S)-изомер (схема 21.18) [1026].
4,5-Диаминогомоадамантан синтезирован из гомоадамантанона в несколько стадий через промежуточное образование соответствующего азиридина с последующим раскрытием азиридинового цикла и восстановлением Red-Al. Последующее расщепление его рацемата осуществлялось с использованием дибензоил-L-винной кислоты (схема 21.19) [1025].
На основе полученных вицинальных диаминов синтезированы N,N′-дибензилиденовые и дибензильные производные, а также лиганды саленового типа и комплексы Ni(II) и Mn(III). Каталитические свойства полученных комплексов были изучены в модельных реакциях присоединения по Михаэлю диэтилмалоната к ω-нитростиролу и эпоксидирования стирола. Наиболее интересный результат был получен в реакции Анри, где использование комплекса Cu(II), генерируемого in situ из N,N′-ди-бензилиден-1,2-диаминоадамантана, привело к образованию (R)-изомера соответствующего нитроспирта с 64% ее (схема 21.20) [1026].
Асимметрическая реакция Михаэля, катализируемая комплексами металлов, служит удобным подходом к синтезу нерацемических соединений, в том числе содержащих несколько асимметрических центров. Возможные подходы к синтезу таких соединений основаны как на постадийных превращениях с участием хиральных аддуктов Михаэля, так и на каскадных реакциях, когда новые асимметрические центры заданной конфигурации формируются при стереоконтроле со стороны уже сформированных на стадии присоединения по Михаэлю. Последние достижения в этой области обобщены нами в обзоре [1027]. В рамках проводимых на кафедре органической химии исследований асимметрической реакции Михаэля синтезирован ряд комплексов Ni(II) с новыми хиральными лигандами на основе (1R,2R)-1,2-дифенилэтан-1,2-диамина, (1R,2R)-циклогексан-1,2-диамина и (1R,2R)-бицикло[2.2.2]октан-2,3-диамина, которые проявили высокую каталитическую активность в этой реакции (схема 21.22) [1028, 1029]. Энантиоселективность присоединения диэтилмалоната к ω-нитростиролу и 1-нитропент-1-ену в присутствии этих катализаторов достигает 96% и 91% соответственно. Восстановительной циклизацией хирального аддукта с 1-нитропент-1-еном получен (4R)-4-пропилпирролидин-2-он, ключевое промежуточное соединение в синтезе противоэпилептического препарата бриварацетам (схема 21.21) [1029].
Закономерности Ni(II)-катализируемого асимметрического присоединения 1,3-дикарбонильных производных к нитроолефинам изучались как экспериментальными методами, так и с привлечением расчетного метода DFT. Результаты расчетов подтверждают маршрут реакции, предполагающий образование енолята, внутримолекулярную нуклеофильную атаку на координированный нитроолефин и протонирование образующегося в результате нитронатного комплекса Ni. Рассчитанная разница энергий активации образования энантиомеров в реакции диэтилмалоната с ω-нитростиролом близка к экспериментальным значениям, полученным из зависимости энантиоселективности от температуры. Проведенные расчеты также указывают на важную роль водородной связи между аминогруппой лиганда и нитрогруппой акцептора Михаэля для обеспечения энантиоселективности [1030].
Катализируемая комплексами никеля реакция диэтилмалоната со стерически нагруженным 1-(2-нитроэтенил)адамантаном использовалась в синтезе (R)- и (S)-изомеров 4-(адамантан-1-ил)пирролидин-2-она и 4-амино-3-(адамантан-1-ил)масляной кислоты, представляющих интерес как вещества с потенциальной нейротропной активностью (схема 21.23) [1031].
Аналогичным образом были получены другие 3-замещенные производные ГАМК. На основе (R)-фенибута, (R)-толибута и (R)-баклофена синтезированы тетразольные производные (схема 21.24) [1032], проявившие умеренную анксиолитическую активность в экспериментах на животных [1033].
Комплекс Ni(II) с (1R,2R)-N,N′-дибензилциклогексан-1,2-диамином является эффективным катализатором присоединения b-кетофосфонатов [1034] и b-кетосульфонов [1035] к нитроолефинам, обеспечивая высокую энантиоселективность, а во многих случаях и диастереоселективность асимметрической реакции Михаэля (схема 21.25).
На основе хиральных аддуктов b-кетофосфонатов и нитроолефинов получен ряд пирролидин-3-илфосфоновых кислот в виде индивидуальных (2R,3R,4S)-изомеров (схема 21.26) [1034].
Тетрагидропиранилфосфонаты в виде индивидуальных (2S,3R,4S,5S,6R)-изомеров получены диастереоселективной каскадной реакцией Анри/полуацетализации из хирального аддукта диметил(2-оксопропил)фосфоната с w-нитростиролом и различных альдегидов (схема 21.27) [1034].
На основе асимметрического присоединения 1,3-дикетонов, b-кетоэфиров и b-кетофосфонатов к a-бромнитроолефинам предложен метод синтеза нерацемических 2,3-дигидрофуранов. Реакция Михаэля, катализируемая комплексом Ni(II) c (1R,2R)-N,N′-дибензилциклогексан-1,2-диамином, приводит к соответствующим аддуктам в виде смеси диастереомеров с (S)-конфигурацией атома углерода, связанного с заместителем R3. Дальнейшая 5-экзо-тет-циклизация этих аддуктов в присутствии 4-диметиламинопиридина дает 2,3-дигидрофураны с dr от 9/1 и выше и до 99% ее (схема 21.28) [1036].
В асимметрическую реакцию Михаэля удалось вовлечь в том числе и стерически нагруженные 1,3-дикарбонильные соединения, такие как 1-(адамантан-1-ил)бутан-1,3-дион и адамантоилуксусный эфир. Для ацетилацетона и 1,3-дифенилпропан-1,3-диона разработана процедура однореакторного синтеза 2,3-дигидрофуранов в виде индивидуальных (4R,5R)-изомеров с энантиомерными избытками 94 и 96% соответственно. Восстановлением 4-ацетил-5-метил-2-нитро-3-фенил-2,3-дигидрофурана получен 2-метил-3-ацетил-4-фенилпиррол с выходом 90% (схема 21.29) [1036].
Внутримолекулярная восстановительная реакция Хека служит удобным подходом к синтезу самых разнообразных карбо- и гетероциклических соединений. Последние достижения в этой области обобщены нами в недавно вышедшем обзоре [1037]. В рамках проводимых на кафедре исследований восстановительной реакции Хека нами показано, что нерацемические инданоны могут быть получены циклизацией орто-бромзамещенных халконов, а также аналогичных трифлатных производных в присутствии каталитических систем Pd(dba)2/хиральный бис-фосфин. Наиболее высокая энантиоселективность реакции была достигнута при использовании в качестве хирального лиганда (R)-C3-Tunephos (схема 21.30) [1038].
Внутримолекулярная восстановительная реакция Хека енамидов служит удобным подходом к синтезу изоиндолин-1-онов. Использование каталитической системы Pd(OAc)2/Ph3P и формиата натрия в качестве восстановителя позволяет получать 3,3-дизамещенные производные с различными ароматическими и гетероциклическими заместителями (схема 21.31) [1039].
Во внутримолекулярную восстановительную реакцию Хека удалось вовлечь стерически нагруженные субстраты с экзо- и эндоциклическими связями С=С. Так, циклизацией амидов и эфиров с 2-(адамантан-1-ил)аллильным заместителем были получены соответствующие адамантилзамещенные индолины и 2,3-дигидробензофуран (схема 21.32) [1040].
Восстановительная циклизация амида 4-гомоадамантенкарбоновой кислоты приводит к получению спиропроизводного, сочетающего гомоадамантановый и оксиндольный структурные фрагменты (схема 21.33) [1040].
Интересно отметить, что комплекс палладия с вицинальным диамином оказался эффективным катализатором данных реакций. Это первый пример успешного использования комплекса палладия с диаминовым лигандом в качестве катализатора восстановительной реакции Хека.
Таким образом, сотрудники кафедры органической химии Самарского политеха успешно работают в области тонкого органического синтеза с выраженным акцентом на создании новых методологий получения гетероциклических и каркасных соединений и развитии аспектов медицинской химии и материаловедения. Широкое применение методов, основанных на использовании металлокомплексного катализа, позволило создать простые синтетические подходы к структурам, сочетающим гетероциклические и липофильные каркасные фрагменты, а также к энантиомерно обогащенным полифункциональным производным с несколькими смежными асимметрическими центрами заданной конфигурации.
Обзор подготовлен при финансовой поддержке Российского научного фонда (23-13-20029, 21-73-20096, 21-73-20103).
22. КАФЕДРА ОРГАНИЧЕСКОЙ ХИМИИ СЕВЕРО-КАВКАЗСКОГО ФЕДЕРАЛЬНОГО УНИВЕРСИТЕТА
Основным направлением научных исследований Ставропольских химиков-органиков под руководством профессора А.В. Аксенова является исследование возможности контроля каскадных трансформаций с использованием свойств реакционной среды, путем изменения условий реакций или внесения модификаторов. Такой подход получил название “умных” реакционных сред. Также активно ведется разработка принципиально новых, эффективных методов модификации ароматических систем и применения их в синтезе гетероциклических соединений для обнаружения новых скаффолдов и наработке больших библиотек соединений с упором на медицинскую химию. Безусловно, в этом направлении особое место занимают жесткие, каркасные, а также спироциклические соединения, особенно, содержащие важные фармакофорные фрагменты, среди которых наибольшее внимание привлекают производные индола.
Первый из таких методов основан на использовании нитроалкенов в качестве синтетических эквивалентов 1,4-диполей CCNO-типа для высокодиастереоселективной реакции формального [4+1]-циклоприсоединения индолов в фосфористой кислоте с получением производных 4′H-спиро[индол-3,5′-изоксазолов]. Помимо получения неизвестной ранее гетероциклической системы превращение раскрывает новые аспекты химии алифатических нитросоединений (схема 22.1) [1041].
Реакция включает последовательность стадий присоединения по Михаэлю с образованием фосфорилированной аци-формы нитросоединения, образование оксима и 5-эндо-триг циклизации, приводящей к соответствующему спиросоединению. Образуется наиболее устойчивый диастереомер, а ключевым моментом превращения, подобно реакции Нефа, является генерация протонированной аци-формы, т.к. и в данном случае 2-(индол-3-ил)нитроэтан является нереакционноспособным, что полностью останавливает превращение (схема 22.2).
Также можно проводить реакцию с β-алкил нитростиролами, при этом вместо H3PO3 необходимо использовать более сильную кислоту Бренстеда, такую как MsOH (схема 22.3) [1042]. В качестве побочного продукта наблюдалось образование 3,3′-((4-фенилметилен)бис(2-фенил-1H-индола).
Образование побочного продукта объясняется тем, что N-алкилиден-N-гидроксигидроксиламмоний, образующийся из нитроната находится в таутомерном равновесии с N-алкил-N-оксогидроксиламмонием. Последующая фрагментация приводит к образованию высокоэлектрофильного (E)-3-алкилиден-2-метил-3H-индола. В присутствии избыточного количества медленно реагирующего исходного индола нуклеофильная атака приводит к образованию продукта алкилирования (схема 22.4).
Альтернативный подход к 4′H-спиро [индол-3,5′-изоксазолам] основан на генерации нитронатов путем присоединения реактивов Гриньяра к 3-(2-нитровинил)индолам и последующей спироциклизации с помощью кислоты Бренстеда. В данном случае процесс полностью повторяет условия реакции Нефа: осуществляется добавление аци-формы к соляной кислоте при 0°C, нарушение процедуры дает соответствующие продукты С-протонирования — 1-нитро-2-(индол-3-ил)этаны. Использование реактивов Гриньяра, производных от алкилгалогенидов, позволяет получать труднодоступные 4′-алкилзамещенные производные (схема 22.5) [1043].
Полученные спиросоединения достаточно неустойчивы и легко перегруппировываются в 2-(3-оксоиндолин-2-ил)-2-арилацетонитрилы. Так, например, обработка 4′H-спиро [индол-3,5′-изоксазолов] триэтиламином в спирте приводит к образованию соответствующих (3-оксоиндолин-2-ил)ацетонитрилов путем альфа-кетольной перегруппировки (схема 22.6) [1044].
Известно, что альфа-кетольные перегруппировки также катализируются и кислотами, поэтому при нагревании возможно осуществить прямой метод синтеза (3-оксоиндолин-2-ил)ацетонитрилов реакцией индолов с нитростиролами в смеси H3PO3/EtOAc при кипячении (схема 22.7).
Как было отмечено ранее, 1-нитро-2-(индол-3-ил)индолы являются инертными в выше обозначенных условиях реакции [1045]. Однако, применение стандартного реагента для генерации нитрилоксидов из нитросоединений — POCl3/NEt3 — позволяет осуществлять целевую спироциклизацию. При этом, поскольку в реакционной смеси присутствует достаточно большое количество основания, конечным продуктом выступают 2-(3-оксоиндолин-2-ил)-2-арилацетонитрилы (схема 22.8). Первоначальное кипячение индолов с нитроалкенами в уксусной кислоте приводит к соответствующему продукту реакции Михаэля. Выделенный и очищенный нитроалкан помещают в смесь POCl3/Net3 в бензоле, что приводит к спироциклизации и последующей перегруппировке.
Возможны также и последующие превращения 2-(3-оксоиндолин-2-ил)ацетонитрилов, катализируемые основаниями. Ацетонитрилы, незамещенные по атому азота, теряли молекулу арилацетонитрила, что после 1,2-арильного сдвига приводило к 3-гидроксииндолин-2-онам. Реакции N-алкилпроизводных оксоиндолинов дают 1,2,3,3a,4,8b-гексагидропирроло[3,2-b]индолы (схема 22.9) [1046].
В дальнейшем для развития данной химии 4′H-Спиро [индол-3,5′-изоксазолы] были преобразованы в 3-аминоиндолы путем реакции с гидразингидратом в условиях микроволнового синтеза. Превращение сопровождается потерей молекулы бензилцианида (схема 22.10) [1047].
Микроволновая реакция 2-(3-оксоиндолин-2-ил)-2-фенилацетонитрилов с 1,2-фенилендиаминами приводит к образованию соответствующих хиноксалинов в качестве единственных продуктов. Данное превращение включает необычное отщепление молекулы фенилацетонитрила и может быть осуществлено путем короткой последовательности реакций, начиная с легкодоступных индолов и нитроолефинов (схема 22.11) [1048].
При восстановлении 4′hспиро[индол-3,5′-изоксазолов] или 2-(3-оксоиндолин-2-ил)ацетонитрилов боргидридом натрия наблюдается необычная каскадная трансформация с раскрытием цикла и 1,2-алкильным сдвигом. Эта реакция позволяет быстро и высокоэффективно получить 2-(1Н-индол-3-ил)ацетамиды, проявляющие высокую антипролиферативную активность по отношению к ряду линий раковых клеток (схема 22.12) [1049].
Родственные структуры — 2-(3-оксоиндолин-2-илиден)ацетонитрилы — могут быть получены из орто-нитрохалконов. Данный процесс представляет собой инициируемое по Михаэлю присоединение цианид-аниона к халкону с последующей каскадной циклизацией, напоминающей реакцию Байера-Дрюсона (схема 22.13) [1050].
Также возможен однореакторный подход к получению 2-(3-оксоиндолин-2-ил)ацетонитрилов, который включает альдольную конденсацию орто-нитроацетофенонов с участием оснований с последующим гидроцианированием, запускающим реакцию восстановительной циклизации (схема 22.14) [1051].
Также 2-(3-оксоиндолин-2-илиден)ацетонитрилы могут быть получены из 4-(2-аминофенил)-4-оксо-2-фенилбутаннитрилов. Описанное превращение осуществляется посредством нуклеофильной внутримолекулярной циклизации и включает окисление анилинового фрагмента системой KOH/DMSO (схема 22.15) [1052].
Те же самые реагенты в среде полифосфорной кислоты дают 2-аминофураны, которые далее рециклизуются в 2-(1H-индол-2-ил)ацетамиды. Этот синтетический путь открывает новые возможности для быстрой сборки различных производных изотриптамина для медицинской химии (схема 22.16) [1053].
Выше обозначенная философия тонкой настройки реакционной среды позволяет осуществлять диверсификацию пути протекания реакции. Например, 2′-нитрохалконы могут быть вовлечены в тандемную реакцию с арил(гетарил)ацетонитрилами, включающую присоединение по Михаэлю и последующее ипсо-замещение нитрогруппы с образованием 1-тетралонов с двумя смежными хиральными центрами и высокой диастреоселективностью (схема 22.17) [1054].
Также возможна родственная реакция аннелирования 2′-нитрохалконов с цианидом калия с образованием 1-инданонов с C3-четвертичным хиральным центром (схема 22.18) [1054].
Другой вариант изменения условий включает one-pot процесс, позволяющий получить 3-анилино-4-(гет)арилмалеимиды путем простого нагревания водного раствора 2′-нитрохалконов в ДМСО с цианидом калия в присутствии муравьиной кислоты (схема 22.19) [1055]. Эта реакция обеспечивает эффективный доступ к множеству β-замещенных α-аминомалеимидов, которые в последнее время стали предметом интереса в качестве небольших, легко модифицируемых и чувствительных флуоресцентных зондов.
3,5-Диарилзамещенные 5-гидрокси-1,5-дигидро-2Н-пиррол-2-оны могут быть получены из 3-цианокетонов циклизацией в смеси KOH/DMSO (схема 22.20) [1056].
Последующая модификация лактамов осуществляется посредством термически индуцированной реакции SEAr с анилином или фенолом без растворителя, что позволяет ввести третий арильный заместитель в этот гетероциклический каркас, что кажется привлекательным для создания разнообразных библиотек для открытия лекарств (схема 22.21) [1056].
3,5-Диарил/гетероарил-4-бензилзамещенные α,β-ненасыщенные γ-гидрокси бутиролактамы, которые представляют значительный интерес для синтетической органической и медицинской химии, могут быть получены конденсацией β-цианокетонов с гет(арил)альдегидами в основных условиях (схема 22.22) [1057].
3,5-Диарилзамещенный 5-гидрокси-1,5- дигидро-2H-пиррол-2-он, который, как было показано ранее в нашей лаборатории, вступает в реакцию Фриделя–Крафтса с анилинами и фенолами, также может быть функционализирован и индолами, что приводит к образованию 4-(индол-3-ил)бутирамидов (схема 22.23) [1058].
Внутримолекулярный вариант этой реакции позволяет получать ранее неизвестные полиядерные производные индола, структурно близкие к алкалоидам спорыньи и, следовательно, представляющие новый класс потенциальных фармакофоров. Так, конденсация Кневенагеля индол-4-карбальдегида с 2,4-диарил-4-оксобутиронитрилом приводит к образованию 4-((1H-индол-4-ил)метил)-5-гидрокси-3,5-диарил-1,5-дигидро-2H-пиррол-2-она, который при дальнейшем нагревании циклизуется с образованием 7,9a-диарил-2,6,9,9a-тетрагидро-8H-индоло[7,6,5-CD]индол-8-она (схема 22.24) [1059].
Изокриптолепиновый алкалоид и его синтетические аналоги с высокой противораковой активностью могут быть получены путем трехкомпонентного синтеза в условиях полифосфорной кислоты (PPA) (схема 22.25) [1060]. Данный процесс включает электрофильную активацию нитроалканов для образования связей C–C и C–N. Это позволяет исключить ненужные операции и все этапы проводить как one-pot процесс.
Реакция 2-(2-аминофенил)индола с нитростиролом в среде ПФК неожиданно дает аналогичные 11H-индоло [3,2-c]хинолины (схема 22.26) [1061]. Кроме того, тот же продукт может быть получен примерно с тем же выходом, исходя из гидразона или фенилгидразина и 2-аминоацетофенона с нитростиролом. Промежуточный индол образуется in situ посредством реакции индолизации Фишера. В среде ПФК нитроалканы будут присутствовать в фосфорилированной аци-форме с высокоэлектрофильной связью C=N. Протекает внутримолекулярная реакция N-Nef с участием фосфорилированной аци-формы.
Бензофуро[2,3-b]хинолины — соединения с перспективной противодиабетической активностью, могут быть получены, если проводить реакцию между индолом и о-метокси-нитростиролом. Первоначально реакция проводится в среде PPA с образованием хинолона, последующее добавление в реакционную смесь пиридина приводит к образованию искомого продукта (схема 22.27) [1062].
Алкалоид норнеокриптолепин, который является аналогом бензофуро – [2,3-b] хинолинов был получен при использовании 1-нитро-2- (2-нитровинил) бензола (схема 22.28) [1062]. Первоначально происходит электрофильное алкилирование индола и последующая перегруппировка в хинолин. Последующее восстановление ароматической нитрогруппы до анилиновой приводит к закрытию цикла.
При замене метокси группы на гидроксильную вместо предполагаемой перегруппировки в 2-хинолон имела место 5-экзо-триг циклизация, включающая нуклеофильную атаку фенольного гидроксила по карбонильной группе гидроксамовой кислоты. В результате этого процесса был получен бензофураноноксим, который после гидролиза преобразовывался в бензофуранон (схема 22.29) [1063].
Данное превращение также можно осуществить реакцией 3-(2-нитровинил)-1H-индола c фенолами в метансульфоновой кислоте (схема 22.30) [1063].
7-Арилзамещенные производные пауллона могут быть получены в 3 стадии. Этот каркас структурно подобен 2-(1H-индол-3-ил)ацетамидам — многообещающим противоопухолевым агентам — и, следовательно, может быть полезен для разработки нового класса противораковых препаратов. Пауллоны могут быть получены через циклизацию легкодоступных цианокетонов в кето-лактамы. Для получения желаемых кето-лактамов первоначально нами были получены соответствующие кислоты путем кипячения в HCl, с последующей стадией циклизации системой CDI/ацетонитрил (схема 22.31) [1064].
Индолизация по Фишеру происходит в 2 этапа. Сначала 3-фенил-3,4-дигидро-1H-бензо[b]азепин-2,5-дион и фенилгидразин взаимодействовали в этаноле в присутствии уксусной кислоты. Затем к реакционной смеси добавлялась полифосфорная кислота (80% P2O5) и реакцию проводили при 70°C (схема 22.32) [1064].
Каскадная трансформация, включающая электроциклическую реакцию аци-форм (алкилиденазининовой кислоты) нитровинилиндолов, выступающих в качестве гетеротриенов при микроволновой активации, приводит к образованию β-карболинов, включая несколько натуральных продуктов, алкалоиды норхарман, гарман и эвдистомин N. Данный тип реакционной способности не был известен ранее для нитросоединений (схема 22.33) [1065].
Нитроалканы, активированные полифосфорной кислотой, могут служить эффективными электрофилами в реакциях с аминами и гидразинами, что позволяет осуществлять различные каскадные превращения, которые приводят к широкому спектру гетероциклических систем. Нуклеофильная атака электрофильно активированных нитроалканов в присутствии полифосфорной кислоты семикарбазидами или тиосемикарбазидами позволяет получить 2-амино-1,3,4-оксадиазолы и 2-амино-1,3,4-тиадиазолы (схема 22.34) [1066].
Хемоселективная нуклеофильная атака гидразидными производными α-аминокислот по нитроалканам, электрофильно активированным в присутствии полифосфорной кислоты, приводит к образованию 1,3,4-оксадиазолов, содержащих гидрофильные аминоалкильные заместители, что может облегчать растворимость этих соединений в водных средах и улучшить их биодоступность (схема 22.35) [1067].
Циклоконденсация ацилгидразидов с нитроалканами в полифосфорной кислоте приводит к образованию монозамещенных и несимметрично дизамещенных 1,3,4-оксадиазолов (схема 22.36) [1068].
Нитроалканы, активированные полифосфорной кислотой, могут быть использованы для одновременного или последовательного аннелирования двух разных гетероциклических ядер, что позволяет получить [1, 2, 4]триазоло[4,3-а]хинолины с 1,3,4-оксадиазольными заместителями (схема 22.37) [1069].
Электрофильная активация нитроалканов в присутствии полифосфорной кислоты может, по крайней мере в некоторых случаях, протекать с образованием нитрилоксидов. В присутствии PPA окиси нитрилов имеют тенденцию превращаться в гидроксамовые кислоты, но для большинства стабильных электронодефицитных диполярных частиц можно изучить типичные реакции [3+2] циклоприсоединения. Так, может происходить димеризация с образованием соответствующих 1,2,5-оксадиазол-2-оксидов (фуроксанов) (схема 22.38) [1069].
Возможна однореакторная сборка бициклического структурного ядра, включающего фуроксановый фрагмент, совмещенный с пиридазиновым кольцом. Для этого нитрокетон обрабатывали PPA в присутствии гидразингидрата (схема 22.39) [1070].
Реакция нитроалканов с 2-гидразинилхинолинами, 2-гидразинилпиридинами и бис-2,4-дигидразинилпиримидинами в полифосфорной кислоте (PPA) приводит к образованию 1,2,4-триазоло[4,3-а]хинолинов, 1,2,4 -триазоло [4,3-а]пиридинов и бис[1, 2, 4]триазоло[4,3-а:4′,3′ с]пиримидинов (схема 22.40) [1071]. Реакция расширяет возможности аннелирования с участием фосфорилированных нитронатов, которые представляют собой электрофильные промежуточные соединения, образующиеся из нитроалканов в полифосфорной кислоте.
Имидазо[1,5-а]пиридины могут быть получены циклизацией 2-пиколиламинов нитроалканами, электрофильно активированными в среде полифосфорной кислоты (схема 22.41) [1071].
Имидазолины образуются посредством реакции между нитроалканами и алифатическими 1,2-диаминами в присутствии фосфористой кислоты (схема 22.42) [1072].
Нитроалканы, активированные полифосфорной кислотой, служат эффективными электрофилами в реакциях с различными нуклеофильными аминами, что позволяет получать различные гетероциклы. Данный подход был использован для получения 3,4-дигидрохиназолинов из легкодоступных 2-(аминометил)анилинов (схема 22.43) [1073].
Разработан эффективный препаративный метод [3+2]-циклоприсоединения пиридинийилидов и 1-хлор-2-нитростиролов и получен этим методом ряд гетероциклических соединений — индолизинов и пиразоло[1,5-а]пиридинов (схема 22.44) [1074].
Раздел 22 подготовлен при финансовой поддержке Министерства науки и высшего образования Российской Федерации (FSRN-2023-0005).
23. КАФЕДРА ОРГАНИЧЕСКОЙ ХИМИИ ВОЛГОГРАДСКОГО ГОСУДАРСТВЕННОГО ТЕХНИЧЕСКОГО УНИВЕРСИТЕТА
В настоящее время в университете развивается фундаментальное научное направление на стыке органической, биоорганической и медицинской химии, которое можно охарактеризовать как “Молекулярное конструирование метаболически устойчивых и высокоактивных ингибиторов ферментов с регулируемой липофильностью каркасного лиганда для этиотропной и симптоматической терапии социально опасных заболеваний”. Это направление развивается под руководством доктор химических наук, проф. Г.М. Бутова и нового заведующего кафедрой, кандидат химических наук, доцента В.В. Бурмистрова
В ВолгГТУ с 2012 г. разработаны новые методы получения адамантилсодержащих гетероалленов и исследованы их свойства в реакциях с аминами для синтеза 1,3-дизамещенных мочевин. Это позволило получить ранее неизвестные биодоступные блокаторы растворимой эпоксидгидролазы (sEH) человека, перспективные в борьбе с воспалительными процессами и болевыми состояниями нейропатической этиологии [1075–1077]. Разработаны оригинальные и эффективные подходы к синтезу 1,3-дизамещенных мочевин и их S- и Se-содержащих производных и выполнены in vitro исследования соединений в качестве потенциальных блокаторов sEH (рис. 23.1).
В работах [1078–1082] представлены результаты по синтезу адамантилсодержащих изоцианатов и изотиоцианатов, а также мочевин, тиомочевин на их основе. Последние исследования ингибирующей активности в отношении sEH показали, что в результате проведенных нами структурных изменений мочевин удалось создать ингибиторы с пикомолярной активностью [1083].
Синтез мочевин был основан на реакциях адамантилсодержащих изоцианатов с аминами, протекающих с высокой атомарной точностью в мягких условиях (схема 23.1) [1084].
Нами также впервые предложены и получены ингибиторы нового структурного типа — бис-диадамантилдимочевины (схема 23.2) [1085, 1086].
Впоследствии экспериментально подтверждена их высокая ингибирующая активность, которая зависела от длины линкера n между мочевинными группами. Методом молекулярного докинга показана возможность связывания второй мочевинной группы с другой областью фермента (n = 4–6), которая ранее не рассматривалась [1085].
Специально для синтеза мочевин разработаны методы получения ранее неизвестных гетероалленов и аминов адамантанового (или бициклического) ряда, позволяющие установить важнейшие SAR и QSAR зависимости мочевин (рис. 23.2).
Синтез изоцианатов осуществляли по усовершенствованному однореакторному методу по реакции Курциуса из хлорангидридов карбоновых кислот и азида натрия [1087] либо из карбоновых кислот (схема 23.3) с использованием дифенилфосфорил азида (DPPA, схема 23.3) [1088], а также по реакции аминов с N,N′-карбонилдиимидазолом (CDI) [1089].
Нами выявлено (2017 г.), что при нагревании адамантилсодержащих аминов с фенилизотиоцианатом образуются соответствующие адамантилсодержащие изотиоцианаты (схема 23.4) [1090].
Установлено, что реакция протекает через образование промежуточной несимметричной тиомочевины. Реакция протекает в гомогенной среде, легко масштабируется и может быть распространена на любые другие амины с донорными заместителями, например бициклическими.
Для синтеза труднодоступных адамантилсодержащих изоцианатов и изотиоцианатов осуществлены новые одностадийные реакции алкил(арил)изо(изотио)цианатов или сложных эфиров с 1,3-дегидроадамантаном (схема 23.5) [1091]. Разработаны методы получения ряда аминов адамантанового ряда, в т.ч. труднодоступных разветвленных аминов у мостикового положения адамантильного заместителя [1092]. Мочевины, полученные из этих аминов, позволили впервые установить различия в ингибировании sEH для узловых и мостиковых положений адамантильного заместителя.
Под руководством академика РАН И.А. Новакова и доктор химических наук, проф. М.Б. Навроцкого разработаны методы синтеза аминов, содержащих каркасные фрагменты (борнильный, норборнильный и др.) с большей конформационной подвижностью, путем восстановления соответствующих оксимов высокой чистоты (≥ 99%) по реакции Швенка–Папа (схема 23.6) [1093–1097], которые использованы в синтезе ингибиторов. Такие структурные изменения в молекулах мочевин позволили впервые установить наличие энантиомерной специфичности у sEH. Так, мочевины, полученные из L-энантиомера борниламина до 14 раз более активны, чем их D аналоги. Рацематы при этом обладают средней между двумя энантиомерами активностью [1098, 1099].
Некоторые мочевины были исследованы в качестве ингибиторов sEH мышей и крыс. Впервые показаны различия в связывании с человеческой (hsEH), мышиной (msEH) и крысиной (rsEH) растворимыми эпоксидгидролазами. Установлено, что стерическая нагруженность липофильного заместителя оказывает более сильное влияние на связывание с msEH, чем с другими sEH, по этой причине следует относиться к полученным результатам для грызунов с большей осторожностью при оценке влияния на hsEH [1080].
В результате выполнения работ открыты и изучены новые оригинальные методы синтеза изоцианатов, изотиоцианатов и изоселеноцианатов, содержащие каркасные фрагменты. На основе полученных гетероалленов разработаны методы и осуществлен синтез 1,3-дизамещенных мочевин, тиомочевин, а также их циклических аналогов — имидазолидин-2,4,5-дионов, пиримидин-2,4,6-трионов и гидантоинов. Полученные соединения проявляют ингибирующую активность в отношении растворимой эпоксидгидролазы человека в наномолярных концентрациях.
Работа выполнена при финансовой поддержке Российского научного фонда (РНФ) по проектам 16-13-00100, 19-73-10002, 21-73-20123 и 22-13-20062; Российского фонда фундаментальных исследований (РФФИ) по проектам №№ 20-03-00298-А, 18-43-343002-р_мол_а, 16-43-340116-р_а, 16-33-00172-мол_а, 12-03-33044-мол_а_вед; Министерства образования и науки РФ в рамках базовой части государственного задания на 2017-2019 гг. № 4.7491.2017/БЧ.
24. КЛЮЧЕВЫЕ ДОСТИЖЕНИЯ, ОСНОВНЫЕ ФУНДАМЕНТАЛЬНЫЕ И ПРИКЛАДНЫЕ НАУЧНЫЕ РЕЗУЛЬТАТЫ КАФЕДРЫ ОРГАНИЧЕСКОЙ ХИМИИ ВОРОНЕЖСКОГО ГОСУДАРСТВЕННОГО УНИВЕРСИТЕТА С 2018 ПО 2023 Г.
К 100-летию кафедры органической химии
Основным направлением фундаментальных научных исследований, проводимых на кафедре органической химии Воронежского государственного университета, возглавляемой доктор химических наук, проф. Х.С. Шихалиевым, является разработка высокоселективных методов синтеза и исследование функциональных производных моно- и полиядерных N,O,S-содержащих гетероциклических соединений с широким спектром практически полезных свойств, включая разнообразную биологическую активность, ингибирующее действие в отношении коррозии цветных и черных металлов, люминесцентные, поверхностно-активные свойства. В рамках данного направления разработаны новые типы каскадных реакций, включающих однореакторную комбинацию 2–4 процессов, в том числе в мультикомпонентных вариантах; предложены новые примеры процессов рециклизации циклических производных карбоновых кислот; изучена серия перегруппировок.
Циклические имиды непредельных дикарбоновых кислот являются универсальными субстратами для синтеза разнообразных гетероциклических соединений, в том числе при поиске новых фармпрепаратов. В этом направлении ведут научные исследования кандидат химических наук, доц. Ю.А. Ковыгин, кандидат химических наук, доц. А.В. Зорина, кандидат химических наук, доц. Н.В. Столповская и асс. А.Л. Сабынин. Были изучены реакции тиоацетамида с N-арилмалеимидами в различных условиях (cхема 24.1).
Установлено, что 3,3′-тиобис(1-арилпирролидин-2,5-дионы) 3 являются мажорными продуктами при кипячении исходных реагентов в уксусной кислоте. При выдерживании тиоацетамида и N-арилмалеимида в диоксане при 50°C образуются эпитиопирроло[3,4-c]пиридины 1, от которых при нагревании отщепляется сероводород, приводя к пирроло[3,4-c]пиридинам 2 [1100].
Для синтетических аналогов малеимидов — итаконимидов — исследован ряд тандемных превращений при взаимодействии с различными 1,3-N,N- и 1,3-С,N-бинуклеофилами (схема 24.2), приводящих, соответственно, к формированию гидропиримидиновых 4–5 и гидропиридиновых 6–7 циклов [1101, 1002].
Традиционное направление исследований, связанное с функционализацией 2,2,4-триметил-1,2-дигидрохинолинов 8 и 2,2,4-триметил-1,2,3,4-тетрагидрохинолинов 9, развивается кандидат химических наук, доц. С.М. Медведевой, доктор химических наук, доц. А.Ю. Потаповым. Оно также лежало в основе диссертации на соискание степени кандидата химических наук преп. Н.П. Новичихиной. Среди функционально замещенных 2,2,4-триметилгидрохинолинов обнаружены вещества, обладающие нейропротекторным, антиоксидантным, гепатопротекторным и росторегулирующим действием. Особенно крупные успехи связаны с синтезом и трансформациями трициклических систем на основе 2,2,4-триметилгидрохинолинов 10–24 (схема 24.3), которые были представлены в изданной в 2023 г. монографии [1103].
Среди вновь синтезированных замещенных 2,3-дитиоло[5,4-c]хинолин-1-тионов 10 и (1,2-дитиоло[3,4-c]хинолин-1-илиден)ариламинов 11 найдены ингибиторы протеинкиназ, соединения с антибактериальной, противогрибковой, противовоспалительной и противовирусной (SARS-CoV-2 дикого типа) активностью [1105-1105]. Впервые были получены и комплексно исследованы различные производные пирано[3,2-g]хинолин-2-онов 12–13. Наиболее широко проводились исследования превращений пирроло[3,2,1-ij]хинолин-1,2-дионов 14 и их гидрированных аналогов 15. Осуществлены реакции окислительной рециклизации и дециклизации этих соединений, приводящие к образованию 1,3-оксазино[5,4,3-ij]хинолин-1,3-дионов 16 и 17 и (гидрохинолин-8-ил)-3,4-дигидро-1,2,4-триазинов 18 и 19 соответственно. Кроме того, для них проведены реакции с сохранением пиррольного цикла. В ряду полученных при этом соединений 20–24 найдены эффективные ингибиторы факторов свертывания крови Xa, XIa, XIIa [1103, 1106].
Актуальными являются исследования реакций гетероциклизации с участием полинуклеофильных реагентов: бигуанидинов, амидинотиомочевины, 3-амино-1,2,4-триазолов, 1,2-диаминоимидазолов, 2-амино-1,3,5-триазинов и др., являющихся предметом исследований кандидат химических наук, доц. Д.Ю. Вандышева, доктор химических наук, доц. А.Ю. Потапова, доктор химических наук, проф. М.Ю. Крысина, кандидат химических наук, н.с. А.А. Кружилина и кандидат химических наук, доц. Н.В. Столповской. Так, разработан общий диастереоселективный метод синтеза производных пиримидо[1,2-а][1, 3, 5]триазинов 25 (cхема 24.4) на основе реакции Биджинелли, с участием амидинотиомочевины, арилальдегидов и ацетоуксусного эфира [1107].
Показано, что 1,2-диамино-4-фенилимидазол в мультикомпонентных процессах выступает как С,N-нуклеофил, приводя к формированию имидазо[1,5-b]пиридазиновой матрицы (cхема 24.5). Трициклические системы 29 обладают люминесцентными свойствами и являются перспективными для создания на их основе биологических зондов [1108].
В последние годы сотрудниками кафедры разработана и исследована серия принципиально новых ингибиторов коррозии цветных и черных металлов в различных средах. Базовой гетероциклической матрицей в таких ингибиторах является 1,2,4-триазол (cхема 24.6). Введение в эту молекулу различных функциональных групп, включая гидрофобные длинноцепочечные алкильные группы, позволяет получать ингибиторы с заданными свойствами. Инновационным подходом в разработке эффективных ингибиторов коррозии является использование растительного сырья и синтез молекул-близнецов [1109–1111].
Изучен ряд процессов модификации эпоксидированных производных жирных кислот подсолнечного и соевого масел, получены продукты, перспективные для использования в качестве эмульгаторов, пластификаторов, компонентов смазок, биоэпоксидных смол и др. [1112, 1113].
В настоящий момент ведутся разработки в области направленного синтеза органических добавок, используемых в процессах химического и электрохимического осаждения металлов для нужд микроэлектроники [1114].
Таким образом, на кафедре органической химии Воронежского государственного университета осуществляются исследования в различных направлениях как с целью поиска веществ, обладающих биологической активностью, так и для использования в различных отраслях промышленности, начиная с нефтедобычи и заканчивая микроэлектроникой.
Работа выполнена при поддержке Министерства науки и высшего образования РФ в рамках государственного задания ВУЗам в сфере научной деятельности на 2022–2024 годы, проект № FZGU-2022-0003.
25. НАУЧНО-ИССЛЕДОВАТЕЛЬСКИЙ ИНСТИТУТ ХИМИИ АНТИОКСИДАНТОВ НОВОСИБИРСКОГО ГОСУДАРСТВЕННОГО ПЕДАГОГИЧЕСКОГО УНИВЕРСИТЕТА: 20 ЛЕТ ИСТОРИИ
В 2023 г. исполнилось 20 лет Научно-исследовательскому институту химии антиоксидантов (НИИХА), созданному в Новосибирском государственном педагогическом университете (НГПУ) по инициативе и под руководством доктор химических наук, проф. А. Е. Просенко. Основой для создания научно-исследовательского института в педагогическом вузе стала многолетняя и плодотворная работа сотрудников кафедры химии НГПУ по молекулярному дизайну и разработке промышленно-приемлемых способов синтеза термостабилизаторов полимерных материалов [1115]. Приоритетным направлением деятельности НИИХА явились прикладные разработки, направленные на развитие химии фенольных соединений и создание инновационных антиоксидантов для практического использования в различных отраслях промышленности, биологии и медицины.
Отличительной особенностью создаваемых в НИИХА антиоксидантов является бифункциональный механизм их противоокислительного действия, основанный на синергическом сочетании антирадикальной активности фенольных фрагментов с противопероксидной активностью функциональных групп, содержащих атомы серы, селена, теллура, фосфора или азота. Антиокислительная активность таких ингибиторов, в отличие от активности классических алкилфенолов, плохо поддается математическому моделированию, которое потребовало накопления значительного массива эмпирических данных о противоокислительных свойствах таких соединений с близкородственными структурами, а соответственно, и поиску эффективных подходов к их синтезу. Под руководством А.Е. Просенко были разработаны эффективные пути трансформации промышленно доступных фенолов, в первую очередь 2,6-ди-трет-бутилфенола, в галоидалкилзамещенные фенолы различного строения и далее в S, N, P-содержащие фенольные антиоксиданты соответствующих структур (схема 25.1); проведено системное исследование ингибирующей активности синтезированных соединений в отношении полимеров, минеральных масел и липидных субстратов [1116].
В последующем предложенные методики показали хорошую воспроизводимость и в синтезах производных многоатомных [1117] и изоборнилзамещенных фенолов [1118], имидазолоксидов [1119], а также при получении [1120] и модификации [1121] природных физиологически активных веществ.
Многие антиоксиданты, синтезированные в НИИХА, характеризуются не только высокой эффективностью, но и универсальностью противоокислительного действия. Так, бис-(3-(3,5-ди-трет-бутил-4-гидроксифенил)пропил)сульфид был разработан для стабилизации полимерных материалов и в этом качестве получил высокую оценку специалистов [1115, 1116], а также продемонстрировал высокую биоантиоксидантную активность in vivo и выраженные протекторные свойства в отношении свободнорадикальных патологий, включая сердечно-сосудистые и онкологические заболевания [1116], и рассматривается как перспективный агент для создания новых лекарственных средств [1122].
Другим ведущим направлением деятельности НИИХА является разработка фармакологически активных S, Se-содержащих фенольных антиоксидантов с гидрофильными свойствами, что обеспечивает их высокую биодоступность, возможность использования в виде инъекционных и инфузионных форм, в том числе в терапии острых состояний. Это обусловливает особую привлекательность таких соединений для медико-биологических исследований. S, Se-содержащие гидрофильные фенолы успешно используются при изучении редокс-чувствительных процессов в нетрансформированных и опухолевых клетках, исследовании влияния сигнальной системы Keap1/Nrf2/ARE на клеточный метаболизм и развитие свободнорадикальных патологий [1123]. Способы синтеза гидрофильных халькогенсодержащих антиоксидантов различных структур и обзор их свойств ранее представлены в исследовании [1124].
В ряду синтезированных в НИИХА водорастворимых антиоксидантов наибольшую известность получил S-[3-(3-трет-бутил-4-гидроксифенил)пропил]тиосульфат натрия (антиоксидант ТС-13), биологические эффекты которого связывают с его способностью эффективно активировать систему антиоксидант-респонсивного элемента Keap1/Nrf2/ARE. Выявленная на клеточных культурах MCF-7 противоопухолевая активность ТС-13 [1125] была подтверждена и in vivo: ТС-13 не только угнетал рост перевиваемой карциномы легких Льюис у мышей, но и усиливал терапевтическое действие доксорубицина [1126]. В исследованной дозе (30–60 мг/кг) ТС-13 сам по себе не тормозил развитие у мышей лимфолейкоза Р-388, однако существенно усиливал действие цисплатина — индекс средней продолжительности жизни экспериментальных животных при их совместном применении увеличивался до 397% против 109% при монотерапии цисплатином [1127]. В лабораторных экспериментах ТС-13 также нивелировал побочные эффекты использования цитостатиков, в частности снижал кардиотоксичность доксорубицина [1128]. ТС-13 проявлял также нейропротекторную активность при моделировании болезни Паркинсона мышей [1129] и увеличивал выживаемость лабораторных животных при туберкулезном гранулематозе [1130].
Замена атома бивалентной серы в структуре ТС-13 на атом селена приводила к снижению биологической активности [1131], в случае же соединений, содержащих в качестве гидрофильной карбоксильную группу, напротив, селенсодержащее производное оказалось более эффективным [1132]. Неоднозначное влияние селена на активность фенольных ингибиторов может быть связано как с разной активностью S, Se-содержащих групп различного строения, так и со степенью выраженности синергической составляющей. На примере 2-додецилтио(селено)метилзамещенных 5-гидрокси-2,3-дигидробензофуранов и соответствующих им бинарных композиций нами было установлено, что при окислении липидных субстратов селенсодержащие фенолы могут существенно превосходить по эффективности свои серасодержащие аналоги именно благодаря высоким синергическим эффектам [1133, 1134]. Это определяет значительный интерес коллектива НИИХА к развитию химии селенсодержащих фенольных антиоксидантов в своей будущей деятельности.
26. ОРГАНИЧЕСКАЯ ХИМИЯ В ТОЛЬЯТТИНСКОМ ГОСУДАРСТВЕННОМ УНИВЕРСИТЕТЕ. СОПРЯЖЕННЫЕ ЕНИНОНЫ И ИХ АНАЛОГИ В СИНТЕЗЕ КАРБО- И ГЕТЕРОЦИКЛИЧЕСКИХ СОЕДИНЕНИЙ
Исследования в области химии ацетиленовых соединений велись в Тольяттинском государственном университете с 1960-х годов и связаны с именем профессора Сергея Петровича Коршунова (1934–2003 гг.). С.П. Коршунов, являясь учеником И.А. Дьяконова (Ленинградский государственный университет) [1135], окончил аспирантуру под руководством Л.И. Верещагина в г. Ангарске. После защиты кандидатской диссертации с 1968 г. работал в Тольятти. До начала 90-х годов под руководством С.П. Коршунова, в научном содружестве с И.В. Бодриковым (г. Нижний Новгород), В.Д. Орловым (г. Харьков), Я.П. Страдынем (г. Рига) и другими химиками-органиками, проводились исследования в области кинетики, стереохимии и механизма AdN реакций непредельных соединений [1136–1138].
С 2010 г. научные интересы сотрудников НИЛ-13 им. С.П. Коршунова ТГУ сфокусированы на химии сопряженных енинонов и их структурных аналогов — полифункциональных соединений, обладающих реакционными центрами различной химической природы [1139–1142]. Последний фактор позволяет рассматривать сопряженные ениноны в качестве стартовых веществ в селективном синтезе карбо- и гетероциклических соединений, труднодоступных для получения альтернативными методами. Так, введение π-избыточного гетероцикла в положение 1 кросс-сопряженных енинонов понижает относительную активность связи С=С и направляет циклоконденсацию с монозамещенными гидразинами по тройной связи (схема 26.1).
Синтез 5-(гет)арилэтенилпиразолов, протекающий в мягких условиях (кипящий этанол), сопровождается образованием примесей арилгидразонов в тех случаях, когда в качестве реагентов берут арилгидразины (X = CH). На основе данной реакции разработан метод получения 1-(пиридин-2-ил)-5-стирилпиразолов — люминесцентных зондов (X = N), пригодных для обнаружения и количественного определения ионов Hg2+, Pb2+, CD2+. Увеличение кислотности реакционной среды позволяет за счет протонирования кето-группы и соответствующей активации атома С-3 субстрата изменить направление взаимодействия с гидразином в сторону образования соответствующих арилгидразонов, циклизующихся при кипячении в ДМФА, что позволяет перейти к 3-(гет)арилэтенилпиразолам [1143, 1144].
Возможен синтез 4,5-дигидро-1Н-пиразолов на основе сопряженных енинонов. Простейший представитель ряда, пент-1-ен-4-ин-3-он, взаимодействует с арилгидразинами по пропеноновому фрагменту, образуя с умеренными выходами 3-этинил-4,5-дигидро-1Н-пиразолы. В более общем случае перенаправить циклоконденсацию в сторону синтеза 4,5-дигидро-1Н-пиразолов удается, вводя при тройной связи стерически затрудняющую триалкилсилильную группу. В отличие от кросс-сопряженных, линейно-сопряженные ениноны практически не реагируют с арилгидразинами, однако полученные на их основе кетонные производные пропаргиламинов являются синтетическими эквивалентами пент-2-ен-4-ин-1-онов и легко вступают в эту реакцию, давая соответствующие 5-арилэтинил-4,5-дигидро-1Н-пиразолы с высокими выходами. Разработанные методы открывают новые пути к ряду люминесцентных производных азолов (схема 26.2) [1145–1148].
В работах [1143–1148] установлены основные факторы, определяющие направления реакций сопряженных енинонов с гидразинами. Таким образом, варьирование заместителей в субстратах и реагентах, изменение кислотности среды и изменение некоторых других условий позволяет получать на основе препаративно доступных типовых стартовых соединений [1140] полизамещенные азолы, обладающие люминесцентными свойствами.
Совместно с научной группой А.В. Васильева (СПбГУ) исследовано взаимодействие линейно-сопряженных енинонов с СН-кислотами [1149–1152] (схема 26.3). Например, трехкомпонентная реакция 1,5-диарилпент-2-ен-4-ин-1-онов с малононитрилом и алкоголятами натрия в соответствующих спиртах приводит к (E,Z)-изомерам арилэтенилникотинонитрилов с примесями побочных продуктов — арилэтинилпиридинов [1150]. В ТГФ, в присутствии (i-Pr)2NLi (LDA) те же ениноны реагируют с малононитрилом по маршруту стереоселективной димеризации с образованием полизамещенных циклогексанов [1151]. Полученные производные никотинонитрила и циклогексаны обладают люминесцентными свойствами. Бензоилацетонитрил в присутствии оснований присоединяется по связи С=С енинонов, а образующиеся 1,5-дикетоны в реакции с гидразином дают 5,6-дигидро-4H-1,2-диазепины [1152].
Другим типом реакций сопряженных енинонов и их структурных аналогов, приводящих к аза-гетероциклическим соединениям, является 1,3-диполярное циклоприсоединение [1153–1155] (схема 26.4).
Реакции пент-2-ен-4-ин-1-онов с азидом калия (реакция Хьюсгена) позволяют получить с отличными выходами 1,2,3-триазольные аналоги халкона и их ацильные производные, обладающие антибактериальной активностью в отношении Staphylococcus aureus [1152]. Кроме того, на основе данных халконов могут быть получены люминесцентные 1,2,3-триазольные производные никотинонитрила [1153]. Линейно-сопряженные енины (кетоны, дикарбоновые кислоты и производные кислоты Мельдрума) взаимодействуют с диазометаном по двойной связи с образованием пиразолинов либо циклопропанов. Структура продуктов зависит от числа акцепторных групп в субстрате: кетоны образуют 2-пиразолины, эфиры пропаргилиденмалоновых кислот — 1-пиразолины, а ениновые производные кислоты Мельдрума — 5,7-диоксаспиро[2.5]октан-4,8-дионы [1154].
27. ПОЛИМЕРНАЯ ХИМИЯ В КАБАРДИНО-БАЛКАРСКОМ ГОСУДАРСТВЕННОМ УНИВЕРСИТЕТЕ ИМ. Х.М. БЕРБЕКОВА. СОВРЕМЕНННЫЕ ТЕНДЕНЦИИ
Центр прогрессивных материалов и аддитивных технологий (ЦПМАТ) при Кабардино-Балкарском государственном университете (КБГУ) берет начало с 60–70-х годов XX века, когда в КБГУ одним из ведущих ученых нашей страны в области науки о полимерах профессором А.К. Микитаевым (1942–2017 гг.) были созданы отраслевая лаборатория “Термостойкие полимеры в электронной технике”, НИИ высокомолекулярных соединений и ОКТБ “Марс”. На базе этих структур в 2008 году был сформирован научно-образовательный центр “Полимеры и композиты” (НОЦ) Кабардино-Балкарского государственного университета. В 2014 году на базе НОЦ совместно с Фондом перспективных исследований создана Лаборатория прогрессивных полимеров, преобразованная в 2017 году в научно-исследовательский Центр прогрессивных материалов и аддитивных технологий (ЦПМАТ), который возглавила доктор химических наук, профессор С.Ю. Хаширова.
Работа центра направлена на обеспечение технологического суверенитета страны в области стратегически важных полимерных материалов. К выполнению научных работ на сегодняшний день привлечено 27 высококвалифицированных молодых специалистов в области материаловедения полимерных материалов и аддитивных технологий (из них 3 доктора, 20 кандидатов химических и технических наук по специальности “Высокомолекулярные соединения”).
В сферу научных интересов Центра входит шесть основных направлений: синтез и исследование свойств новых мономеров, олигомеров и полимеров на их основе; синтез конструкционных и суперконструкционных полимеров (полиэфиркетонов, полиэфирсульфонов, полиимидов, полифениленсульфида), а также композитов на их основе; разработка связующих, пластификаторов, аппретов, функциональных композитных материалов; разработка и совершенствование технологий 3D-печати полимерных материалов; аддитивное изготовление из конструкционных и суперконструкционных полимеров изделий для авиационно-космической отрасли, оборонно-промышленных предприятий и медицины; синтез и исследование полимеров медицинского назначения (полиэлектролитов, биосовместимых полимеров).
В настоящее время в ЦПМАТ рботают следующие специализированные лаборатории: синтеза полимеров; полимеров специального назначения; функциональных полимеров; биомедицинских полимеров; полимерных композиционных материалов; структурных и термических исследований; физико-химии полимеров; хроматографических исследований; реологии полимеров; огнестойкости полимеров; аддитивных технологий и моделирования; аддитивного производства персонализированных имплантатов.
В Центре проводится полный инновационный цикл разработок: от синтеза полимера и создания композиционного материала до переработки их в изделие экструзией, литьем, 3D-печатью, фрезерованием, прессованием — и комплексных испытаний на эксплуатационные свойства. В 2023 году открыто новое направление исследований по развитию технологии создания объемных моделей на клеточной основе с использованием 3D-печати и создана оборудованная лаборатория 3D-биопринтинга.
В Центре функционируют более 10 3D принтеров (рис. 27.1), основанных на различных методах печати (FDM, SLS, SLA). Впервые в РФ разработан 3D-принтер для лазерного спекания суперконструкционных полимеров, который успешно прошел испытания для спекания полиэфирэфиркетонов совместно с АО “Композит”.
Центр оснащен участком опытно-промышленного производства (рис. 27.2), в котором расположено оборудование полупромышленного назначения для синтеза и переработки полимеров и композитов. Осуществляется мелкосерийное производство ПЭЭК.
В частности, совместно с коллегами из СПбПУ разработаны рецептуры полиэфирэфиркетона (ПЭЭК) с повышенными трибологическими свойствами [1156].
С коллегами из ИНХС РАН впервые разработаны и исследованы высокопроницаемые ультрафильтрационные половолоконных мембраны на основе полисульфонов различной структуры, синтезируемых в ЦПМАТ [1157]. Их проницаемость по азоту в 9.5 раз превосходит соответствующее значение для мембран из коммерческого ПСФ Ultrason S 6010 [1158], в 7 раз выше селективности по паре газов Н2/СН4 по сравнению с мембранами, полученными из импортного ПФСФ Ultrason®. Показана перспективность новых отечественных полимеров в качестве мембранного материала для выделения водорода и гелия [1159, 1160].
Совместно с коллегами из ФИЦ ПХФ и МХ РАН проведен анализ цитотоксичности 3D-изделий из образцов ПЭЭК, синтезированных в КБГУ и модифицированных различными физическими и химическими способами. Показано отсутствие цитотоксичности и рост клеток для исследованных образцов ПЭЭК. Успешно проведены доклинические исследования имплантатов, напечатанных из ПЭЭК КБГУ. Впервые получен ТУ на медицинский ПЭЭК и паспорт биобезапасности на него.
Коллективом ЦПМАТ успешно выполнены более 10 крупных научных проектов и в настоящее время реализуется 4 проекта в области синтеза высокоэффективных полимерных материалов, разработки полимерных композиционных материалов, полимерных аддитивных технологий. В рамках проекта с Фондом перспективных исследований и 2 проектов с АО “Композит” (Роскосмос) в рамках ФЦП Министерства образования и науки РФ сформирован уникальный научно-технический задел в области создания новых прогрессивных отечественных суперконструкционных полимеров и технологий их 3D-печати. С АО “Композит” за последние 3 года разработан ряд новых материалов для 3D-печати на основе ПЭЭК методом селективного лазерного спекания (SLS) [1161].
Разработаны новые полимер-полимерные композиты на основе сополимера этилена и винилацетата (ЭВА) и полиэтилена высокой плотности (ПЭ) для применения в 3D-печати методом FDM [1162].
По Постановлению Правительства РФ от 7 мая 2022 г. № 1130-р коллектив Центра совместно с ГК Титан является исполнителем КНТП “Нефтехимический кластер” и разрабатывает технологии создания новых катализаторов и экологически безопасных и высокоэффективных марок полиэтилентерефталата и композитов на его основе. За 1.5 года выполнения проекта разработаны новые комплексные катализаторы на основе титансодержащих хелатных соединений и слоистых силикатов [1163, 1164]. Выявлены закономерности синтеза полиэтилентерефталата и его сополимеров с использованием новых разработанных титановых катализаторов. Впервые удалось решить проблему желтизны при применении титановых катализаторов и синтезировать ряд полиэтилентерефталатов пленочного и волоконного назначения. Показано, что новые титановые катализаторы в пять раз эффективнее сурьмяных, что дает широкие возможности для регулирования марочного ассортимента полимерных материалов на основе ПЭТФ.
Разработан новый способ и устройство для исследования барьерных свойств полимерных пленок, позволяющее обеспечить возможность оценки газопроницаемости пленок одновременно по трем газам в широком временном интервале (от 1 до 24 ч в зависимости от качества пленки), а также уменьшить погрешность исследований при использовании метода газовой хроматографии [1165].
За последние 5 лет сотрудники Центра опубликовали более 100 работ в высокорейтинговых журналах, получили более 150 патентов РФ и “ноу-хау”, удостоены ряда наград на ведущих международных отраслевых выставках.
Коллектив Центра является организатором крупнейшей в нашей стране Международной научно-практической конференции “Новые полимерные композиционные материалы. Микитаевские чтения”, которая ежегодно собирает на свой площадке ведущих ученых и специалистов в области полимерной химии. В 2023 году в работе Конференции приняло участие более 700 человек. В рамках конференции уже второй год проходит “Полимерная школа молодых ученых”.
В дальнейших планах Центра — расширение консорциумов с научными и научно-образовательными организациями для развития, наряду со сложившимися научными направлениями, междисциплинарных тематик на стыке полимерной химии с физикой, биологией, микроэлектроникой, сельским хозяйством, информационными технологиями, а также активное участие в развитии малотоннажной химии передовых полимерных материалов для укрепления технологического суверенитета нашей страны.
КОНФЛИКТ ИНТЕРЕСОВ
Авторы заявляют об отсутствии конфликта интересов.
作者简介
I. Stoykov
Kazan (Volga Region) Federal University, Chemical Institute named after A.M. Butlerov
编辑信件的主要联系方式.
Email: ivan.stoikov@mail.ru
俄罗斯联邦, ul. Kremlevskaya, 18 Kazan, 420008
I. Antipin
Kazan (Volga Region) Federal University, Chemical Institute named after A.M. Butlerov
Email: ivan.stoikov@mail.ru
俄罗斯联邦, ul. Kremlevskaya, 18 Kazan, 420008
V. Burilov
Kazan (Volga Region) Federal University, Chemical Institute named after A.M. Butlerov
Email: ivan.stoikov@mail.ru
俄罗斯联邦, ul. Kremlevskaya, 18 Kazan, 420008
A. Kurbangalieva
Kazan (Volga Region) Federal University, Chemical Institute named after A.M. Butlerov
Email: ivan.stoikov@mail.ru
俄罗斯联邦, ul. Kremlevskaya, 18 Kazan, 420008
N. Rostovsky
St. Petersburg State University, Institute of Chemistry
Email: n.rostovskiy@spbu.ru
俄罗斯联邦, Universitetskaya nab., 7/9, St. Petersburg 199034
A. Pankova
St. Petersburg State University, Institute of Chemistry
Email: n.rostovskiy@spbu.ru
俄罗斯联邦, Universitetskaya nab., 7/9, St. Petersburg 199034
I. Balova
St. Petersburg State University, Institute of Chemistry
Email: n.rostovskiy@spbu.ru
俄罗斯联邦, Universitetskaya nab., 7/9, St. Petersburg 199034
Yu. Remizov
St. Petersburg Technological Institute (Technical University)
Email: n.rostovskiy@spbu.ru
俄罗斯联邦, Moskovsky prosp., 26, St. Petersburg, 190013
L. Pevzner
St. Petersburg Technological Institute (Technical University)
Email: n.rostovskiy@spbu.ru
俄罗斯联邦, Moskovsky prosp., 26, St. Petersburg, 190013
M. Petrov
St. Petersburg Technological Institute (Technical University)
Email: mlpetrov@lti-gti.ru
俄罗斯联邦, Moskovsky prosp., 26, St. Petersburg, 190013
A. Vasily
St. Petersburg State University, Institute of Chemistry; St. Petersburg State Forestry University
Email: aleksvasil@mail.ru
俄罗斯联邦, Universitetskaya nab., 7/9, St. Petersburg 199034; Institutsky per., 5, St. Petersburg, 194021
A. Averin
M.V. Loomonosov Moscow State University
Email: alexaveron@mail.ru
俄罗斯联邦, Leninskie Gory, 1/3, Moscow, 119991
I. Beletskaya
M.V. Loomonosov Moscow State University
Email: alexaveron@mail.ru
俄罗斯联邦, Leninskie Gory, 1/3, Moscow, 119991
V. Nenaydenko
M.V. Loomonosov Moscow State University
Email: nenajdenko@org.chem.msu.ru
俄罗斯联邦, Leninskie Gory, 1/3, Moscow, 119991
E. Beloglazkina
M.V. Loomonosov Moscow State University
Email: beloglazki@mail.ru
俄罗斯联邦, Leninskie Gory, 1/3, Moscow, 119991
S. Gromov
M.V. Loomonosov Moscow State University
Email: spgromov@mail.ru
俄罗斯联邦, Leninskie Gory, 1/3, Moscow, 119991
S. Karlov
M.V. Loomonosov Moscow State University
Email: ssk_ssk@mail.ru
俄罗斯联邦, Leninskie Gory, 1/3, Moscow, 119991
T. Magdesieva
M.V. Loomonosov Moscow State University
Email: nenajdenko@org.chem.msu.ru
俄罗斯联邦, Leninskie Gory, 1/3, Moscow, 119991
A. Prishchenko
M.V. Loomonosov Moscow State University
Email: nenajdenko@org.chem.msu.ru
俄罗斯联邦, Leninskie Gory, 1/3, Moscow, 119991
S. Popkov
Russian Chemical-Technological University named after D.I. Mendeleev
Email: popkov.s.v@muctr.ru
俄罗斯联邦, Miusskaya sq., 9, 125047, Moscow
A. Terentyev
Russian Chemical-Technological University named after D.I. Mendeleev; Institute of Organic Chemistry named after N.D. Zelinsky Russian Academy of Sciences
Email: popkov.s.v@muctr.ru
俄罗斯联邦, Miusskaya sq., 9, 125047, Moscow; Leninsky Prospekt, 47, 119991, Moscow
G. Tsaplin
Russian Chemical-Technological University named after D.I. Mendeleev
Email: popkov.s.v@muctr.ru
俄罗斯联邦, Miusskaya sq., 9, 125047, Moscow
T. Kustova
Federal State Budgetary Educational Institution of Higher Education “Ivanovo State University”
Email: kustovatp@ivanovo.ac.ru
俄罗斯联邦, ul. Ermaka, 39, Ivanovo, 153025
L. Kochetova
Federal State Budgetary Educational Institution of Higher Education “Ivanovo State University”
Email: kustovatp@ivanovo.ac.ru
俄罗斯联邦, ul. Ermaka, 39, Ivanovo, 153025
N. Magdalinova
Federal State Budgetary Educational Institution of Higher Education “Ivanovo State University”
Email: kustovatp@ivanovo.ac.ru
俄罗斯联邦, ul. Ermaka, 39, Ivanovo, 153025
E. Krasnokutskaya
Federal State Autonomous Educational Institution of Higher Education “National Research Tomsk Polytechnic University”
Email: eak@tpu.ru
俄罗斯联邦, prosp. Lenina, 30, Tomsk, 634050
A. Nyuchev
Nizhny Novgorod State University named after N.I. Lobachevsky
Email: afedorovNN@ya.ru
俄罗斯联邦, prosp. Gagarina, 23, Nizhny Novgorod, 603950
Yu. Kuznetsova
Nizhny Novgorod State University named after N.I. Lobachevsky
Email: afedorovNN@ya.ru
俄罗斯联邦, prosp. Gagarina, 23, Nizhny Novgorod, 603950
A. Fedorov
Nizhny Novgorod State University named after N.I. Lobachevsky
Email: afedorovNN@ya.ru
俄罗斯联邦, prosp. Gagarina, 23, Nizhny Novgorod, 603950
A. Egorova
Federal State Budgetary Educational Institution of Higher Education Saratov National Research State University named after N.G. Chernyshevsky
Email: yegorovaay@gmail.com
俄罗斯联邦, ul. Astrakhanskaya, 83, Saratov, 410012
V. Grinev
Federal State Budgetary Educational Institution of Higher Education Saratov National Research State University named after N.G. Chernyshevsky
Email: yegorovaay@gmail.com
俄罗斯联邦, ul. Astrakhanskaya, 83, Saratov, 410012
V. Sorokin
Federal State Budgetary Educational Institution of Higher Education Saratov National Research State University named after N.G. Chernyshevsky
Email: yegorovaay@gmail.com
俄罗斯联邦, ul. Astrakhanskaya, 83, Saratov, 410012
K. Ovchinnikov
Yaroslavl State Technical University
Email: ovchinnikovkl@ystu.ru
俄罗斯联邦, Moskovsky prosp., 88, Yaroslavl, 150023
E. Kofanov
Yaroslavl State Technical University
Email: ovchinnikovkl@ystu.ru
俄罗斯联邦, Moskovsky prosp., 88, Yaroslavl, 150023
A. Kolobov
Yaroslavl State Technical University
Email: ovchinnikovkl@ystu.ru
俄罗斯联邦, Moskovsky prosp., 88, Yaroslavl, 150023
V. Rusinov
Ural Federal University named after the first President of Russia B.N. Yeltsin Chemical-Technological Institute
Email: v.l.rusinov@urfu.ru
俄罗斯联邦, ul. Mira, 19, Ekaterinburg, 620002
G. Zyryanov
Ural Federal University named after the first President of Russia B.N. Yeltsin Chemical-Technological Institute
Email: v.l.rusinov@urfu.ru
俄罗斯联邦, ul. Mira, 19, Ekaterinburg, 620002
E. Nosov
Ural Federal University named after the first President of Russia B.N. Yeltsin Chemical-Technological Institute
Email: v.l.rusinov@urfu.ru
俄罗斯联邦, ul. Mira, 19, Ekaterinburg, 620002
V. Bakulev
Ural Federal University named after the first President of Russia B.N. Yeltsin Chemical-Technological Institute
Email: v.a.bakulev@urfu.ru
俄罗斯联邦, ul. Mira, 19, Ekaterinburg, 620002
N. Belskaya
Ural Federal University named after the first President of Russia B.N. Yeltsin Chemical-Technological Institute
Email: v.a.bakulev@urfu.ru
俄罗斯联邦, ul. Mira, 19, Ekaterinburg, 620002
T. Berezkina
Ural Federal University named after the first President of Russia B.N. Yeltsin Chemical-Technological Institute
Email: v.a.bakulev@urfu.ru
俄罗斯联邦, ul. Mira, 19, Ekaterinburg, 620002
D. Obydennov
Ural Federal University named after first President of Russia B.N. Yeltsin, Institute of Natural Sciences and Mathematics
Email: vy.sosnovskikh@urfu.ru
俄罗斯联邦, prosp. Lenina, 51, Ekaterinburg, 620000
V. Sosnovskikh
Ural Federal University named after first President of Russia B.N. Yeltsin, Institute of Natural Sciences and Mathematics
Email: vy.sosnovskikh@urfu.ru
俄罗斯联邦, prosp. Lenina, 51, Ekaterinburg, 620000
S. Bakhtin
Federal State Budgetary Educational Institution of Higher Education “Donetsk State University”
Email: bio-org-chem@mail.ru
俄罗斯联邦, Universitetskaya ul., 24, Donetsk, 283001
O. Baranova
Federal State Budgetary Educational Institution of Higher Education “Donetsk State University”
Email: bio-org-chem@mail.ru
俄罗斯联邦, Universitetskaya ul., 24, Donetsk, 283001
V. Doroshkevich
Federal State Budgetary Educational Institution of Higher Education “Donetsk State University”
Email: bio-org-chem@mail.ru
俄罗斯联邦, Universitetskaya ul., 24, Donetsk, 283001
G. Raskildina
Ufa State Petroleum Technical University
Email: nocturne@mail.ru
俄罗斯联邦, ul. Kosmonavtov, 1, Ufa, 450064
R. Sultanova
Ufa State Petroleum Technical University
Email: nocturne@mail.ru
俄罗斯联邦, ul. Kosmonavtov, 1, Ufa, 450064
S. Zlotskiy
Ufa State Petroleum Technical University
Email: nocturne@mail.ru
俄罗斯联邦, ul. Kosmonavtov, 1, Ufa, 450064
V. Dyachenko
Lugansk State Pedagogical University
Email: dyachvd@mail.ru
俄罗斯联邦, ul. Oboronnaya, 2, Lugansk, 291011
I. Dyachenko
Lugansk State Pedagogical University
Email: dyachvd@mail.ru
俄罗斯联邦, ul. Oboronnaya, 2, Lugansk, 291011
A. Fisyuk
F.M. Dostoevsky Omsk State University
Email: fisyuk@chemomsu.ru
俄罗斯联邦, prosp. Mira, 55 А, Omsk, 644077
V. Konshin
Kuban State University
Email: organotin@mail.ru
俄罗斯联邦, ul. Stavropolskaya, 149, Krasnodar, 350040
V. Dotsenko
Kuban State University
Email: victor_dotsenko_@mail.ru
俄罗斯联邦, ul. Stavropolskaya, 149, Krasnodar, 350040
E. Ivleva
Federal State Budgetary Educational Institution of Higher Education “Samara State Technical University”
Email: orgchem@samgtu.ru
俄罗斯联邦, ul. Molodogvardeyskaya, 244, Samara, 443100
A. Reznikov
Federal State Budgetary Educational Institution of Higher Education “Samara State Technical University”
Email: orgchem@samgtu.ru
俄罗斯联邦, ul. Molodogvardeyskaya, 244, Samara, 443100
Yu. Klimochkin
Federal State Budgetary Educational Institution of Higher Education “Samara State Technical University”
Email: orgchem@samgtu.ru
俄罗斯联邦, ul. Molodogvardeyskaya, 244, Samara, 443100
D. Aksenov
North Caucasus Federal University
Email: alexaks05@rambler.ru
俄罗斯联邦, ul. Pushkina, 1, Stavropol, 355017
N. Aksenov
North Caucasus Federal University
Email: alexaks05@rambler.ru
俄罗斯联邦, ul. Pushkina, 1, Stavropol, 355017
A. Aksenov
North Caucasus Federal University
Email: alexaks05@rambler.ru
俄罗斯联邦, ul. Pushkina, 1, Stavropol, 355017
V. Burmistrov
Federal State Budgetary Educational Institution of Higher Education “Volgograd State Technical University”
Email: crus_himself@mail.ru
俄罗斯联邦, Volgograd State Technical University, prosp. Lenina, 28, Volgograd, 400005
G. Butov
Volga Polytechnic Institute, Volga State Technical University
Email: crus_himself@mail.ru
俄罗斯联邦, ul. Engelsa, 42a, Volzhsky, 404121
I. Novakov
Federal State Budgetary Educational Institution of Higher Education “Volgograd State Technical University”, Volgograd State Technical University
Email: crus_himself@mail.ru
俄罗斯联邦, prosp. Lenina, 28, Volgograd, 400005
Kh. Shikhaliev
Voronezh State University
Email: shikh1961@yandex.ru
俄罗斯联邦, Universitetskaya pl., 1, Voronezh, 394018
N. Stolpovskaya
Voronezh State University
Email: shikh1961@yandex.ru
俄罗斯联邦, Universitetskaya pl., 1, Voronezh, 394018
S. Medvedev
Voronezh State University
Email: shikh1961@yandex.ru
俄罗斯联邦, Universitetskaya pl., 1, Voronezh, 394018
N. Kandalintseva
Federal State Budgetary Educational Institution of Higher Education “Novosibirsk State Pedagogical University”
Email: aquaphenol@mail.ru
俄罗斯联邦, ul. Vilyuiskaya, 28, Novosibirsk, 630126
O. Prosenko
Federal State Budgetary Educational Institution of Higher Education “Novosibirsk State Pedagogical University”; Novosibirsk Research Institute of Antioxidants
Email: aquaphenol@mail.ru
俄罗斯联邦, ul. Vilyuiskaya, 28, Novosibirsk, 630126; ul. Krasny Prospekt, 54A, Novosibirsk, 630091
E. Menshchikova
Federal State Budgetary Institution “Federal Research Center for Fundamental and Translational Medicine”
Email: aquaphenol@mail.ru
俄罗斯联邦, ul. Timakova, 2, Novosibirsk, 630060
A. Golovanov
Tolyatti State University
Email: aleksandgolovanov@yandex.ru
俄罗斯联邦, ul. Belorusskaya, 14, Togliatti, 445020
S. Khashirova
Kh.M. Berbekov Kabardino-Balkarian State University
Email: nano-ch-kompozit@rambler.ru
俄罗斯联邦, ul. Chernyshevsky, 173, Nalchik, 360004
参考
- Коновалов А.И., Антипин И.С., Бурилов В.А., Маджидов Т.И., Курбангалиева А.Р., Немтарев А.В., Соловьева С.Е., Стойков И.И., Мамедов В.А., Захарова Л.Я., Гаврилова Е.Л., Синяшин О.Г., Балова И.А., Васильев А.В., Зенкевич И.Г., Красавин М.Ю., Кузнецов М.А., Молчанов А.П., Новиков М.С., Николаев В.А., Родина Л.Л., Хлебников А.Ф., Белецкая И.П., Вацадзе С.З., Громов С.П., Зык Н.В., Лебедев А.Т., Леменовский Д.А., Петросян В.С., Ненайденко В.Г., Негребецкий В.В., Бауков Ю.И., Шмиголь Т.А., Корлюков А.А., Тихомиров А.С., Щекотихин А.Е., Травень В.Ф., Воскре-сенский Л.Г., Зубков Ф.И., Голубчиков О.А., Семейкин А.С., Березин Д.Б., Стужин П.А., Филимонов В.Д., Краснокутская Е.А., Федоров А. Ю., Нючев А.В., Орлов В.Ю., Бегунов Р.С., Русаков А.И., Колобов А.В., Кофанов Е.Р., Федотова О.В., Его-рова А.Ю., Чарушин В.Н., Чупахин О.Н., Климоч-кин Ю.Н., Осянин В.А., Резников А.Н., Фисюк А.С., Сагитуллина Г.П., Аксенов А.В., Аксенов Н.А., Грачев М.К., Масленникова В.И., Коротеев М.П., Брель А.К., Лисина С.В., Медведева С.М., Шиха-лиев Х.С., Субоч Г.А., Товбис М.С., Миронович Л.М., Иванов С.М., Курбатов С.В., Клецкий М.Е., Буров О.Н., Кобраков К.И., Кузнецов Д.Н. ЖОрХ. 2018, 54, 161–360. [Konovalov A.I., Antipin I.S., Burilov V.A., Madzhidov T.I., Kurbangalieva A.R., Nemtarev A.V., Solovieva S.E., Stoikov I.I., Mamedov V.A., Zakharova L.Y., Gavrilova E.L., Sinyashin O.G., Balova I.A., Vasilyev A.V., Zenkevich I.G., Krasavin M.Y., Kuznetsov M.A., Molchanov A.P., Novikov M.S., Nikolaev V.A., Rodina L.L., Khlebnikov A.F., Beletskaya I.P., Vatsadze S.Z., Gromov S.P., Zyk N.V., Lebedev A.T., Lemenovskii D.A., Petrosyan V.S., Nenaidenko V.G., Negrebetskii V.V., Baukov Y.I., Shmigol’ T.A., Korlyukov A.A., Tikhomirov A.S., Shchekotikhin A.E., Traven’ V.F., Voskresenskii L.G., Zubkov F.I., Golubchikov O.A., Semeikin A.S., Berezin D.B., Stuzhin P.A., Filimonov V.D., Krasnokutskaya E.A., Fedorov A.Y., Nyuchev A.V., Orlov V.Y., Begunov R.S., Rusakov A.I., Kolobov A.V., Kofanov E.R., Fedotov, O.V., Egorova A.Y., Charushin V.N., Chupakhin O.N., Klimochkin Y.N., Osyanin V.A., Reznikov A.N., Fisyuk A.S., Sagitullina G.P., Aksenov A.V., Aksenov N.A., Grachev M.K., Maslennikova V.I., Koroteev M.P., Brel’ A.K., Lisina S.V., Medvedeva S.M., Shikhaliev K.S., Suboch G.A., Tovbis M.S., Mironovich L.M., Ivanov S.M., Kurbatov S.V., Kletskii M.E., Burov O.N., Kobrakov K.I., Kuznetsov D.N. Russ. J. Org. Chem. 2018, 54, 157–371.] https://doi.org/10.1134/s107042801802001x
- Akhmedov A., Terenteva O., Subakaeva E., Zelenikhin P., Shurpik R., Shurpik D., Padnya P., Stoikov I. Pharmaceutics. 2022, 14, 2340. https://doi.org/10.3390/pharmaceutics14112340
- Terenteva O., Bikmukhametov A., Gerasimov A., Padnya P., Stoikov I. Molecules. 2022, 27, 8006. https://doi.org/10.3390/molecules27228006
- Padnya P.L., Terenteva O.S., Akhmedov A.A., Iksanova A.G., Shtyrlin N.V., Nikitina E.V., Krylova E.S., Shtyrlin Yu.G., Stoikov I.I. Bioorg. Med. Chem. 2021, 29, 115905. https://doi.org/10.1016/j.bmc.2020.115905
- Padnya P.L., Bayarashov E.E., Zueva I.V., Lushchekina S.V., Lenina O.A., Evtugyn V.G., Osin Y.N., Petrov K.A., Stoikov I.I. Bioorg. Chem. 2020, 94, 103455. https://doi.org/10.1016/j.bioorg.2019.103455
- Padnya P., Mostovaya O., Ovchinnikov D., Shiabiev I., Pysin D., Akhmedov A., Mukhametzyanov T., Lyubina A., Voloshina A., Petrov K., Stoikov I. J. Mol. Liq. 2023, 389, 122838. https://doi.org/10.1016/j.molliq.2023.122838
- Mostovaya O., Shiabiev I., Pysin D., Stanavaya A., Abashkin V., Shcharbin D., Padnya P., Stoikov I. Pharmaceutics. 2022, 14, 2748. https://doi.org/10.3390/pharmaceutics14122748
- Kulikova T., Padnya P., Shiabiev I., Rogov A., Stoikov I., Evtugyn G. Chemosensors. 2021, 9, 347. https://doi.org/10.3390/chemosensors9120347
- Kulikova T., Shamagsumova R., Rogov A., Stoikov I., Padnya P., Shiabiev I., Evtugyn G. Sensors. 2023, 23, 4761. https://doi.org/10.3390/s23104761
- Mostovaya O., Padnya P., Shiabiev I., Mukhametzyanov T., Stoikov I. Int. J. Mol. Sci. 2021, 22, 11901. https://doi.org/10.3390/ijms222111901
- Шиабиев И., Пысин Д., Падня П., Стойков И. ЖОХ. 2022, 92, 1841–1849. [Shiabiev I., Pysin D., Padnya P., Stoikov I. Russ. J. Gen. Chem. 2022, 92, 2574–2581.] https://doi.org/10.1134/S1070363222120040
- Shiabiev I., Pysin D., Akhmedov A., Babaeva O., Babaev V., Lyubina A., Voloshina A., Petrov K., Padnya P., Stoikov I. Pharmaceutics. 2023, 15, 2731. https://doi.org/10.3390/pharmaceutics15122731
- Khadieva A., Rayanov M., Shibaeva K., Piskunov A., Padnya P., Stoikov I. Molecules. 2022, 27, 3024. https://doi.org/10.3390/molecules27093024
- Padnya P.L., Khadieva A.I., Stoikov I.I. Dyes Pigments. 2023, 208, 110806. https://doi.org/10.1016/j.dyepig.2022.110806
- Khadieva A., Mostovaya O., Padnya P., Kalinin V., Grishaev D., Tumakov D., Stoikov I. Int. J. Mol. Sci. 2021, 22, 5847. https://doi.org/10.3390/ijms22115847
- Kuzin Y.I., Khadieva A.I., Padnya P.L., Khannanov A.A., Kutyreva M.P., Stoikov I.I., Evtugyn G.A. Electrochim. Acta. 2021, 375, 137985. https://doi.org/10.1016/j.electacta.2021.137985
- Kuzin Y.I., Padnya P.L., Stoikov I.I., Gorbatchuk V.V., Stoikov D.I., Khadieva A.I., Evtugyn G.A., Electrochim. Acta. 2020, 345, 136195. https://doi.org/10.1016/j.electacta.2020.136195
- Nazarova A., Yakimova L., Mostovaya O., Kulikova T., Mikhailova O., Evtugyn G., Ganeeva I., Bulatov E., Stoikov I. J. Mol. Liq. 2022, 368, 120807. https://doi.org/10.1016/j.molliq.2022.120807
- Yakimova L., Nugmanova A., Shurpik D., Padnya P., Mukhametzyanov T., Stoikov I. AIP Conf. Proc. 2022, 2390, 030098. https://doi.org/10.1063/5.0069054
- Yakimova L., Vavilova A., Shibaeva K., Sultanaev V., Mukhametzyanov T., Stoikov I. Colloid. Surface A. 2021, 611, 125897. https://doi.org/10.1016/j.colsurfa.2020.125897
- Nazarova A., Khannanov A., Boldyrev A., Yakimova L., Stoikov I. Int. J. Mol. Sci. 2021, 22, 6038. https://doi.org/10.3390/ijms22116038
- Yakimova L.S., Nugmanova A.R., Mostovaya O.A., Vavilova A.A., Shurpik D.N., Mukhametzyanov T.A., Stoikov I.I. Nanomaterials, 2020, 10, 777. https://doi.org/10.3390/nano10040777
- Зиатдинова Р.В., Назарова А.А., Якимова Л.С., Мостовая О.А., Калинин В.И., Осин Ю.Н., Стойков И.И. Изв. АH. Сер. хим. 2019, 68, 2065–2074. [Ziatdinova R.V., Nazarova A.A. Yakimova L.S., Mostovaya O.A., Kalinin V.I., Osin Y.N. Stoikov I.I. Russ. Chem. Bull. 2019, 68, 2065–2074.] https://doi.org/10.1007/s11172-019-2667-0
- Yakimova L., Padnya P., Tereshina D., Nugmanova A., Kunafina A., Osin Y., Evtugyn V., Stoikov I. J. Mol. Liq. 2019, 279, 9–17. https://doi.org/10.1016/j.molliq.2019.01.099
- Якимова Л.С., Нугманова А.Р., Евтюгин В.Г., Осин Ю.Н., Стойков И.И. Изв. АH. Сер. хим. 2019, 68, 262–269. [Yakimova L.S., Nugmanova A.R., Evtugyn V.G., Osin Y.N., Stoikov I.I. Russ. Chem. Bull. 2019, 68, 262–269.] https://doi.org/10.1007/s11172-019-2381-y
- Aleksandrova Y.I., Shurpik D.N., Nazmutdinova V.A., Mostovaya O.A., Subakaeva E.V., Sokolova E.A., Zelenikhin P.М., Stoikov I.I. Pharmaceutics. 2023, 15, 476. https://doi.org/10.3390/pharmaceutics15020476
- Shurpik D.N., Aleksandrova Y.I., Zelenikhin P.V., Subakaeva E.V., Cragg P.J., Stoikov I.I. Org. Biomol. Chem. 2020, 18, 4210–4216. https://doi.org/10.1039/D0OB00411A
- Shurpik D.N., Aleksandrova Y.I., Mostovaya O.A., Nazmutdinova V.A., Zelenikhin P.V., Subakaeva E.V., Mukhametzyanov T.A., Cragg P.J., Stoikov, I.I. Bioorg. Chem. 2021, 117, 105415. https://doi.org/10.1016/j.bioorg.2021.105415
- Shurpik D.N., Aleksandrova Y.I., Rodionov A.A., Razina E.A., Gafurov M.R., Vakhitov I.R., Evtugyn V.G., Gerasimov A.V., Kuzin Y.I., Evtugyn G.A., Cragg P.J., Stoikov I.I. Langmuir. 2021, 37, 2942–2953. https://doi.org/10.1021/acs.langmuir.0c03579
- Евтюгин Г.А., Шурпик Д.Н., Стойков И.И. Изв. АH. Сер. хим. 2020, 69, 859–874. [Evtyugin G.A., Shurpik D.N., Stoikov, I.I. Russ. Chem. Bull. 2020, 69, 859–874.] https://doi.org/10.1007/s11172-020-2843-2
- Стойков И.И., Шурпик Д.Н. ЖОХ. 2016, 86, 559–562. [Shurpik D.N., Stoikov I.I. Russ. J. Gen. Chem. 2016, 86, 752–755.] https://doi.org/10.1134/S1070363216030439
- Shurpik D.N., Sevastyanov D.A., Zelenikhin P.V., Padnya P.L., Evtugyn V.G., Osin Y.N., Stoikov I.I. Beilstein J. Nanotech. 2020, 11, 421–431. https://doi.org/10.3762/bjnano.11.33
- Khadieva A., Gorbachuk V., Shurpik D., Stoikov I. Molecules. 2019, 24, 1807. https://doi.org/10.3390/molecules24091807
- Shurpik D.N., Makhmutova L.I., Usachev K.S., Islamov D.R., Mostovaya O.A., Nazarova A.A., Kizhnyaev V.N., Stoikov I.I. Nanomaterials. 2021, 11, 947. https://doi.org/10.3390/nano11040947
- Shurpik D.N., Aleksandrova Y.I., Mostovaya O.A., Nazmutdinova V.A., Tazieva R.E., Murzakhanov F.F., Gafurov M.R., Zelenikhin P.V., Subakaeva E.V., Sokolova E.A., Gerasimov A.V., Gorodov V.V., Islamov D.R., Cragg P.J., Stoikov, I.I. Nanomaterials. 2022, 12, 1604. https://doi.org/10.3390/nano12091604
- Shamagsumova R.V., Kulikova T.N., Porfireva A.V., Shurpik D.N., Stoikov I.I., Rogov A.M., Stoikov D.I., Evtugyn G.A. J. Electroanal. Chem. 2023, 938, 117444. https://doi.org/10.1016/j.jelechem.2023.117444
- Nazarova A., Padnya P., Cragg P.J., Stoikov I. New J. Chem. 2022, 46, 2033–2037. https://doi.org/10.1039/d1nj05461a
- Nazarova A.A., Yakimova L.S., Padnya P.L., Evtugyn V.G., Osin Y.N., Cragg P.J., Stoikov I.I. New J. Chem. 2019, 43, 14450–14458. https://doi.org/10.1039/c9nj03539g
- Nazarova A.A., Padnya P.L., Gilyazeva A.I., Khannanov A.A., Evtugyn V.G., Kutyreva M.P., Klochkov V.V., Stoikov I.I. New J. Chem. 2018, 42, 19853–19863. https://doi.org/10.1039/c8nj03494j
- Nazarova A.A., Gilyazeva A.I., Padnya P.L., Khadieva A.I., Evtugyn V.G., Klochkov V.V., Stoikov I.I. AIP Conf. Proc. 2019, 2064, 5087671. https://doi.org/10.1063/1.5087671
- Filimonova D., Nazarova A., Yakimova L., Stoikov I. Nanomaterials. 2022, 12, 4266. https://doi.org/10.3390/nano12234266
- Nazarova A., Yakimova L., Filimonova D., Stoikov I. Int. J. Mol. Sci. 2022, 23, 779. https://doi.org/10.3390/ijms23020779
- Назарова А.А., Султанаев В.Р., Якимова Л.С., Стойков И.И. ЖОрХ. 2022, 58, 1–10. [Nazarova A.A., Sultanaev V.R., Yakimova L.S., Stoikov I.I. Russ. J. Org. Chem. 2022, 58, 1115–1122.] https://doi.org/10.1134/S1070428022080073
- Nazarova A.A., Shurpik D.N., Padnya P.L., Stoikov I.I. AIP Conf. Proc. 2022, 2390, 68904. https://doi.org/10.1063/5.0068904
- Nazarova A., Shurpik D., Padnya P., Mukhametzyanov T., Cragg P., Stoikov I. Int. J. Mol. Sci. 2020, 21, 7206. https://doi.org/10.3390/ijms21197206
- Nazarova A., Padnya P., Khannanov A., Khabibrakhmanova A., Zelenikhin P., Stoikov I. Int. J. Mol. Sci. 2023, 24, 8357. https://doi.org/10.3390/ijms24098357
- Sultanaev V., Yakimova L., Nazarova A., Mostovaya O., Sedov I., Davletshin D., Gilyazova E., Bulatov E., Li Z.T., Zhang D.W., Stoikov I. Int. J. Mol. Sci. 2023, 24, 7700. https://doi.org/10.3390/ijms24097700
- Nazarova A., Khannanov A., Boldyrev A., Yakimova L., Stoikov I. Int. J. Mol. Sci. 2021, 22, 6038. https://doi.org/10.3390/ijms22116038
- Nazarova A., Padnya P., Kharlamova A., Petrov K., Yusupov G., Zelenikhin P., Bukharov M., Hua B., Huang F., Stoikov I. Bioorg. Chem. 2023, 141, 106927. https://doi.org/10.1016/j.bioorg.2023.106927
- Yakimova L.S., Guralnik E.G., Shurpik D.N., Evtugyn V.G., Osin Y.N., Subakaeva E.V., Sokolova E.A., Zelenikhin P.V., Stoikov I.I. Mater. Chem. Front. 2020, 4, 2962–2970. https://doi.org/10.1039/D0QM00547A
- Yakimova L.S., Shurpik D.N., Guralnik E.G., Evtugyn V.G., Osin Y.N., Stoikov I.I. ChemNanoMat 2018, 4, 919–923. https://doi.org/10.1002/cnma.201800207
- Fatykhova A.M., Sultanova E.D., Burilov V.A., Gafiatullin B.K., Fedoseeva A.A., Veshta T.A., Ziganshin M.A., Ziganshina S.A., Evtugyn V.G., Islamov D.R., Usachev K.S., Solovieva S.E., Antipin I.S. New J. Chem. 2023, 47, 19223–19234. https://doi.org/10.1039/d3nj03403h
- Burilov V., Fatykhova A., Mironova D., Sultanova E., Nugmanov R., Artemenko A., Volodina A., Daminova A., Evtugyn V., Solovieva S., Antipin I. Molecules. 2023, 28, 261. https://doi.org/10.3390/ molecules28010
- Burilov V.A., Artemenko A.A., Garipova R.I., Amirova R.R., Fatykhova A.M., Borisova J.A., Mironova D.A., Sultanova E.D., Evtugyn V.G., Solovieva S.E., Antipin I.S. Molecules. 2022, 27, 436. https://doi.org/10.3390/molecules27082436
- Burilov V., Makarov E., Mironova D., Sultanova E., Bilyukova I., Akyol K., Evtugyn V., Islamov D., Usachev K., Mukhametzyanov T., Solovieva S., Antipin I. Int. J. Mol. Sci. 2022, 23, 14889. https://doi.org/10.3390/ijms232314889
- Makarov E., Iskhakova Z., Burilov V., Solovieva S., Antipin I. J. Incl. Phenom. Macrocycl. Chem. 2023, 103, 319–353. https://doi.org/10.1007/s10847-023-01200-6
- Mironova D., Makarov E., Bilyukova I., Akyol K., Sultanova E., Evtugyn V., Davletshin D., Gilyazova E., Bulatov E., Burilov V., Solovieva S., Antipin I. Pharmaceuticals. 2023, 16, 16663. https://doi.org/10.3390/ph16050699
- Burilov V., Valiyakhmetova A., Mironova D., Sultanova E., Evtugyn V., Osin Y., Katsyuba S., Burganov T., Solovieva S., Antipin I. New J. Chem. 2018, 42, 2942–2951. https://doi.org/10.1039/c7nj04099g
- Валияхметова А.М., Султанова Э.Д., Бурилов В.А., Соловьева С.Е., Антипин И.С. Изв. АН, Сер. хим. 2019, 5, 1067–1074. [Valiyakhmetova A.M., Sultanova E.D., Burilov V.A., Solovieva S.E., Antipin I.S., Russ. Chem. Bull. 2019, 68, 1067–1074.] https://doi.org/10.1007/s11172-019-2521-4
- Sultanova E.D., Gazalieva A.M., Makarov E.G., Belov R.N., Evtugyn V.G., Burilov V.A., Solovieva S.E., Antipin I.S. Colloid. Surface A. 2021, 630, 127642. https://doi.org/10.1016/j.colsurfa.2021.127642
- Бурилов В.А., Белов Р.Н., Соловьева С.Е., Антипин И.С. Изв. АН, Сер. хим. 2023, 72, 948–954. [Burilov V.A., Belov R.N., Solovieva S.E., Antipin I.S. Russ. Chem. Bull. 2023, 72, 948–954.] https://doi.org/10.1007/s11172-023-3858-4
- Burilov V., Garipova R., Sultanova E., Mironova D., Grigoryev I., Solovieva S., Antipin I. Nanomater. 2020, 10, 1–14. https://doi.org/10.3390/nano10061143
- Burilov V., Garipova R., Mironova D., Sultanova E., Bogdanov I., Ocherednyuk E., Evtugyn V., Osin Y., Rizvanov I., Solovieva S., Antipin I. RSC Adv. 2020, 11, 584–591. https://doi.org/10.1039/d0ra09740c
- Burilov V., Mironova D., Sultanova E., Garipova R., Evtugyn V., Solovieva S., Antipin I. Molecules. 2021, 26, 6864. https://doi.org/10.3390/molecules26226864
- Mironova D., Bogdanov I., Akhatova A., Sultanova E., Garipova R., Khannanov A., Burilov V., Solovieva S., Antipin I. Int. J. Mol. Sci. 2023, 24, 16663. https://doi.org/10.3390/ijms242316663
- Burilov V.A., Gafiatullin M.B.K., Mironova D.A., Sultanova E.D., Evtugyn V.G., Osin Y.N., Islamov D.R., Usachev K.S., Solovieva S.E., Antipin I.S. Eur. J. Org. Chem. 2020, 15, 2180–2189. https://doi.org/10.1002/ejoc.202000059
- Gafiatullin B.K., Radaev D.D., Osipova M.V., Sultanova E.D., Burilov V.A., Solovieva S.E., Antipin I.S. Macroheterocycles. 2021, 14, 171–179. https://doi.org/10.6060/mhc210439s
- Gafiatullin B.K., Paskevich I.V., Burilov V.A., Solovieva S.E., Antipin I.S. Macroheterocycles. 2022, 15, 53–58. https://doi.org/10.6060/mhc214097b
- Gafiatullin B., Akchurina A., Fedoseeva A., Sultanova E., Islamov D., Usachev K., Burilov V., Solovieva S., Antipin I. Inorganics. 2023, 11, 326. https://doi.org/10.3390/inorganics11080326
- Ogura A., Urano S., Tahara T., Nozaki S., Sibgatullina R., Vong K., Suzuki T., Dohmae N., Kurbangalieva A., Watanabe Y., Tanaka K. Chem. Commun. 2018, 54, 8693–8696. https://doi.org/10.1039/c8cc01544a
- Smirnov I., Sibgatullina R., Urano S., Tahara T., Ahmadi P., Watanabe Y., Pradipta A.R., Kurbangalieva A., Tanaka K. Small. 2020, 16, 2004831. https://doi.org/10.1002/smll.202004831
- Smirnov I., Nasibullin I., Kurbangalieva A., Tanaka K. Tetrahedron Lett. 2021, 72, 153089. https://doi.org/10.1016/j.tetlet.2021.153089
- Kurbangalieva A., Zamalieva R., Nasibullin I., Yamada K., Tanaka K. Molecules. 2022, 27, 1285. https://doi.org/10.3390/molecules27041285
- Eda S., Nasibullin I., Vong K., Kudo N. , Yoshida M. , Kurbangalieva A. , Tanaka K. Nat. Catal. 2019, 2, 780–792. https://doi.org/10.1038/s41929-019-0317-4
- Nasibullin I., Smirnov I., Ahmadi P., Vong K., Kurbangalieva A., Tanaka K. Nat. Commun. 2022, 13, 39. https://doi.org/10.1038/s41467-021-27804-5
- Pradipta A.R., Latypova L., Chulakova D., Smirnov I., Kurbangalieva A., Tanaka K. Heterocycles. 2018, 97, 668–685. https://doi.org/10.3987/REV-18-SR(T)4
- Chulakova D.R. Pradipta A.R., Lodochnikova O.A., Kuznetsov D.R., Bulygina K.S., Smirnov I.S., Usachev K.S., Latypova L.Z., Kurbangalieva A.R., Tanaka K. Chem. Asian J. 2019, 14, 4048–4054. https://doi.org/10.1002/asia.201900938
- Khabibrakhmanova A.M., Faizova R.G., Lodochnikova O.A., Zamalieva R.R., Latypova L.Z., Trizna E.Y., Porfiryev A.G., Tanaka K., Sachenkov O.A., Kayumov A.R., Kurbangalieva A.R. Molecules. 2023, 28, 2543. https://doi.org/10.3390/molecules28062543
- Хабибрахманова А.М., Раббаниева Э.С., Герасимова Д.П., Исламов Д.Р., Латыпова Л.З., Лодочникова О.А., Курбангалиева А.Р. ЖОрХ. 2022, 58, 886–896. [Khabibrakhmanova A.M., Rabbanieva E.S., Gerasimova D.P., Islamov D.R., Latypova L.Z., Lodochnikova O.A., Kurbangalieva A.R. Russ. J. Org. Chem. 2022, 58, 1160–1169.] https://doi.org/10.1134/S1070428022080127.
- Lodochnikova O.A., Latypova L.Z., Madzhidov T.I., Chmutova G.A., Voronina J.K., Gubaidullin A.T., Kurbangalieva A.R. CrystEngComm. 2019, 21, 1499–1511. https://doi.org/10.1039/c8ce01982g
- Sharafutdinov I.S., Pavlova A.S., Akhatova F.S., Khabibrakhmanova A.M., Rozhina E.V., Romanova Y.J., Fakhrullin R., Lodochnikova O.A., Kurbangalieva A.R., Bogachev M.I., Kayumov A.R. Int. J. Mol. Sci. 2019, 20, 694. https://doi.org/10.3390/ijms20030694
- Trizna E.Y., Yarullina M.N., Baidamshina D.R., Mironova A.V., Akhatova F.S., Rozhina E.V., Fakhrullin R.F., Khabibrakhmanova A.M., Kurbangalieva A.R., Bogachev M.I., Kayumov A.R. Sci. Rep. 2020, 10, 14849. https://doi.org/10.1038/s41598-020-71834-w
- Sharafutdinov I.S., Ozhegov G.D., Sabirova A.E., Novikova V.V., Lisovskaya S.A., Khabibrakhmanova A.M., Kurbangalieva A.R., Bogachev M.I., Kayumov A.R. Molecules. 2020, 25, 642. https://doi.org/10.3390/molecules25030642
- Sulaiman R., Trizna E., Kolesnikova A., Khabibrakhmanova A., Kurbangalieva A., Bogachev M., Kayumov A. Pathogens. 2023, 12, 26. https://doi.org/10.3390/pathogens12010026
- Danilkina N.A., Vasileva A.A., Balova I.A. Russ. Chem. Rev. 2020, 89, 125–171. https://doi.org/10.1070/RCR4902.
- Danilkina N., Rumyantsev A., Lyapunova A., D’yachenko A., Khlebnikov A., Balova I. Synlett. 2019, 30, 161–166. https://doi.org/10.1055/s-0037-1610352
- Danilkina N.A., Khmelevskaya E.A., Lyapunova A.G., D’yachenko A.S., Bunev A.S., Gasanov R.E., Gureev M.A., Balova I.A. Molecules. 2022, 27, 6071. https://doi.org/10.3390/molecules27186071
- Kulyashova A.E., Ponomarev A.V., Selivanov S.I., Khlebnikov A.F., Popik V.V., Balova I.A. Arab. J. Chem. 2019, 12, 151–167. https://doi.org/10.1016/j.arabjc.2018.05.005
- Lyapunova A.G., Danilkina N.A., Rumyantsev A.M., Khlebnikov A.F., Chislov M.V., Starova G.L., Sambuk E.V., Govdi A.I., Bräse S., Balova I.A. J. Org. Chem. 2018, 83, 2788–2801. https://doi.org/10.1021/acs.joc.7b03258
- Danilkina N.A., D’yachenko A.S., Govdi A.I., Khlebnikov A.F., Kornyakov I.V., Bräse S., Balova I.A. J. Org. Chem. 2020, 85, 9001–9014. https://doi.org/10.1021/acs.joc.0c00930
- Govdi A.I., Danilkina N.A., Ponomarev A.V, Balova I.A. J. Org. Chem. 2019, 84, 1925–1940. https://doi.org/10.1021/acs.joc.8b02916
- Danilkina N.A., Govdi A.I., Balova I.A. Synthesis. 2020, 52, 1874–1896. https://doi.org/10.1055/s-0039-1690858
- Efremova M.M., Govdi A.I., Frolova V.V., Rumyantsev A.M., Balova I.A. Molecules. 2021, 26, 2801. https://doi.org/10.3390/molecules26092801
- Govdi A.I., Tokareva P.V., Rumyantsev A.M., Panov M.S., Stellmacher J., Alexiev U., Danilkina N.A., Balova I.A. Molecules. 2022, 27, 3191. https://doi.org/10.3390/molecules27103191
- Danilkina N.A., Bukhtiiarova N.S., Govdi A.I., Vasileva A.A., Rumyantsev A.M., Volkov A.A., Sharaev N.I., Povolotskiy A.V., Boyarskaya I.A., Kornyakov I.V., Tokareva P.V., Balova I.A. Molecules. 2019, 24, 2386. https://doi.org/10.3390/molecules24132386
- Danilkina N.A., Andrievskaya E.V., Vasileva A.V., Lyapunova A.G., Rumyantsev A.M., Kuzmin A.A., Bessonova E.A., Balova I.A. Molecules. 2021, 26, 7460. https://doi.org/10.3390/molecules26247460
- Mikhaylov V.N., Pavlov A.O., Ogorodnov Y.V., Spiridonova D.V., Sorokoumov V.N., Balova I.A. Chem. Heterocycl. Compd. 2020, 56, 915–922. https://doi.org/10.1007/s10593-020-02750-0
- Babushkina A.A., Mikhaylov V.N., Novikov A.S., Sorokoumov V.N., Gureev M.A., Kryukova M.A., Shpakov A.O., Balova I.A. Chem. Heterocycl. Compd. 2022, 58, 432–437. https://doi.org/10.1007/s10593-022-03109-3
- Babushkina A.A., Mikhailov V.N., Ogurtsova A.D., Bunev A.S., Sorokoumov V.N., Balova I.A. Russ. Chem. Bull. 2023, 72, 1012–1022. https://doi.org/10.1007/s11172-023-3866-3
- Derkach K.V., Gureev M.A., Babushkina A.A., Mikhaylov V.N., Zakharova I.O., Bakhtyukov A.A., Sorokoumov V.N., Novikov A.S., Krasavin M., Shpakov A.O., Balova I.A. Int. J. Mol. Sci. 2023, 24, 4498. https://doi.org/10.3390/ijms24054498
- Danilkina N.A., Govdi A.I., Khlebnikov A.F., Tikhomirov A.O., Sharoyko V.V., Shtyrov A.A., Ryazantsev M.N., Bräse S., Balova I.A. J. Am. Chem. Soc. 2021, 143, 16519–16537. https://doi.org/10.1021/jacs.1c06041
- Vidyakina A.A., Shtyrov A.A., Ryazantsev M.N., Khlebnikov A.F., Kolesnikov I.E., Sharoyko V.V., Spiridonova D.V., Balova I.A., Bräse S., Danilkina N.A. Chem. — A Eur. J. 2023, 29, e202300540. https://doi.org/10.1002/chem.202300540
- Mikhaylov V., Sorokoumov V., Liakhov D., Tskhovrebov A., Balova I. Catalysts. 2018, 8, 141. https://doi.org/10.3390/catal8040141
- Tskhovrebov A.G., Novikov A.S., Odintsova O.V., Mikhaylov V.N., Sorokoumov V.N., Serebryanskaya T.V., Starova G.L. J. Organomet. Chem. 2019, 886, 71–75. https://doi.org/10.1016/j.jorganchem.2019.01.023
- Gordeychuk D.I., Sorokoumov V.N., Mikhaylov V.N., Panov M.S., Khairullina E.M., Melnik M.V., Kochemirovsky V.A., Balova I.A. Chem. Eng. Sci. 2020, 227, 115940. https://doi.org/10.1016/j.ces.2020.115940
- Mikhaylov V.N., Sorokoumov V.N., Novikov A.S., Melnik M.V., Tskhovrebov A.G., Balova I.A. J. Organomet. Chem. 2020, 912, 121174. https://doi.org/10.1016/j.jorganchem.2020.121174
- Mikhaylov V.N., Balova I.A. Russ. J. Gen. Chem. 2021, 91, 2194–2248. https://doi.org/10.1134/S1070363221110098
- Mikhaylov V.N., Kazakov I.V., Parfeniuk T.N., Khoroshilova O.V., Scheer M., Timoshkin A.Y., Balova I.A. Dalton Trans. 2021, 50, 2872–2879. https://doi.org/10.1039/D1DT00235J
- Gholinejad M., Shojafar M., Sansano J.M., Mikhaylov V.N., Balova I.A., Khezri R. J. Organomet. Chem. 2022, 970–971, 122359. https://doi.org/10.1016/j.jorganchem.2022.122359
- Mikhailov K.I., Galenko E.E., Galenko A.V., Novikov M.S., Ivanov A.Yu., Starova G.L., Khlebnikov A.F. J. Org. Chem. 2018, 83, 3177‒3187. https://doi.org/10.1021/acs.joc.8b00069
- Galenko E.E., Shakirova F.M., Bodunov V.A., Novikov M.S., Khlebnikov A.F. Org. Biomol. Chem. 2020, 18, 2283‒2296. https://doi.org/10.1039/D0OB00206B
- Sakharov P.A., Novikov M.S., Khlebnikov A.F. J. Org. Chem. 2018, 83, 8304‒8314. https://doi.org/10.1021/acs.joc.8b01004
- Zanakhov T.O., Galenko E.E., Novikov M.S., Khlebnikov A.F. J. Org. Chem. 2022, 87, 15598‒15607. https://doi.org/10.1021/acs.joc.2c02177
- Agafonova A.V., Novikov M.S., Khlebnikov A.F. Molecules. 2023, 28, 275. https://doi.org/10.3390/molecules28010275
- Zanakhov T.O., Galenko E.E., Novikov M.S., Khlebnikov A.F. J. Org. Chem. 2023, 88, 13191‒13204. https://doi.org/10.1021/acs.joc.3c01413
- Galenko E.E., Bodunov V.A., Kryukova M.A., Novikov M.S., Khlebnikov A.F. J. Org. Chem. 2021, 86, 4098‒4111. https://doi.org/10.1021/acs.joc.0c02928
- Bodunov V.A., Galenko E.E., Sakharov P.A., Novikov M.S., Khlebnikov A.F. J. Org. Chem. 2019, 84, 10388‒10401. https://doi.org/10.1021/acs.joc.9b01573
- Funt L.D., Krivolapova Yu.V., Khoroshilova O.V., Novikov M.S., Khlebnikov A.F. J. Org. Chem. 2020, 85, 4182‒4194. https://doi.org/10.1021/acs.joc.9b03367
- Efimenko N.I., Tomashenko O.A., Spiridonova D.V., Novikov M.S., Khlebnikov A.F. Org. Lett. 2021, 23, 6362‒6366. https://doi.org/10.1021/acs.orglett.1c02157
- Tomashenko O.A., Konev A.S., Khlebnikov A.F. Russ. J. Gen. Chem. 2022, 92, 2197‒2202. https://doi.org/10.1134/S1070363222100334
- Galenko E.E., Kryukova M.A., Novikov M.S., Khlebnikov A.F. J. Org. Chem. 2020, 85, 6109‒6122. https://doi.org/10.1021/acs.joc.0c00611
- Galenko E.E., Novikov M.S., Shakirova F.M., Shakirova J.R., Kornyakov I.V., Bodunov V.A., Khlebnikov A.F. J. Org. Chem. 2019, 84, 3524‒3536. https://doi.org/10.1021/acs.joc.9b00115
- Funt L.D., Novikov M.S., Khlebnikov A.F. Tetrahedron. 2020, 76, 131415. https://doi.org/10.1016/j.tet.2020.131415
- Serebryannikova A.V., Galenko E.E., Novikov M.S., Khlebnikov A.F. J. Org. Chem. 2019, 84, 15567‒15577. https://doi.org/10.1021/acs.joc.9b02536
- Galenko E.E., Ivanov V.K., Novikov M.S., Khlebnikov A.F. Tetrahedron. 2018, 74, 6288‒6298. https://doi.org/10.1016/j.tet.2018.09.015
- Bodunov V.A., Galenko E.E., Galenko A.V., Novikov M.S., Khlebnikov A.F. Synthesis. 2018, 50, 2784‒2798. https://doi.org/10.1055/s-0036-1591576
- Galenko E E., Bodunov V.A., Galenko A.V., Novikov M.S., Khlebnikov A.F. J. Org. Chem. 2017, 82, 8568‒8579. https://doi.org/10.1021/acs.joc.7b01351
- Galenko E.E., Novikov M.S., Khlebnikov A.F. J. Org. Chem. 2023, 88, 8854‒8864. https://doi.org/10.1021/acs.joc.3c00654
- Galenko E.E., Zanakhov T.O., Novikov M.S., Khlebnikov A.F. Org. Biomol. Chem. 2023, 21, 2990‒3001. https://doi.org/10.1039/D3OB00148B
- Galenko E.E., Puzyk A.M., Novikov M.S., Khlebnikov A.F. J. Org. Chem. 2022, 87, 6459‒6470. https://doi.org/10.1021/acs.joc.2c00386
- Zanakhov T.O., Galenko E.E., Novikov M.S., Khlebnikov A.F. Beilstein J. Org. Chem. 2022, 18, 738‒745. https://doi.org/10.3762/bjoc.18.74
- Galenko E.E., Kryukova M.A., Novikov M.S., Khlebnikov A.F. J. Org. Chem. 2021, 86, 6888‒6896. https://doi.org/10.1021/acs.joc.1c00286
- Serebryannikova A.V., Galenko E.E., Novikov M.S., Khlebnikov A.F. Tetrahedron. 2021, 77, 132153. https://doi.org/10.1016/j.tet.2021.132153
- Galenko E.E., Linnik S.A., Khoroshilova O.V., Novikov M.S., Khlebnikov A.F. J. Org. Chem. 2019, 84, 11275‒11285. https://doi.org/10.1021/acs.joc.9b01634
- Zanakhov T.O., Galenko E.E., Kryukova M.A., Novikov M.S., Khlebnikov A.F. Molecules. 2021, 26, 1881. https://doi.org/10.3390/molecules26071881
- Kaminskiy N.A., Galenko E.E., Kryukova M.A., Novikov M.S., Khlebnikov A.F. J. Org. Chem. 2022, 87, 10485‒10492. https://doi.org/10.1021/acs.joc.2c01102
- Funt L.D., Novikov M.S., Starova G.L., Khlebnikov A.F. Tetrahedron. 2018, 74, 2466‒2474. https://doi.org/10.1016/j.tet.2018.03.071
- Agafonova A.V., Funt L.D., Novikov M.S., Khlebnikov A.F. Org. Biomol. Chem. 2021, 19, 1976‒1984. https://doi.org/10.1039/D1OB00053E
- Funt L.D., Tomashenko O.A., Novikov M.S., Khlebnikov A.F. Synthesis. 2018, 50, 4809‒4822. https://doi.org/10.1055/s-0037-1610840
- Mosiagin I.P., Tomashenko O.A., Spiridonova D.V., Novikov M.S., Tunik S.P., Khlebnikov A.F. Beilstein J. Org. Chem. 2021, 17, 1490‒1498. https://doi.org/10.3762/bjoc.17.105
- Taishev A.E., Galenko E.E., Novikov M.S., Khlebnikov A.F. Russ. J. Gen. Chem. 2023, 93, 1246‒1260. https://doi.org/10.1134/s1070363223050250
- Krivolapova Yu.V., Tomashenko O.A., Funt L.D., Spiridonova D.V., Novikov M.S., Khlebnikov A.F. Org. Biomol. Chem. 2022, 20, 5434‒5443. https://doi.org/10.1039/D2OB00908K
- Funt L.D., Tomashenko O.A., Mosiagin I.P., Novikov M.S., Khlebnikov A.F. J. Org. Chem. 2017, 82, 7583‒7594. https://doi.org/10.1021/acs.joc.7b01341
- Agafonova A.V., Smetanin I.A., Rostovskii N.V., Khlebnikov A.F., Novikov M.S. Synthesis. 2019, 51, 4582–4589. https://doi.org/10.1055/s-0039-1690200
- Rostovskii N.V., Smetanin I.A., Agafonova A.V., Sakharov P.A., Ruvinskaya J.O., Khlebnikov A.F., Novikov M.S. Org. Biomol. Chem. 2018, 16, 3248–3257. https://doi.org/10.1039/c8ob00553b
- Agafonova A.V., Rostovskii N.V., Smetanin I.A., Starova G.L., Khlebnikov A.F., Novikov M.S. J. Org. Chem. 2018, 83, 13473–13480. https://doi.org/10.1021/acs.joc.8b02295
- Agafonova A.V., Smetanin I.A., Rostovskii N.V., Khlebnikov A.F., Novikov M.S. Org. Lett. 2021, 23, 8045–8049. https://doi.org/10.1021/acs.orglett.1c03060
- Agafonova A.V., Smetanin I.A., Rostovskii N.V., Khlebnikov A.F., Novikov M.S. Org. Chem. Front. 2018, 5, 3396–3401. https://doi.org/10.1039/C8QO00982A
- Golubev A.A., Agafonova A.V., Smetanin I.A., Rostovskii N.V., Khlebnikov A.F., Bunev A.S., Novikov M.S. J. Org. Chem. 2021, 86, 10368–10379. https://doi.org/10.1021/acs.joc.1c01070
- Agafonova A.V., Sakharov P.A., Smetanin I.A., Rostovskii N.V., Khlebnikov A.F., Novikov M.S. Org. Chem. Front. 2022, 9, 4118–4127. https://doi.org/10.1039/D2QO00783E
- Sakharov P.A., Rostovskii N.V., Khlebnikov A.F., Novikov M.S. Org. Lett. 2020, 22, 3023–3027. https://doi.org/10.1021/acs.orglett.0c00793
- Filippov I.P., Agafonova A.V., Titov G.D., Smetanin I.A., Rostovskii N.V., Khlebnikov A.F., Novikov M.S. J. Org. Chem. 2022, 87, 6514–6519. https://doi.org/10.1021/acs.joc.2c00514
- Agafonova A.V., Golubev A.A., Smetanin I.A., Khlebnikov A.F., Spiridonova D.V., Novikov M.S. Org. Lett. 2023, 25, 7165–7168. https://doi.org/10.1021/acs.orglett.3c02696
- Sakharov P.A., Rostovskii N.V., Khlebnikov A.F., Panikorovskii T.L., Novikov M.S. Org. Lett. 2019, 21, 3615–3619. https://doi.org/10.1021/acs.orglett.9b01043
- Sakharov P.A., Rostovskii N.V., Khlebnikov A.F., Khoroshilova O.V., Novikov M.S. Adv. Synth. Catal. 2019, 361, 3359–3372. https://doi.org/10.1002/adsc.201900366
- Sakharov P.A., Rostovskii N.V., Khlebnikov A.F., Novikov M.S. Molecules. 2022, 27, 5681. https://doi.org/10.3390/molecules27175681
- Ruvinskaya J.O., Rostovskii N.V., Filippov I.P., Khlebnikov A.F., Novikov M.S. Org. Biomol. Chem. 2018, 16, 38–42. https://doi.org/10.1039/C7OB02637D
- Golubev A.A., Smetanin I.A., Agafonova A.V., Rostovskii N.V., Khlebnikov A.F., Starova G.L., Novikov M.S. Org. Biomol. Chem. 2019, 17, 6821–6830. https://doi.org/10.1039/C9OB01301F
- Koronatov A.N., Rostovskii N.V., Khlebnikov A.F., Novikov M.S. Chem. Heterocycl. Compd. 2019, 55, 1185–1189. https://doi.org/10.1007/s10593-019-02599-y
- Smetanin I.A., Agafonova A.V., Rostovskii N.V., Khlebnikov A.F., Yufit D.S., Novikov M.S. Org. Chem. Front. 2020, 7, 525–530. https://doi.org/10.1039/C9QO01401B
- Koronatov A.N., Rostovskii N.V., Khlebnikov A.F., Novikov M.S. J. Org. Chem. 2018, 83, 9210–9219. https://doi.org/10.1021/acs.joc.8b01228
- Koronatov A.N., Rostovskii N.V., Khlebnikov A.F., Novikov M.S. Org. Lett. 2020, 22, 7958–7963. https://doi.org/10.1021/acs.orglett.0c02893
- Strelnikova J.O., Rostovskii N.V., Khoroshilova O.V., Khlebnikov A.F., Novikov M.S. Synthesis. 2021, 53, 348–358. 10.1055/s-0040-1707278
- Strashkov D.M., Zavyalov K.V., Sakharov P.A., Smetanin I.A., Rostovskii N.V., Khlebnikov A.F., Novikov M.S. Org. Chem. Front. 2023, 10, 506–513. https://doi.org/10.1039/D2QO01759H
- Vasilchenko D.S., Agafonova A.V., Simdianov I.V., Koronatov A.N., Sakharov P.A., Romanenko I.A., Rostovskii N.V., Khlebnikov A.F., Novikov M.S. Tetrahedron Lett. 2023, 123, 154580. https://doi.org/10.1016/j.tetlet.2023.154580
- Koronatov A.N., Afanaseva K.K., Sakharov P.A., Rostovskii N.V., Khlebnikov A.F., Novikov M.S. Org. Chem. Front. 2021, 8, 1474–1481. https://doi.org/10.1039/D0QO01571G
- Strelnikova J.O., Rostovskii N.V., Starova G.L., Khlebnikov A.F., Novikov M.S. J. Org. Chem. 2018, 83, 11232–11244. https://doi.org/10.1021/acs.joc.8b01809
- Strelnikova J.O., Koronatov A.N., Rostovskii N.V., Khlebnikov A.F., Khoroshilova O.V., Kryukova M.A., Novikov M.S. Org. Lett. 2021, 23, 4173–4178. https://doi.org/10.1021/acs.orglett.1c01092
- Khlebnikov A.F., Novikov M.S., Rostovskii N.V. Tetrahedron. 2019, 75, 2555–2624. https://doi.org/10.1016/j.tet.2019.03.040
- Rostovskii N.V., Novikov M.S., Khlebnikov A.F. Organics. 2021, 2, 313–336. https://doi.org/10.3390/org2030017
- Grishin A.V., Filippov I.P., Rostovskii N.V. Russ. J. Gen. Chem. 2024, 94, S47–S52. https://doi.org/10.1134/S107036322414007X
- Sakharov P.A., Koronatov A.N., Khlebnikov A.F., Novikov M.S., Glukharev A.G., Rogacheva E.V., Kraeva L.A., Sharoyko V.V., Tennikova T.B., Rostovskii N.V. RSC Adv. 2019, 9, 37901–37905. https://doi.org/10.1039/C9RA09345A
- Rostovskii N.V., Koronatov A.N., Sakharov P.A., Agafonova A.V., Novikov M.S., Khlebnikov A.F., Rogacheva E.V., Kraeva L.A. Org. Biomol. Chem. 2020, 18, 9448–9460. https://doi.org/10.1039/d0ob02023k
- Titov G.D., Antonychev G.I., Novikov M.S., Khlebnikov A.F., Rogacheva E.V., Kraeva L.A., Rostovskii N.V. Org. Lett. 2023, 25, 2707−2712. https://doi.org/10.1021/acs.orglett.3c00823
- Sakharov P.А., Novikov M.S., Rostovskii N.V. Chem. Heterocycl. Compd. 2021, 57, 512–521. https://doi.org/10.1007/s10593-021-02934-2
- Zakharov T.N., Sakharov P.A., Novikov M.S., Khlebnikov A.F., Rostovskii N.V. Molecules. 2023, 28, 4315. https://doi.org/10.3390/molecules28114315
- Nguyen T.K., Titov G.D., Khoroshilova O.V., Kinzhalov M.A., Rostovskii N.V. Org. Biomol. Chem. 2020, 18, 4971–4982. https://doi.org/10.1039/D0OB00693A
- Shcherbakov N.V., Titov G.D., Chikunova E.I., Filippov I.P., Rostovskii N.V., Kukushkin V.Y., Dubovtsev A.Y. Org. Chem. Front. 2022, 9, 5133–5140. https://doi.org/10.1039/d2qo01105k
- Sakharov P.A., Novikov M.S., Nguyen T.K., Kinzhalov M.A., Khlebnikov A.F., Rostovskii N.V. ACS Omega 2022, 7, 9071–9079. https://doi.org/10.1021/acsomega.2c00367
- Filippov I.P., Novikov M.S., Khlebnikov A.F., Rostovskii N.V. J. Org. Chem. 2022, 87, 8835–8840. https://doi.org/10.1021/acs.joc.2c00977
- Filippov I.P., Novikov M.S., Khlebnikov A.F., Rostovskii N.V. Eur. J. Org. Chem. 2020, 2020, 3688−3698. https://doi.org/10.1002/ejoc.202000210
- Filippov I.P., Titov G.D., Rostovskii N.V. Synthesis. 2020, 52, 3564–3576. https://doi.org/10.1055/s-0040-1707254
- Tiuftiakov N.Y., Strelnikova J.O., Filippov I.P., Khaidarov A.R., Khlebnikov A.F., Bunev A.S., Novikov M.S., Rostovskii N.V. Org. Lett. 2021, 23, 6998–7002. https://doi.org/10.1021/acs.orglett.1c02706
- Vasilchenko D.S., Novikov M.S., Rostovskii N.V. Chem. Heterocycl. Compd. 2023, 59, 666–671. https://doi.org/10.1007/s10593-023-03252-5
- Filatov A.S., Knyazev N.A., Ryazantsev M.N., Suslonov V.V., Larina A.G., Molchanov A.P., Kostikov R.R., Boitsov V.M., Stepakov A.V. Org. Chem. Front. 2018, 5, 595‒605. https://doi.org/10.1039/C7QO00888K
- Filatov A.S., Knyazev N.A., Shmakov S.V., Bogdanov A.A., Ryazantsev M.N., Shtyrov A.A., Starova G.L., Molchanov A.P., Larina A.G., Boitsov V.M., Stepakov A.V. Synthesis. 2019, 51, 713‒729. https://doi.org/10.1055/s-0037-1611059
- Filatov A.S., Wang S., Khoroshilova O.V., Lozovskiy S.V., Larina A.G., Boitsov V.M., Stepakov A.V. J. Org. Chem. 2019, 84, 7017‒7036. https://doi.org/10.1021/acs.joc.9b00753
- Wang S., Filatov A.S., Lozovskiy S.V., Shmakov S.V., Khoroshilova O.V., Larina A.G., Selivanov S.I., Boitsov V.M., Stepakov A.V. Synthesis. 2021, 53, 2114‒2132. https://doi.org/10.1055/a-1360-9716
- Filatov A.S., Selivanov S.I., Shmakov S.V., Larina A.G., Boitsov V.M., Stepakov A.V. Synthesis. 2022, 54, 1803‒1816. https://doi.org/10.1055/a-1700-3115
- Filatov A.S., Pronina Yu.A., Selivanov S.I., Shmakov S.V., Uspenski A.A., Boitsov V.M., Stepakov A.V. Int. J. Mol. Sci. 2022, 23, 13202. https://doi.org/10.3390/ijms232113202
- Filatov A.S., Khoroshilova O.V., Larina A.G., Boitsov V.M., Stepakov A.V. Beilstein J. Org. Chem. 2022, 18, 769‒780. https://doi.org/10.3762/bjoc.18.77
- Knyazev N.A., Shmakov S.V., Pechkovskaya S.A., Filatov A.S., Stepakov A.V., Boitsov V.M., Filatova N.A. Int. J. Mol. Sci. 2021, 22, 8264. https://doi.org/10.3390/ijms22158264
- Latypova D. K., Shmakov S.V., Pechkovskaya S.A., Filatov A.S., Stepakov A.V., Knyazev N.A., Boitsov V.M. Int. J. Mol. Sci. 2021, 22, 11997. https://doi.org/10.3390/ijms222111997
- Shmakov S.V., Latypova D.K., Shmakova T.V., Rubinshtein A.A., Chukin M.V., Zhuravskii S.G., Knyazev N.A., Stepakov A.V., Galagudza M.M., Boitsov V.M. Int. J. Mol. Sci. 2022, 23, 10759. https://doi.org/0.3390/ijms231810759
- Леншмидт Л.В., Ледовская М.С., Ларина А.Г., Филатов А.С., Молчанов А.П., Костиков Р.Р., Степаков А.В. ЖОрХ. 2018, 54, 112‒125. [Lenshmidt L.V., Ledovskaya M.S., Larina A.G., Filatov A.S., Molchanov A.P., Kostikov R.R., Stepakov A.V. Russ. J. Org. Chem. 2018, 54, 112‒125.] https://doi.org/10.1134/S1070428018010116
- Леншмидт Л.В., Ледовская М.С., Ларина А.Г., Филатов А.С., Чакчир О.Б., Бойцов В.М., Успенский А.А., Степаков А.В. ЖОрХ. 2020, 56, 227‒240. [Lenshmidt L.V., Ledovskaya M.S., Larina A.G., Filatov A.S., Chakchir O.B., Uspenskii A.A., Stepakov A. V. Russ. J. Org. Chem. 2020, 56, 234‒245.] https://doi.org/10.1134/S1070428020020098
- Filatov A.S., Larina A.G., Petrov M.L., Boitsov V.M., Stepakov A.V. Synthesis. 2022, 54, 2395‒2414. https://doi.org/10.1055/a-1755-2061
- Komolova D.D., Pronina Y.A., Lozovskiy S.V., Selivanov S.I., Filatov A.S., Ponyaev A.I., Boitsov V.M., Stepakov A.V. Synthesis. 2023, 55, 4034‒4048. https://doi.org/10.1055/a-2105-2850
- Efremova M.M., Kostikov R.R., Larina A.G., Molchanov A.P. Russ. J. Org. Chem. 2017, 53, 246–250. https://doi.org/10.1134/S107042801702018X
- Dmitriev V.A., Efremova M.M., Novikov A.S., Zarubaev V.V., Slita A.V., Galochkina A.V., Starova G.L., Ivanov A.V., Molchanov A.P. Tetrahedron Lett. 2018, 59, 2327–2331. https://doi.org/10.1016/j.tetlet.2018.04.066
- Afanaseva K.K., Efremova M.M., Kuznetsova S.V., Ivanov A.V., Starova G.L., Molchanov A.P. Tetrahedron. 2018, 74, 5665–5673. https://doi.org/10.1016/j.tet.2018.07.040
- Efremova M.M., Ivanov A.V., Panikorovskii T.L., Molchanov A.P. Russ. J. Gen. Chem. 2024, 94, S53–S59. https://doi.org/10.1134/S1070363224140081
- Molchanov A.P., Efremova M.M., Kryukova M.A., Kuznetsov M.A. Beilstein J. Org. Chem. 2020, 16, 2679–2686. https://doi.org/10.3762/bjoc.16.218
- Penney A.A., Efremova M.M., Molchanov A.P., Kryukova M.A., Kudinov A.Yu., Bunev A.S., Keresten V.M., Kuznetsov M.A. ChemistrySelect. 2022, 7, e202202627. https://doi.org/10.1002/slct.202202627
- Sirotkina E.V., Efremova M.M., Novikov A.S., Zarubaev V.V., Orshanskaya I.R., Starova G.L., Kostikov R.R., Molchanov A.P. Tetrahedron. 2017, 73, 3025–3030. https://doi.org/10.1016/j.tet.2017.04.014
- Teterina P.S., Efremova M.M., Sirotkina E.V., Novikov A.S., Khoroshilova O.V., Molchanov, A.P. Tetrahedron Lett. 2019, 60, 151063. https://doi.org/10.1016/j.tetlet.2019.151063
- Karcev D.D., Efremova M.M., Molchanov A.P., Rostovskii N.V., Kryukova M.A., Bunev A.S., Khochenko D.A. Int. J. Mol. Sci. 2022, 23, 12639. https://doi.org/10.3390/ijms232012639
- Efremova M.M., Novikov A.S., Kostikov R.R., Panikorovsky T.L., Ivanov A.V., Molchanov A.P. Tetrahedron. 2018, 74, 174–183. https://doi.org/10.1016/j.tet.2017.11.056
- Efremova M.M., Makarova A.A., Novikov A.S., Kryukova M.A., Kuznetsov M.A., Molchanov A.P. Org. Biomol. Chem. 2021, 19, 9773–9784. https://doi.org/10.1039/D1OB01584B
- Molchanov A.P., Lukina V.M., Efremova M.M., Muryleva A.A., Slita A.V., Zarubaev V.V. Synth. Commun. 2020, 50, 1367–1374. https://doi.org/10.1080/00397911.2020.1738494
- Efremova M.M., Molchanov A.P., Novikov A.S., Starova G.L., Muryleva A.A., Slita A.V., Zarubaev, V.V. Tetrahedron. 2020, 76, 131104. https://doi.org/10.1016/j.tet.2020.131104
- Pankova A.S. J. Org. Chem. 2022, 87, 11121–11130. https://doi.org/10.1021/acs.joc.2c01365
- Pankova A.S., Kuznetsov M.A. Synthesis. 2017, 49, 5093–5104. https://doi.org/10.1055/s-0036-1590889
- Pankova A.S. Chem. Heterocycl. Compd. 2020, 56, 829–836. https://doi.org/10.1007/s10593-020-02739-9
- Pankova A.S., Golubev P., Molin I.A., Rostovskii N.V. Eur. J. Org. Chem. 2023, 26, e202300573. https://doi.org/10.1002/ejoc.202300573
- Pankova A.S., Cherepanova N.D., Golubev P., Kuzne-tsov M.A. Chem. Heterocycl. Compd. 2019, 55, 672–675. https://doi.org/10.1007/s10593-019-02515-4
- Shestakov A.N., Pankova A.S., Kuznetsov M.A. Chem. Heterocycl. Compd. 2017, 53, 1103–1113. https://doi.org/10.1007/s10593-017-2179-5
- Pankova A.S., Shestakov A.N., Kuznetsov M.A. Russ. Chem. Rev. 2019, 88, 594–643. https://doi.org/10.1070/RCR4855
- Yunusova S.N., Bolotin D.S., Vovk M.A., Tolstoy P.M., Kukushkin V.Y. Eur. J. Org. Chem. 2020, 2020, 6763–6769. https://doi.org/10.1002/ejoc.202001180
- Sysoeva A.A., Novikov A.S., Il’in M.V., Suslonov V.V., Bolotin D.S. Org. Biomol. Chem. 2021, 19, 7611–7620. https://doi.org/10.1039/D1OB01158H
- Sysoeva A.A., Novikov A.S., Il’in M.V., Bolotin D.S. Catal. Sci. Technol. 2023, 13, 3375–3385. https://doi.org/10.1039/D3CY00071K
- Polonnikov D.A., Il’in M.V., Safinskaya Y.V., Aliyarova I.S., Novikov A.S., Bolotin D.S. Org. Chem. Front. 2023, 10, 169–180. https://doi.org/10.1039/D2QO01648F
- Novikov A.S., Bolotin D.S. Org. Biomol. Chem. 2022, 20, 7632–7639. https://doi.org/10.1039/D2OB01415G
- Il’in M.V., Sysoeva AA., Novikov A.S., Bolotin D.S. J. Org. Chem. 2022, 87, 4569–4579. https://doi.org/10.1021/acs.joc.1c02885
- Yunusova S.N., Novikov A.S., Soldatova N.S., Vovk M.A., Bolotin D.S. RSC Adv. 2021, 11, 4574–4583. https://doi.org/10.1039/D0RA09640G
- Il’in M.V., Polonnikov D.A., Novikov A.S., Sysoeva A.A., Safinskaya Y.V., Bolotin D.S. ChemPlusChem. 2023, 88, e202300304. https://doi.org/10.1002/cplu.202300304
- Il’in M.V., Novikov A.S., Bolotin D.S. J. Org. Chem. 2022, 87, 10199–10207. https://doi.org/10.1021/acs.joc.2c01141
- Novikov A.S., Bolotin D.S. J. Org. Chem. 2023, 88, 1936–1944. https://doi.org/10.1021/acs.joc.2c00680
- Kartsova L.A., Makeeva D.V., Davankov V.A. TrAC Trends Anal. Chem. 2019, 120, 115656. https://doi.org/10.1016/j.trac.2019.115656
- Kartsova L.A., Makeeva, D.V., Kravchenko, A.V., Moskvichev, D.O., Polikarpova, D.A. TrAC Trends Anal. Chem. 2021, 134, 116110. https://doi.org/10.1016/j.trac.2020.116110
- Bessonova E.A., Kartsova L.A., Moskvichev D.O. J. Anal. Chem. 2021, 76, 1111‒1118. https://doi.org/10.1134/S1061934821100038
- Dzema D., Kartsova L., Kapizova D., Appelhans D. Chromatographia. 2017, 80, 1683–1693. https://doi.org/10.1007/s10337-017-3390-3
- Kartsova L., Moskvichev D., Bessonova E., Peshkova M. Chromatographia. 2020, 83, 1001–1008. https://doi.org/10.1007/s10337-020-03921-z
- Kartsova L.A., Solov’eva S.A., Bessonova E.A. J. Anal. Chem. 2021, 76, 1058–1064. https://doi.org/10.1134/S1061934821090057
- Solovieva S., Karnaukh M., Panchuk V., Andreev E., Kartsova L., Bessonova E., Legin A., Wang P., Wan H., Jahatspanian I., Kirsanov D. Sens. Actuators B Chem. 2019, 289, 42–47. https://doi.org/10.1016/j.snb.2019.03.072
- Kartsova L.A., Makeeva D.V., Bessonova E.A. J. Anal. Chem. 2020, 75, 1497–1513. https://doi.org/10.1134/S1061934820120084
- Bessonova E., Kartsova L., Gallyamova V. J. Sep. Sci. 2017, 40, 2304–2311. https://doi.org/10.1002/jssc. 201601394
- Kolobova E., Kartsova L., Kravchenko A., Bessonova E. Talanta. 2018, 188, 183–191. https://doi.org/10.1016/j.talanta.2018.05.057
- Бессонова Е.А., Арасланова А.Т., Лазаретова А.И., Говоров И.Е., Ситкин С.И., Карцова Л.А. ЖАХ. 2023, 78, 1002–1013. https://doi.org/10.31857/S0044450223100043
- Karpitskiy D.A., Bessonova E.A., Kartsova L.A., Tikhomirova L.I. Phytochem. Anal. 2022, 33, 869–878. https://doi.org/10.1002/pca.3135
- Karpitskiy D.A., Bessonova E.A., Shishov A.Y., Kartsova L.A. Phytochem. Anal. 2023. 35, 53–63. https://doi.org/10.1002/pca.3272
- Solov’eva S.A., Bessonova E.A., Kartsova L.A. J. Anal. Chem. 2019, 74, 570–573. https://doi.org/10.1134/S1061934819040142
- Makeeva D., Sall T., Moskvichev D., Kartsova L., Sitkin S., Vakhitov T. J. Pharm. Biomed. Anal. 2022, 213, 114663. https://doi.org/10.1016/j.jpba.2022.114663
- Polikarpova D., Makeeva D., Kartsova L., Dolgonosov A., Kolotilina N. Talanta. 2018, 188, 744–749. https://doi.org/10.1016/j.talanta.2018.05.094
- Polikarpova D., Makeeva D., Kolotilina N., Dolgonosov A., Peshkova M., Kartsova L. Electrophoresis. 2020, 41, 1031–1038. https://doi.org/10.1002/elps.201900416
- Поликарпова Д.А., Макеева Д.В., Карцова Л.А., Даванков В.А., Павлова Л.А. Аналитика и контроль. 2019, 23, 343–353. https://doi.org/10.15826/analitika.2019.23.3.006
- Kravchenko A.V., Kolobova E.A., Kechin A.A., Kartsova L.A. J. Sep. Sci. 2023, 46, 2200601. https://doi.org/10.1002/jssc.202200601
- Kravchenko A., Kolobova E., Kartsova L. Sep. Sci. Plus. 2020, 3, 102–111. https://doi.org/10.1002/sscp.201900098
- Zenkevich I.G., Nikitina D.A. Russ. J. Phys. Chem. 2021, 95, 395‒402. https://doi.org/10.1134/S003602442102028X
- Zenkevich I.G., Nikitina D.A., Derouiche A. J. Anal. Chem. 2021, 76, 493‒502. https://doi.org/10.1134/S1061934821040146
- Zenkevich I.G., Derouiche A., Nikitina D.A. J. Liquid Chromatogr. Relat. Technol. 2021, 44, 588‒598. https://doi.org/10.1080/10826076.2021.1998905
- Zenkevich I.G., Nikitina D.A., Derouiche A. Prot. Met. Phys. Chem. Surf. 2022, 58, 1156‒1163. https://doi.org/10.1134/S2070205122060223
- Zenkevich I.G., Derouiche A., Nikitina D.A. Molecules. 2023, 28, 734. https://doi.org/10.3390/molecules28020734
- Зенкевич, И.Г. Сорбционные и хроматографические процессы. 2023, 23, 479‒494. https://doi.org/10.17308/sorpchrom.2023.23/11541
- Zenkevich I.G. Russ. J. Phys. Chem. 2021, 95, 894‒901. https://doi.org/10.1134/S0036024421040294
- Zenkevich I.G. Rus. J. Phys. Chem. 2021, 95, 1358‒1371. https://doi.org/10.1134/S0036024421060315
- Zenkevich I.G., Baranov D.A. J. Anal. Chem. 2023, 78, 82‒90. https://doi.org/10.1134/S1061934823010148
- Zenkevich I.G., Pushkareva T.I. J. Anal. Chem. 2019, 74, 894‒905. https://doi.org/10.1134/S1061934819050113
- Zenkevich I.G., Pushkareva T.I. Russ. J. Gen. Chem. 2018, 88, 7‒14. https://doi.org/10.1134/S1070363218010024
- Zenkevich I.G., Pushkareva T.I. Chem. Nat. Comp. 2018, 54, 370‒372. https://doi.org/10.1007/s10600-018-2350-y
- Zenkevich I.G., Nosova V.E. Rapid Commun. Mass Spectrom. 2019, 33, 1324‒1335. https://doi.org/10.1002/rcm.8473
- Zenkevich I.G., Nosova V.E. J. Anal. Chem. 2019, 74, 1421‒1436. https://doi.org/10.1134/S1061934819140120
- Zenkevich I.G., Todua N.G., Mikaia A.I. Curr. Chromatogr. 2019, 6, 3‒14. https://doi.org/10.2174/2213240606666190709100858
- Десятова А.И., Ковалева Н.Г., Пономарев Д.А., Зенкевич И.Г. Аналитика и контроль 2019, 23, 517‒524. https://doi.org/10.15826/analitika.2019.23.4.013
- Маадади Р., Певзнер Л.M., Петров M.Л. ЖОХ. 2016, 86, 1819–1825. [Maadadi R., Pevzner L.M., Petrov M.L. Russ. J. Gen. Chem. 2016, 86, 2462–2468.] https://doi.org/10.1134/S1070363216110104
- Ремизов Ю.О., Певзнер Л.M., Петров M.Л. ЖОХ. 2018, 88, 1110–1118. [Remizov Yu. O., Revzner L.M., Petrov M.L. Russ. J. Gen. Chem. 2018, 88, 1402–1410.] https://doi.org/10.1134/S1070363218070095
- Маадади Р., Певзнер Л.М., Петров М.Л. ЖОХ. 2019, 89, 1531–1540. [Maadadi R., Pevzner L.M., Petrov, M.L. Russ. J. Gen. Chem. 2019, 89, 2027–2035.] https://doi.org/10.1134/S0044460Х1910007Х
- Дмитерко В.В., Певзнер Л.М., Петров М.Л., Поняев А.И., Завгородний В.С. ЖОХ. 2019, 89, 566–573. [Dmiterko V.V., Pevzner L.M., Petrov M.L., Zavgorodnii V.S. Russ. J. Gen. Chem. 2018, 88, 701–707.] https://doi.org/10.1134/S0044460Х19040103
- Певзнер Л.М. ЖОХ. 2021, 91, 896–908. [Revzner L.M. Russ. J. Gen. Chem. 2021, 91, 1116–1027.] https://doi.org/10.1134/S1070363221060074
- Машичев А.Г., Певзнер Л.М., Петров М.Л. ЖОХ. 2022, 92, 54–62. [Mashichev A.G., Pevzner L.M., Petrov, M.L. Russ. J. Gen. Chem. 2022, 92, 54–62.] https://doi.org/10.31857/S0044460Х22010103
- Ремизов Ю.О., Певзнер Л.М., Петров М.Л. ЖОХ. 2019, 89, 1611–1615. [Remizov Yu. O., Revzner L.M., Petrov M.L. Russ. J. Gen. Chem. 2019, 89, 2147–2150]. https://doi.org/10.1134/S0044460Х19100172
- Ремизов Ю.О., Певзнер Л.М., Петров М.Л. ЖОХ. 2019, 89, 1616–1619. [Remizov Yu. O., Revzner L.M., Petrov M.L. Russ. J. Gen. Chem. 2018, 89, 2151–2153.] https://doi.org/10.1134/S0044460Х19100184
- Певзнер Л.М., Поняев А.И. ЖОХ. 2021, 91, 556–571. [Pevzner L.M., Ponyaev A.I. Russ. J. Gen. Chem. 2021, 91, 636–649.] https://doi.org/10.31857/S0044460Х21040107
- Певзнер Л.М., Поняев А.И. ЖОХ. 2022, 92, 1387–1395. [Pevzner L.M., Ponyaev A.I. Russ. J. Gen. Chem. 2022, 92, 1637–1666.] https://doi.org/10.31857/S0044460Х22090074
- Певзнер Л.М. ЖОХ. 2021, 91, 1231–1244. [Pevzner L.M. Russ. J. Gen. Chem. 2021, 91, 1499–1511.] https://doi.org/10.31857/S0044460Х21080114
- Певзнер Л.М., Островская А.А., Петров М.Л., Степаков А.А. ЖОХ. 2022, 92, 1543–1553. [Pevzner L.M., Ostrovskaya A.A., Petrov M.L., Stepakov A.V. Russ. J. Gen. Chem. 2022, 92, 1919–1929.] https://doi.org/10.31857/S0044460Х22100079
- Певзнер Л.М., Островская А.А., Петров М.Л., Степаков А.А. ЖОХ. 2023, 93, 561–576. [Pevzner L.M., Ostrovskaya A.A., Petrov M.L., Stepakov A.V. Russ. J. Gen. Chem. 2023, 93, 827–840.] https://doi.org/10.1134/S1070363223040084
- Golushko A.A, Sandzhieva M.A., Ivanov A. Yu., Boyarskaya I.A., Khoroshilova O.A., Barkov A.Yu., Vasilyev A.V. J. Org. Chem. 2018, 83, 10142–10157. https://doi.org/10.1021/acs.joc.8b01406
- Zhelonkina Yu.V., Khoroshilova O.V., Ivanov A.Yu., Boyarskaya I.A., Pelipko V.V., Makarenko S.V., Vasilyev A.V. ChemistrySelect. 2023, 8, e2021302205. https://doi.org/10.1002/slct.202302205
- Golushko A.A., Khoroshilova O.V., Vasilyev A.V. J. Org. Chem. 2019, 84, 7495–7480. https://doi.org/10.1021/acs.joc.9b00812
- Martynov M.Yu., Iakovenko R.O., Kazakova A.N., Boyarskaya I.A., Vasilyev A.V. Org. Biomol. Chem. 2017, 15, 2541–2550. https://doi.org/10.1039/c7ob00406k
- Zerov A.V., Bulova A.A., Khoroshilova O.V., Vasilyev A.V. Org. Chem. Front. 2019, 6, 3264–3268. https://doi.org/10.1039/c9qo00822e
- Kazakova A.N., Iakovenko R.O., Boyarskaya I.A., Ivanov A. Yu., Avdontceva M.S., Zolotarev A.A., Panikorovsky T.L., Starova G.L., Nenajdenko V.G., Vasilyev A.V. Org. Chem. Front. 2017, 4, 255–265. https://doi.org/10.1039/C6QO00643D
- Sokolov V.A., Golushko A.A., Boyarskaya I.A., Vasilyev A.V. Beilst. J. Org. Chem. 2023, 19, 1460–1470. https://doi.org/10.3762/bjoc.19.105
- Shershnev I.A., Boyarskaya I.A., Vasilyev A.V. Molecules. 2022, 27, 6675. https://doi.org/10.3390/molecules27196675
- Iakovenko R.O., Kazakova A.N., Boyarskaya I.A., Gurzhiy V.V., Avdontceva M.S., Panikorovsky T.L., Muzalevskiy V.M., Nenajdenko V.G., Vasilyev A.V. Eur. J. Org. Chem. 2017, 37, 5632–5643. https://doi.org/10.1002/ejoc.201701085
- Kochurin M.A., Ismagilova A.R., Zakusilo D.N., Khoroshilova O.V., Boyarskaya I.A., Vasilyev A.V. New J. Chem. 2022, 46, 12041–12053. https://doi.org/10.1039/D2NJ01828D
- Gorbunova Y., Zakusilo D.N., Boyarskaya I.A., Vasilyev A.V. Tetrahedron. 2020, 76, 131264–131277. https://doi.org/10.1016/j.tet.2020.131264
- Lozovskiy S.V., Ivanov A.Yu., Bogachenkov A.S., Vasilyev A.V. ChemistrySelect. 2017, 2, 4505–4510. https://doi.org/10.1002/slct.201700637
- Lozovskiy S.V., Ivanov A.Yu., Vasilyev A.V. Beilst. J. Org. Chem. 2019, 15, 1491–1504. https://doi.org/10.3762/bjoc.15.151
- Lozovskiy S.V., Ivanov A.Yu., Khoroshilova O.V., Vasilyev A.V. Beilst. J. Org. Chem. 2018, 14, 2897–2906. https://doi.org/10.3762/bjoc.14.268
- Mammeri O.A., Baranov I.M., Ivanov A.Yu., Boyarskay I.A., Vasilyev A.V. Tetrahedron. 2023, 79, 133649. https://doi.org/10.1016/j.tet.2023.133649
- Devleshova N.A., Lozovskiy S.V., Vasilyev A.V. Tetrahedron. 2019, 75, 130517–130529. https://doi.org/10.1016/j.tet.2019.130517
- Zaitceva O.A., Beneteau V., Ryabukhin D.S., Louis B., Vasilyev A.V., Pale P. ChemCatChem. 2020, 12, 326–333. https://doi.org/10.1002/cctc.201901384
- Zaitceva O.A., Louis B., Beneteau V., Pale P., Shanmugan S., Evstigneyev E.I., Vasilyev A.V. Catal. Today. 2021, 367, 111–116. https://doi.org/10.1016/j.cattod.2020.06.081
- Ignatova I.I., Khoroshilova O.V., Vasilyev A.V. Mend. Commun. 2023, 33, 27–29. https://doi.org/10.1016/j.mencom.2023.01.008
- Nursahedova S.K., Ryabukhin D.S., Muzalevskiy V.M., Iakovenko R.O., Boyarskaya I.A., Starova G.L., Nenajdenko V.G., Vasilyev A.V. Eur. J. Org. Chem. 2019, 1293–1300. https://doi.org/10.1002/ejoc.201801645
- Zerov A. V., Kazakova A.N., Boyarskaya I.A., Panikorovskii T.L., Suslonov V.V., Khoroshilova O.V., Vasilyev A.V. Molecules. 2018, 23, 3079. https://doi.org/10.3390/molecules23123079
- Nursahedova S.K., Zerov A.V., Boyarskaya I.A., Grinenko E.V., Nenajdenko V.G., Vasilyev A.V. Org. Biomol. Chem. 2019, 17, 1215–1224. https://doi.org/10.1039/c8ob02887g
- Saulnier S., Lozovskiy S.V., Golovanov A.A., Ivanov A. Yu., Vasilyev A.V. Eur. J. Org. Chem. 2017, 3635–3645. https://doi.org/10.1002/ejoc.201700423
- Aleksandrova M.I., Lozovskiy S.V., Saulnier S., Golovanov A.A., Boyarskaya I.A. Vasilyev A.V. Org. Biomol. Chem. 2018, 16, 7891–7902. https://doi.org/10.1039/c8ob01985a
- Zalivatskaya A.S., Golovanov A.A., Boyarskaya I.A., Kruykova M.A., Khoroshilova O.V., Vasilyev A.V. Eur. J. Org. Chem. 2021, 2634–2649. https://doi.org/10.1002/ejoc.202100280
- Zerov A.V., Boyarskaya I.A., Khoroshilova O.V., Lavrentieva I.N., Slita A.V., Sinegubova E.O., Zarubaev V.V., Vasilyev A.V. J. Org. Chem. 2021, 86, 1489–1504. https://doi.org/10.1021/acs.joc.0c02361
- Lisakova A.D., Ryabukhin D.S., Trifonov R.E., Ostrovskii V.A., Boyarskaya I.A., Vasilyev A.V. Synthesis. 2017, 49, 579–586. https://doi.org/10.1055/s-0036-1588884
- Zalivatskaya A.S., Ryabukhin D.S., Tarasenko M.V., Ivanov A.Yu., Boyarskaya I.A., Grinenko E.V., Osetrova L.V., Kofanov E.R., Vasilyev A.V. Beilst. J. Org. Chem. 2017, 13, 883–894. https://doi.org/10.3762/bjoc.13.89
- Kalyaev M.V., Ryabukhin D.S., Borisova M.A., Ivanov A.Yu., Boyarskaya I.A., Borovkova K.E., Nikiforova L.R., Salmova J.V., Ulyanovskii N.V., Kosyakov D.S., Vasilyev A.V. Molecules. 2022, 27, 4612. https://doi.org/10.3390/molecules27144612
- Kalyaev M.V., Ryabukhin D.S., Ivanov A.Yu., Boyarskaya I.A., Borovkova K.E., Nikiforova L.R., Salmova J.V., Taraskin A.O., Puzyk A.M., Vasilyev A.V. Chem. Heterocyclic Comp. 2023, 59, 646–656. https://doi.org/10.1007/s10593-023-03250-7
- Ryabukhin D.S., Lisakova A.D., Zalivatskaya A.S., Boyarskaya I.A., Starova G.L., Trifoniov R.E., Ostrovskii V.A., Vasilyev A.V. Tetrahedron. 2018, 74, 1838–1849. https://doi.org/10.1016/j.tet.2018.02.050
- Puzanov A.I., Ryabukhin D.S., Zalivatskaya A.S., Zakusilo D.N., Mikson D.S., Boyarskay I.A., Vasilyev A.V. Beilst. J. Org. Chem. 2021, 17, 2417–2424. https://doi.org/10.3762/bjoc.17.158
- Ryabukhin D.S., Turdakov A.N., Soldatova N.S., Kompanets M.O., Ivanov A.Yu., Boyarskaya I.A., Vasilyev A.V. Beilst. J. Org. Chem. 2019, 15, 1962–1973. https://doi.org/10.3762/bjoc.15.191
- Borisova M.A., Ryabukhin D.S., Ivanov A.Yu., Boyarskaya I.A., Spiridonova D.V., Kompanets M.O., Vasilyev A.V. Chem. Heterocyclic Comp. 2021, 57, 1007–1016. https://doi.org/10.1007/s10593-021-03015-0
- Borisova M.A., Ryabukhin D.S., Ivanov A.Yu., Boyarskaya I.A., Shabalin D.A., Zelenkov L.E., Schmidt E.Yu., Trofimov B.A., Vasilyev A.V. Eur. J. Org. Chem. 2022, e202200468. https://doi.org/10.1002/ejoc.202200468
- Golushko A.A., Dar’in D.V., Kantin G.P., Guranova N., Vasilyev A.V., Krasavin M.Yu. Synthesis. 2019, 51, 3815–3824. https://doi.org/10.1055/s-0037-1611882
- Khoroshilova O.V., Vasilyev A.V. J. Org. Chem. 2020, 85, 5872–5883. https://doi.org/10.1021/acs.joc.0c00170
- Khoroshilova O.V., Borovkova K.E., Nikiforova L.R., Salmova J.V., Taraskin A.O., Spiridonova D.V., Vasily ev A.V. New J. Chem. 2023, 47, 18492–18516. https://doi.org/10.1039/d3nj02990e
- Khoroshilova O.V., Boyarskaya I.A., Vasilyev A.V. J. Org. Chem. 2022, 87, 15845–15862. https://doi.org/10.1021/acs.joc.2c01961
- Mitrofanov A.Yu., Murashkina A.V., Lyssenko K.A., Beletskaya I.P. Chem. Eur. J. 2023, 29, e202302357. https://doi.org/10.1002/chem.202302357
- Mitrofanov A.Yu., Kalugin D.A., Beletskaya I.P. Russ. J. Org. Chem. 2023, 59, 567–572. https://doi.org/10.1134/S1070428023040024
- Mitrofanov A.Yu., Beletskaya I.P. J. Org. Chem. 2023, 88, 2367–2376. https://doi.org/10.1021/acs.joc.2c02780
- Goncharova I.K., Novikov R.A., Beletskaya I.P., Arzumanyan A.V. J. Catal. 2023, 418, 70–77. https://doi.org/10.1016/j.jcat.2023.01.004
- Abramov V.A., Topchiy M.A., Rasskazova M.A., Drokin E.A., Sterligov G.K., Shurupova O.V., Malysheva A.S., Rzhevskiy S.A., Beletskaya I.P., Asachenko A.F. Org. Biomol. Chem. 2023, 18, 3844–3849. https://doi.org/10.1039/d3ob00437f
- Kharlamova A.D., Abel A.S., Averin A.D., Beletskaya I.P. Russ. J. Org. Chem. 2022, 58, 1181–1191. https://doi.org/10.1134/S1070428022090019
- Morozkov G.V., Abel A.S., Lyssenko K.A., Roznyatovsky V.A., Averin A.D., Beletskaya I.P., Bessmertnykh–Lemeune A. Dalton Trans. 2024, 53, 535–551. https://doi.org/10.1039/D3DT02936Ka
- Bondarenko G.N., Ganina O.G., Lysova A.A., Fedin V.P., Beletskaya I.P. J. CO2 Utilization. 2021, 53, 101718. https://doi.org/10.1016/j.jcou.2021.101718
- Belousov Yu.A., Goncharenko V.E., Bondarenko G.N., Ganina O.G., Bezzubov S.I., Taidakov I.V. Russ. J. Coord. Chem. 2020, 46, 805–811. https://doi.org/10.1134/s1070328420080023
- Kotovshchikov Y.N., Latyshev G.V., Navasardyan M.A., Erzunov D.A., Beletskaya I.P., Lukashev N.V. Org. Lett. 2018, 20, 4467–4470. https://doi.org/10.1021/acs.orglett.8b01755
- Kotovshchikov Y.N., Latyshev G.V., Kirillova E.A., Moskalenko U.D., Lukashev N.V., Beletskaya I.P. J. Org. Chem. 2020, 85, 9015–9028. https://doi.org/10.1021/acs.joc.0c00931
- Kotovshchikov Y.N., Sultanov R.H., Latyshev G.V., Lukashev N.V., Beletskaya I.P. Org. Biomol. Chem. 2022, 20, 5764–5770. https://doi.org/10.1039/D2OB00909A
- Kotovshchikov Y.N., Tatevosyan S.S., Latyshev G.V., Kugusheva Z.R., Lukashev N.V., Beletskaya I.P. New J. Chem. 2023, 47, 12239–12247. https://doi.org/10.1039/D3NJ01264F
- Murashkina A.V., Kuliukhina D.S., Averin A.D., Abel A.S., Savelyev E.N., Orlinson B.S., Novakov I.A., Correia C.R.D., Beletskaya I.P. Mendeleev Commun. 2022, 32, 91–93. https://doi.org/10.1016/j.mencom.2022.01.029
- Fomenko V.I., Murashkina A.V., Averin A.D., Shesterkina A.A., Beletskaya I.P. Catalysts. 2023, 13, 331. https://doi.org/10.3390/catal13020331
- Averin A.D., Abel A.S., Malysheva A.S., Chernichenko N.M., Yakushev A.A. Macroheterocycles. 2023, 16, 92–108. https://doi.org/10.6060/mhc235004a
- Kurashov I.A., Kharlamova A.D., Abel A.S., Averin A.D., Beletskaya I.P. Molecules. 2023, 28, 512. https://doi.org/10.3390/molecules28020512
- Shaferov A.V., Malysheva A.S., Averin A.D., Maloshitskaya O.A., Beletskaya I.P. Sensors. 2020, 20, 3234–3234. https://doi.org/10.3390/s20113234
- Kuliukhina D.S., Chernichenko N.M., Averin A.D., Abel A.S., Maloshitskaya O.A., Beletskaya I.P. Chemosensors. 2023, 11, 186. https://doi.org/10.3390/chemosensors11030186
- Chernichenko N.M., Shevchuk V.N., Averin A.D., Maloshitskaya O.A., Beletskaya I.P. Synlett. 2017, 28, 2800–2806. https://doi.org/10.1055/s-0036-1590883
- Motornov V.A., Muzalevskiy V.M., Tabolin A.A., Novikov R.A., Nelyubina Y.V., Nenajdenko V.G., Ioffe S.L. J. Org. Chem. 2017, 82, 5274−5284. https://doi.org/10.1021/acs.joc.7b00578
- Shastin A.V., Muzalevsky V.M., Balenkova E.S., Nenajdenko V.G. Mendeleev Commun. 2006, 16, 178–180. https://doi.org/10.1070/MC2006v016n03ABEH002282
- Shambalova V.E., Larkovich R.V., Ponomarev S.A., Aldoshin A.S., Lyssenko K.A., Nenajdenko V.G. Mendeleev Commun. 2023, 33, 463–465. https://doi.org/10.1016/j.mencom.2023.06.007
- Larkovich R.V., Ponomarev S.A., Aldoshin A.S., Tabolin A.A., Ioffe S.L., Nenajdenko V.G. Eur. J. Org. Chem. 2020, 2479–2492. https://doi.org/10.1002/ejoc.202000054
- Ponomarev S.A., Larkovich R.V., Aldoshin A.S., Tabolin A.A., Ioffe S.L., Groß J., Opatz T., Nenajdenko V.G. Beilstein J. Org. Chem. 2021, 17, 283–292. https://doi.org/10.3762/bjoc.17.27
- Ponomarev S.A., Larkovich R.V., Aldoshin A.S., Khrustalev V.N., Nenajdenko V.G. Mendeleev Commun. 2023, 33, 188–190. https://doi.org/10.1016/j.mencom.2023.02.012
- Aldoshin A.S., Tabolin A.A., Ioffe S.L., Nenajdenko V.G. Eur. J. Org. Chem. 2018, 3816–3825. https://doi.org/10.1002/ejoc.201800385
- Aldoshin A.S., Tabolin A.A., Ioffe S.L., Nenajdenko V.G. Molecules. 2021, 26, 3515. https://doi.org/10.3390/molecules26123515
- Aldoshin A.S., Tabolin A.A., Ioffe S.L., Nenajdenko V.G. Eur. J. Org. Chem. 2019, 4384–4396. https://doi.org/10.1002/ejoc.201900573
- Motornov V.A., Tabolin A.A., Novikov R.A., Nelyubina Y.V., Ioffe S.L., Smolyar I.V., Nenajdenko V.G. Eur. J. Org. Chem. 2017, 6851–6860. https://doi.org/10.1002/ejoc.201701338
- Motornov V.A., Tabolin A.A., Novikov R.A., N.E. Shepel, Nenajdenko V.G., Ioffe S.L. Tetrahedron. 2018, 74, 3897–3903. https://doi.org/10.1016/j.tet.2018.05.071
- Motornov V.A., Tabolin A.A., Nelyubina Y.V., Nenajdenko V.G., Ioffe S.L. Eur. J. Org. Chem. 2020, 5211–5219. https://doi.org/10.1002/ejoc.202000841
- Motornov V.A., Tabolin A.A., Nelyubina Y.V., Nenajdenko V.G., Ioffe S.L. Org. Biomol. Chem. 2019, 17, 1442–1454. https://doi.org/10.1039/c8ob03126f
- Motornov V.A., Tabolin A.A., Nenajdenko V.G., Ioffe S.L. ChemistrySelect. 2021, 6, 9969 –9974. https://doi.org/10.1002/slct.202103189
- Motornov V.A., Tabolin A.A., Nelyubina Y.V., Nenajdenko V.G., Ioffe S.L. Org. Biomol. Chem., 2020, 18, 1436–1448. https://doi.org/10.1039/c9ob02668a
- Motornov V.A., Tabolin A.A., Novikov R.A., Nelyubina Y.V., Nenajdenko V.G., Ioffe S.L. Org. Chem. Front. 2018, 5, 2588–2594. https://doi.org/10.1039/c8qo00623g
- Motornov V.A., Tabolin A.A., Nelyubina Y.V., Nenajdenko V.G., Ioffe S.L. Org. Biomol. Chem. 2021, 19, 3413–3427. https://doi.org/10.1039/d1ob00146a
- Larkovich R.V., Shambalova V.E., Ponomarev S.A., Aldoshin A.S., Lyssenko K.A., Nechaev M.S., Nenajdenko V.G. J. Org. Chem. 2023, 88, 10122−10136. https://doi.org/10.1021/acs.joc.3c00935
- Larkovich R.V., Shambalova V.E., Ponomarev S.A., Aldoshin A.S., Tarasevich B.N., Lyssenko K.A., Nenajdenko V.G. Dyes and Pigments. 2024, 221, 111822. https://doi.org/10.1016/j.dyepig.2023.111822
- Шастин А.В., Коротченко В.Н., Ненайденко В.Г., Баленкова Е.С., Изв. АН. Сер. хим. 1999, 11, 2210–2211. [Shastin A.V., Korotchenko V.N., Nenaidenko V.G., Balenkova E.S. Russ. Chem. Bull. Int. Ed. 1999, 48, 2184–2485.] https://doi.org/10.1007/BF02494876
- Shastin A.V., Korotchenko V.N., Nenajdenko V.G., Balenkova E.S., Tetrahedron. 2000, 56, 6557–6563. https://doi.org/10.1016/S0040-4020(00)00606-2
- Ненайденко В.Г., Шастин А.В., Коротченко В.Н., Баленкова Е.С., Изв. АН. Сер. хим. 2001, 6, 1003–1006. [Nenajdenko V.G., Shastin A.V., Korotchenko V.N., Balenkova E.S. Russ. Chem. Bull. Int. Ed. 2001, 50, 1047–1050.] https://doi.org/10.1023/A:1011377504491
- Музалевский В.М., Шастин А.В., Баленкова Е.С., Гольдберг А.А., Ненайденко В.Г., Изв. РАН, сер. хим. 2012, 1430–1440. [Muzalevskiy V.M., Shastin A.V., Balenkova E.S., Goldberg A.A., Nenajdenko V.G. Russ. Chem. Bull. Int. Ed. 2012, 61, 1445–1455.] https://doi.org/10.1007/s11172-012-0187-2
- Muzalevskiy V.M., Shastin A.V., Demidovich A.D., Shikhaliev N.G., Magerramov A.M., Khrustalev V.N., Rakhimov R.D., Vatsadze S.Z., Nenajdenko V.G. Beilstein J. Org. Chem. 2015, 11, 2072–2078. https://doi.org/10.3762/bjoc.11.223
- Nenajdenko V.G., Goldberg A.A., Muzalevskiy V.M., Balenkova E.S., Shastin A.V. Chem. Eur. J. 2013, 19, 2370–2383. https://doi.org/10.1002/chem.201203315
- Shastin A.V., Muzalevsky V.M., Balenkova E.S., Nenajdenko V.G. Mendeleev Comm. 2006, 179–180. https://doi.org/10.1070/MC2006v016n03ABEH002282
- Nenajdenko V.G., Muzalevskiy V.M., Shastin A.V. Chem. Rev. 2015, 115, 973–1050. https://doi.org/10.1021/cr500465n
- Баленкова Е.С., Шастин А.В., Музалевский В.М., Ненайденко В.Г. ЖОрХ. 2016, 52, 1087–1107. [Balenkova E.S., Shastin A.V., Muzalevsky V.M., Nenajdenko V.G. Russ. J. Org. Chem. 2016, 52, 1077–1097.] https://doi.org/10.1134/S1070428016080017
- Музалевский В.М. Хим. гетероцикл. соед. 2012, 48, 122–130. [Muzalevsky V.M. Chem. Heterocyc. Comp. 2012, 48, 117–125.] https://doi.org/10.1007/s10593-012-0975-5
- Nenajdenko V.G., Muzalevskiy V.M., Shastin A.V., Balenkova E.S., Haufe G. J. Fluorine Chem. 2007, 128, 818–826. https://doi.org/10.1016/j.jfluchem.2007.02.014
- Shastin A.V., Nenajdenko V.G., Muzalevskiy V.M., Balenkova E.S., Frohlich R., Haufe G. Tetrahedron. 2008, 64, 9725–9732. https://doi.org/10.1016/j.tet.2008.07.097
- Музалевский В.М., Шастин А.В., Баленкова Е.С., Ненайденко В.Г. Изв. АН. Cер. Хим. 2007, 1469–1475. [Muzalevskiy V.M., Shastin A.V., Balenkova E.S., Nenajdenko V.G. Russ. Chem. Bull. Int. Ed. 2007, 56, 1526–1533.] https://doi.org/10.1007/s11172-007-0236-4
- Muzalevskiy V.M., Nenajdenko V.G., Shastin A.V., Balenkova E.S., Haufe G. Synthesis. 2009, 2249–2259. https://doi.org/10.1055/s-0029-1216697
- Rulev A.Y., Muzalevskiy V.M., Kondrashov E.V., Usha-kov I.A., Shastin A.V., Balenkova E.S., Haufe G., Nenajdenko V.G. Eur. J. Org. Chem. 2010, 300–310. https://doi.org/10.1002/ejoc.200900926
- Goldberg A.A., Muzalevskiy V.M., Shastin A.V., Balenkova E.S., Nenajdenko V.G. J. Fluorine Chem. 2010, 131, 384–388. https://doi.org/10.1016/j.jfluchem.2009.12.004
- Muzalevskiy V.M., Nenajdenko V.G., Rulev A.Y., Ushakov I.A., Romanenko G.V., Shastin A.V., Balenkova E.S., Haufe G. Tetrahedron. 2009, 6991–7000. https://doi.org/10.1016/j.tet.2009.06.048
- Muzalevskiy V.M., Shastin A.V., Balenkova E.S., G.Haufe, Nenajdenko V.G.. J. Fluorine Chem. 2011, 132, 1247–1253. https://doi.org/10.1016/j.jfluchem.2011.06.030
- Rulev A.Yu., Ushakov I.A., Kondrashov E.V., Muzalevskiy V.M., Shastin A.V., Nenajdenko V.G. J. Fluorine Chem. 2011, 132, 945–950. https://doi.org/10.1016/j.jfluchem.2011.07.015
- Nenajdenko V.G., Muzalevskiy V.M., Shastin A.V., Balenkova E.S., Kondrashov E.V., Ushakov I.A., Rulev A.Y. J. Org. Chem. 2010, 75, 5679–5688. https://doi.org/10.1021/jo101107t
- Muzalevskiy V.M., Sizova Z.A., Abaev V.T., Nenajdenko V.G. Molecules. 2021, 26, 7365. https://doi.org/10.3390/molecules26237365
- Muzalevskiy V.M., Sizova Z.A., Nenajdenko V.G. Molecules. 2022, 27, 8822. https://doi.org/10.3390/molecules27248822
- Muzalevskiy V.M., Nenajdenko V.G., Shastin A.V., Balenkova E.S., Haufe G. Tetrahedron. 2009, 7553–7561. https://doi.org/10.1016/j.tet.2009.06.120
- Mokrushin M.G., Shastin A.V., Muzalevskiy V.M., Balenkova E.S., Nenajdenko V.G. Mendeleev Commun. 2008, 327–328. https://doi.org/10.1016/j.mencom.2008.11.014
- Muzalevskiy V.M., Sizova Z.A., Panyushkin V.V., Chertkov V.A., Khrustalev V.N., Nenajdenko V.G. J. Org. Chem. 2021, 86, 2385–2405. https://doi.org/10.1021/acs.joc.0c02516
- Muzalevskiy V.M., Sizova Z.A., Nenajdenko V.G. Org. Lett. 2021, 23, 5973–5977. https://doi.org/10.1021/acs.orglett.1c02061
- Muzalevskiy V.M., Sizova Z.A., Nenajdenko V.G. Molecules. 2021, 26, 5084. https://doi.org/10.3390/molecules26165084
- Muzalevskiy V.M., Sizova Z.A., Abaev V.T., Nenajdenko V.G. Org. Biomol. Chem. 2021, 19, 4303–4319. https://doi.org/10.1039/D1OB00098E
- Muzalevskiy V.M., Sizova Z.A., Diusenov A.I., Nenajdenko V.G. Eur. J. Org. Chem. 2020, 27, 4161–4166. https://doi.org/10.1002/ejoc.202000531
- Muzalevskiy V.M., Rulev A.Yu., Romanov A.R., Kondrashov E.V., Chertkov V.A., Nenajdenko V.G. J. Org. Chem. 2017, 82, 7200–7214. https://doi.org/10.1021/acs.joc.7b00774
- Topchiy M.A., Zharkova D.A., Asachenko A.F., Muzalevskiy V.M., Chertkov V.A., Nenajdenko V.G., Nechaev M.S. Eur. J. Org. Chem. 2018, 3750–3755. https://doi.org/10.1002/ejoc.201800208
- Muzalevskiy V.M., Nenajdenko V.G. Org. Biomol. Chem. 2018, 16, 7935–7946. https://doi.org/10.1039/C8OB02247J
- Muzalevskiy V.M., Sizova Z.A., Nechaev M.S., Nenajdenko V.G. Int. J. Molec. Sci. 2022, 23, 14522. https://doi.org/10.3390/ijms232314522
- Muzalevskiy V.M., Sizova Z.A., Nenajdenko V.G. Molecules. 2023, 28, 4822. https://doi.org/10.3390/molecules28124822
- Muzalevskiy V.M., Mamedzade M.N., Chertkov V.A., Bakulev V.A., Nenajdenko V.G. Mendeleev Commun. 2018, 28, 17–19. https://doi.org/10.1016/j.mencom.2018.01.003
- Muzalevskiy V.M., Iskandarov A.A., Nenajdenko V.G. J. Fluorune Chem. 2018, 214, 13–17. https://doi.org/10.1016/j.jfluchem.2018.07.013
- Romanov A.R., Rulev A.Yu., Ushakov I.A., Muzalevskiy V.M., Nenajdenko V.G. Eur. J. Org. Chem. 2017, 4121–4129. https://doi.org/10.1002/ejoc.201700727
- Romanov A.R., Rulev A.Yu., Muzalevskiy V.M., Nenajdenko V.G. Mendeleev Commun. 2014, 24, 269–271. https://doi.org/10.1016/j.mencom.2014.09.007
- Muzalevskiy V.M., Sizova Z.A., Belyaeva K.V., Trofimov B.A., Nenajdenko V.G. Molecules. 2019, 24, 3594. https://doi.org/10.3390/molecules24193594
- Trofimov B.A., Belyaeva K.V., Nikitina L.P., Afonin A.V., Vashchenko A.V., Muzalevskiy V.M., Nenajdenko V.G. Chem. Commun. 2018, 54, 2268–2271. https://doi.org/10.1039/C7CC09725E
- Muzalevskiy V.M., Trofimov B.A., Belyaeva K.V., Nenajdenko V.G. Green Chem. 2019, 21, 6353–6360. https://doi.org/10.1039/C9GC03044A
- Belyaeva K.V., Nikitina L.P., Afonin A.V., Vashchenko A.V., Muzalevskiy V.M., Nenajdenko V.G., Trofimov B.A. Org. Biomol.Chem. 2018, 16, 8038–8041. https://doi.org/10.1039/C8OB02379D
- Muzalevskiy V.M., Belyaeva K.V., Trofimov B.A., Nenajdenko V.G. J. Org. Chem. 2020, 85, 9993–10006. https://doi.org/10.1021/acs.joc.0c01277
- Lemport P.S., Matveev P.I., Yatsenko A.V., Evsiunina M.V., Petrov V.S., Tarasevich B.N., Roznyatovsky V.A., Dorovatovskii P.V., Khrustalev V.N., Zhokhov S.S., Solov’ev V.P., Aslanov L.A., Petrov V.G., Kalmykov S.N., Nenajdenko V.G., Ustyniuk Y.A. RSC Adv. 2020, 10, 26022–26033. https://doi.org/10.1039/d0ra05182a
- Ustynyuk Y.A., Lemport P.S., Roznyatovsky V.A., Lyssenko K.A., Gudovannyy A.O., Matveev P.I., Khult E.K., Evsiunina M.V., Petrov V.G., Gloriozov I.P., Pozdeev A.S., Petrov V.S., Avagyan N.A., Aldoshin A.S., Kalmykov S.N., Nenajdenko V.G. Molecules. 2022, 27, 3114. https://doi.org/10.3390/molecules27103114
- Lemport P.S., Evsiunina M.V., Matveev P.I., Petrov V.S., Pozdeev A.S., Khult E.K., Nelyubina Yu V., Isakovskaya K.L., Roznyatovsky V.A., Gloriozov I.P., Tarase-vich B.N., Aldoshin A.S., Petrov V.G., Kalmykov S.N., Ustynyuk Yu A., Nenajdenko V.G. Inorg. Chem. Front. 2022, 9, 4402–4412. https://doi.org/10.1039/d2qi00803c
- Lemport P.S., Evsiunina M.V., Nelyubina Y.V., Isakovskaya K.L., Khrustalev V.N., Petrov V.S., Pozdeev A.S., Matveev P.I., Ustynyuk Y.A., Nenajdenko V.G. Mend. Commun. 2021, 31, 853–855. https://doi.org/10.1016/j.mencom.2021.11.028
- Yatsenko A.V., Evsiunina M.V., Nelyubina Y.V., Isa-kovskaya K.L., Lemport P.S., Matveev P.I., Petrov V.G., Tafeenko V.A., Aldoshin A.S., Ustynyuk Y.A., Nenajdenko V.G. Polyhedron. 2023, 243, 1–15. https://doi.org/10.1016/j.poly.2023.116526
- Ustynyuk Y.A., Zhokhova N.I., Gloriozov I.P., Matveev P.I., Evsiunina M.V., Lemport P.S., Pozdeev A.S., Petrov V.G., Yatsenko A.V., Tafeenko V.A., Nenajdenko V.G. Int. J. Mol. Sci. 2022, 23, 15538. https://doi.org/10.3390/ijms232415538
- Петров В.С., Авакян Н.А., Лемпорт П.С., Матвеев П.И., Евсюнина М.В., Рознятовский В.А., Тарасевич Б.Н., Исаковская К.Л., Устынюк Ю.А., Ненайденко В.Г. Изв. АН. Сер. Хим. 2023, 72, 697–705. [Petrov V.S., Avagyan N.A., Lamport P.S., Matveev P.I., Evsiunina M.V., Roznyatovsky V.A., Tarasevich B.N., Isakovskaya K.L., Ustynyuk Yu.A., Nenajdenko V.G. Russ. Chem. Bull. 2023, 72, 697–705.] https://doi.org/10.1007/s11172-023-3834-7
- Gutorova S.V., Matveev P.I., Lemport P.S., Trigub A.L., Pozdeev A.S., Yatsenko A.V., Tarasevich B.N., Konopkina E.A., Khult E.K., Roznyatovsky V.A., Nelyubina Yu V., Isakovskaya K.L., Khrustalev V.N., Petrov V.S., Aldoshin A.S., Ustynyuk Yu A., Petrov V.G., Kalmykov S.N., Nenajdenko V.G. Inorg. Chem. 2022, 61, 384–398. https://doi.org/10.1021/acs.inorgchem.1c02982
- Gutorova S.V., Matveev P.I., Lemport P.S., Novichkov D.A., Gloriozov I.P., Avagyan N.A., Gudovannyy A.O., Nelyubina Y.V., Roznyatovsky V.A., Petrov V.G., Lyssenko K.A., Ustynyuk Y.A., Kalmykov S.N., Nenajdenko V.G. Inorg. Chem. 2023, 62, 487–496. https://doi.org/10.1021/acs.inorgchem.2c03571
- Lemport P.S., Petrov V.S., Matveev P.I., Leksina U.M., Roznyatovsky V.A., Gloriozov I.P., Yatsenko A.V., Tafeenko V.A., Dorovatovskii P.V., Khrustalev V.N., Budy-lin G.S., Shirshin E.A., Markov V.Yu, Goryunkov A.A., Petrov V.G., Ustynyuk Yu A., Nenajdenko V.G. Int. J. Mol. Sci. 2023. 2023, 10261. https://doi.org/10.3390/ijms241210261
- Устынюк Ю.А., Петров В.С., Лемпорт П.С., Рознятовский В.А., Ненайденко В.Г. ЖОрХ. 2023, 59, 1357–1362. [Ustynyuk Y.A., Petrov V.S., Lemport P.S., Roznyatovsky V.A., Nenajdenko V.G. Russ. J. Org. Chem. 2023, 59, 1709–1713.] https://doi.org/10.1134/S1070428023100056
- Avagyan N.A., Lemport P.S., Lysenko K.A., Gudovannyy A.O., Roznyatovsky V.A., Petrov V.S., Vokuev M.F., Ustynyuk Y.A., Nenajdenko V.G. Molecules. 2022, 27, 4705. https://doi.org/10.3390/molecules27154705
- Avagyan N.A., Lemport P.S., Evsiunina M.V., Matveev P.I., Aksenova S.A., Nelyubina Y.V., Yatsenko A.V., Tafeenko V.A., Petrov V.G., Ustynyuk Y.A., Bi X., Nenaj-denko V.G. Int. J. Mol. Sci. 2023, 24, 5569. https://doi.org/10.3390/ijms24065569
- Avagyan N.A., Lemport P.S., Roznyatovsky V.A., Evsiunina M.V., Matveev P.I., Gerasimov M.A., Lyssenko K.A., Goncharenko V.E., Khrustalev V.N., Dorovatovskii P.V., Tarasevich B.N., Yakushev A.A., Averin A.D., Gloriozov I.P., Petrov V.G., Ustynyuk Y.A., Nenajdenko V.G. Inorg. Chem. 2023, 62, 17721–17735. https://doi.org/10.1021/acs.inorgchem.3c02371
- Nenajdenko V.G., Shasin A.V., Gorbachev V.M., Shorunov S.V., Muzalevskiy V.M., Lukianova A.I., Dorovatovskii P.V., Khrustalev V.N. ACS Catalysis. 2017, 7, 205–209. https://doi.org/10.1021/acscatal.6b03196
- Цыренова Б.Д., Лемпорт П.С., Hенайденко В.Г. Успехи Химии. 2023, 92, 1–49. [Tsyrenova B.D., Lemport P.S., Nenajdenko V.G. Russ. Chem. Rev. 92, 2023, 1–49.] https://doi.org/10.57634/RCR5066
- Shastin A. V., Tsyrenova B. D., Sergeev P. G., Roznyatovsky V. A., Smolyar I. V., Khrustalev V. N., Nenajdenko V. G. Org Lett. 2018, 20, 7803–7806. https://doi.org/10.1021/acs.orglett.8b03227
- Shikhaliyev N.G., Maharramov A.M., Bagirova K.N., Suleymanova G.T., Tsyrenova B.D., Nenajdenko V.G., Novikov A.S., Khrustalev V. N., Tskhovrebov A.G. Mend. Commun. 2021, 31, 191–193. https://doi.org/10.1016/j.mencom.2021.03.015
- Tsyrenova B., Nenajdenko V. Molecules. 2020, 25, 480. https://doi.org/10.3390/molecules25030480
- Tsyrenova B., Khrustalev V., Nenajdenko V. J. Org. Chem. 2020, 85, 7024–7035. https://doi.org/10.1021/acs.joc.0c00263
- Tsyrenova B.D., Tarasevich B.N., Khrustalev V.N., Gloriozov I.P., Nenajdenko V.G. Mend. Commun. 2020, 30, 615–617. https://doi.org/10.1016/j.mencom.2020.09.021
- Tsyrenova B.D., Khrustalev V.N., Nenajdenko V.G. Org. Biomol. Chem. 2021, 8140–8152. https://doi.org/10.1039/D1OB01084K
- Lemport P.S., Avagyan N.A., Roznyatovsky V.A., Popov A.V., Rozentsveig I.B., Nenajdenko V.G. Mendeleev Commun., 2023, 33, 756–758. https://doi.org/10.1016/j.mencom.2023.10.005
- Lemport P.S., Smolyar I.V., Khrustalev V.N., Roznyatovsky V.A., Popov A.V., Kobelevskaya V.A., Rozentsveig I.B., Nenajdenko V.G. Org. Сhem. Front., 2019, 6, 335–341. https://doi.org/10.1039/C8QO01214H
- Мажуга А.Г., Белоглазкина Е.К., Белоглазкина А.А. Кукушкин М.Е., Иваненков Я.А., Веселов М.С. Пат. RU2629750C2 (2015). РФ. Б.И. 2017, № 25.
- Kukushkin M., Novotortsev V., Filatov V., Ivanenkov Y., Skvortsov D., Veselov M., Shafikov R., Moiseeva A., Zyk N., Majouga A., Beloglazkina E. Molecules. 2021, 26, 7645. https://doi.org/10.3390/molecules26247645
- Kukushkin M.E., Kondratieva A.A., Karpov N.A., Shybanov D.E., Tafeenko V.A., Roznyatovsky V.A., Grishin Y.K., Moiseeva A.A., Zyk N.V., Beloglazkina E.K. Royal Society Open Science. 2022, 9, 211967. https://doi.org/10.1098/rsos.211967
- Kuznetsova J.V., Tkachenko V.T., Petrovskaya L.M., Filkina M.E., Shybanov D.E., Grishin Y.K., Roznyatovsky V.A., Tafeenko V.A., Pestretsova A.S., Yakovleva V.A., Pokrovsky V.S., Kukushkin M.E., Beloglazkina E.K. Int. J. Mol. Sci. 2024, 25, 18. https://doi.org/10.3390/ijms25010018
- Filkina M.E., Baray D.N., Beloglazkina E.K., Grishin Y.K., Roznyatovsky V.A., Kukushkin M.E. Int. J. Mol. Sci. 2023, 24, 1289. https://doi.org/10.3390/ijms24021289
- Shybanov D.E., Filkina M.E., Kukushkin M.E., Grishin Y.K., Roznyatovsky V.A., Zyk N.V., Beloglazkina E.K. New J. Chem. 2022, 46, 18575. https://doi.org/10.1039/D2NJ03756D
- Shybanov D. E., Kukushkin M.E., Hrytseniuk Y.S., Grishin Y.K., Roznyatovsky V.A., Tafeenko V.A., Skvortsov D.A., Zyk N.V., Beloglazkina E.K. Int. J. Mol. Sci. 2023, 24, 5037. https://doi.org/10.3390/ijms24055037
- Kukushkin, M.E. Karpov N.A., Shybanov D.E., Zyk N.V., Beloglazkina E.K. Mendeleev Commun. 2022, 32, 126. https://doi.org/10.1016/j.mencom.2022.01.041
- Novotortsev V.K., Kuandykov D.M., Kukushkin M.E., Zyk N.V., Beloglazkina E.K. Mendeleev Commun. 2022, 32, 769. https://doi.org/10.1016/j.mencom.2022.11.020
- Ivanenkov Y.A., Kukushkin M.E., Beloglazkina A.A., Shafikov R. R., Barashkin A.A., Ayginin A.A., Serebryakova M.V., Majouga A.G., Skvortsov D. A., Tafeenko V.A., Beloglazkina E.K. Molecules. 2023, 28, 1325. https://doi.org/10.3390/molecules28031325
- Novotortsev V.K., Kukushkin M.E., Tafeenko V.A., Skvortsov D.A., Kalinina M.A., Timoshenko R.V., Chmelyuk N.S., Vasilyeva L.A., Tarasevich B.N., Gorelkin P.V., Erofeev A.S., Majouga A.G., Zyk N.V., Beloglazkina E.K. Int. J. Mol. Sci. 2021, 22, 2613. https://doi.org/10.3390/ijms22052613
- Beloglazkina A., Barashkin A., Polyakov V., Kotovsky G., Karpov N., Mefedova S., Zagribelny B., Ivanenkov Y., Kalinina M., Skvortsov D., Tafeenko V., Zyk N., Majouga A., Beloglazkina E. Chem. Heterocyclic Comp. 2020, 56, 5613. https://doi.org/10.1007/s10593-020-02726-0
- Novotortsev V.K., Kukushkin M.E., Tafeenko V.A., Zyk N.V., Beloglazkina E.K. Mendeleev Communications, 2020, 30, 320. https://doi.org/10.1016/j.mencom.2020.05.020
- Shybanov D.E., Kukushkin M.E., Tafeenko V.A., Zyk N.V., Grishin Y.K., Roznyatovsky V.A., Beloglazkina E.K. Mendeleev Commun. 2021, 31, 6376. https://doi.org/10.1016/j.mencom.2021.03.034
- Барашкин А.А., Поляков В.С., Шикуть Н.Л., Путилова А.Д., Горовой А.Р., Тафеенко В.А., Зык Н.В., Белоглазкина Е.К. ЖOрХ. 2022, 58, 1012–1018. [Russ. J. Org. Chem., 2022, 58, 1362–1368.] https://doi.org/10.1134/s1070428022090251
- Barashkin A.A., Polyakov V.S., Shikut N.L., Putilova A.D., Gorovoy A.R., Degtiarev A.D., Tafeenko V.A., Tarasevich B.N., Zyk N.V., Beloglazkina E.K. Mendeleev Commun. 2022, 32, 6641. https://doi.org/10.1016/j.mencom.2022.03.022
- Filatov V.E., Kukushkin M.E., Kuznetsova J.V., Skvort-sov D.A., Tafeenko V.A., Zyk N.V., Majouga A.G., Beloglazkina E.K. RSC Advances. 2020, 10, 14122. https://doi.org/10.1039/d0ra02374d
- Filatov V.E., Kuznetsova J.V., Petrovskaya L.M., Yuzabchuk D.A., Tafeenko V.A., Zyk N.V., Beloglazkina E.K. ACS Omega. 2021, 6, 22740. https://doi.org/10.1021/acsomega.1c03063
- Filatov V.E., Yuzabchuk D.A., Tafeenko V.A., Grishin Y.K., Roznyatovsky V.A., Lukianov D.A., FedotovaY.A., Sukonnikov M.A., Skvortsov D.A., Zyk N.V., Beloglazkinа E.K. Int. J. Mol. Sci. 2022, 23, 6666. https://doi.org/10.3390/ijms23126666
- Zyk N.Y., Garanina A.S., Plotnikova E.A., Ber A.P., Nimenko E.A., Dashkova N.S., Uspenskaia A.A., Shafikov R.R., Skvortsov D.A., Petrov S.A., Pankratov A.A., Zyk N.V., Majouga A.G., Beloglazkina E.K., Machulkin A.E. Int. J. Mol. Sci. 2023, 24, 11327. https://doi.org/10.3390/ijms241411327
- Успенская А.А., Красников П.А., Мажуга А.Г., Белоглазкина Е.К., Мачулкин А.Э. Биохимия. 2023, 88, 1173–1190. [Uspenskaya A.A., Krasnikov P.A., Beloglazkina E.K., Machulkin A.E. Biochemistry (Moscow). 2023, 88, 953–967.] https://doi.org/10.1134/S0006297923070088
- Zyk N.Y., Petrov S.A., Zavertkina M.V., Uspenskaya A.A., Krasnikov P.A., Dashkova N.S., Beloglazkina E.K., Majouga A. G., Zyk N.V., Machulkin A.E. Mendeleev Commun. 2023, 33, 472–475. https://doi.org/10.1016/j.mencom.2023.06.010
- Uspenskaya A.A., Nimenko E.A., Shafikov R.R., Zyk N.Y., Evteev S.A., Dashkova Na.S., Ivanenkov Y.A., Majouga A.G., Skvortsov D.A., Garanina A.S., Beloglazkina E.K., Machulkin A.E. Med. Chem. Res. 2023, 32, 32–37. https://doi.org/10.1007/s00044-022-03002-w
- Machulkin A.E., Uspenskaya A.A., Zyk N.Y., Nimenko E.A., Ber A.P., Petrov S.A., Shafikov R.R., Skvort-sov D.A., Smirnova G.B., Borisova Y.A., Pokrovsky V.S., Kolmogorov V.S., Vaneev A.N., Ivanenkov Y.A., Khudyakov A.D., Kovalev S.V., Erofeev A.S., Gorelkin P.V., Beloglazkina E.K., Zyk N.V., Khazanova E.S., Majouga A.G. Eur. J. Med. Chem. 2022, 227, 113936. https://doi.org/10.1016/j.ejmech.2021.113936
- Machulkin A.E., Uspenskaya A.A., Zyk N.U., Nimenko E.A., Ber A.P., Petrov Stanislav A., Polshakov V.I., Shafikov R.R., Skvortsov D.A., Plotnikova E.A., Pankratov A.A., Smirnova G.B., Borisova Y.A., Pokrovsky V.S., Kolmogorov V.S., Vaneev A.N., Khudyakov A.D., Chepikova O.E., Kovalev S.V., Zamyatnin A.A., Erofeev A.S., Gorelkin P.V., Beloglazkina E.K., Zyk N.V., Khazanova E.S., Majouga A.G. J. Med. Chem. 2021, 64, 17123–17145. https://doi.org/10.1021/acs.jmedchem.1c01157
- Petrov S.A., Zyk N.Y., Machulkin A.E., Beloglazkina E.K., Majouga A.G. Eur. J. Med. Chem. 2021, 225, 113752. https://doi.org/10.1016/j.ejmech.2021.113752
- Uspenskaya A.A., Nimenko E.A., Machulkin A.E., Beloglazkina E.K., Majouga A.G. Curr. Med. Chem. 2021, 28, 268–298. https://doi.org//10.2174/0929867328666210804092200
- Machulkin A.E., Shafikov R.R., Uspenskaya A.A., Pet-rov S.A., Ber A.P., Skvortsov D.A., Nimenko E.A., Zyk N.U., Smirnova G.B., Pokrovsky V.S., Abakumov M.A., Saltykova I.V., Akhmirov R.T., Garanina A.S., Polshakov V.I., Saveliev O.Y., Ivanenkov Y.A., Aladinskaya A.V., Finko A.V., Yamansarov E.U., Krasnovskaya O.O., Erofeev A.S., Gorelkin P.V., Dontsova O.A., Beloglazkina E.K., Zyk N.V., Khazanova E.S., Majouga A.G. J. Med. Chem. 2021, 64, 4532–4552. https://doi.org/10.1021/acs.jmedchem.0c01935
- Petrov S.A., Machulkin A.E., Uspenskaya A.A., Zyk N.Y., Nimenko E.A., Garanina A.S., Petrov R.A., Polshakov V.I., Grishin Y.K., Roznyatovsky V.A., Zyk N.V., Majouga A.G., Beloglazkina E.K. Molecules. 2020, 25, 5784. https://doi.org/10.3390/molecules25245784
- Uspenskaya A.A., Machulkin A.E., Nimenko E.A., Shafikov R.R., Petrov S.A., Skvortsov D.A., Beloglazkina E.K., Majouga A.G. Mendeleev Commun. 2020, 30, 756–759. https://doi.org/10.1016/j.mencom.2020.11.022
- Krasnovskaya O.O., Akasov R.A., Spector D.V., Pavlov K.G., Bubley A.A., Kuzmin V.A., Kostyukov A.A., Khaydukov V.E., Lopatukhina E.V., Semkina A.S., Vlasova K.Y., Sypalov S.A., Erofeev A.S., Gorelkin Pe.V., Vaneev A.N., Nikitina V.N., Skvortsov D.A., Ipatova D.A., Mazur D.M., Zyk N.V., Sakha-rov D.A., Majouga A.G., Beloglazkina E.K. ACS Appl. Mat. Interfaces. 2023, 15, 12882–12894. https://doi.org/10.1021/acsami.3c01771
- Spektor D., Erofeev A., Gorelkin P., Skvortsov D., Tri-gub A., Markova A., Nikitina V., Ul’yanovskii N., Shtil A., Semkina A., Vlasova K., Zyk N., Majouga A., Beloglazkina E., Krasnovskaya O. Dalton Trans. 2023, 52, 866–871. https://doi.org/10.1039/D2DT03662B
- Spector D.V., Erofeev A.S., Gorelkin P.V., Vaneev A.N., Akasov R.A., Ul’yanovskiy N.V., Nikitina V.N., Semkina A.S., Vlasova K.Y., Soldatov M.A., Trigub A.L., Skvortsov D.A., Finko A.V., Zyk N.V., Sakharov D.A., Majouga A.G., Beloglazkina E.K., Krasnovskaya O.O. Inorganic Chem. 2022, 61, 14705–14717. https://doi.org/10.1021/acs.inorgchem.2c02062
- Spector D.V., Pavlov K.G., Akasov R.A., Vaneev A.N., Erofeev A.S., Gorelkin P.V., Nikitina V.N., Lopatukhina E.V., Semkina A.S., Vlasova K.Y., Skvortsov D.A., Roznyatovsky V.A., Ul’yanovskiy N.V., Pikovskoi I.I., Sypalov S.A., Garanina A.S., Vodopyanov S.S., Abakumov M.A., Volodina Y.L., Markova A.A., Petrova A.S., Mazur D.M., Sakharov D.A., Zyk N.V., Beloglazkina E.K., Majouga A.G., Krasnovskaya O.O. J. Med. Chem. 2022, 65, 8227–8244. https://doi.org/10.1021/acs.jmedchem.1c02136
- Krasnovskaya O.O., Spektor D.V., Erofeev A., Gorelkin P., Akasov R., Trigub A., Skvortsov D.A., Vlasova K.Y., Semkina A. S., Zyk N., Beloglazkina E.K., Majouga A. Dalton Trans. 2021, 50, 7922–7927. https://doi.org/10.1039/D1DT00898F
- Spector D., Krasnovskaya O., Pavlov K., Erofeev A., Gorelkin P., Beloglazkina E., Majouga A. Int. J. Mol. Sci. 2021, 22, 3817. https://doi.org/10.3390/ijms22083817
- Громов С.П., Чибисов А.К., Алфимов М.В. Химическая физика. 2021, 40, 9–17. [Gromov S.P., Chibisov A.K., Alfimov M.V. Russ. J. Phys. Chem. B. 2021, 15, 219–227.] https://doi.org/10.1134/S1990793121020202
- Кузьмина Л.Г., Ведерников А.И., Громов С.П., Алфимов М.В. Кристаллография. 2019, 64, 677–700. [Kuz’mina L.G., Vedernikov A.I., Gromov S.P., Alfimov M.V. Crysallography Reports. 2019, 64, 691–712]. https://doi.org/10.1134/S1063774519050122
- Gomes G.D.P., Loginova Y., Vatsadze S.Z., Alabugin I.V. J. Am. Chem. Soc. 2018, 140, 14272–14288. https://doi.org/10.1021/jacs.8b08513
- Можайцев Е.С., Пономарев К.Ю., Патрушева О.С., Медведько А.В., Далингер А.И., Рогачев А.Д., Комарова Н.И., Корчагина Д.В, Суслов Е.В., Волчо К.П., Салахутдинов Н.Ф., Вацадзе С.З. ЖОрХ, 2020, 56, 1969–1981. [Mozhaitsev E. S., Ponomarev K.Y., Patrusheva O.S., Medvedko A.V., Dalinger, A.I., Rogachev A.D., Komarova N. I., Korchagina D.V., Suslov E.V., Volcho K.P., Salakhutdinov N.F., Vatsadze S.Z. Russ. J. Org. Chem. 2020, 56, 1969–1981.] https://doi.org/10.1134/S1070428020110123
- Павлов А.А., Далингер А.И., Суслов Е.В., Понома-рев К.Ю., Можайцев Е.С., Вацадзе С.З. Изв. АН. Сер. хим. 2023, 72, 635–640. [Pavlov A.A., Dalinger A.I., Suslov E.V., Ponomarev K.Y., Mozhaitsev E.S., Vatsadze S.Z. Russ. Chem. Bull. 2023, 72, 635–640.] https://doi.org/10.1007/s11172-023-3827-9
- Suslov E.V., Ponomarev, K.Y., Patrusheva O.S., Kuranov S.O., Okhina A.A., Rogachev A.D., Munkuev A.A., Ottenbacher R.V., Dalinger A.I., Kalinin M.A., Vatsadze S.Z., Volcho K.P., Salakhutdinov N.F. Molecules. 2021, 26, 7539. https://doi.org/10.3390/molecules26247539
- Можайцев Е.С., Охина А.А., Пономарев К.Ю., Рогачев А.Д., Суслов Е.В., Волчо К.П., Салахутдинов Н.Ф., Вацадзе С.З. Химия в интересах устойчивого развития. 2022, 30, 615–619. https://doi.org/10.15372/KhUR2022422
- Калинин М.А., Антропов С.М., Медведько А.В., Гудованный А.О., Лысенко К.А., Вацадзе С.З. Изв. АН. Сер. хим. 2021, 70, 2247–2251. [Kalinin M.A., Antropov S.M., Medvedko A.V., Gudovannyy A.O. Lyssenko K.A., Vatsadze S.Z. Russ. Chem. Bull. 2021, 70, 2247–2251.] https://doi.org/10.1007/s11172-021-3341-x
- Magdesieva T. Electrochem. Sci. Adv. 2022, 2, e2100182. https://doi.org/10.1002/elsa.202100182
- Levitskiy O.A., Dulov D.A., Bogdanov A.V., Grishin Y.K., Nefedov S.E., Magdesieva T.V. Chem. Eur. J. 2020, 26, 6793–6804. https://doi.org/10.1002/chem.202000165
- Levitskiy O.A., Bogdanov A.V., Magdesieva T.V. ChemPlusChem. 2022, 87, e202100508. https://doi.org/10.1002/cplu.202100508
- Levitskiy O.A., Magdesieva T.V. Org. Lett. 2019, 21, 10028–10032. https://doi.org/10.1021/acs.orglett.9b03961
- Sentyurin V.V., Levitskiy O.A., Bogdanov A.V., Yankova T.S., Dorofeev S.G., Lyssenko K.A., Magdesieva T.V. Chem. Eur. J. 2023, 29, e202301250. https://doi.org/10.1002/chem.202301250
- Levitskiy O.A., Sentyurin V.V., Magdesieva T.V. Electrochim. Acta. 2023, 460, 142632. https://doi.org/10.1016/j.electacta.2023.142632
- Mankaev B.N., Karlov S.S. Materials. 2023, 16, 6682. https://doi.org/10.3390/ma16206682
- Kuchuk E.A., Mankaev B.N., Zaitsev K.V., Zabalov M.V., Zakharova E.A., Oprunenko Y.F., Churakov A.V., Lermontova E.K., Zaitseva G.S., Karlov S.S. Organometallics. 2023, 42, 2549. https://doi.org/10.1021/acs.organomet.2c00611
- Mankaev B.N., Serova V.A., Agaeva M.U., Lyssenko K.A., Fakhrutdinov A.N., Churakov A.V., Chernikova E.V., Egorov M.P., Karlov S.S. J. Organomet. Chem. 2023, 1005, 122973. https://doi.org/10.1016/j.jorganchem.2023.122973
- Agaeva M.U., Filippenko V.I., Mankaev B.N., Serova V.A., Lyssenko K.A., Chernikova E.V., Egorov M.P., Karlov S.S. Polymers. Submitted for publications.
- Zabalov M.V., Mankaev B.N., Egorov M.P., Karlov S.S. Int. J. Mol. Sci. 2022, 23, 15523. https://doi.org/10.3390/ijms232415523
- Карлов С.С., Зайцева Г.С., Егоров М.П. Изв. АН. Сер. хим. 2019, 68, 1129–1142. [Karlov S.S., Zaitseva G.S., Egorov M.P. Russ. Chem. Bull. 2019, 68, 1129–1142.] https://doi.org/10.1007/s11172-019-2532-1
- Shangin P.G., Akyeva A.Y., Vakhrusheva D.M., Minyaev M.E., Mankaev B.N., Balycheva V.A., Lalov A.V., Egorov M.P., Karlov S.S., Syroeshkin M.A. Organometallics. 2023, 42, 2541–2557. https://doi.org/10.1021/acs.organomet.2c00611
- Прищенко А.А., Ливанцов М.В., Новикова О.П., Ливанцова Л.И., Баранин С.В., Бубнов Ю.Н. Изв. АН. Cер. хим. 2023, 72, 1576–1583. [Prishchenko A.A., Novikova O.P., Livantsov M.V., Livantsova L.I., Baranin S.V., Bubnov Yu.N. Russ. Chem. Bull. 2023, 72, 1576–1583.] https://doi.org/10.1007/s11172-023-3936-5
- Прищенко А.А., Ливанцов М.В., Новикова О.П., Ливанцова Л.И., Баранин С.В., Бубнов Ю.Н. Изв. АН. Cер. хим., 2023, 72, 2138–2147. [Prishchenko A.A., Novikova O.P., Livantsov M.V., Livantsova L.I., Baranin S.V., Bubnov Yu. N. Russ. Chem. Bull. 2023, 72, 2138–2147.] https://doi.org/10.1007/s11172-023-4009-5.
- Прищенко А.А., Ливанцов М.В., Новикова О.П., Ливанцова Л.И., Баранин С.В., Бубнов Ю.Н. Изв. АН. Cер. хим. 2023, 72, 2979–2986. [Prishchenko A.A., Novikova O.P., Livantsov M.V., Livantsova L.I., Baranin S.V., Bubnov Yu.N. Russ. Chem. Bull. 2023, 72, 2979–2986.] https://doi.org/10.1007/s11172-023-4109-2
- Прищенко А.А., Ливанцов М.В., Новикова О.П., Ливанцова Л.И., Баранин С.В., Бубнов Ю.Н. Изв. АН. Cер. хим. 2024, 73, 379–386. [Prishchenko A.A., Novikova O.P., Livantsov M.V., Livantsova L.I., Baranin S.V., Bubnov Yu.N. Russ. Chem. Bull. 2024, 73, 379–386.] https://doi.org/10.1007/s11172-024-4145-6
- Бубнов Ю.Н., Прищенко А.А., Ливанцов М.В., Новикова О.П., Ливанцова Л.И., Баранин С.В. Изв. АН. Cер. хим. 2024, 73, 634-643. [Yu.N. Bubnov, A.A. Prishchenko, O.P. Novikova, M.V. Livantsov, L.I. Livantsova, S.V. Baranin, Russ. Chem. Bull. 2024, 73, 634–643.] https://doi.org/10.1007/s11172-024-4173-2
- Попков С.В., Шебеко Н.А., Макаренко А.А., Алексеенко А.Л., Никишин Г.И., Терентьев А.О., Кузнецова М.А., Рогожин А.Н., Сметанина Т.И., Глинушкин А.П. Пат. 2648240 (2018). РФ. Б.И. 2018, 9.
- Попков С.В., Серегин М.С., Трифиленкова А.A., Алексеенко А.Л. Пат. 2730490 (2020). РФ. Б.И. 2020, 24.
- Talismanov V.S., Popkov S.V., Zykova S.S., Karmanova O.G. Int. J. Pharm. Res. 2019, 11, 315–319. https://doi.org/10.31838/ijpr/2019.11.02.051
- Talismanov V.S., Popkov S.V., Zykova S.S., Karmanova O.G. J. Pharm. Sci. Res. 2018, 10, 950–955.
- Talismanov V.S., Popkov S.V., Zykova S.S., Karmanova O.G. Research J. Pharm. and Tech. 2021, 14, 6417–6422. https://doi.org/10.52711/0974-360X.2021.01110
- Talismanov V.S., Popkov S.V., Zykova S.S., Karmanova O.G. Rasayan J. Chem. 2021, 14, 1711–1716. https://doi.org/10.31788/RJC.2021.1436537
- Цаплин Г.В., Золотухина А.С., Алексеева Е.А., Алексеенко А.Л., Попков С.В. Изв. АН. Сер. хим. 2023, 72, 2125–2132. [Tsaplin G.V., Zolotukhina A.S., Alekseeva E.A., Alekseenko A.L., Popkov S.V. Russ. Chem. Bull. 2023, 72, 2125–2132.] https://doi.org/10.1007/s11172-023-4007-7
- Цаплин Г.В., Попков С.В., Алексеенко А.Л., Никишин Г.И., Терентьев А.О., Кузнецова М.А., Рогожин А.Н., Сметанина Т.И. Пат. 2668212 (2018). РФ. Б.И. 2018, № 27.
- Zykova S.S., Talismanov V.S., Tsaplin G.V., Bulatov I.Р., Popkov S.V., Karmanova O.G., Savinkov А.V. Int. J. Pharm. Res. 2019, 11, 1189–1192. https://doi.org/10.31838/ijpr/2019.11.03.097
- Zykova S.S., Tsaplin G.V., Talismanov V.S., Bulatov I.Р., Popkov S.V., Karmanova O.G. Int. J. Pharm. Res. 2021, 13, 309–313. https://doi.org/10.31838/ijpr/2021.13.01.056
- Цаплин Г.В., Попков С.В., Орлова А.С., Алексеенко А.Л., Пат. 2757808 (2021). РФ. Б.И. 2021, № 30.
- Цаплин Г.В., Попков С.В., Казаков С.А., Семчукова М.И., Алексеенко А.Л., Пат. 2794339 (2023). РФ. Б.И. 2023, № 11.
- Цаплин Г.В., Попков С.В. ЖОрХ. 2022, 58, 6–22. [Tsaplin G.V., Popkov S.V. Rus. J. Org. Chem. 2022, 58, 1–14.] https://doi.org/10.1134/S1070428022010018
- Цаплин Г.В., Попков С.В., Шуракова А.О., Иванова Е.В., Семчукова М.И., Алексеенко А.Л. Пат. 2810785 (2023). РФ. Б.И. 2023, № 1.
- Зыкова С.С., Суханов О.Б., Слободяник Р.В., Цап-лин Г.В., Попков С.В., Талисманов В.С., Кулбуси-нова А.С., Салиева В.Э., Шустов М.В., Ганькова К.Л. Пат. 2793284 (2023). РФ. Б.И. 2023, № 10.
- Минин Д.В., Попков С.В., Бурдейный М.Л., Гончаров В.М., Василевский С.В. Тонкие хим. технологии. 2019, 14, 60–69. https://doi.org/10.32362/2410-6593-2019-14-3-60-69
- Минин Д.В., Попков С.В., Цаплин Г.В. ЖОрХ. 2023, 59, 145–154. [Minin D.V., Popkov S.V., Tsaplin G.V. Rus. J. Org. Chem. 2023, 59, 207–223.] https://doi.org/10.1134/S107042802302001X
- Минин Д.В., Попков С.В., Песочинская К.В., Алексанов Д.Р. Изв. АН. Сер. хим. 2023, 72, 1648–1653. [Minin D.V., Popkov S.V., Pesochinskaya K.V., Aleksanov D.R. Russ. Chem. Bull. 2023, 72, 1648–1653.] https://doi.org/10.1007/s11172-023-3944-5
- Минин Д.В., Попков С.В., Романова Ю.Е., Бабаянц Н.А. Хим. техн. орг. веществ. 2023, 3, 4–15.
- Глушкова М.А., Попков С.В., Бурдейный М.Л. ЖОрХ. 2020, 56, 379–353. [Glushkova M.A., Popkov S.V., Burdeinyi M.L. Rus. J. Org. Chem. 2020, 56, 390–394.] https://doi.org/10.1134/S1070428020030057
- Глушкова М.А., Попков С.В., Марцынкевич А.М. Хим. фарм. журн. 2020, 54, 15–20. [Glushkova M.A., Popkov S.V., Martsynkevich A.M. Pharm. Chem. J. 2020, 54, 694–699.] https://doi.org/10.1007/s11094-020-02271-2
- Глушкова М.А., Попков С.В., Марцынкевич А.М., Бурдейный М.Л. Хим. фарм. журн. 2021, 55, 33–39. [Glushkova M.A., Popkov S.V., Martsynkevich A.M., Burdeinyi M.L. Pharm. Chem. J. 2021, 55, 142–148.] https://doi.org/10.1007/s11094-021-02390-4
- Yaremenko I.A., dos Passos Gomes G., Radulov P.S., Belyakova Y.Y., Vilikotskiy A.E., Vil’ V.A., Korlyukov A.A., Nikishin G.I., Alabugin I.V., Terentev A.O. J. Org. Chem. 2018, 83, 4402–4426. https://doi.org/10.1021/acs.joc.8b00130
- Coghi P., Yaremenko I.A., Prommana P., Radulov P.S., Syroeshkin M.A., Wu Y.J., Gao J.Y., Gordillo F.M., Mok S., Wong V.K.W., Uthaipibull C., Terentev A.O. ChemMedChem. 2018, 13, 902–908. https://doi.org/10.1002/cmdc.201700804
- Yaremenko I.A., Radulov P.S., Belyakova Y.Y., Demina A.A., Fomenkov D.I., Barsukov D.V., Subbotina I.R., Fleury F., Terent’ev A.O. Chem. Eur. J. 2020, 26, 4734–4751. https://doi.org/10.1002/chem.201904555
- Шарипов М.Ю., Крылов И.Б., Карпов И.Д., Василькова О.В., Терентьев А.О. ХГС. 2021, 57, 531–537. [Sharipov M.Yu., Krylov I.B., Karpov I.D., Vasilkova O.V., Terent’ev A.O. Chem. Het. Comp. 2021, 57, 531–537.] https://doi.org/10.1007/s10593-021-02938-y
- Bityukov O.V., Kirillov A.S., Serdyuchenko P.Yu., Kuznetsova M.A., Demidova V.N., Vil’ V.A., Terent’ev A.O. Org. Biomol. Chem. 2022, 20, 3629–3636. https://doi.org/10.1039/D2OB00343K
- Krylov I.B., Budnikov A.S., Lopat’eva E.R., Nikishin G.I., Terent’ev A.O. Chem. Eur. J. 2019, 25, 5922–5933. https://doi.org/10.1002/chem.201806172
- Lopat’eva E.R., Budnikov A.S., Krylov I.B., Alekseenko A.L., Ilovaisky A.I., Glinushkin A.P., Terent’ev A.O. Agrochemicals. 2023, 2, 34–46. https://doi.org/10.3390/agrochemicals2010004
- Vil’ V.A., Grishin S.S., Baberkina E.P., Alekseenko A.L., Glinushkin A.P., Kovalenko A.E., Terent’ev A.O. Adv. Synth. Catal. 2022, 364, 1098–1108. https://doi.org/10.1002/adsc.202101355
- Mulina O.M., Bokova E.D., Doronin M.M., Terent’ev A.O. ACS Agric. Sci. Technol. 2023, 3, 720–724. https://doi.org/10.1021/acsagscitech.3c00072
- Vil’ V.A., Gorlov E.S., Bityukov O.V., Barsegyan Y.A., Romanova Y.E., Merkulova V.M., Terent’ev A.O. ACS Catal. 2019, 361, 3173–3181. https://doi.org/10.1002/adsc.201900271
- Кузенков А.В., Захарычев В.В ЖОрХ. 2019, 55, 1063–1068. [Kuzenkov A.V., Zakharychev V.V. Rus. J. Org. 2019, 55, 964–968.] https://doi.org/10.1134/S1070428019070078
- Захарычев В.В, Марцынкевич А.М., Марцын-кевич М.К., Кузенков А.В. Пат. 2698300 (2019). РФ. Б.И. 2019, № 24.
- Кузенков А.В, Захарычев В.В., Волкова А.Н. ЖОрХ. 2018, 54, 758–760. [Kuzenkov A.V., Zakharychev V.V., Volkova A.N. Rus. J. Org. 2018, 54, 763–765.] https://doi.org/10.1134/S1070428018050147
- Захарычев В.В. Грибы и фунгициды: учебное пособие. СПб.: Лань, 2019.
- Захарычев В.В. Химия гербицидов: учебное пособие. СПб.: Лань, 2022.
- Захарычев В.В. Химия биологически активных веществ. Фитогормоны, биостимуляторы и другие регуляторы роста растений: учебик для вузов. СПб.: Лань, 2023.
- Mantrov S.N., Gordeev D.A., Dashkin R.R., Nefedov P.A., Seferyan M.A. Int. J. Chem. Kinet. 2019, 51, 777–785. https://doi.org/10.1002/kin.21308
- Дашкин Р.Р., Гордеев Д.А., Гафуров Х.Х., Мантров С.Н. Бутлеровские сообщения. 2019, 58, 40–47. https://doi.org/10.37952/ROI-jbc-01/19-58-4-40
- Толстова А.В., Нефедов П.А., Гордеев Д.А., Мантров С.Н., Дашкин Р.Р. Пат. 2641109 (2018). РФ. Б.И. 2018, № 2.
- Дашкин Р.Р. Пат. 2750198 (2021). РФ. Б.И. 2021, № 18.
- Кустова Т.П., Локтева И.И., Кочетова Л.Б., Хачатрян Д.С. ЖОрХ. 2020, 56, 933–940. [Kustova T.P., Lokteva I.I., Kochetova L.B., Khachatryan D.S. Russ. J. Org. Chem. 2020, 56, 1034–1040.] https://doi.org/10.1134/S1070428020060111
- Кустова Т.П., Кочетова Л.Б., Хачатрян Д.С. ЖОрХ. 2022, 58, 422–429. [Kustova T.P., Kochetova L.B., Khachatryan D.S. Russ. J. Org. Chem. 2022, 58, 422–429.] https://doi.org/10.1134/S1070428022040078
- Кустова Т.П., Кочетова Л.Б. Изв. АН. Сер. хим. 2019, 68, 809–816. [Kustova T.P., Kochetova L.B. Russ. Chem. Bull. 2019, 68, 809–816.] https://doi.org/10.1007/s11172-019-2489-0
- Кочетова Л.Б., Кустова Т.П., Троицкая У.В., Васильева Е.В., Хачатрян Д.С. Бутлеровские сообщения. 2022, 71, 51–60. [Kochetova L.B., Kustova T.P., Troitskaya U.V., Vasil’eva E.V., Khachatryan D.S. Butlerov. Soobshch. 2022, 71, 51–60.] https://doi.org/10.37952/ROI-jbc-01/22-71-7-51
- Кочетова Л.Б., Кустова Т.П., Курицын Л.В. ЖОХ. 2018, 88, 84–89. [Kochetova L.B., Kustova T.P., Kuritsyn L.V. Russ. J. Gen. Chem. 2018, 88, 80–85.] https://doi.org/10.1134/S1070363218010127
- Кустова Т.П., Кочетова Л.Б. Изв. вузов. Химия и хим. технология. 2023, 66, 41–48. [Kustova T.P., Koche-tova L.B. ChemChemTech. 2023, 66, 41–48.] https://doi.org/10.6060/ivkkt.20236612.6892
- Кустова Т.П., Агафонов М.А., Круглякова А.А., Кочетова Л.Б. ЖОрХ. 2019, 55, 891–895. [Kustova T.P., Agafonov M.A., Kruglyakova A.A., Kochetova L.B. Russ. J. Org. Chem. 2019, 55, 891–895.] https://doi.org/10.1134/S1070428019060083
- Кустова Т.П., Кочетова Л.Б., Круглякова А.А. ЖОрХ. 2021, 57, 1098–1102. [Kustova T.P., Kochetova L.B., Kruglyakova A.A. Russ. J. Org. Chem. 2021, 57, 1098–1102.] https://doi.org/10.1134/S1070428021070101
- Klyuev M.V., Magdalinova N.A. Nanoscience and Technology. 2019, 10, 293–302. https://doi.org/10.1615/NanoSciTechnolIntJ.2020031919
- Клюев М.В., Магдалинова Н.А. Органические и гибридные наноматериалы: получение, исследование, применение: монография / Ред. В.Ф. Разумов, М.В. Клюев. Иваново: Иван. гос. ун-т, 2023, 370–399.
- Klyuev M.V., Magdalinova N.A., Klyueva M.E., Tikhomirova T.V., Maizlish V.E. Macroheterocycles. 2021, 14, 201–203. https://doi.org/10.6060/mhc211247k
- Kalmykov P.A., Magdalinova N.A., Belkina E.G., Klyuev M.V., Lysenok A.A., Gruzdev M.S. Petroleum Chemistry. 2020, 60, 1148–1153. https://doi.org/10.1134/S0965544120100060
- Magdalinova N.A., Novikova K.S., Klyuev M.V. High Energy Chemistry. 2023, 57, S340–S341. https://doi.org/10.1134/S0018143923080179
- Магдалинова Н.А., Заморецков Д.С., Смирнов Н.Н., Клюев М.В. Бутлеровские сообщения. 2023, 73, 12–19. [Magdalinova N.A., Zamoretskov D.S., Smirnov N.N., Klyuev M.V. Butlerov. Soobshch. 2023, 73, 12–19.] https://doi.org/10.37952/ROI-jbc-01/23-73-3-12
- Шапенова Д.С., Магдалинова Н.А., Клюев М.В. ЖОрХ. 2019, 55, 1388–1392. [Shapenova D.S., Magdalinova N.A., Klyuev M.V. Russ. J. Org. Chem. 2019, 55, 1305–1309.] https://doi.org/10.1134/S1070428019090070
- Syrbu S.A., Fedorov M.S., Giricheva N.I., Novikov V.V., Filippov I.A., Kiselev M.R. J. of Molecular Liquids. 2020, 305, 112796. https://doi.org/10.1016/j.molliq.2020.112796
- Федоров М.С., Филиппов И.А., Гиричева Н.И., Сырбу С.А., Киселев М.Р. Жидкие кристаллы и их практическое использование. 2022, 22, 26–37. https://doi.org/10.18083/LCAppl.2022.3.26
- Giricheva N.I., Syrbu S.A., Fedorov M.S., Bubnova K.E., Girichev G.V., Kiselev M.R. J. of Molecular Liquids. 2019, 277, 833–842. https://doi.org/10.1016/j.molliq.2019.01.029
- Giricheva N.I., Fedorov M.S., Bubnova K.E., Zhabanov Y.A., Girichev G.V.J. of Molecular Liquids. 2022, 350, 118521. https://doi.org/10.1016/j.molliq.2022.118521
- Fedorov M.S., Giricheva N.I., Syrbu S.A., Belova E.A., Filippov I.A., Kiselev M.R. J. of Molecular Structure. 2021, 1244, 130890. https://doi.org/10.1016/j.molstruc.2021.130890
- Федоров М.С., Лапыкина Е.А., Гиричева Н.И., Филиппов А.А. Журнал структурной химии. 2023, 64, 114392. [Fedorov M.S., Lapykina E.A., Giricheva N.I., Filippov A.A. J .Struct. Chem. 2023, 64, 1412–1422.] https://doi.org/10.1134/S0022476623080061
- Khlyustova A.V., Sirotkin N.A., Naumova I.N., Tarasov A.L., Titov V.A. Plasma Chemistry and Plasma Processing. 2022, 42, 587–603. https://doi.org/10.1007/s11090-022-10237-3
- Sirotkin N.A., Khlyustova A.V., Costerin D.Yu., Naumova I.N., Titov V.A., Agafonov A.V. Polymer Bulletin. 2023, 80, 5655–5674. https://doi.org/10.1007/s00289-022-04348-2
- Titov V.A., Naumova I.K., Khlyustova A.V., Sirotkin N.A. High Energy Chemistry. 2023, 57, 238–242. https://doi.org/10.1134/S001814392307055x
- Naumova I.K., Titov V.A., Khlyustova A.V., Agafonov A.V. Applied Physics. 2023, 5, 84–90. https://doi.org/10.51368/1996-0948-2023-5-84-90
- Коновалов А.И., Антипин И.С., Бурилов В.А., Кобраков К.И., Кузнецов Д.Н. ЖОрХ. 2018, 54, 161–360. [Konovalov A.I., Antipin I.S., Burilov K.I., Kobrakov K.I., Kuznetsov D.N. Russ. J. Org. Chem. 2018, 54, 157–371.] https://doi.org/10.1134/S107042801802001X
- Aryl Diazonium Salts and Related Compounds. Eds. Chehimi M.M., Pinson J., Mousli F. Springer, 2022. https://doi.org/10.1007/978-3-031-04398-7
- Filimonov V.D., Krasnokutskaya E.A., Kassanova A.Z., Fedorova V.A., Stankevich K.S., Naumov N.G., Bondarev A.A., Kataeva V.A. Eur. J. Org. Chem. 2019, 4, 665–674. https://doi.org/10.1002/ejoc.201800887
- Bondarev A.A., Naumov E.V, Kassanova A.Z., Krasnokutskaya E.A., Stankevich K.S, Filimonov V.D. Org. Process Res. Dev. 2019, 23, 2405–2415. https://doi.org/org/10.1021/acs.oprd.9b00307
- Санжиев А.Н., Краснокутская Е.А., Ерин К.Д., Филимонов В.Д. ЖОрХ. 2021, 57, 842–851. [Sanzhiev A.N., Krasnokutskaya E.A., Erin K.D., Filimonov V.D. Rus. J. Org. Chem. 2021, 57, 922–929.] https://doi.org/10.31857/S0514749221060069
- Filimonov V.D., Sanzhiev A.N., Gulyaev R.O., Krasnokutskaya E.A., Bondarev A.A. Chem. Heterocycl. Compd. 2022, 58, 721–726. https://doi.org/10.1007/s10593-023-03148-4
- Санжиев А.Н., Потапова М.И., Краснокутская Е.А., Филимонов В.Д. ЖОрХ. 2020, 56, 920–926. [Sanzhiev A. N., Potapova M. I., Krasnokutskaya, Filimonov V.D. Rus. J. Org. Chem. 2020, 56, 1023–1028.] https://doi.org/10.31857/S0514749220060099
- Stankevich K.S., Bondarev A.A., Lavrinenko A.K., Filimonov V.D. Chem. Select. 2019, 4, 2933–2940. https://doi.org/org/10.1002/slct.201803911
- Stankevich K.S., Lavrinenko A.K., Filimonov V.D. J. Molec. Model. 2021, 27, 305. https://doi.org/org/10.1007/s00894-021-04914-x
- Danilenko N., Shmalyuk V., Khlebnikov A. Molbank. 2021, 3, M1242. https://doi.org/org/10.3390/M1242
- Kuksenok V.Yu., Shtrykova V.V., Filimonov V.D., Druganov A.G., Bondarev A.A. Chirality. 2018, 30, 1135–1143. https://doi.org/10.1002/chir.23005
- Shushpanova T.V., Bokhan N.A., Kuksenok V.Yu., Shtrykova V.V., Shushpanova O.V., Udut V.V. Mendeleev Commun. 2023, 33, 546–549. https://doi.org/10.1016/j.mencom.2023.06.034
- Куксенок В.Ю., Цуй Я., Штрыкова В.В., Филимонов В.Д., Шушпанова Т.В. ЖОрХ. 2023, 59, 1228–1232. [Kuksenok V.Yu., Cui Y., Shtrykova V.V., Filimonov V.D., Shushpanova T.V. Rus. J. Org. Chem. 2023, 59, 1627–1630.] https://doi.org/10.31857/S0514749223090136
- Mezentseva O.L., Slepchenko G.B., Filimonov V.D., Arbit G.A. Analitika i Kontrol. 2018, 22, 206–213. https://doi.org/10.15826/analitika.2018.22.2.011
- Lakeev A.P, Frelikh G.A, Yanovskaya E.A, Kovrizhina A.R, Udut V.V. Bioanalysis. 2023, 14, 1423–1441. https://doi.org/10.4155/bio-2022-0193
- Schepetkin I.A., Kovrizhina A.R., Stankevich K.S., Khlebnikov A.I., Kirpotina L.N., Quinn M.T, Cook M.J. Frontiers in Pharmacology. 2022, 13, 958687. https://doi.org/org/10.3389/fphar.2022.958687
- Schepetkin I.A., Chernysheva G.A., Aliev O.I., Kirpotina L.N., Smol’yakova V.I., Osipenko A.N, Plotnikov M.B., Kovrizhina A.R., Khlebnikov A.I., Plotnikov E.V., Quinn M.T. Biomedicines. 2022, 10, 2119. https://doi.org/org/10.3390/biomedicines10092119
- Liakhov S.A., Schepetkin I.A., Karpenko O.S., Duma H.I., Haidarzhy N.M., Kirpotina L.N., Kovrizhina A.R., Khlebnikov A.I., Bagryanskaya I.Y., Quinn M.T. Molecules. 2021, 26, 5688. https://doi.org/10.3390/molecules26185688
- Kovrizhina A.R., Kolpakova A.A., Kuznetzov A.A., Khlebnikov A.I. Molbank. 2022, 4, M1451. https://doi.org/org/10.3390/M1451
- Kovrizhina A.R., Samorodova E.I., Khlebnikov A.I. Molbank. 2021, 4, M1299. https://doi.org/org/10.3390/M1299
- Stankevich K.S., Schepetkin I.A., Goreninskii S.I., Lavrinenko A.K., Bolbasov E.N., Kovrizhina A.R., Kirpotina L.N., Filimonov V.D., Khlebnikov A.I., Tverdokhlebov S.I., Quinn M.T. ACS Biomaterials Science & Engineering. 2019, 5, 5990–5999. https://doi.org/10.1021/acsbiomaterials.9b01401
- Schepetkin A.I., Khlebnikov A.I., Potapov A.S., Kovrizhina A.R., Matveevskaya V.V., Belyanin M.L., Atochin D.N., Zanoza S.O., Gaidarzhy N.M., Lyakhov S.A., Kirpotina L.N., Quinn M.T. Eur. J. Med. Chem. 2019, 161, 179–191. https://doi.org/10.1016/j.ejmech.2018.10.023
- Павловский В.И., Карасева Т.Л., Семенишина Е.А., Андронати К.С., Юрпалова Т.А., Онуфриенко О.В., Кривенко Я.Р., Крысько А.А., Андронати С.А. Хим. Фарм. Ж. 2019, 53, 16–20. [Pavlovsky V.I., Karaseva T.L., Semenishina E.A., Andronati K.S., Yurpalova T.A., Onufrienko O.V., Krivenko Ya.R., Krys’ko A.A., Andronati S.A. Pharm. Chem. J. 2019, 53, 207–211.] https://doi.org/10.1007/s11094-019-01980-7
- Andronati S.A., Karaseva T.L., Krivenko Ya.R., Pavlovsky V.I., Onufrienko O.V., Shandra A.A. Neurophysiology, 2017, 49, 405–411. https://doi.org/10.1007/s11062-018-9703-9
- Карасева Т.Л., Лихота Е.Б., Кривенко Я.Р., Семиб-ратьев С.А., Павловский В.И. Хим. Фарм. Ж. 2017, 51, 16–19. [Karaseva T.L., Likhota E.B., Krivenko Ya.R., Semibrat’ev S.A., Pavlovskii V.I. Pharm. Chem. J., 2017, 51, 258–261.] https://doi.org/10.1007/s11094-017-1594-
- Stankevich K.S., Danilenko N.V., Gadirov R.M., Goreninskii S.I., Tverdokhlebov S.I., Filimonov V.D. Mater. Sci. Eng. C. 2017, 71, 862–869. https://doi.org/org/10.1016/j.msec.2016.10.078
- Kudryavtseva V., Stankevich K., Gudima A., Kibler E., Zhukov Y., Bolbasov E., Malashicheva A., Zhuravlev M., Riabov V., Liu T., Filimonov V., Remnev G., Kluter H., Kzyshkowska J. Tverdokhlebov S. Mater. Design. 2017, 127, 261–271. https://doi.org/org/10.1016/j.matdes.2017.04.079
- Goreninskii, S.I., Guliaev, R.O., Stankevich, K.S., Danilenko, N.V., Bolbasov, E.N., Golovkin, A.S., Mishanin, A.I., Filimonov, V.D., Tverdokhlebov, S.I. Colloids and Surfaces B: Biointerfaces. 2019, 177, 137–140. https://doi.org/org/10.1016/j.colsurfb.2019.01.060
- Kudryavtseva V., Stankevich K., Kozelskaya A., Kibler E., Zhukov Y.,Malashicheva A., Golovkin A., Mishanin A., Filimonov V., Bolbasov E., Tverdokhlebov S. Appl. Surf. Sci. 2020, 529, 147196. https://doi.org/10.1016/j.apsusc.2020.147196
- Stankevich K.S., Danilenko N.V., Gadirov R.M., Goreninskii S.I., Tverdokhlebov S.I., Filimonov V.D. Mater. Sci. Eng. C. 2017, 71, 862–869. https://doi.org/10.1016/j.msec.2016.10.078
- Goreninskii S.I., Bolbasov E.N., Sudarev E.A., Stankevich K.S., Anissimov Y.G., Golovkin A.S., Mishanin A.I., Viknianshchuk A.N., Filimonov V.D., Tverdokhlebov S.I. Materials Lett. 2018, 214, 64–67. https://doi.org/org/10.1016/j.matlet.2017.11.115
- Stankevich K.S., Schepetkin I.A., Goreninskii S.I., Filimonov V.D., Khlebnikov A.I., Tverdokhlebov S.I., Quinn M.T. ACS Biomater. Sci. Engineering. 2019, 5, 5990–5999. https://doi.org/10.1021/acsbiomaterials.9b01401
- Schepetkin I.A., Karpenko A.S., Khlebnikov A.I., Shibinskaya M.O., Levandovskiy I.A., Kirpotina L.N., Danilenko N.V., Quinn M.T. Eur. J. Med. Chem. 2019, 183, 111719. https://doi.org/10.1016/j.ejmech.2019.111719
- Danilenko N.V., Bolbasov E.N., Khlebnikov A.I., Schepetkin I.A., Tverdokhlebov S.I., Quinn M.T. Mater. Lett. 2022, 327, 133062. https://doi.org/org/10.1016/j.matlet.2022.133062
- Goreninskii S., Volokhova A., Frolova A., Buldakov M., Cherdyntseva N., Choynzonov E., Sudarev E., Filimonov V., Tverdokhlebov S., Bolbasov E. J. Pharmaceutical Sci. 2023, 112, 2752–2757. https://doi.org/org/10.1016/j.xphs.2023.08.025
- Goreninskii S., Danilenko N., Bolbasov E., Evtina A., Buldakov M., Cherdyntseva N., Saqib M., Beshchasna N., Opitz J., Filimonov V., Tverdokhlebov S. J. Appl. Polymer Sci. 2021, 138, e50535. https://doi.org/10.1002/app.50535
- Otvagin V.F., Kuzmina N.S., Kudriashova E.S., Nyuchev A.V., Gavryushin A.E., Fedorov A. Yu. J. Med. Chem. 2022, 65, 1695–1734. https://doi.org/10.1021/acs.jmedchem.1c01953
- Gracheva I.A., Shchegravina E.S., Schmalz H.–G., Beletskaya I.P., Fedorov A.Yu. J. Med. Chem. 2020, 63, 10618–10651. https://doi.org/10.1021/acs.jmedchem.0c00222
- Hoffer L., Voitovich Y.V., Raux B., Carrasco K., Muller C., Fedorov A.Y., Derviaux C., Amouric A., Betzi S., Horvath D., Varnek A., Collette Y., Combes S., Roche P., Morelli X. J. Med. Chem. 2018, 61, 5719–5732. https://doi.org/10.1021/acs.jmedchem.8b00653
- Zapevalova M.V., Shchegravina E.S., Fonareva I.P., Salnikova D.I., Sorokin D.V., Scherbakov A.M., Maleev A.A., Ignatov S.K., Grishin I.D., Kuimov A.N., Konovalova M.V., Svirshchevskaya E.V., Fedorov A.Yu. Int. J. Mol. Sci. 2022, 23, 10854. https://doi.org/10.3390/ijms231810854
- Sachkova A.A., Andreeva D.V., Tikhomirov A.S., Scherbakov A.M., Salnikova D.I., Sorokin D.V., Bogdanov F.B., Rysina Y.D., Shchekotikhin A.E., Shchegravina E.S., Fedorov A.Yu. Pharmaceutics. 2022, 14, 2829. https://doi.org/10.3390/pharmaceutics14122829
- Koifman O.I., Ageeva T.A., Beletskaya I.P., Averin A.D., Yakushev A.A., Tomilova L.G., Dubinina T.V., Tsivadze A.Yu., Gorbunova Y.G., Martynov A.G., Konarev D.V., Khasanov S.S., Lyubovskaya R.N., Lomova T.N., Korolev V.V., Zenkevich E.I., Blaudeck T., Von Borczyskowski C., Zahn D.R.T., Mironov A.F., Bragina N.A., Ezhov A.V., Zhdanova K.A., Stuzhin P.A., Pakhomov G.L., Rusakova N.V., Semenishyn N.N., Smola S.S., Parfenyuk V.I., Vashurin A.S., Makarov S.V., Dereven’kov I.A., Mamardashvili N.Zh., Kurtikyan T.S., Martirosyan G.G., Burmistrov V.А., Aleksandriiskii V.V., Novikov I.V., Pritmov D.A., Grin M.A., Suvorov N.V., Tsigankov A.A., Fedorov A.Yu., Kuzmina N.S., Nyuchev A.V., Otvagin V.F., Kustov A.V., Belykh D.V., Berezin D.B., Solovieva A.B., Timashev P.S., Milaeva E.R., Gracheva Y.A., Dodokhova M.A., Safronenko A.V., Shpakovsky D.B., Syrbu S.A., Gubarev Y.A., Kiselev A.N., Koifman M.O., Lebedeva N.Sh., Yurina E.S. Macroheterocycles. 2020, 13, 311–467. https://doi.org/10.6060/mhc200814k
- Koifman O.I., Ageeva T.A., Kuzmina N.S., Otvagin V.F., Nyuchev A.V., Fedorov A.Yu., Belykh D., Lebedeva N.Sh., Yurina E.S., Syrbu S.A., Koifman M.O., Gubarev Y.A. Macroheterocycles. 2022, 15, 207–302. https://doi.org/10.6060/mhc224870k
- Nyuchev A., Otvagin V., Gavryushin A., Romanenko Y., Koifman O., Belykh D., Schmalz H.–G., Fedorov A. Synthesis. 2015, 47, 3717–3726. https://doi.org/10.1055/s-0034-1378876
- Kuzmina N.S., Otvagin V.F., Krylova L.V., Nyuchev A.V., Romanenko Y.V., Koifman O.I., Balalaeva I.V., Fedorov A.Yu. Mendeleev Commun. 2020, 30, 159–161. https://doi.org/10.1016/j.mencom.2020.03.009
- Otvagin V.F., Nyuchev A.V., Kuzmina N.S., Grishin I.D., Gavryushin A.E., Romanenko Y.V., Koifman O.I., Belykh D.V., Peskova N.N., Shilyagina N.Y., Balalaeva I.V., Fedorov A. Yu. Eur. J. Med. Chem. 2018, 144, 740–750. https://doi.org/10.1016/j.ejmech.2017.12.062
- Otvagin V.F., Kuzmina N.S., Krylova L.V., Volovetsky A.B., Nyuchev A.V., Gavryushin A.E., Meshkov I N., Gorbunova Y.G., Romanenko Y.V., Koifman O.I., Balalaeva I.V., Fedorov A.Y. J. Med. Chem. 2019, 62, 11182–11193. https://doi.org/10.1021/acs.jmedchem.9b01294
- Krylova L.V., Peskova N.N., Otvagin V.F., Kuzmina N.S., Nyuchev A.V., Fedorov A.Yu., Balalaeva I.V. Opera Medica Physiol. 2022, 9, 5–14. https://doi.org/10.24412/2500-2295-2022-3-5-14
- Shchegravina E.S., Sachkova A.A., Usova, S.D., Nyuchev A.V., Gracheva Yu.A., Fedorov A.Yu. J. Bioorganic Chem. 2021, 47, 71–98. https://doi.org/10.1134/S1068162021010222
- Kuzmina N.S., Otvagin V.F., Maleev A.A., Urazaeva M.A., Nyuchev A.V., Ignatov S.K., Gavryushin A.E., Fedorov A.Yu. J. Photochem. Photobiol. Chem. 2022, 433, 114138. https://doi.org/10.1016/j.jphotochem.2022.114138
- Nyuchev A.V., Kochetkov E.N., Schegravin K.V., Zamyshlyayeva O.G., Baten’kin M.A., Samsonov M.A., Koifman O.I., Romanenko Y.V., Melnikova N.B., Fedorov A.Yu. Mendeleev Commun. 2017, 27, 610–612. https://doi.org/10.1016/j.mencom.2017.11.024
- Бухвалова С.Ю., Малеев А.А., Грачева Ю.А., Войтович Ю.В., Игнатов С.К., Свирщевская Е.В., Федоров А.Ю. Изв. АН. Сер. хим. 2019, 68, 2205–2215. [Bukhvalova S.Yu., Maleev A.A., Gracheva Yu.A., Voitovich Yu.V., Ignatov S.K., Svirshchevskaya E.V., Fedorov A.Yu. Russ. Chem. Bull. 2019, 68, 2205–2215.] https://doi.org/10.1007/s11172-019-2689-7
- Gracheva I., Svirshchevskaya E., Faerman V., Beletskaya I., Fedorov A. Synthesis. 2018, 50, 2753–2760. https://doi.org/10.1055/s-0037-1610146
- Gracheva I.A., Voitovich I.V., Faerman V.I., Sitnikov N.S., Myrsikova E.V., Schmalz H.-G., Svirshevskaya E.V., Fedorov A.Y. Eur. J. Med. Chem. 2017, 126, 432–443. https://doi.org/10.1016/j.ejmech.2016.11.020
- Shchegravina E., Svirshchevskaya E., Schmalz H.-G., Fedorov A. Synthesis. 2019, 51, 1611–1622. https://doi.org/10.1055/s-0037-1610673
- Shchegravina E.S., Maleev A.A., Ignatov S.K., Gracheva I.A., Stein A., Schmalz H.-G., Gavryushi, A.E., Zubareva A.A., Svirshchevskaya E.V., Fedorov A.Yu. Eur. J. Med. Chem. 2017, 141, 51–60. https://doi.org/10.1016/j.ejmech.2017.09.055
- Щегравина Е.С., Усова С.Д., Баев Д.С., Можай-цев Е.С., Щербаков Д.Н., Беленькая С.В., Волос-никова Е.А., Чиркова В.Ю., Шарлаева Е.А., Свир-щевская Е.В., Фонарева И.П., Ситдикова А.Р., Салахутдинов Н.Ф., О.И., Федоров А. Ю. Изв. АН, Сер. Хим. 2023, 72, 248–262. [Shchegravina E.S., Usova S.D., Baev D.S., Mozhaitsev E.S., Shcherbakov D.N., Belenkaya S.V., Volosnikova E.A., Chirkova V.Yu., Sharlaeva E.A., Svirshchevskaya E.V., Fonareva I.P., Sitdikova A.R., Salakhutdinov N.F., Yarovaya O.I., Fedorov A.Yu. Russ. Chem. Bull. 2023, 72, 248–262.] https://doi.org/10.1007/s11172-023-3730-4.
- Зотов А.С., Щегравина Е.С., Федоров А.Ю. ЖОрХ. 2018, 54, 1498–1504. [Zotov A.S., Shchegravina E.S., Fedorov A.Yu. Russ. J. Org. Chem. 2018, 54, 1498–1504.] https://doi.org/10.1134/S107042801810010X
- Gracheva I.A., Schmalz H.-G., Svirshchevskaya E.V., Shchegravina E.S., Fedorov A.Yu. Org. Biomol. Chem. 2023, 21, 6141–6150. https://doi.org/10.1039/D3OB00827D
- Stein A., Hilken N.T.P., Frias C., Hopff S.M., Varela P., Wilke N., Mariappan A., Neudörfl J.-M., Fedorov A.Y., Gopalakrishnan J., Gigant B., Prokop A., Schmalz H.-G. ACS Omega. 2022, 7, 2591–2603. https://doi.org/10.1021/acsomega.1c04659
- Gracheva I.A., Svirshchevskaya E.V., Shchegravina E.S., Malysheva Y.B., Sitdikova A.R., Fedorov A.Yu. Pharmaceutics. 2023, 15, 1034. https://doi.org/10.3390/pharmaceutics15041034
- Shchegravina E.S., Svirshchevskaya E.V., Combes S., Allegro D., Barbier P., Gigant B., Varela P.F., Gavryushin A.E., Kobanova D.A., Shchekotikhin A.E., Fedorov A.Y. Eur. J. Med. Chem. 2020, 207, 112724. https://doi.org/10.1016/j.ejmech.2020.112724
- Sazanova E.S., Gracheva I.A., Allegro D., Barbier P., Combes S., Svirshchevskaya E.V., Fedorov A.Y. RSC Med. Chem. 2020, 11, 696–706. https://doi.org/10.1039/D0MD00060D
- Молькова E.A., Щегравина Е.С., Отвагин В.Ф., Кузьмина Н.С., Малышева Ю.Б., Свирщевская Е.В., Забурдаева Е.А., Федоров А.Ю. Изв. АН, Сер. хим. 2022, 71, 564–571. [Mol’kova E.A., Shchegravina E.S., Otvagin V.F., Kuzmina N.S., Malysheva Yu.B., Svirshchevskaya E.V., Zaburdaeva E.A., Fedorov A.Yu. Russ. Chem. Bull. 2022, 71, 564–571.] https://doi.org/10.1007/s11172-022-3449-7
- Gracheva I., Konovalova M., Aronov D., Moiseeva E., Fedorov A., Svirshchevskaya E. Polymers. 2021, 13, 2045. https://doi.org/10.3390/polym13132045
- Shchegravina E.S., Tretiakova D.S., Sitdikova A.R., Usova S.D., Boldyrev I.A., Alekseeva A.S., Svirshchevskaya E.V., Vodovozova E.L., Fedorov A.Yu. J. Liposome Res. 2023, 1. https://doi.org/10.1080/08982104.2023.2274428
- Shchegravina E.S., Tretiakova D.S., Alekseeva A.S., Galimzyanov T.R., Utkin Y.N., Ermakov Y.A., Svirshchevskaya E.V., Negrebetsky V.V., Karpechenko N.Yu., Chernikov V.P., Onishchenko N.R., Vodovozova E.L., Fedorov A.Yu., Boldyrev I.A. Bioconjug. Chem. 2019, 30, 1098–1113. https://doi.org/10.1021/acs.bioconjchem.9b00051
- Sitnikov N.S., Malysheva Y.B., Fedorov A.Yu., Schmalz H. Eur. J. Org. Chem. 2019, 2019, 6830–6837. https://doi.org/10.1002/ejoc.201901206
- Kudriashova E.S., Yarushina M.A., Gavryushin A.E., Grishin I.D., Malysheva Y.B., Otvagin V.F., Fedorov A.Yu. Org. Lett. 2023, 25, 4996–5000. https://doi.org/10.1021/acs.orglett.3c01576
- Кузнецова Ю.Л., Вавилова А.С., Малышева Ю.Б., Лопатин М.А., Гришин И.Д., Бурдюкова Т.О., Забурдаева Е.А., Полозов Е.Ю., Федоров А.Ю. Изв. АН. Сер. хим. 2020, 69, 1470–1477. [Kuznetsova Yu.L., Vavilova A.S., Malysheva Yu.B., Lopatin M.A., Grishin I.D., Burdyukova T.O., Zaburdaeva E.A., Polozov E.Yu., Fedorov A.Yu. Russ. Chem. Bull. 2020, 69, 1470–1477.] https://doi.org/10.1007/s11172-020-2925-1
- Кузнецова Ю.Л., Мозалева П.Г., Вавилова А.С., Калинина Е.А. Изв. АН. Сер. хим. 2020, 69, 763–767. [Kuznetsova Yu.L., Mozaleva P.G., Vavilova A.S., Kalinina E.A. Russ. Chem. Bull. 2020, 69, 763–767.] https://doi.org/10.1007/s11172-020-2830-7
- Калинина Е.А., Вавилова А.С., Сустаева К.С., Кузнецова Ю.Л. Изв. АН. Сер. хим. 2021, 70, 1775–1783. [Kalinina E.A., Vavilova A.S., Sustaeva K.S., Kuznetsova Yu.L. Russ. Chem. Bull. 2021, 70, 1775–1783.] https://doi.org/10.1007/s11172-021-3282-4
- Вавилова А.С., Бурдюкова Т.О., Сустаева К.С., Забурдаева Е.А., Кузнецова Ю.Л. Изв. АН. Сер. хим. 2022, 71, 374–381. [Vavilova A.S., Burdyukova T.O., Sustaeva K.S., Zaburdaeva E.A., Kuznetsova Yu.L. Russ. Chem. Bull. 2022, 71, 374–381.] https://doi.org/10.1007/s11172-022-3422-5
- Кузнецова Ю.Л., Нючев А.В., Леншина Н.А., Лопатин М.А., Игнатов С.К., Чесноков С.А., Шурыгина М.П., Вавилова А.С., Федоров А.Ю. Изв. АН. Сер. хим. 2018, 67, 1671–1678. [Kuznetsova Yu.L., Nyuchev A.V., Lenshina N.A., Lopatin M.A., Ignatov S.K., Chesnokov S.A., Shurygina M.P., Vavilova A.S., Fedorov A.Yu. Russ. Chem. Bull. 2018, 67, 1671–1678.] https://doi.org/10.1007/s11172-018-2275-4
- Kuznetsova Y.L., Sustaeva K.S., Vavilova A.S., Markin A.V., Lyakaev D.V., Mitin A.V., Semenycheva L.L. J. Organomet. Chem. 2020, 924, 121431. https://doi.org/10.1016/j.jorganchem.2020.121431
- Кузнецова Ю.Л., Морозова Е.А., Сустаева К.С., Маркин А.В., Митин А.В., Батенькин М.А., Саломатина Е.В., Шурыгина М.П., Гущина К.С., Пряжникова М.И., Семенычева Л.Л. Изв. АН. Сер. хим. 2022, 71, 389–398. [Kuznetsova Yu.L., Morozova E.A., Sustaeva K.S., Markin A.V., Mitin A.V., Baten’kin M.A., Salomatina E.V., Shurygina M.P., Gushchina K.S., Pryazhnikova M.I., Semenycheva L.L. Russ. Chem. Bull. 2022, 71, 389–398.] https://doi.org/10.1007/s11172-022-3424-3
- Fukin G.K., Baranov E.V., Rumyantcev R.V., Cherkasov A.V., Maleeva A.I., Gushchin A.V. Struct. Chem. 2020, 31, 1841–1849. https://doi.org/10.1007/s11224-020-01548-2
- Гущин А.В., Малеева А.И., Кипелкин Е.В., Туманян А.С., Андреев П.В., Овсецина Т.И., Сомов Н.В. ЖОХ. 2021, 91, 227–234. [Gushchin A.V., Maleeva A.I., Kipelkin E.V., Tumanyan A.S., Andreev P.V., Ovsetsina T.I., Somov N.V. Russ. J. Gen. Chem. 2021, 91, 227–234.] https://doi.org/10.1134/S1070363221020110
- Гущин А.В., Малеева А.И., Андреев П.В., Со-мов Н.В. ЖОХ. 2022, 92, 85–94. [Gushchin A.V., Maleeva A.I., Andreev P.V., Somov N.V. Russ. J. Gen. Chem. 2022, 92, 85–94.] https://doi.org/10.1134/S1070363222010121
- Гущин А.В., Малеева А.И., Вахитов В.Р., Андреев П.В., Сомов Н.В. ЖОХ. 2023, 93, 292–303. [Gushchin A.V., Maleeva A.I., Vakhitov V.R., Andreev P.V., Somov N.V. Russ. J. Gen. Chem. 2023, 93, 292–303.] https://doi.org/10.1134/S1070363223020093
- Linkova E.I., Grinev V.S., Mayorova O.A., Yegorova A.Yu. Arab. J. Chem. 2021, 14, 103350. https://doi.org/10.1016/j.arabjc.2021.103350
- Grinev V.S., Linkova E.I., Krainov M.N., Dmitriev M.V., Yegorova A.Yu. Acta Cryst. Sect. C. 2020, C76, 483–489. https://doi.org/10.1107/S2053229620005409
- Гринев В.С., Егорова А.Ю. ХГС. 2020, 56, 164–166. [Grinev V.S., Egorova A.Yu. Chem. Heterocycl. Compd. 2020, 56, 164–166.] https://doi.org/10.1007/s10593-020-02639-y
- Линькова Е.И., Гринев В.С., Егорова А.Ю. ХГС. 2018, 54, 1023–1025. [Linkova E.I., Grinev V.S., Egorova A.Y. Chem. Heterocycl. Compd. 2018, 54, 1023–1025.] https://doi.org/10.1007/s10593-018-2385-9
- Гринев В.С., Линькова Е.И., Васильченко Д.С., Егорова А.Ю. ЖСХ. 2019, 60, 1753–1757. [Grinev V.S., Linkova E.I., Vasilchenko D.S., Egorova A.Y. J. Struct. Chem. 2019, 60, 1688–1692.] https://doi.org/10.1134/S0022476619100159
- Гринев В.С., Демешко И.А., Евстигнеева С.С., Егорова А.Ю. Изв. АН. Сер. Хим. 2023, 72, 1654–1660. [Grinev V.S., Demeshko I.A., Evstigneeva S.S., Yegorova A.Yu. Russ. Chem. Bull. 2023, 72, 1654–1660.] https://doi.org/10.1007/s11172-023-3945-4
- Mokchonova I.D., Maksimov E.A., Ledenyova I.V., Yegorova A.Yu., Schikhaliev K.S. Heterocycl. Comm. 2018, 24, 183–185. https://doi.org/10.1515/hc-2017-0192
- Гринев В.С., Егорова А.Ю. ЖФХ. 2019, 93, 1879–1885. [Grinev V.S., Egorova A.Y. Russ. J. Phys. Chem. 2019, 93, 2515–2520.] https://doi.org/10.1134/S0036024419120094
- Pozharov M.V., Fedotova O.V., Kanevskaya I.V., Arzyamova E.M. Inorganica Chim. Acta. 2021, 517, 120207. https://doi.org/10.1016/j.ica.2020.120207
- Кострицкий А.Ю., Дмитриев М.В., Гринев В.С., Федотова О.В. Журн. Структ. химии. 2021, 62, 471–480. [Kostritskiy A.Y., Grinev V.S., Fedotova O.V., Dmitriev M.V.J. Struct. Chem. 2021, 62, 443–451.] https://doi.org/10.1134/S0022476621030112
- Tikhomolova A.S., Grinev V.S., Yegorova A.Yu. Molecules. 2023, 28, 963. https://doi.org/10.3390/molecules28030963
- Mayorova O.A., Grinev V.S., Yegorova A.Yu. Arab. J. Chem. 2021, 14, 102950. https://doi.org/10.1016/j.arabjc.2020.102950
- Grinev V.S., Mayorova O.A., Anis’kova T.V., Tikhomolova A.S., Yegorova A.Yu. Molecules. 2021, 26, 2137. https://doi.org/10.3390/molecules26082137
- Арзямова Е.М., Егорова А.Ю., Бурыгин Г.Л. Хим.-Фарм. Журн. 2023, 57, 38–40. [Arzyamova E.M., Egorova A.Yu., Burygin G.L. Pharm. Chem. J. 2023, 57, 535–537.] https://doi.org/10.1007/s11094-023-02916-y
- Аниськова Т.В., Стулова Е.Г., Егорова А.Ю. ЖОрХ. 2018, 54, 661–662. [Anis’kova T.V., Stulova E.G., Yegorova A.Yu. Russ. J. Org. Chem. 2018, 54, 666–667.] https://doi.org/10.1134/S1070428018040280
- Борисова С.В., Сорокин В.В. ЖОХ. 2022, 92, 22–30. [Borisova S.V., Sorokin V.V. Russ. J. Gen. Chem. 2022, 92, 10–17.] https://doi.org/10.1134/S1070363222010030
- Ивонин М.А., Сорокин В.В. ЖОрХ. 2020, 56, 307–309. [Ivonin M.A., Sorokin V.V. Russ. J. Org. Chem. 2020, 56, 343–345.] https://doi.org/10.1134/S1070428020010281
- Мещерякова А.А., Неумоина К.С., Сорокин В.В. ЖОрХ. 2023, 59, 1025–1031. [Meshcheryakova A.A., Neumoina K.S., Sorokin V.V. Russ. J. Org. Chem. 2023, 59, 1309–1314.] https://doi.org/10.1134/s1070428023080031
- Никулин А.В., Мещерякова А.А., Скляр А.Е., Василькова Н.О., Сорокин В.В., Кривенько А.П. ЖОрХ. 2021, 57, 1466–1473. [Nikulin A.V., Meshcheryakova A.A., Skliar A.V., Vasil’kova N.O., Sorokin V.V., Kriven’ko A.P. Russ. J. Org. Chem. 2021, 57, 1650–1655.] https://doi.org/10.1134/S1070428021100134
- Василькова Н.О., Аниськов А.А., Сорокин В.В., Кривенько А.П. ЖОрХ. 2018, 54, 928–931. [Vasil’kova N.O., Anis’kov A.A., Sorokin V.V., Kriven’ko A.P. Russ. J. Org. Chem. 2018, 54, 933–937.] https://doi.org/10.1134/S1070428018060179
- Василькова Н.О., Никулин А.В., Кривенько А.П. ЖОрХ. 2020, 56, 879–884. [Vasilkova N.O., Nikulin A.V., Krivenko A.P. Russ. J. Org. Chem. 2020, 56, 990–993.] https://doi.org/10.1134/S1070428020060044
- Tumskiy R.S., Tumskaia A.V., Klochkova I.N., Richardson R.J. Comput. Biol. Med. 2023, 153, 106449. https://doi.org/10.1016/j.compbiomed.2022.106449
- Мокеев Д.И., Волохина И.В., Телешева Е.М., Евстигнеева С.С., Гринев В.С., Пылаев Т.Е., Петрова Л.П., Шелудько А.В. Микробиология. 2022, 91, 695–707. [Mokeev D.I., Volokhina I.V., Telesheva E.M., Evstigneeva S.S., Grinev V.S., Pylaev T.E., Petrova L.P., Shelud’ko A.V. Microbiology. 2022, 91, 682–692.] https://doi.org/10.1134/S0026261722601567
- Аниськова Т.В., Егорова А.Ю. ЖОрХ. 2018, 54, 1374–1379. [Anis’kova T.V., Yegorova A.Yu. Russ. J. Org. Chem. 2018, 54, 1389–1394.] https://doi.org/10.1134/S1070428018090208
- Pozdnyakova N., Schlosser D., Dubrovskaya E., Balandina S., Sigida E., Grinev V., Turkovskaya O. World J. Microbiol. Biotechnol. 2018, 34, 133. https://doi.org/10.1007/s11274-018-2516-6
- Tumskiy R.S., Burygin G.L., Anis’kov A.A., Klochkova I.N. Pharmacol. Rep. 2019, 71, 357–360. https://doi.org/10.1016/j.pharep.2018.12.004
- Sigida E.N., Grinev V.S., Burygin G.L., Konnova S.A., Fedonenko Y.P., Zdorovenko E.L., Dmitrenok A.S., Kondurina N.K. Russ. J. Bioorganic. Chem. 2022, 48, 519–528. https://doi.org/10.1134/S1068162022030177
- Цивилева О.М., Кофтин О.В., Аниськов А.А., Ибрагимова Д.Н. Успехи медицинской микологии. 2019, 20, 546–552.
- Коверда А.А., Коверда М.Н., Кофанов Е.Р., Красовская Г.Г. Бутлеровские сообщения. 2018, 55, 106–114. [Koverda A.A., Koverda M.N., Kofanov E.R., Krasovskaya G.G. Butlerov Communications. 2018, 55, 106–114.] https://doi.org/10.37952/ROI-jbc-01/18-55-9-106
- Фирстова А.А., Кофанов Е.Р., Закшевская В.М., Ковалева М.И. Биоорг. хим. 2019, 45, 430–440. [Firstova A.A., Kofanov E.P., Zakshevskaya V.M., Kovaleva M.I. Russian Journal of Bioorganic Chemistry. 2019, 45, 204–213.] https://doi.org/10.1134/S0132342319030023
- Коверда А.А., Бетнев А.Ф., Кофанов Е.Р. Бутлеровские сообщения. 2019, 57, 10–17. [Koverda A.A., Betnev A.F., Kofanov E.R. Butlerov Communications. 2019, 57, 10–17.] https://doi.org/10.37952/ROI-jbc-01/19-57-2-10
- Фирстова А.А., Кофанов Е.Р. Пат. 2790910 (2022). РФ. Б.И. 2023, № 7.
- Фирстова А.А., Кофанов Е.Р. ЖОрХ. 2023, 59, 648–654. [Firstova A.A., Kofanov E.R. Russ. J. Org. Chem. 2023, 51, 820–825.] https://doi.org/10.1134/S1070428023050123
- Фирстова А.А., Кофанов Е.Р., Ковалева М.И. Биоорг. хим. 2019, 45, 430–440. [Firstova A.A., Kofanov E.R., Kovaleva M.I. Russian Journal of Bioorganic Chemistry, 2023, 49, 65–75.] https://doi.org/10.1134/S1068162023010089
- Фирстова А.А., Кофанов Е.Р. ЖСХ. 2023, 64, 1–9. [Firstova A.A., Kofanov E.R. Journal of Structural Chemistry. 2023, 64, 1562–1570.] https://doi.org/10.1134/S0022476623080206
- Панкратьева В.Е., Шаронова Т.В., Тарасенко М.В., Байков С.В., Кофанов Е.Р. ЖОрХ. 2018, 54, 1236–1241. [Pankrat’eva V.E., Sharonova T.V., Tarasenko M.V., Baikov S.V., Kofanov E.R. Russ. J. Org. Chem. 2018, 54, 1250–1255.] https://doi.org/10.1134/S1070428018080213
- Кофанов Е.Р. От химии к технологии. Шаг за шагом. 2021, 2, 78–82. [Kofanov E.R. From Chemistry Towards Technology Step-by-Step. 2021, 2, 65–69.] https://doi.org/10.52957/27821900_2021_01_157
- Байков С.В., Сташина Г.А., Чернобурова Е.И., Крылов В.Б., Заварзин И.В., Кофанов Е.Р. Изв. АН. Сер. хим. 2019, 2, 347–350. [Baikov S.V., Stashina G.A., Chernoburova E.I., Krylov V.B., Zavarzin I.V., Kofanov E.R. Russ. Chem. Bull., 2019, 68, 347–350.] https://doi.org/10.1007/s11172-019-2391-9
- Tarasenko M., Sidneva V., Belova A., Romanycheva A., Sharonova T., Baykov S., Shetnev A., Kofanov E., Kuznetsov M. Arkivoc. 2018, part (vii), 458–470. https://doi.org/10.24820/ark.5550190.p010.760
- Сиднева В.В., Тарасенко М.В., Реут К.В., Кофа-нов Е.Р. Пат. 2754735 (2021). РФ. Б.И. 2021, № 25.
- Сиднева В.В., Тарасенко М.В., Кофанов Е.Р. ХГС. 2022, 58, 349–353. [Sidneva V.V., Tarasenko M.V., Kofanov E.R. Chem. Heterocycl. Compd. 2022, 58, 349–353.] https://doi.org/10.1007/s10593-022-03096-5
- Сиднева В.В., Тарасенко М.В., Кофанов Е.Р. ХГС. 2023, 59, 685–691. [Sidneva V.V., Tarasenko M.V., Kofanov E.R., Chem. Heterocycl. Compd. 2023, 59, 685–691.] https://doi.org/10.1007/s10593-023-03254-3
- Меркулова Е.А., Колобов А.В., Овчинников К.Л. Пат. 2670977 (2018). РФ. Б.И. 2018, № 30.
- Меркулова Е.А., Колобов А.В., Овчинников К.Л. Изв. АН. Сер. хим. 2019, 68, 606–609. [Merkulova E.A., Kolobov A.V., Ovchinnikov K.L. Russ. Chem. Bull. Int. Ed. 2019, 68, 606–609.] https://doi.org/10.1007/s11172-019-2462-y
- Меркулова Е.А., Колобов А.В., Овчинников К.Л., Хрусталев В.Н., Ненайденко В.Г. ХГС. 2021, 57, 245–252. [Merkulova E.А., Kolobov A.V., Ovchinnikov K.L., Khrustalev V.N., Nenajdenko V.G. Chem. Heterocycl. Compd. 2021, 57, 245–252.] https://doi.org/10.1007/s10593-021-02900-y
- Меркулова Е.А., Колобов А.В., Овчинников К.Л., Беляева О.А., Плахтинский В.В., Ненайденко В.Г. ХГС. 2021, 57, 837–840. [Merkulova E.А., Kolobov A.V., Ovchinnikov K.L., Belyaeva O.А., Plakhtinskii V.V., Nenajdenko V.G. Chem. Heterocycl. Compd. 2021, 57, 837–840.] https://doi.org/10.1007/s10593-021-02988-2
- Merkulova E.А., Kolobov A.V., Kuznetsov M.A., Spiridonova D.V., Pankova A.S. Tetrahedron Lett. 2022, 94, 153715. https://doi.org/10.1016/j.tetlet.2022.153715
- Merkulova E.А., Kolobov A.V., Lyssenko K.A., Nenajdenko V.G. Mendeleev Commun. 2022, 32, 384–385. https://doi.org/10.1016/j.mencom.2022.05.031
- Карпов И.Д., Овчинников К.Л., Колобов А.В. Изв. АН. Сер. хим. 2023, 72, 1279–1282. [Karpov I.D., Ovchinnikov K.L., Kolobov A.V. Russ. Chem. Bull. Int. Ed. 2023, 72, 1279–1282.] https://doi.org/10.1007/s11172-023-3902-2
- Chupakhin O.N., Musikhina A.A., Utepova I.A., Charushin V.N., Rempel A.A., Pryakhina V.I., Pershina S.V., Yolshina L.A., Zyryanova E.Yu., Vovkotrub E.G. FlatChem. 2022, 33, 100348. https://doi.org/10.1016/j.flatc.2022.100348
- Акулов А.А., Першин А.А., Копчук Д.С., Вараксин М.В., Зырянов Г.В., Чупахин О.Н. ЖOpХ. 2023, 59, 961–966. [Akulov A.A., Pershin A.A., Kopchuk D.S., Varaksin M.V., Zyryanov G.V., Chupakhin O.N. Russ. J. Org. Chem. 2023, 59, 1255–1259.] https://doi.org/10.1134/S1070428023070199
- Taniya O.S., Fedotov V.V., Novikov A.S., Sadieva L.K., Krinochkin A.P., Kovalev I.S., Kopchuk D.S., Zyryanov G.V., Liu Y., Ulomsky E.N., Rusinov V.L., Charushin V.N. Dyes Pigm. 2022, 204, 110405. https://doi.org/10.1016/j.dyepig.2022.110405
- Akulov A.A., Varaksin M.V., Nelyubina A.A., Tsmokaluk A.N., Mazhukin D.G., Tikhonov A.Y., Charushin V.N., Chupakhin O.N. J. Org. Chem. 2024, 89, 463–473. https://doi.org/10.1021/acs.joc.3c02230
- Акулов А.А., Першин А.А., Делева А.А., Вараксин М.В., Чарушин В.Н., Чупахин О.Н. Изв. АН, сер. хим. 2023, 2693–2697 [Akulov A.A., Pershin A.A., Deleva A.A., Varaksin M.V., Charushin V.N., Chupakhin O.N. Russ. Chem. Bull. 2023, 72, 2693−2697.] https://doi.org/10.1007/s11172-023-4074-9
- Nikiforov E.A., Vaskina N.F., Moseev T.D., Varaksin M.V., Charushin V.N., Chupakhin O.N. Chemistry. 2023, 5, 1477–1487. https://doi.org/10.3390/chemistry5030100
- Nikiforov E.A., Vaskina N.F., Moseev T.D., Varaksin M.V., Butorin I.I., Melekhin V.V., Tokhtueva M.D., Mazhukin D.G., Tikhonov A.Y., Charushin V.N., Chupakhin O.N. Processes. 2023, 11, 846. https://doi.org/10.3390/pr11030846
- Криночкин А.П., Алуру Р., Штайц Я.К., Копчук Д.С., Ладин Е.Д., Шарафиева Э.Р., Тания О.С., Зырянов Г.В., Матерн А.И., Чупахин О.Н. Доклады РАН. Химия, науки о материалах. 2023, 508, 55−58. [Krinochkin A.P., Rammohan A., Shtaitz Y.K., Kopchuk D.S., Ladin E.D., Sharafieva E.R., Taniya O.S., Zyryanov G.V., Matern A.I., Chupakhin O.N. Doklady Chemistry. 2023, 508, 28–31.] https://doi.org/10.1134/S0012500823600153
- Криночкин А.П., Гуда М.Р., Копчук Д.С., Штайц Я.К., Старновская Е.С., Савчук М.И., Рыбакова С.С., Зырянов Г.В., Чупахин О.Н. ЖOpХ. 2021, 57, 597–600. [Krinochkin A.P., Guda M.R., Kopchuk D.S., Shtaitz Y.K., Starnovskaya E.S., Savchuk M.I., Rybakova S.S., Zyryanov G.V., Chupakhin O.N. Russ. J. Org. Chem. 2021, 57, 675–677.] https://doi.org/10.1134/S1070428021040278
- Krinochkin A.P., Shtaitz Y.K., Rammohan A., Butorin I.I., Savchuk M.I., Khalymbadzha I.A., Kopchuk D.S., Slepukhin P.A., Melekhin V.V., Shcheglova A.V., Zyryanov G.V., Chupakhin O.N. Eur. J. Org. Chem. 2022, 2022, 202200227. https://doi.org/10.1002/ejoc.202200227
- Rammohan A., Reddy G.M., Krinochkin A.P., Kopchuk D.S., Savchuk M.I., Shtaitz Y.K., Zyryanov G.V., Rusinov V.L., Chupakhin O.N. Synth. Commun. 2021, 51, 256–262. https://doi.org/10.1080/00397911.2020.1823993
- Krinochkin A.P., Reddy G.M., Kopchuk D.S., Slepukhin P.A., Shtaitz Y.K., Khalymbadzha I.A., Kovalev I.S., Kim G.A., Ganebnykh I.N., Zyryanov G.V., Chupakhin O.N., Charushin V.N. Mend. Commun. 2021, 31, 542–544. https://doi.org/10.1016/j.mencom.2021.07.035
- Алуру Р., Штайц Я.К., Ладин Е.Д., Криночкин А.П., Слепухин П.А., Шарутин В.В., Шарафиева Э.Р., Поспелова Т.А., Копчук Д.С., Зырянов Г.В. Журн. Общ. Хим. 2023, 93, 200–205. [Rammohan A., Shtaitz Ya.K., Ladin E.D., Krinochkin A.P., Slepukhin P.A., Sharutin V.V., Sharafieva E.R., Pospelova T.A., Kopchuk D.S., Zyryanov G.V. Russ. J. Gen. Chem. 2023, 93, 263–267.] https://doi.org/10.31857/S0044460X23020051
- Алуру Р., Криночкин А.П., Копчук Д.С., Штайц Я.К., Ковалев И.С., Савчук М.И., Зырянов Г.В., Русинов В.Л., Чупахин О.Н. ЖOpХ. 2022, 58, 127–133. [Rammohan A., Krinochkin A.P., Kopchuk D.S., Shtaitz Ya.K., Kovalev I.S., Savchuk M.I., Zyryanov G.V., Rusinov V.L., Chupakhin O.N. Russ. J. Org. Chem. 2022, 58, 175–179]. https://doi.org/10.1134/S1070428022020026
- Shtaitz Y.K., Rammohan A., Krinochkin A.P., Ladin E.D., Butorin I.I., Mochulskaya N.N., Khalymbadzha I.A., Slepukhin P.A., Shevyrin V.A., Kopchuk D.S., Zyryanov G.V., Chupakhin O.N. ChemistrySelect. 2023, 8, 202300903. https://doi.org/10.1002/slct.v8.26
- Izuta S., Kosaka S., Kawai M., Miyano R., Matsuo H., Matsumoto A., Nonaka K., Takahashi Y., Ōmura S., Nakashima T. J. Antibiot. 2018, 71, 535–537. https://doi.org/10.1038/s41429-018-0028-0
- Алуру Р., Криночкин А.П., Копчук Д.С., Штайц Я.К., Савчук М.И., Старновская Е.С., Зырянов Г.В., Русинов В.Л., Чупахин О.Н. ЖОрХ. 2022, 58, 134–138. [Rammohan A., Krinochkin A.P., Kopchuk D.S., Shtaitz Y.K., Savchuk M.I., Starnovskaya E.S., Zyryanov G.V., Rusinov V.L., Chupakhin O.N. Russ. J. Org. Chem. 2022, 58, 180–183.] https://doi.org/10.1134/S1070428022020038
- Pevtsov D.N., Nikolenko L.M., Nevidimov A.V., Tovstun S.A., Gadomska A.V., Kuzmin V.A., Razumov V.F., Trestsova M.A., Utepova I.A., Chupakhin O.N., Shchepochkin A.V., Valeeva A.A., Rempel A.A. J. Photochem. Photobiol. A: Chem. 2022, 432, 114109. https://doi.org/10.1016/j.jphotochem.2022.114109
- De A., Santra S., Hajra A., Zyryanov G.V., Majee A. J. Org. Chem. 2019, 84, 11735–11740. https://doi.org/10.1021/acs.joc.9b01625
- Sardar S.S., De A., Pal S., Sarkar S., Santra S., Zyryanov G.V., Majee A. Synlett. 2023, 34, A–F. https://doi.org/10.1055/a-2131-3208
- Sarkar S., De A., Santra S., Khalymbadzha I.A., Zyryanov G.V., Majee A. Eur. J. Org. Chem. 2022, 2022, 202200503. https://doi.org/10.1002/ejoc.202200503
- Lavrinchenko I.A., Moseev T.D., Seleznev Yu.A., Varaksin M.V., Tsmokaluk A.N., Charushin V.N., Chupakhin O.N. Asian J. Org. Chem. 2023, 12, 202300008. https://doi.org/10.1002/ajoc.202300008
- Moshkina T.N., Nosova E.V., Permyakova J.V., Lipunova G.N., Valova M.S., Slepukhin P.A., Sadieva L.K., Charushin V.N. Dyes Pigm. 2022, 206, 110592. https://doi.org/10.1016/j.dyepig.2022.110592
- Moshkina T.N., Nosova E.V., Permyakova J.V., Lipunova G.N., Zhilina E.F., Kim G.A., Slepukhin P.A., Charushin V.N. Molecules. 2022, 27, 7156. https://doi.org/10.3390/molecules27217156
- Kopotilova A.E., Moshkina T.N., Nosova E.V., Lipunova G.N., Starnovskaya E.S., Kopchuk D.S., Kim G.A., Gaviko V.S., Slepukhin P.A., Charushin V.N. Molecules. 2023, 28, 1937. https://doi.org/10.3390/molecules28041937
- Moshkina T.N., Le Poul P., Barsella A., Pytela O., Bureš F., Robin-Le Guen F., Achelle S., Nosova E.V., Lipunova G.N., Charushin V.N. Eur. J. Org. Chem. 2020, 2020, 5445–5454. https://doi.org/10.1002/ejoc.202000870
- Moshkina T.N., Nosova E.V., Kopotilova A.E., Savchuk M.I., Nikonov I.L., Kopchuk D.S., Slepukhin P.A., Kim G.A., Lipunova G.N., Charushin V.N. J. Photochem. Photobiol. A: Chem. 2022, 429, 113917. https://doi.org/10.1016/j.jphotochem.2022.113917
- Moshkina T.N., Nosova E.V., Lipunova G.N., Zhilina E.F., Slepukhin P.A., Nikonov I.L., Charushin V.N. New J. Chem. 2021, 45, 8456–8466. https://doi.org/10.1039/d1nj00935d
- Moshkina T.N., Nosova E.V., Lipunova G.N., Valova M.S., Charushin V.N. Asian J. Org. Chem. 2018, 7, 1080–1084. https://doi.org/10.1002/ajoc.201800217
- Moshkina T.N., Nosova E.V., Kopotilova A.E., Lipunova G.N., Valova M.S., Sadieva L.K., Kopchuk D.S., Slepukhin P.A., Zaleśny R., Ośmiałowski B., Charushin V.N. Asian J. Org. Chem. 2020, 9, 673–681. https://doi.org/10.1002/ajoc.202000038
- Moshkina T.N., Nosova E.V., Kopotilova A.E., Ośmiałowski B., Reguant A.I., Slepukhin P.A., Lipunova G.N., Taniya O.S., Kalinichev A.A., Charushin V.N. Dyes Pigm. 2022, 204, 110434. https://doi.org/10.1016/j.dyepig.2022.110434
- Moshkina T.N., Nosova E.V., Lipunova G.N., Valova M.S., Taniya O.S., Slepukhin P.A., Charushin V.N. J. Fluor. Chem. 2019, 221, 17–24. https://doi.org/10.1016/j.jfluchem.2019.03.005
- Moshkina T.N., Nosova E.V., Lipunova G.N., Valova M.S., Petrusevich E.F., Zaleśny R., Ośmiałowski B., Charushin V.N. Spectrochim. Acta. Part A: Mol. Biomol. Spectroscopy. 2021, 252, 119497. https://doi.org/10.1016/j.saa.2021.119497
- Fedotov V.V., Ulomsky E.N., Belskaya N.P., Eltyshev A.K., Savateev K.V., Voinkov E.K., Lyapustin D.N., Rusinov V.L. J. Org. Chem. 2021, 86, 8319–8332. https://doi.org/10.1021/acs.joc.1c00760
- Fedotov V.V., Valieva M.I., Taniya O.S., Aminov S.V., Kharitonov M.A., Novikov A.S., Kopchuk D.S., Slepukhin P.A., Zyryanov G.V., Ulomsky E.N., Rusinov V.L., Charushin V.N. Molecules. 2022, 27, 8029. https://doi.org/10.3390/molecules27228029
- Starnovskaya E.S., Valieva M.I., Rammohan A., Kopchuk D.S., Khasanov A.F., Taniya O.S., Novikov A.S., Kalinichev A.A., Santra S., Zyryanov G.V., Ranu B.C. New J. Chem. 2023, 47, 12393–12402. https://doi.org/10.1039/D3NJ00394A
- Starnovskaya E.S., Kopchuk D.S., Khasanov A.F., Taniya O.S., Nikonov I.L., Valieva M.I., Pavlyuk D.E., Novikov A.S., Zyryanov G.V., Chupakhin O.N. Molecules. 2022, 27, 6879. https://doi.org/10.3390/molecules27206879
- Savchuk M.I., Khasanov A.F., Kopchuk D.S., Krinochkin A.P., Nikonov I.L., Starnovskaya E.S., Shtaitz Y.K., Kovalev I.S., Zyryanov G.V., Chupakhin O.N. Chem. Heterocycl. Comp. 2019, 55, 554–559. https://doi.org/10.1007/s10593-019-02495-5
- Kopchuk D.S., Krinochkin A.P., Starnovskaya E.S., Shtaitz Y.K., Khasanov A.F., Taniya O.S., Santra S., Zyryanov G.V., Majee A., Rusinov V.L., Chupakhin O.N. Chemistry Select. 2018, 3, 4141–4146. https://doi.org/10.1002/slct.201800220
- Savchuk M.I., Kopchuk D.S., Taniya O.S., Nikonov I.L., Egorov I.N., Santra S., Zyryanov G.V., Chupakhin O.N., Charushin V.N. J. Fluorescence. 2021, 31, 1099–1111. https://doi.org/10.1007/s10895-021-02714-3
- Fatykhov R.F., Sharapov A.D., Starnovskaya E.S., Shtaitz Y.K., Savchuk M.I., Kopchuk D.S., Nikonov I.L., Zyryanov G.V., Khalymbadzha I.A., Chupakhin O.N. Spectrochimica Acta. Part A: Molec. Biomolec. Spectr. 2022, 267, 120499. https://doi.org/10.1016/j.saa.2021.120499
- Bhattacherjee D., Kovalev I.S., Kopchuk D.S., Rahman M., Santra S., Zyryanov G.V., Das P., Purohit R., Rusinov V.L., Chupakhin O.N. Molecules. 2022, 27, 7784. https://doi.org/10.3390/molecules27227784
- Mohammed M.S., Kovalev I.S., Slovesnova N.V., Sadieva L.K., Platonov V.A., Kim G.A., Rammohan A., Novikov A.S., Taniya O.S., Charushin V.N. Molecules. 2023, 28, 5256. https://doi.org/10.3390/molecules28135256
- De A., Santra S., Kovalev I.S., Kopchuk D.S., Zyryanov G.V., Chupakhin O.N., Charushin V.N., Majee A. Mend. Commun. 2020, 30, 188–189. https://doi.org/10.1016/j.mencom.2020.03.019
- Sharapov A.D., Fatykhov R.F., Khalymbadzha I.A., Sharutin V.V., Santra S., Zyryanov G.V., Chupakhin O.N., Ranu B.C. Green Chem. 2022, 24, 2429–2437. https://doi.org/10.1039/D1GC04564D
- Mukherjee A., Kopchuk D.S., Santra S., Majee A., Zyryanov G.V., Chupakhin O.N. Mend. Commun. 2022, 32, 624–626. https://doi.org/10.1016/j.mencom.2022.09.018
- Al-Ithawi W.K.A., Rammohan A., Baklykov A.V., Khasanov A.F., Kovalev I.S., Nikonov I.L., Kopchuk D.S., Novikov A.S., Santra S., Zyryanov G.V., Ranu B.C. Polymers. 2023, 15, 4160. https://doi.org/10.3390/polym15204160
- Al-Ithawi W.K.A., Khasanov A.F., Kovalev I.S., Nikonov I.L., Kopchuk D.S., Platonov V.A., Santra S., Zyryanov G.V., Ranu B.C. Chemistry. 2023, 5, 978–986. https://doi.org/10.3390/chemistry5020066
- Al-Ithawi W.K.A., Rammohan A., Egorov I.N., Nikonov I.L., Kovalev I.S., Kopchuk D.S., Zyryanov G.V., Chupakhin O.N. Russ. J. Gen. Chem. 2023, 93 (Suppl 1), S81–S86. https://doi.org/10.1134/S1070363223140281
- Русинов В.Л., Чарушин В.Н., Чупахин О.Н. Известия АН. Сер. хим. 2018, 573−599. [Rusinov V.L., Charushin V.N., Chupakhin O.N. Russ. Chem. Bull. 2018, 67, 573−599.] https://doi.org/10.1007/s11172-018-2113-8
- Oukoloff K., Lucero B., Francisco K.R., Brunden K.R., Ballatore C. Eur. J. Med. Chem. 2019, 165, 332−346. https://doi.org/10.1016/j.tjmech1019.01.027
- Саватеев К.В., Спасов А.А., Русинов В.Л. Успехи химии. 2022, 91, RCR5041. [Savateev K.V., Spasov A.A., Rusinov V.L. Russ. Chem. Rev. 2022, 91, RCR5041.] https://doi.org/10.1070/RCR5041
- Русинов В.Л., Сапожникова И.М., Спасов А.А., Чупахин О.Н. Известия АН. Сер. хим. 2022, 71, 2561−2594. [Rusinov V.L., Sapozhnikova I.M., Spasov A.A., Chupakhin O.N. Russ. Chem. Bull. 2022, 71, 2561–2594.] https://doi.org/10.1007/s11172-022-3687-8
- Huang B., Li C., Chen W., Liu T., Yu M., Fu L., Sun Y., Liu H., De Clercq E., Pannecouque C., Balzarini J., Zhan P., Liu X. Eur. J. Med. Chem. 2015, 92, 754–765. https://doi.org/10.1016/j.ejmech.2015.01.042
- Chupakhin O.N., Rusinov V.l., Varaksin M.V., Ulomskiy E.N., Savateev R.V., Butorin I.I., Du W., Sun Z., Charushin V.N. Int. J. Mol. Sci. 2022, 23, 14537. https://doi.org/10.3390/ijms232314537
- Savateev K.V., Fedotov V.V., Rusinov V.L., Kotovskaya S.K., Spasov A.A., Kucheryavenko A.F., Vasiliev P.M. Kosolapov V.A. Sirotenko V.S., Gaidukova K.A. Molecules. 2022, 27, 274. https://doi.org/10.3390/molecules27010274
- Spasov A., Kosolapov V., Babkov D., Klochkov V., Sokolova E., Miroshnikov M., Borisov A., Velikorodnaya Y., Smirnov A., Savateev K. Rusinov V. Pharmaceuticals. 2022, 15, 537. https://doi.org/10.3390/ph15050537
- Urakov G.V., Savateev K.V. Kotovskaya S.K., Rusinov V.L., Spasov A.A., Babkov D.A., Sokolova E.V. Molecules. 2022, 27, 8697. https://doi.org/10.3390/molecules27248697
- Pokhlebin A.A., Spasov A.A., Melekhin V.V., Tokhtueva M.D. Molecules, 2022, 27, 5239. https://doi.org/10.3390/molecules27165239
- Fedotov V., Ulomsky E., Savateev K., Mukhin E., Gazizov D., Gorbunov E., Rusinov V. Synthesis. 2020, 52, 3622–3631. https://doi.org/10.1055/s-0040-1707228
- Artem’ev G.A., Rusinov V.L., Kopchuk D.S., Savchuk M.I., Santra S., Ulomsky E.N., Zyryanov G.V., Majee A., Du W., Charushin V.N., Chupakhin О.N. Org. Biomolec. Chem. 2022, 20, 1828–1837. https://doi.org/10.1039/d1ob02125g
- Русинов В.Л., Чупахин О.Н., Чарушин В.Н., Сапожникова И.М., Близник А.М., Спасов А. А., Петров В.И., Кузнецова В.А., Соловьева О.А., Мацевич А.И. Патент 2612300 (2017). РФ. Б.И. 2017, 7.
- Бабкова В.А., Говорова Ю.А., Котовская С.К., Литвинов Р.А, Науменко Л.В., Петров В.И., Русинов В.Л., Сапожникова И.М., Смирнов А.В., Спасов А.А., Шмидт М.В. Патент 2765117 (2022). РФ. Б.И. 2022, 3.
- Косолапов В.А., Котовская С.К., Петров В.И. Русинов В.Л., Сапожникова И.М., Смирнова Л.А., Спасов А.А., Степанова Э.Ф., Шевченко А.М. Патент 2738804 (2020). РФ. Б.И. 2020, 35.
- Спасов А.А., Науменко Л.В., Говорова Ю.А., Косолапов В.А., Таран А.С., Бабков Д.А., Мазанова Л.С., Смирнов А.В., Великородная Ю.И., Русинов В.Л., Сапожникова И.М., Котовская С.К. Экспериментальная и клиническая фармакология. 2021, 84, 27−31. [Spasov A.A., Naumenko L.V., Govorova Yu.A., Kosolapov V.A., Taran A.C., Babkov D.A., Mazanova L.S., Smirnov A.V., Velikorodnaya Yu.I., Rusinov V.L., Sapozhnikova I.M., Kotovskaya S.K., Eksperimental’naya i Klinicheskaya Farmakologiya, 2021, 84, 27–31.] https://doi.org/10.30906/0869-2092-2021-84-5-27-31
- Шестакова Т.С., Ельцов О.С., Яковлева Ю.А., Деев С.Л., Шевырин В.А., Русинов В.Л., Чарушин В.Н., Чупахин О.Н. Химия гетероцикл. соед. 2019, 55, № 9, 856–860. [Shestakova T.S., Eltsov O.S., Yakovleva Yu.А., Deev S.L., Shevyrin V.А., Rusinov V.L., Charushin V.N., Chupakhin O.N. Chem. Heterocycl. Comp. 2019, 55, 856–860.] https://doi.org/10.1007/s10593-019-02549-8
- Шестакова Т.С., Деев С.Л., Халымбаджа И.А., Русинов В.Л., Парамонов А.С., Арсеньев А.С., Шенкарев З.О., Чарушин В.Н., Чупахин О.Н. Химия гетероцикл. соед. 2021, 57, 479−482. [Shestakova T.S., Deev S.L., Khalymbadzha I.A., Rusinov V.L., Paramonov A.S., Arsen’iev A.S., Shenkarev Z.O., Charushin V.N., Chupakhin O.N. Chem. Heterocycl. Comp. 2021, 57, 479−482.] https://doi.org/10.1007/s10593-021-02927-1
- Deev S.L., Khalymbadzha I.A., Shestakova T.S., Charushin V.N., Chupakhin O.N. RSC Adv. 2019, 9, 26856–26876. https://doi.org/10.1039/c9ra04825a
- Deev S.L., Shestakova T.S., Shenkarev Z.O., Paramonov A.S., Khalymbadzha I.A., Eltsov O.S., Charushin V.N., Chupakhin O.N. J. Org. Chem. 2022, 87, 211–222. https://doi.org/10.1021/acs.joc.1c02225
- Sheina E.S., Shestakova T.S., Deev S.L., Khalymbadzha I.A., Slepukhin P.A., Eltsov O.S., Novikov A.S., Shevyrin V.A., Charushin V.N., Chupakhin O.N. Chem. Asian. J. 2023, 18, 2022013. https://doi.org/10.1002/asia.202201306
- Serebrennikova P.O., Utepova I.A., Chupakhin O.N., Guzhova I.V., Mikhaylova E.R., Antonchick A.P. Synthesis. 2022, 54, 2677–2686. https://doi.org/10.1055/s-0040-1719907
- Dutysheva E.A., Utepova I.A., Trestsova M.A., Anisimov A.S., Charushin V.N., Chupakhin O.N., Margulis B.A., Guzhova I.V., Lazarev V.F. Eur. J. Med. Chem. 2021, 222, 113577. https://doi.org/10.1016/j.ejmech.2021.113577
- Lazarev V.F., Dutysheva E.A., Mikhaylova E.R., Trestsova M.A., Utepova I.A., Chupakhin O.N., Margulis B.A., Guzhova I.V. Molecules. 2022, 27, 8950. https://doi.org/10.3390/molecules27248950
- Dutysheva E.A., Mikhaylova E.R., Trestsova M.A., Andreev A.I., Apushkin D.Yu., Utepova I.A., Aksenov N.D., Bon’ E.I., Zimatkin S.M., Chupakhin O.N., Margulis B.A., Guzhova I.V., Lazarev V.F. Pharmaceutics. 2023, 15, 7. https://doi.org/10.3390/pharmaceutics15010007
- Babu A., Nibin J.M., Sunil K., Sajith A.M., Santra S., Zyryanov G.V., Konovalova O.A., Butorin I.I., Muniraju K. RSC Adv. 2022, 12, 22476–22491. https://doi.org/10.1039/D2RA03225B
- Babu A., Sunil K., Sajith A.M., Nibin J.M., Santra S., Zyryanov G.V.J. Het. Chem. 2023, 60, 1911–1917. https://doi.org/10.1002/jhet.4713
- Serebrennikova P.O., Paznikova J.A., Kirnos E.A., Utepova I.A., Kazakova E.D., Lazarev V.F., Kuznetcova L.S., Margulis B.A., Guzhova I.V., Chupakhin O.N., Sarapultsev A.P. New J. Chem. 2023, 47, 18325–18331. https://doi.org/10.1039/D3NJ03158F
- Slavova K.I., Todorov L.T., Belskaya N.P., Palafox M.A., Kostova I.P. Recent Pat. Anticancer Drug Discov. 2020, 15, 92‒112. https://doi.org/10.2174/1574892815666200717164457
- Scattergood P.A., Sinopoli A., Elliot P.I.P. Coord. Chem. Rev. 2017, 350, 136–54. https://doi.org/10.1016/j.ccr.2017.06.017
- Bakulev V.A., Beryozkina T., Thomas J., Dehaen W. Eur. J. Org. Chem. 2018, 2018, 262‒294. https://doi.org/10.1002/ejoc.201701031
- Shafran Y.M., Hussein A.A., Beliaev N.A., Shevyrin V.A., Shityakov S., Beryozkina T.V., Bakulev V.A. ACS Omega. 2022, 7, 5008‒5031. https://doi.org/10.1021/acsomega.1c05898
- Silva F.C., Cardoso M.F.C., Ferreira P.G., Ferreira V.F. Top. Heterocycl. Chem. 2014, 40, 117‒165. https://doi.org/10.1007/7081_2014_124
- Patil P., Madhavachary R., Kurpiewska K., Kalinowska-Tłuscik J., Dömling A. Org. Lett. 2017, 19, 642‒645. https://doi.org/10.1021/acs.orglett.6b03807
- Sinn S., Biedermann F., De Cola L. Chem. Eur. J. 2017, 23, 1965‒1971. https://doi.org/10.1002/chem.201605169743
- Kulhánek J., Ludwig M., Bureš F., Tydlitát J. Химия гетероцикл. cоединений. 2017, 53, 46‒53. [Kulhánek J., Ludwig M., Bureš F., Tydlitát J. Chem. Heterocycl. Compd. 2017, 53, 46‒53.] https://doi.org/10.1007/s10593-017-2020-1
- Kim M.-H., Nam Y.-K., Choi E.-J. J. Inf. Display 2017, 18, 31‒40. https://doi.org/10.1080/15980316.2016.1267045
- Шафран Ю.М., Березкина Т.В., Ефимов И.В., Бакулев В.А. Химия гетероцикл. cоединений. 2019, 55, 704‒715. [Shafran Yu.M., Beryozkina T.V., Efimov I.V., Bakulev V.A. Chem. Heterocycl. Compd. 2019, 55, 704‒715.] https://doi.org/10.1007/s10593-019-02525-2
- Abuteen A., Zhou F., Dietz C., Mohammad I., Smith M.B., Zhu Q. Dyes Pigm. 2016, 126, 251‒260. https://doi.org/10.1016/j.dyepig.2015.12.010
- Beliaev N.A., Shafikov M.Z., Efimov I.V., Beryozkina T.V., Lubec G., Dehaen W., Bakulev V.A. New J. Chem. 2018, 42, 7049‒7059. https://doi.org/10.1039/c7nj04243d
- Silaichev P.S., Beryozkina T.V., Melekhin V.V., Filimonov V.O., Maslivets A.N., Ilkin V.G., Dehaen W., Bakulev V.A. Beilstein J. Org. Chem. 2024, 20, 17‒24. https://doi.org/10.3762/bjoc.20.3
- Бакулев В.А, Шафран Ю.М., Беляев Н.А., Березкина Т.В., Волкова Н.Н., Джой М.Н., Фан Дж. Успехи химии 2022, 91, RCR5042. [Bakulev V.A., Shafran Yu.M., Beliaev N.A., Beryozkina T.V., Volkova N.N., Joy M.N., Fan Zh. Russ. Chem. Rev. 2022, 91, RCR5042.] https://doi.org/10.1070/RCR5042
- Ilkin V.G., Beryozkina T.V., Willocx D., Silaichev P.S., Veettil S.P., Dehaen W., Bakulev V.A. J. Org. Chem. 2022, 87, 12274‒12286. https://doi.org/10.1021/acs.joc.2c01456
- Bakulev V., Dehaen W., Beryozkina T., Top. Heterocycl. Chem. 2014, 40, 1–49. https://doi.org/10.1007/7081_2014_131
- Беляев Н.А., Березкина Т.В., Любек Г., Дэхан В., Бакулев В.А. Химия гетероцикл. соединений. 2018, 54, 1050–1055. [Belyaev N.A., Beryozkina T.V., Lubec G., Dehaen W., Bakulev V.A. Chem. Heterocycl. Compds. 2018, 54, 1050–1055.] https://doi.org/10.1007/s10593-018-2390-z
- Safronov N.E., Fomin T.O., Minin A.S., Todorov L. Kostova I., Benassi E. Belskaya, N.P. Dyes Pigm. 2020, 178, 108343. https://doi.org/10.1016/j.dyepig.2020.108343
- Safronov N.E., Kostova I.P., Palafox M.A., Belskaya N.P. Int. J. Mol. Sci. 2023, 24, 8947. https://doi.org/10.3390/ijms24108947
- Palafox M.A., Belskaya N.P., Kostova I.P. Int. J. Mol. Sci. 2023, 24, 14001. https://doi.org/10.3390/ijms241814001
- Palafox M.A., Belskaya N.P., Kostova I.P. Pharmaceutics. 2023, 15, 2686. https://doi.org/10.3390/pharmaceutics15122686
- Safronov N.E., Minin A.S., Slepukhin P.A., Kostova I.P., Benassi E., Belskaya N.P. Spectrochim. Acta A Mol. Biomol. Spectrosc. 2023, 292, 122419. https://doi.org/10.1016/j.saa.2023.122419
- Palafox M.A., Belskaya N.P., Todorov L.T., Kostova I.P. Antioxidants. 2023, 12, 1872. https://doi.org/10.3390/antiox12101872
- Eltyshev A.K., Chernysheva N.V., Minin A.S., Pozdina V.A., Slepukhin P.A., Benassi E., Belskaya, N.P. Dyes Pigm., 2022, 199, 109777. https://doi.org/10.1016/j.dyepig.2021.109777
- Eltyshev A.K., Minin A.S., Smoliuk L.T., Benassi E., Belskaya N.P. Eur. J. Org. Chem. 2020, 316‒329. https://doi.org/10.1002/ejoc.201901582
- Eltyshev A.K., Agafonova I.A., Minin A.S., Pozdina V.A., Shevirin V.A., Slepukhin P.A., Benassi E., Belskaya N.P. Org. Biomol. Chem., 2021, 19, 9880‒9896. https://doi.org/10.1039/d1ob01801a
- Viktorova V.V., Steparuk E.V., Obydennov D.L., Sosnovskikh V.Y. Molecules. 2023, 28, 1285. https://doi.org/10.3390/molecules28031285
- Usachev B.I. J. Fluor. Chem. 2015, 172, 80–91. https://doi.org/10.1016/j.jfluchem.2015.01.012
- Usachev S.A., Nigamatova D.I., Mysik D.K., Naumov N.A., Obydennov D.L., Sosnovskikh V.Y. Molecules. 2021, 26, 4415. https://doi.org/10.3390/molecules26154415
- Obydennov D.L., Simbirtseva A.E., Piksin S.E., Sosnovskikh V.Y. ACS Omega. 2020, 5, 33406−33420. https://doi.org/10.1021/acsomega.0c05357
- Obydennov D.L., Khammatova L.R., Steben’kov V.D., Sosnovskikh V.Y. RSC Adv. 2019, 9, 40072–40083. https://doi.org/10.1039/C9RA07653K
- Obydennov D.L., Khammatova L.R., Eltsov O.S., Steben’kov V.D., Sosnovskikh V.Y. Org. Biomol. Chem. 2018, 16, 1692–1707. https://doi.org/10.1039/C7OB02725G
- Обыденнов Д.Л., Суслова А.И., Сосновских В.Я. Химия гетероцикл. соедин. 2020, 56, 173–179. [Obydennov D.L., Suslova A.I., Sosnovskikh V.Y. Chem. Heterocycl. Compd. 2020, 56, 173–179.] https://doi.org/10.1007/s10593-020-02642-3
- Obydennov D.L., Sidorova E.S., Usachev B.I., Sosnovskikh V.Y. Tetrahedron Lett. 2013, 54, 3085–3087. https://doi.org/10.1016/j.tetlet.2013.03.132
- Обыденнов Д.Л., Сосновских В.Я. Химия гетероцикл. соедин. 2015, 51, 281–290. [Obydennov D.L., Sosnovskikh V.Y. Chem. Heterocycl. Compd. 2015, 51, 281–290.] https://doi.org/10.1007/s10593-015-1696-3
- Обыденнов Д.Л., Усачев Б.И., Сосновских В.Я. Химия гетероцикл. соедин. 2014, 50, 1510–1527. [Obydennov D.L., Usachev B.I., Sosnovskikh V.Y. Chem. Heterocycl. Compd. 2015, 50, 1388–1403.] https://doi.org/10.1007/s10593-014-1603-3
- Obydennov D.L., Simbirtseva A.E., Sosnovskikh V.Y. Res. Chem. Intermed. 2022, 48, 2155–2179. https://doi.org/10.1007/s11164-022-04694-w
- Obydennov D.L. , Steben’kov V.D., Obydennov K.L., Usachev S.A., Moshkin V.S., Sosnovskikh V.Y. Synthesis. 2021, 53, 2621–2631. https://doi.org/10.1055/s-0040-1706032
- Баранова О.В., Дорошкевич В.С., Шендрик А.Н. Вестн. ДонНУ. Сер. А: Естеств. науки. 2014, 2, 106–111.
- Баранова О.В., Дорошкевич В.С. Вестн. ДонНУ. Сер. А: Естеств. науки. 2021. 54–60.
- Синельникова М.А., Швед Е.Н. ЖОрХ. 2014, 50, 343–348. [Sinel’nikova M.A., Shved E.N. Russ. J. Org. Chem. 2014, 50, 332–336.] https://doi.org/10.1134/S107042801403004X
- Bespalko Y., Sinel’nikova M., Shved E., Bakhalova E. Int. J. Chem. Kinet. 2021, 53, 356–368. https://doi.org/10.1002/kin.21448
- Бахтин С.Г., Швед Е.Н., Беспалько Ю.Н. Кинетика и катализ. 2016, 57, 49–53. [Bakhtin S.G., Shved E.N., Bespal’ko Y.N. Kinet. Catal. 2016. 57, 47–51.] https://doi.org/10.1134/S002315841601002X
- Bakhtin S., Bespal’ko Y., Shved E. React. Kinet. Mech. Catal. 2016, 119, 139–148. https://doi.org/10.1007/s11144-016-1051-4
- Bakhtin S., Shved E., Bespal’ko Y., Stepanova Y. Prog. React. Kinet. Mec. 2018, 43, 121–135. https://doi.org/10.3184/146867818X15161889114501
- Бахтин С.Г., Синельникова М.А., Тюрина Т.Г., Бордюг, Д.Д. Вестник Донецкого национального университета. Серия А: Естественные науки. 2021, 17–26.
- Bakhtin S., Shved E., Bespalko Y., Tyurina T., Palchykov V.J. Phys. Org. Chem. 2020, 33, e4071. https://doi.org/10.1002/poc.4071
- Bakhtin S., Shved E., Bespal’ko Y. J. Phys. Org. Chem. 2017, 30, e3717. https://doi.org/10.1002/poc.3717
- Бахтин С.Г., Швед Е.Н., Синельникова М.А., Беспалько Ю.Н. ЖОрХ. 2021, 57, 497–506. [Bakhtin S.G., Shved E.N., Sinelnikova M.A., Bespalko Y.N. Russ. J. Org. Chem. 2021, 57, 524–531.] https://doi.org/10.1134/S1070428021040047
- Бахтин С.Г., Троян Д.С., Синельникова М.А., Швед Е.Н. Химия и технология органических веществ. 2021, 4–13.
- Bakhtin S., Sinelnikova M. Int. J. Chem. Kinet. 2023, 55, 743–750. https://doi.org/10.1002/kin.21681
- Раскильдина Г.З., Султанова Р.М., Злотский С.С. Изв. Уфим. науч. центра РАН. 2019, 3, 5–18. https://doi.org/10.31040/2222-8349-2019-0-3-5-18
- Raskil’dina G.Z., Sultanova R.M., Zlotskii S.S. Chem. Rev. and Advan. in Chem. 2023, 13, 15–27. https://doi.org/10.1134/S2634827623700150
- Султанова Р.М., Борисова Ю.Г., Хуснутдинова Н.С., Раскильдина Г.З., Злотский С.С. Изв. Акад. наук. Сер. хим. 2023, 72, 2297–2318. [Sultanova R.M., Borisova Y.G., Khusnutdinova N.S, Raskil’dina G.Z., Zlotskii S.S. Russ. Chem. Bull. 2023, 72, 2297–2318.] https://doi.org/10.1007/s11172-023-4027-3
- Raskil’dina G.Z., Zlotsky S.S., Sultanova R.M. Macroheterocycles. 2018, 11, 166–172. https://doi.org/10.6060/mhc170622s
- Сахабутдинова Г.Н., Раскильдина Г.З., Злотский С.С., Султанова Р.М. ДАН. 2018, 482, 543–546. [Sakhabutdinova G.N., Raskil’dina G.Z., Zlotskii S.S., Sultanova R.M. Doklady Chem. 2018, 482, 233–236.] https://doi.org/10.31857/S086956520003035-1
- Сахабутдинова Г.Н., Байкова И.П., Раскильдина Г.З., Злотский С.С., Султанова Р.М. ЖОрХ. 2018, 54, 369–372. [Sakhabutdinova, G.N., Baikova, I.P., Raskil’dina, G.Z., Zlotskii S.S., Sultanova R.M. Russ. J. Org. Chem. 2018, 54, 373–376.] https://doi.org/10.1134/S1070428018030016
- Борисова Ю.Г., Мусин А.И., Якупов Н.В., Раскильдина Г.З., Даминев Р.Р., Злотский С.С. ЖОХ. 2021, 91, 1328–1332. [Borisova Y.G., Yakupov N.V., Raskildina G.Z., Zlotskii S.S., Musin A.I., Daminev R.R. Russ. J. Gen. Chem. 2021, 91, 1619–1622.] https://doi.org/10.31857/S0044460X21090031
- Сахабутдинова Г.Н., Раскильдина Г.З., Злотский С.С. ЖОХ. 2020, 90, 1456–1459. [Sakhabutdinova G.N., Raskilʼdina G.Z., Zlotskii S.S. Russ. J. Gen. Chem. 2020, 90, 1–3.] https://doi.org/10.31857/S0044460X20090188
- Раскильдина Г.З., Сахабутдинова Г.Н., Мусин А.И., Злотский С.С. ЖОХ. 2021, 91, 510–516. [Raskildina G.Z., Sahabutdinova G.N., Musin A.I., Zlotskii S.S. Russ. J. Gen. Chem. 2021, 91, 510–516.] https://doi.org/10.31857/S0044460X2104003Х
- Байбуртли А.В., Раскильдина Г.З., Григорьева Н.Г., Злотский С.С., Кутепов Б.И. ДАН. 2020, 490, 29–32. [Bayburtli A.V., Grigorieva N.G., Raskil’dina G.Z., Zlotsky S.S., Kutepov B.I. Doklady Chem. 2020, 490, 32–35.] https://doi.org/10.31857/S2686953520010033
- Легостаева Ю.В., Гарифуллина Л.Р., Раскильдина Г.З. Султанова Р.М., Ишмуратов Г.Ю., Злотский С.С. ЖОрХ. 2018, 54, 373–377. [Legostaeva Y.V., Garifullina L.R., Sultanova R.M., Ishmuratov G.Y., Raskil’dina G.Z., Zlotskii S.S. Russ. J. Org. Chem. 2018, 54, 377–381.] https://doi.org/10.1134/S1070428018030028
- Борисова Ю.Г., Джумаев Ш.Ш., Хуснутдинова Н.С., Мрясова Л.М., Раскильдина Г.З., Злотский С.С. ЖОХ. 2022, 92, 3–8. [Borisova Y.G., Dzhumaev S.S., Raskildina G.Z., Zlotskii S.S., Khusnutdinova N.S., Mryasova L.M. Russ. J. Gen. Chem. 2022, 92, 3–8.] https://doi.org/10.31857/S0044460X22010012
- Раскильдина Г.З., Кузьмина У.Ш., Борисова Ю.Г., Вахитова Ю.В., Злотский С.С. Хим. фарм. жур. 2020, 54, 27–31. https://doi.org/10.30906/0023-1134-2020-54-9-27-31
- Раскильдина Г.З., Кузьмина У.Ш., Джумаев Ш.Ш., Борисова Ю.Г., Вахитова Ю.В., Злотский С.С. Изв. АН. Сер. хим. 2021, 70,. 475–478. [Raskildina G.Z., Kuzmina U.Sh., Dzhumaev Sh.Sh., Borisova Yu.G., Vakhitova Yu.V., Zlotsky S.S. Russ. Chem. Bull. 2021, 70,. 475–478.] https://doi.org/10.1007/s11172-021-3111-9
- Литвинов В.П., Промоненков В.К., Шаранин Ю.А., Шестопалов A.M. Итоги науки и техники. Органическая химия. М.: Винити, 1989, 17, 72–157.
- Шаранин Ю.А., Промоненков В.К. Итоги науки и техники. Органическая химия. М.: Винити, 1989, 17, 158–230.
- Шаранин Ю.А., Промоненков В.К., Литвинов В.П. Итоги науки и техники. Органическая химия. М.: Винити, 1991, 20 (II), 1–124.
- Дяченко В.Д., Нестеров В.Н., Стручков Ю.Т., Шаранин Ю.А., Шкловер В.Е. ЖОХ. 1989, 59, 881–891.
- Дяченко В.Д., Шаранин Ю.А., Литвинов В.П., Нестеров В.Н., Шкловер В.Е., Стручков Ю.Т., Промоненков В.К., Туров А.В. ЖОХ. 1991, 61, 747–753.
- Дяченко В.Д., Шаранин Ю.А. ЖОХ. 1991, 61, 948–951.
- Литвинов В.П., Дяченко В.Д. ДАН. 1997, 352, 636–640. [Litvinov V.P., Dyachenko V.D. Dokl. Chem. 1997, 352, 29–33.]
- Дяченко В.Д., Литвинов В.П. ДАН. 1997, 355, 62–65. [Dyachenko V.D., Litvinov V.P. Dokl. Chem. 1997, 355, 153–156.]
- Дяченко В.Д., Роман С.В., Литвинов В.П. Изв. АН. Сер. хим. 2000, 49, 121–124. [Dyachenko V.D., Roman S.V., Litvinov V.P. Russ. Chem. Bull. 2000, 49, 125–128.] https://doi.org/10.1007/BF02499077
- Дяченко В.Д. ЖОХ. 2004, 74, 1227–1228. [Dyachenko V.D. Russ. J. Gen. Chem. 2004, 74, 1135–1136.] https://doi.org/10.1023/B:RUGC.0000045882.03578.cf
- Дяченко В.Д., Ткачев Р.П. ЖОрХ. 2003, 39, 807–842. [Dyachenko V.D., Tkachev R.P. Russ. J. Org. Chem. 2003, 39, 757–793.] https://doi.org/10.1023/B:RUJO.0000003153.20325.22
- Дяченко В.Д., Ткачев Р.П. ЖОрХ. 2006, 42, 167–188. [Dyachenko V.D., Tkachev R.P. Russ. J. Org. Chem. 2006, 42, 149–171.] https://doi.org/10.1134/S1070428002120011
- Ткачев Р.П., Дяченко В.Д., Ткачева В.П. Журн. орг. та фарм. хім. 2008, 6, 19–37.
- Дяченко В.Д., Ткачев Р.П., Битюкова О.С. ЖОрХ. 2008, 44, 1591–1604. [Dyachenko V.D., Tkachiov R.P., Bityukova O.S. Russ. J. Org. Chem. 2008, 44, 1565–1579.] https://doi.org/10.1134/S1070428008110018
- Дяченко И.В., Дяченко В.Д. ЖОрХ. 2017, 53, 1735–1754. [Dyachenko I.V., Dyachenko V.D. Russ. J. Org. Chem. 2017, 53, 1769–1787.] https://doi.org/10.1134/S1070428017120016
- Дяченко В.Д., Сукач С.М., Морковник А.С. ЖОрХ. 2020, 56, 829–858. [Dyachenko V.D., Sukach S.M., Morkovnik A.S. Russ. J. Org. Chem. 2020, 56, 949–973.] https://doi.org/10.1134/S1070428020060019
- Дяченко В.Д., Торопов А.Н., Русанов Э.Б. ХГС. 2015, 51, 31–33. [Dyachenko V.D., Toropov A.N., Rusanov E.B. Chem. Heterocycl. Compd. 2015, 51, 31–33.] https://doi.org/10.1007/s10593-015-1655-z
- Дяченко И.В., Дяченко В.Д., Дороватовский П.В., Хрусталев В.Н., Ненайденко В.Г. ЖОрХ. 2022, 58, 459–468. [Dyachenko I.V., Dyachenko V.D., Dorovatovskii P.V., Khrustalev V.N., Nenajdenko V.G. Russ. J. Org. Chem. 2022, 58, 648–656.] https://doi.org/10.1134/S1070428022050025
- Дяченко И.В., Дяченко В.Д. ЖОХ. 2015, 85, 745–750. [Dyachenko I.V., Dyachenko V.D. Russ. J. Gen. Chem. 2015, 85, 1043–1048.] https://doi.org/10.1134/S1070363215050060
- Дяченко И.В., Дяченко В.Д., Дороватовский П.В., Хрусталев В.Н., Ненайденко В.Г. ЖОрХ. 2019, 55, 266–278. [Dyachenko I.V., Dyachenko V.D., Dorovatovskii P.V., Khrustalev V.N., Nenajdenko V.G. Russ. J. Org. Chem. 2019, 55, 215–226.] https://doi.org/10.1134/S1070428019020131
- Дяченко И.В., Дяченко В.Д., Дороватовский П.В., Хрусталев В.Н., Ненайденко В.Г. ЖОрХ. 2022, 58, 1366–1378. [Dyachenko I.V., Dyachenko V.D., Dorovatovskii P.V., Khrustalev V.N., Nenajdenko V.G. Russ. J. Org. Chem. 2022, 58, 1769–1779.] https://doi.org/10.1134/S1070428022120053
- Дяченко В.Д., Рыльская Т.А., Дяченко И.В., Калашник И.Н., Черных А.В. ЖОХ. 2015, 85, 771–775. [Dyachenko V.D., Ryl’skaya T.A., Dyachenko I.V., Kalashnik I.N., Chernykh A.V. Russ. J. Gen. Chem. 2015, 85, 1069–1073.] https://doi.org/10.1134/S1070363215050114
- Дяченко И.В., Дяченко В.Д., Дороватовский П.В., Хрусталев В.Н., Ненайденко В.Г. ЖОрХ. 2018, 54, 1668–1674. [Dyachenko I.V., Dyachenko V.D., Dorovatovskii P.V., Khrustalev V.N., Nenajdenko V.G. Russ. J. Org. Chem. 2018, 54, 1681–1688.] https://doi.org/10.1134/S1070428018110106
- Нестеров В.Н., Шкловер В.Е., Стручков Ю.Т., Шаранин Ю.А., Гончаренко М.П., Дяченко В.Д. Изв. АН СССР. Сер. хим. 1991, 40, 521–523. [Nesterov V.N., Shklover V.E., Struchkov Yu.T., Sharanin Yu.A., Goncharenko M.P., Dyachenko V.D. Bull. Acad. Sci. USSR, Div. chem. sci. 1991, 40, 453–454.] https://doi.org/10.1007/BF00965452
- Дяченко В.Д., Солодуха М.В. ЖОрХ. 2011, 47, 1101–1102. [Dyachenko V.D., Solodukha M.V. Russ. J. Org. Chem. 2011, 47, 1121–1122.] https://doi.org/10.1134/S1070428011070268
- Дяченко И.В., Калашник И.Н., Дяченко В.Д., Дороватовский П.В., Хрусталев В.Н., Ненай-денко В.Г. ЖОрХ. 2019, 55, 1127–1143. [Dyachenko I.V., Kalashnik I.N., Dyachenko V.D., Dorovatovskii P.V., Khrustalev V.N., Nenajdenko V.G. Russ. J. Org. Chem. 2019, 55, 1019–1033.] https://doi.org/10.1134/S1070428019070194
- Дяченко И.В., Калашник И.Н., Дяченко В.Д., Дороватовский П.В., Хрусталев В.Н., Ненай-денко В.Г. ЖОрХ. 2019, 55, 1273–1286. [Dyachenko I.V., Kalashnik I.N., Dyachenko V.D., Dorovatovskii P.V., Khrustalev V.N., Nenajdenko V.G. Russ. J. Org. Chem. 2019, 55, 1177–1188.] https://doi.org/10.1134/S1070428019080177
- Дяченко В.Д., Барышев Б.Н., Ненайденко В.Г. Усп. хим. 2022, 91, RCR5039. [Dyachenko V.D., Baryshev B.N., Nenajdenko V.G. Russ. Chem. Rev., 2022, 91, RCR5039.] https://doi.org/10.1070/RCR5039
- Дяченко И.В., Дяченко В.Д., Дороватовский П.В., Хрусталев В.Н., Ривера Д.Г., Ненайденко В.Г. ЖОрХ. 2023, 59, 38–50. [Dyachenko I.V., Dyachenko V.D., Dorovatovskii P.V., Khrustalev V.N., Rivera D.G., Nenajdenko V.G. Russ. J. Org. Chem. 2022, 58, 1786–1796.] https://doi.org/10.1134/S1070428022120077
- Дяченко И.В., Рамазанова Е.Ю., Дяченко В.Д. ЖОрХ. 2014, 50, 1839–1843. [Dyachenko I.V., Ramazanova E.Yu., Dyachenko V.D. Russ. J. Org. Chem. 2014, 50, 1821–1825.] https://doi.org/10.1134/S1070428014120185
- Дяченко И.В., Карпов Е.Н., Дяченко В.Д. ЖОХ. 2015, 85, 765–770. [Dyachenko I.V., Karpov E.N., Dyachenko V.D. Russ. J. Gen. Chem. 2015, 85, 1063–1068.] https://doi.org/10.1134/S1070363215050102
- Дяченко И.В., Дяченко В.Д. ЖОрХ. 2015, 51, 650–655. [Dyachenko I.V., Dyachenko V.D. Russ. J. Org. Chem. 2015, 51, 629–635.] https://doi.org/10.1134/S1070428015050073
- Дяченко И.В., Дяченко В.Д. ЖОХ. 2015, 85, 980–984. [Dyachenko I.V., Dyachenko V.D. Russ. J. Gen. Chem. 2015, 85, 1447–1451.] https://doi.org/10.1134/S1070363215060146
- Дяченко И.В., Дяченко В.Д. ЖОХ. 2015, 85, 1146–1151. [Dyachenko I.V., Dyachenko V.D. Russ. J. Gen. Chem. 2015, 85, 1668–1672.] https://doi.org/10.1134/S1070363215070166
- Дяченко И.В. ЖОХ. 2015, 85, 1276–1279. [Dyachenko I.V. Russ. J. Gen. Chem. 2015, 85, 1834–1837.] https://doi.org/10.1134/S1070363215080083
- Дяченко И.В., Дяченко В.Д. ЖОрХ. 2015, 51, 1319–1325. [Dyachenko I.V., Dyachenko V.D. Russ. J. Org. Chem. 2015, 51, 1293–1300.] https://doi.org/10.1134/S1070428015090146
- Дяченко И.В., Дяченко В.Д. ЖОрХ. 2016, 52, 40–43. [Dyachenko I.V., Dyachenko V.D. Russ. J. Org. Chem. 2016, 52, 32–36.] https://doi.org/10.1134/S1070428016010061
- Дяченко В.Д., Матусов И.О., Дяченко И.В., Ненайденко В.Г. ЖОрХ. 2018, 54, 1763–1770. [Dyachenko V.D., Matusov I.O., Dyachenko I.V., Nenajdenko V.G. Russ. J. Org. Chem. 2018, 54, 1777–1784.] https://doi.org/10.1134/S1070428018120060
- Дяченко И.В., Дяченко В.Д., Дороватовский П.В., Хрусталев В.Н., Торочешников В.Н., Ненайденко В.Г. ЖОрХ. 2018, 54, 1771–1775. [Dyachenko I.V., Dyachenko V.D., Dorovatovskii P.V., Khrustalev V.N., Torocheshnikov V.N., Nenajdenko V.G. Russ. J. Org. Chem. 2018, 54, 1785–1789.] https://doi.org/10.1134/S1070428018120072
- Дяченко И.В., Дяченко В.Д., Дороватовский П.В., Хрусталев В.Н., Ненайденко В.Г. ХГС. 2020, 56, 1579–1585. [Dyachenko I.V., Dyachenko V.D., Dorovatovskii P.V., Khrustalev V.N., Nenajdenko V.G. Chem. Heterocycl. Compd. 2020, 56, 1579–1585.] https://doi.org/10.1007/s10593-020-02852-9
- Дяченко И.В., Дяченко В.Д., Дороватовский П.В., Хрусталев В.Н., Ненайденко В.Г. Изв. АН. Сер. хим. 2021, 70, 2145–2155. [Dyachenko I.V., Dyachenko V.D., Dorovatovskii P.V., Khrustalev V.N., Nenajdenko V.G. Russ. Chem. Bull. 2021, 70, 2145–2155.] https://doi.org/10.1007/s11172-021-3326-9
- Дяченко И.В., Дяченко В.Д., Дороватовский П.В., Хрусталев В.Н., Ненайденко В.Г. Изв. АН. Сер. хим. 2021, 70, 949–959. [Dyachenko I.V., Dyachenko V.D., Dorovatovskii P.V., Khrustalev V.N., Nenajdenko V.G. Russ. Chem. Bull. 2021, 70, 949–959.] https://doi.org/10.1007/s11172-021-3172-9
- Дяченко И.В., Дяченко В.Д., Дороватовский П.В., Хрусталев В.Н., Ненайденко В.Г. ЖОрХ. 2021, 57, 1560–1576. [Dyachenko I.V., Dyachenko V.D., Dorovatovskii P.V., Khrustalev V.N., Nenajdenko V.G. Russ. J. Org. Chem. 2021, 57, 1809–1823.] https://doi.org/10.1134/S1070428021110026
- Дяченко И.В. ЖОрХ. 2015, 51, 1609–1613. [Dyachenko I.V. Russ. J. Org. Chem. 2015, 51, 1578–1583.] https://doi.org/10.1134/S107042801511010X
- Дяченко И.В., Дяченко В.Д., Полупаненко Е.Г., Дороватовский П.В., Хрусталев В.Н., Ненайденко В.Г. ЖОрХ. 2018, 54, 1263–1273. [Dyachenko I.V., Dyachenko V.D., Polupanenko E.G., Dorovatovskii P.V., Khrustalev V.N., Nenajdenko V.G. Russ. J. Org. Chem. 2018, 54, 1273–1284.] https://doi.org/10.1134/S1070428018090014
- Дяченко И.В., Дяченко В.Д., Дороватовский П.В., Хрусталев В.Н., Ненайденко В.Г. ЖОрХ. 2018, 54, 1423–1433. [Dyachenko I.V., Dyachenko V.D., Dorovatovskii P.V., Khrustalev V.N., Nenajdenko V.G. Russ. J. Org. Chem. 2018, 54, 1435–1445.] https://doi.org/10.1134/S1070428018100019
- Дяченко И.В., Дяченко В.Д., Дороватовский П.В., Хрусталев В.Н., Ненайденко В.Г. ХГС. 2019, 55, 442–447. [Dyachenko I.V., Dyachenko V.D., Dorovatovskii P.V., Khrustalev V.N., Nenajdenko V.G. Chem. Heterocycl. Compd. 2019, 55, 442–447.] https://doi.org/10.1007/s10593-019-02477-7
- Дяченко И.В., Дяченко В.Д., Дороватовский П.В., Хрусталев В.Н., Ненайденко В.Г. ХГС. 2020, 56, 1592–1598. [Dyachenko I.V., Dyachenko V.D., Dorovatovskii P.V., Khrustalev V.N., Nenajdenko V.G. Chem. Heterocycl. Compd. 2020, 56, 1592–1598.] https://doi.org/10.1007/s10593-020-02854-7
- Дяченко И.В., Дяченко В.Д., Дороватовский П.В., Хрусталев В.Н., Ненайденко В.Г. ЖОрХ. 2020, 56, 993–1003. [Dyachenko I.V., Dyachenko V.D., Dorovatovskii P.V., Khrustalev V.N., Nenajdenko V.G. Russ. J. Org. Chem. 2020, 56, 1123–1131.] https://doi.org/10.1134/S1070428020070015
- Дяченко И.В., Дяченко В.Д., Дороватовский П.В., Хрусталев В.Н., Ненайденко В.Г. ЖОрХ. 2023, 59, 920–934. [Dyachenko I.V., Dyachenko V.D., Dorovatovskii P.V., Khrustalev V.N., Nenajdenko V.G. Russ. J. Org. Chem. 2023, 59, 1158–1170.] https://doi.org/10.1134/S1070428023070060
- Дяченко И.В., Дяченко В.Д., Дороватовский П.В., Хрусталев В.Н., Ненайденко В.Г. ЖОрХ. 2023, 59, 197–210. [Dyachenko I.V., Dyachenko V.D., Dorovatovskii P.V., Khrustalev V.N., Nenajdenko V.G. Russ. J. Org. Chem. 2023, 59, 252–264.] https://doi.org/10.1134/S1070428023020057
- Дяченко И.В. ЖОрХ. 2015, 51, 1614–1616. [Dyachenko I.V. Russ. J. Org. Chem. 2015, 51, 1584–1586.] https://doi.org/10.1134/S1070428015110111
- Дяченко В.Д., Нестеров В.Н., Дяченко С.В., Черных А.В. ЖОрХ. 2015, 51, 880–884. [Dyachenko V.D., Nesterov V.N., Dyachenko S.V., Chernykh A.V. Russ. J. Org. Chem. 2015, 51, 864–868.] https://doi.org/10.1134/S1070428015060081
- Дяченко И.В., Дяченко В.Д., Дороватовский П.В., Хрусталев В.Н., Ненайденко В.Г. ХГС. 2019, 55, 839–843. [Dyachenko I.V., Dyachenko V.D., Dorovatovskii P.V., Khrustalev V.N., Nenajdenko V.G. Chem. Heterocycl. Compd. 2019, 55, 839–843.] https://doi.org/10.1007/s10593-019-02546-x
- Дяченко И.В., Дяченко В.Д., Дороватовский П.В., Хрусталев В.Н., Ненайденко В.Г. ЖОрХ. 2021, 57, 1577–1589. [Dyachenko I.V., Dyachenko V.D., Dorovatovskii P.V., Khrustalev V.N., Nenajdenko V.G. Russ. J. Org. Chem. 2021, 57, 1824–1833.] https://doi.org/10.1134/S1070428021110038
- Сукач С.М., Дяченко В.Д. ЖОрХ. 2015, 51, 1037–1042. [Sukach S.M., Dyachenko V.D. Russ. J. Org. Chem. 2015, 51, 1020–1025.] https://doi.org/10.1134/S1070428015070210
- Дяченко И.В., Дяченко В.Д., Дороватовский П.В., Хрусталев В.Н., Абакаров Г.М., Ненайденко В.Г. ЖОрХ. 2023, 59, 734–746. [Dyachenko I.V., Dyachenko V.D., Dorovatovskii P.V., Khrustalev V.N., Abakarov G.M., Nenajdenko V.G. Russ. J. Org. Chem. 2023, 59, 969–979.] https://doi.org/10.1134/S1070428023060027
- Дяченко И.В., Дяченко В.Д., Дороватовский П.В., Хрусталев В.Н., Ненайденко В.Г. ЖОрХ. 2020, 56, 859–869. [Dyachenko I.V., Dyachenko V.D., Dorovatovskii P.V., Khrustalev V.N., Nenajdenko V.G. Russ. J. Org. Chem. 2020, 56, 974–982.] https://doi.org/10.1134/S1070428020060020
- Dyachenko I.V., Dyachenko V.D., Dorovatovskii P.V., Khrustalev V.N., Nenajdenko V.G. Russ. J. Gen. Chem. 2023, 93, S61–S72.] https://doi.org/10.1134/S1070363223140025
- Магеррамов А.М., Шихалиев Н.Г., Дяченко В.Д., Дяченко И.В., Ненайденко В.Г. α-Цианотиоацетамид. М.: Техносфера, 2018, 1–224.
- Дяченко В.Д., Дяченко И.В., Ненайденко В.Г. Усп. хим. 2018, 87, 1–27. [Dyachenko V.D., Dyachenko I.V., Nenajdenko V.G. Russ. Chem. Rev. 2018, 87, 1–27.] https://doi.org/10.1070/RCR4760
- Дяченко И.В., Вовк М.В. ХГС. 2012, 48, 1685–1688. [Dyachenko I.V., Vovk M.V. Chem. Heterocycl. Compd. 2013, 48, 1574–1576.] https://doi.org/10.1007/s10593-013-1178-4
- Дяченко И.В., Русанов Э.Б., Гутов А.В., Вовк М.В. ЖОХ. 2013, 83, 1132–1142. [Dyachenko I.V., Rusanov E.B., Gutov A.V., Vovk M.V. Russ. J. Gen. Chem. 2013, 83, 1383–1393.] https://doi.org/10.1134/S1070363213070141
- Дяченко И.В., Дяченко В.Д., Якушев И.А., Хрусталев В.Н., Ненайденко В.Г. ЖОрХ. 2020, 56, 1465–1470. [Dyachenko I.V., Dyachenko V.D., Yakushev I.A., Khrustalev V.N., Nenajdenko V.G. Russ. J. Org. Chem. 2020, 56, 1669–1672.] https://doi.org/10.1134/S1070428020090262
- Дяченко И.В. ЖОХ. 2019, 89, 701–706. [Dyachenko I.V. Russ. J. Gen. Chem. 2019, 89, 896–900.] https://doi.org/10.1134/S1070363219050062
- Дяченко И.В., Дяченко В.Д., Дороватовский П.В., Хрусталев В.Н., Ненайденко В.Г. ЖОрХ. 2022, 58, 469–475. [Dyachenko I.V., Dyachenko V.D., Dorovatovskii P.V., Khrustalev V.N., Nenajdenko V.G. Russ. J. Org. Chem. 2022, 58, 657–662.] https://doi.org/10.1134/S1070428022050037
- Дяченко И.В., Дяченко В.Д. ЖОХ. 2015, 85, 1152–1155. [Dyachenko I.V., Dyachenko V.D. Russ. J. Gen. Chem. 2015, 85, 1673–1676.] https://doi.org/10.1134/S1070363215070178
- Дяченко И.В., Дяченко В.Д., Абакаров Г.М., Ненайденко В.Г. ЖОрХ. 2021, 57, 1047–1050. [Dyachenko I.V., Dyachenko V.D., Abakarov G.M., Nenajdenko V.G. Russ. J. Org. Chem. 2021, 57, 1188–1190.] https://doi.org/10.1134/S1070428021070228
- Фисюк А.С., Костюченко А.С., Гончаров Д.С. ЖОрХ. 2020, 56, 1863–1892. [Fisyuk A.S., Kostyuchenko A. S., Goncharov D. S. Russ. J. Org. Chem. 2020, 56, 1863–1892.] https://doi.org/10.1134/S1070428020110019
- Fisyuk A.S., Vorontsova M.A., Sagitullin R.S. Mendeleev Commun. 1993, 3, 249–251. https://doi.org/10.1070/MC1993v003n06ABEH000315
- Fissyuk A.S., Vorontsova M.A., Temnikov D.V. Tetrahedron Lett. 1996, 37, 5203–5206. https://doi.org/10.1016/0040-4039(96)01051-9
- Fisyuk A.S., Poendaev N.V., Bundel’ Y.G. Mendeleev Commun. 1998, 8, 12–13. https://doi.org/10.1070/MC1998v008n01ABEH000877
- Fisyuk A.S., Poendaev N.V. Molecules. 2002, 7, 119–123. https://doi.org/10.3390/70200119
- Fisyuk A.S., Poendaev N.V. Molecules. 2002, 7, 124–128. https://doi.org/10.3390/70200124
- Фисюк А.С., Богза Ю.П., Поендаев Н.В., Гончаров Д.С. ХГС. 2010, 7, 1044–1049. [Fisyuk A.S., Bogza, Y.P., Poendaev, N.V., Goncharov, D.S. Chem. Heterocyclic. Compd. 2010, 46, 844–849.] https://doi.org/10.1007/s10593-010-0592-0
- Фисюк А.С., Кулаков И.В., Гончаров Д.С., Никитина О.С., Богза Ю.П., Шацаускас А.Л. ХГС. 2014, 50, 241–249. [Fisyuk A. S., Kulakov I. V., Goncharov D.S., Nikitina O.S., Bogza Y.P., Shatsauskas A.L. Chem. Heterocyclic Compd. 2014, 50, 217–224.] https://doi.org/10.1007/s10593-014-1464-9
- Кулаков И.В., Мацукевич М.В., Шульгау З.Т., Сейлханов Т.М., Сергази Ш., Пузари А., Фисюк А.С. ХГС. 2015, 51, 991–996. [Kulakov I. V., Matsukevich M. V., Shulgau Z. T., Sergazy S., Seilkhanov T. M, Puzari, A., Fisyuk A. S. Chem. Heterocycl. Compd. 2015, 51, 991–996.] https://doi.org/10.1007/s10593-016-1809-7
- Савченко О.А., Мусияк В.В., Гончаров Д.С., Богза Ю.П., Шацаускас А.Л., Талзи В.П., Евдокимов С.Н., Ульянкин Е.Б., Фисюк А.С. ХГС. 2020, 56, 1180–1186. [Savchenko O.А., Musiyak V.V., Goncharov D.S., Bogza Y.P., Shatsauskas A.L., Talzi V.P., Evdokimov S.N., Ulyankin E.B., Fisyuk A.S. Chem. Heterocycl. Compd. 2020, 56, 1180–1186.] https://doi.org/10.1007/s10593-020-02795-1
- Shatsauskas A.L., Abramov A.A., Chernenko S.A., Kostyuchenko A.S., Fisyuk A.S. Synthesis. 2020, 52, 227–238. https://doi.org/10.1055/s-0039-1690231
- Shatsauskas A., Shatalin Y., Shubina V., Zablodtskii Y., Chernenko S., Samsonenko A., Kostyuchenko A., Fisyuk A. Dyes Pigm. 2021, 187, 109072. https://doi.org/10.1016/j.dyepig.2020.109072
- Kulakov I.V., Palamarchuk I.V., Shulgau Z.T., Seilkhanov T.M., Gatilov Y.V., Fisyuk A.S. J. Mol. Struct. 2018, 1166, 262–269. https://doi.org/10.1016/j.molstruc.2018.04.036
- Шацаускас А.Л., Заблоцкий Ю.А., Черненко С.А., Железнова Т.Ю., Шувалов В.Ю., Костюченко А.С., Фисюк А.С. ХГС. 2021, 57, 1212–1219. [Shatsauskas A.L., Zablotskii Y.А., Chernenko S.А., Zheleznova T.Yu., Shuvalov V.Yu., Kostyuchenko A.S., Fisyuk A.S. Chem. Heterocycl. Compd. 2021, 57, 1212–1219.] https://doi.org/10.1007/s10593-021-03045-8
- Shuvalov V.Yu., Samsonenko A.L., Rozhkova Yu.S., Morozov V.V., Shklyaev Yu.V., Fisyuk A.S. ChemistrySelect. 2021, 6, 11265–11269. https://doi.org/10.1002/slct.202103028
- Шувалов В.Ю., Самсоненко А.Л., Рожкова Ю.С., Шкляев Ю.В., Фисюк А.С. ХГС. 2022, 58, 7–14. [Shuvalov V.Yu., Rozhkova Yu. S., Plekhanova I.V., Kostyuchenko A.S., Shklyaev Yu.V., Fisyuk A.S. Chem. Heterocycl. Compd. 2022, 58, 7–14.] https://doi.org/10.1007/s10593-022-03050-5
- Шувалов В.Ю., Черненко С. А., Шацаускас А. Л., Самсоненко А.Л., Дмитриев М.В., Фисюк А.С. ХГС. 2021, 57, 764–771. [Shuvalov V.Yu., Chernenko S.А., Shatsauskas A.L., Samsonenko A.L., Dmitriev M.V., Fisyuk A.S. Chem. Heterocycl. Compd. 2021, 57, 764–771.] https://doi.org/10.1007/s10593-021-02980-w
- Shuvalov V.Yu., Shatsauskas A.L., Zheleznova T.Yu., Kostyuchenko A.S., Fisyuk A.S. Synthesis. 2024, 56, 1324–1334, https://doi.org/10.1055/a-2218-9177
- Shuvalov V.Yu., Vlasova E.Yu., Zheleznova T.Yu., Fisyuk A.S. Beilstein J. Org. Chem. 2023, 19, 1155–1160. https://doi.org/10.3762/bjoc.19.83
- Shatsauskas A.L., Mamonova T.E., Stasyuk A.J., Chernenko S.A., Slepukhin P.A., Kostyuchenko A.S., Fisyuk A.S. J. Org. Chem. 2020, 85, 10072–10082. https://doi.org/10.1021/acs.joc.0c01299
- Kulakov I.V., Shatsauskas A.L., Matsukevich M.V., Palamarchuk I.V., Seilkhanov T.M., Gatilov Y.V., Fisyuk A.S. Synthesis. 2017, 49, 3700–3709. https://doi.org/10.1055/s-0036-1590470
- Kulakov I.V., Matsukevich M.V., Levin M.L., Palamarchuk I.V., Seilkhanov T.M., Fisyuk A.S. Synlett. 2018, 29, 1741–1744. https://doi.org/10.1055/s-0037-1610445
- Shatsauskas A.L., Keyn E.S., Stasyuk A.J., Kirnosov S.A., Shuvalov V.Yu., Kostyuchenko A.S., Fisyuk A.S. Synthesis. 2024, 56, 507–517. https://doi.org/10.1055/a-2193-5593
- Шацаускас А.Л., Сайбулина Э.Р., Гатилов Ю.В., Костюченко А.С., Фисюк А. С. ХГС, 2019, 55, 1080–1086. [Shatsauskas A.L., Saibulina E.R., Gatilov Yu.V, Kostyuchenko A.S, Fisyuk A.S. Chem. Heterocycl. Compd. 2019, 55, 1080–1086]. https://doi.org/10.1007/s10593-019-02581-8
- Shatsauskas A.L., Shatalin Y.V., Shubina V.S., Chernenko S.A., Kostyuchenko A.S., Fisyuk A.S. Dyes Pigm. 2022, 204, 110388. https://doi.org/10.1016/j.dyepig.2022.110388
- Shuvalov V.Yu., Fisyuk A.S. Synthesis. 2023, 55, 1267–1273. https://doi.org/ 10.1055/a-1993-3714
- Черненко С.А., Шацаускас А.Л., Костюченко А.С., Фисюк А.С. Докл. РАН. Химия, наука о материалах. 2022, 506, 202–210. [Chernenko S.A., Shatsauskas A.L., Kostyuchenko A.S., Fisyuk A.S. Doklady Chemistry. 2022, 506, 202–210.] https://doi.org/10.1134/S0012500822700112
- Шувалов В.Ю., Елишева В.А., Белоусова А.С., Аршинов Е.В., Глиздинская Л.В., Воронцова М.А., Черненко С.А., Фисюк А.С., Сагитуллина Г.П. ХГС. 2020, 56, 73–83. [Shuvalov V.Yu., Elisheva V.А., Belousova A.S., Arshinov E.V., Glyzdinskaya L.V., Vorontsova M.А., Chernenko S.А., Fisyuk A.S., Sagitullina G.P. Chem. Heterocycl. Compd. 2020, 56, 73–83.] https://doi.org/10.1007/s10593-020-02625-4
- Прощенкова В.A., Шувалов В.Ю., Глиздинская Л.В., Фисюк А.С., Черненко С.А., Хвостов М.В., Толстикова Т.Г., Воронцова М.А., Сагитуллина Г.П. ХГС. 2021, 57, 18–198. [Proshchenkova V.А., Shuvalov V.Yu., Glyzdinskaya L.V., Fisyuk A.S., Chernenko S.A., Khvostov M.V., Tolstikova T.G., Vorontsova M.А.,. Sagitullina G.P. Chem. Heterocycl. Compd. 2021, 57, 187–198.] https://doi.org/10.1007/s10593-021-02892-9
- Fisenko A.Yu., Shuvalov V.Yu., Arshinov E.V., Glizdinskaya L.V., Shishkina L.N., Bormotov N.I., Serova O.A., Sagitullina G.P. Synthesis. 2024, 56, 1309–1323, https://doi.org/10.1055/a-2230-0583
- Shuvalov V.Yu., Rupp A.S., Fisyuk A.S., Kuratova A.K., Nefedov A.A., Sagitullina G.P. ChemistrySelect. 2019, 4, 1696–1699. https://doi.org/10.1002/slct.201803515
- Shuvalov V.Yu., Rupp A.S., Kuratova A.K., Fisyuk A.S., Nefedov A.A., Sagitullina G.P. Synlett. 2019, 30, 919–923. https://doi.org/10.1055/s-0037-1612416
- Samsonenko A.L., Kostyuchenko A.S., Zheleznova T.Yu., Shuvalov V.Yu., Vlasov I.S., Fisyuk A.S. Synthesis. 2022, 54, 3227–3238. https://doi.org/ 10.1055/a-1799-9339
- Ulyankin E.B., Kostyuchenko A.S., Chernenko S.A., Bystrushkin M.O., Samsonenko A.L., Shatsauskas A. L., Fisyuk A. S. Synthesis. 2021, 53, 2422–2434. https://doi.org/10.1055/a-1416-4924
- Ульянкин Е.Б., Костюченко А.С., Фисюк А.С. ХГС. 2023, 59, 88–95. [Uliankin E.B., Kostyuchenko A.S., Fisyuk A.S. Chem. Heterocycl. Compd. 2023, 59, 88–95.] https://doi.org/10.1007/s10593-023-03166-2
- Kostyuchenko A.S., Kurowska A., Zassowski P., Zheleznova T.Yu., Ulyankin E.B., Domagala W., Pron A., Fisyuk A.S. J. Org. Chem. 2019, 84, 10040–1049. https://doi.org/10.1021/acs.joc.9b01216
- Костюченко А.С., Ульянкин Е.Б., Шатсаускас А.Л., Шувалов В.Ю., Фисюк А.С. ХГС. 2018, 54, 1026–1032. [Kostyuchenko A.S., Ulyankin E.B., Shatsauskas A.L., Shuvalov V.Y., Fisyuk A.S. Chem. Heterocycl. Compd., 2018, 54, 1026–1032.] https://doi.org/10.1007/s10593-018-2386-8
- Kurowska A., Zassowski P., Kostyuchenko A.S., Zheleznova T.Yu., Andryukhova K.V., Fisyuk A.S., Pron A., Domagala W. Phys. Chem. Chem. Phys. 2017, 19, 30261–10276. https://doi.org/10.1039/C7CP05155G
- Костюченко А.С., Ульянкин Е.Б., Железнова Т.Ю., Черненко С.А., Шацаускас А.Л., Абайдулина Д.Р., Быструшкин М.О., Самсоненко А.Л., Фисюк А.С. ХГС. 2019, 55, 1262–1268. [Kostyuchenkо A.S., Ulyankin E.B., Zheleznova T.Yu., Chernenko S.A., Shatsauskas A.L., Abaidulina D.R., Bystrushkin M.O., Samsonenko A.L., Fisyuk A.S. Chem. Heterocycl. Compd. 2019, 55, 1262–1268.] https://doi.org/10.1007/s10593-019-02610-6
- Bogza Y.P., Rastrepin A.A., Nider V.V., Zheleznova T.Yu., Stasyuk A.J., Kurowska A., Laba K., Ulyankin E.B., Domagala W., Fisyuk A S. Dyes Pigm. 2018, 159, 419–428. https://doi.org/10.1016/j.dyepig.2018.06.031
- Katsiel A.L., Sharipova A.N., Fisyuk A.S. Mendeleev Commun. 2008, 18, 169–170. https://doi.org/10.1016/j.mencom.2008.05.020
- Богза Ю.П., Кациель А.Л., Шарыпова А.Н., Толстикова Т.Г., Фисюк А.С. ХГС. 2014, 50, 1862–1868. [Bogza Yu.P., Katsiel’ A.L., Sharypova A.N., Tolstikova T.G., Fisyuk A.S. Chem. Heterocycl. Compd. 2015, 50, 1712–1718.] https://doi.org/10.1007/s10593-015-1642-4
- Ulyankin E.B., Bogza Y.P., Kostyuchenko A.S., Chernenko S.A., Samsonenko A.L., Shatsauskas A.L., Yurpalov V.L., Fisyuk A.S. Synlett. 2021, 32, 790–794. https://doi.org/10.1055/a-1392-2209
- Kostyuchenko A.S., Uliankin E.B., Stasyuk A.J., Samsonenko A.L., Zheleznova T.Yu., Shatsauskas A.L., Fisyuk A.S. J. Org. Chem. 2022, 87, 6657–6667. https://doi.org/10.1021/acs.joc.2c00310
- Kostyuchenko A.S., Uliankin E.B., Stasyuk A.J., Zheleznova T.Yu., Fisyuk A.S. J. Org. Chem. 2023, 88. 5875-5892. https://doi.org/10.1021/acs.joc.3c00286
- Комаров Н.В., Андреев А.А. Докл. АН СССР. 1981, 261, 103–106.
- Levashov A.S., Andreev A.A., Konshin V.V. Tetrahedron Lett. 2015, 56, 1870–1872. https://doi.org/10.1016/j.tetlet.2015.02.095
- Andreev A.A., Konshin V.V., Komarov N.V., Rubin M., Brouwer C., Gevorgyan V. Org. Lett. 2004, 6, 421–424. https://doi.org/10.1021/ol036328p
- Коншин В.В., Андреев А.А., Турмасова А.А., Коншина Дж.Н. Изв. вузов. Сер. хим. и хим. технол. 2013, 56, 17–20.
- Spesivaya E.S., Lupanova I.A., Konshina D.N., Konshin V.V. Tetrahedron Lett. 2021, 63, 152713. https://doi.org/10.1016/j.tetlet.2020.152713
- Андреев А.А., Коншин В.В., Винокуров Н.А., Комаров Н.В. Изв. АН. Сер. хим. 2006, 55, 1377–1379. [Andreev A.A., Konshin V.V., Vinokurov N.A., Komarov N.V. Russ. Chem. Bull. 2006, 55, 1430–1432.] https://doi.org/10.1007/s11172-006-0434-5
- Levashov A.S., Buryi D.S., Goncharova O.V., Konshin V.V., Dotsenko V.V., Andreev A.A. New J. Chem. 2017, 41, 2910–2918. https://doi.org/10.1039/c6nj03905g
- Levashov A.S., Buryi D.S. Tetrahedron Lett. 2017, 58, 4476–4478. https://doi.org/10.1016/j.tetlet.2017.10.035
- Левашов А.С., Бурый Д.С., Коншин В.В., Доценко В.В., Аксенов Н.А., Аксенова И.В. ЖОХ. 2017, 87, 1200–1203. [Levashov A.S., Buryi D.S., Konshin V.V., Dotsenko V.V., Aksenov N.A., Aksenova I.V. Russ. J. Gen. Chem. 2017, 87, 1627–1630.] https://doi.org/10.1134/S1070363217070295]
- Levashov A.S., Aksenov N.A., Aksenova I.V., Konshin V.V. New J. Chem. 2017, 41, 8297–8304. https://doi.org/10.1039/c6nj03905g
- Levashov A.S., Dvirnaya E.V., Konshina D.N., Konshin V.V. Molbank. 2023, 2023, M1534. https://doi.org/10.3390/M1534
- Спесивая Е.С., Лупанова И.А., Коншина Дж.Н., Сухно И.В., Коншин В.В. ЖОрХ. 2023, 93, 897–904. [Spesivaya E.S., Lupanova I.A., Dz.N. Konshina, Sukhno I.V., Konshin V.V. Russ. J. Gen. Chem. 2023, 93, 1379–1385.] https://doi.org/10.1134/S1070363223060087
- Доценко В.В., Бурый Д.С., Лукина Д.Ю., Кривоколыско С.Г. Изв. АН. Сер. Хим. 2020, 1829–1858. [Dotsenko V.V., Buryi D.S., Lukina D.Yu., Krivokolysko S.G. Russ. Chem. Bull. 2020, 69, 1829–1858.] https://doi.org/10.1007/s11172-020-2969-2
- Доценко В.В., Варзиева Е.А. ХГС. 2022, 58, 681–683. [Dotsenko V.V., Varzieva E.A. Chem. Heterocycl. Compd. 2022, 58, 681–683.] https://doi.org/10.1007/s10593-023-03143-9
- Доценко В.В., Кривоколыско С.Г., Семенова А.М. ХГС. 2018, 54, 989–1019. [Dotsenko V.V., Krivokolysko S.G., Semenova A.M. Chem. Heterocycl. Compd. 2018, 54, 989–1019.] https://doi.org/10.1007/s10593-018-2383-y
- Дядюченко Л.В., Доценко В.В. ХГС. 2021, 57, 527–529. [Dyadyuchenko L.V., Dotsenko V.V. Chem. Heterocycl. Compd. 2021, 57, 527–529.] https://doi.org/10.1007/s10593-021-02959-7
- Доценко В.В., Фролов К.А., Кривоколыско С.Г. ХГС. 2015, 51, 109–127. [Dotsenko V.V., Frolov K.A., Krivokolysko S.G. Chem. Heterocycl. Compd. 2015, 51, 109–127.] https://doi.org/10.1007/s10593-015-1668-7
- Доценко В.В., Фролов К.А., Чигорина Е.А., Хрусталева А.Н., Бибик Е.Ю., Кривоколыско С.Г. Изв. АН. Сер. Хим. 2019, 691–707. [Dotsenko V.V., Frolov K.A., Chigorina E.A., Khrustaleva A.N., Bibik E.Yu., Krivokolysko S.G. Russ. Chem. Bull. 2019, 68, 691–707.] https://doi.org/10.1007/s11172-019-2476-5
- Чигорина Е.А., Доценко В.В. ХГС. 2020, 56, 302–304. [Chigorina E.A., Dotsenko V.V. Chem. Heterocycl. Compd. 2020, 56, 302–304.] https://doi.org/10.1007/s10593-020-02658-9
- Синоцко А.Э., Беспалов А.В., Пащевская Н.В., Доценко В.В., Аксенов Н.А., Аксенова И.В. ЖОХ. 2021, 91, 1658–1673. [Sinotsko A.E., Bespalov A.V., Pashchevskaya N.V., Dotsenko V.V., Aksenov N.A., Aksenova I.V. Russ. J. Gen. Chem. 2021, 91, 2136–2150.] https://doi.org/10.1134/S1070363221110037
- Доценко В.В., Кривоколыско С.Г., Фролов К.А., Чигорина Е.А., Половинко В.В., Дмитриенко А.О., Бушмаринов И.С. ХГС. 2015, 51, 389–392. [Dotsenko V.V., Krivokolysko S.G., Frolov K.A., Chigorina E.A., Polovinko V.V., Dmitrienko A.O., Bushmarinov I.S. Chem. Heterocycl. Compd. 2015, 51, 389–392.] https://doi.org/10.1007/s10593-015-1713-6
- Dotsenko V.V., Sinotsko A.E., Strelkov V.D., Varzieva E.A., Russkikh A.A., Levchenko A.G., Temerdashev A.Z., Aksenov N.A., Aksenova I.V. Molecules. 2023, 28, 609. https://doi.org/10.3390/molecules28020609
- Доценко В.В., Синоцко А.Э., Варзиева Е.А., Бурый Д.С., Василин В.К., Аксенов Н.А., Аксенова И.В. ЖОХ. 2023, 93, 1586–1591. [Dotsenko V.V., Sinotsko A.E., Varzieva E.A., Buryi D.S., Vasilin V.K., Aksenov N.A., Aksenova I.V. Russ. J. Gen. Chem. 2023, 93, 2518–2522.] https://doi.org/10.1134/S1070363223100067
- Dotsenko V.V., Bespalov A.V., Sinotsko A.E., Temerdashev A.Z., Vasilin V.K., Varzieva E.A., Strelkov V.D., Aksenov N.A., Aksenova I.V. Int. J. Mol. Sci. 2024, 25, 769. https://doi.org/10.3390/ijms25020769
- Dotsenko V.V., Sinotsko A.E., Varzieva E.A., Chigorina E.A., Aksenov N.A., Aksenova I.V. Russ. J. Gen. Chem. 2022, 92, 2530–2535. https://doi.org/10.1134/S107036322211041X
- Dotsenko V.V., Aksenov A.V., Sinotsko A.E., Varzieva E.A., Russkikh A.A., Levchenko A.G., Aksenov N.A., Aksenova I.V. Int. J. Mol. Sci. 2022, 23, 15997. https://doi.org/10.3390/ijms232415997
- Dotsenko V.V., Jassim N.T., Temerdashev A.Z., Abdul-Hussein Z.R., Aksenov N.A., Aksenova I.V. Molecules. 2023, 28, 3161. https://doi.org/10.3390/molecules28073161
- Доценко В.В., Джассим Н.Т., Темердашев А.З., Аксенов Н.А., Аксенова И.В. ЖОХ. 2023, 93, 67–76. [Dotsenko V.V., Jassim N.T., Temerdashev A.Z., Aksenov N.A., Aksenova I.V. Russ. J. Gen. Chem. 2022, 92, 2861–2869.] https://doi.org/10.1134/S1070363222120386
- Дахно П.Г., Жиляев Д.М., Доценко В.В., Стрелков В.Д., Крапивин Г.Д., Аксенов Н.А., Аксенова И.В., Лиховид Н.Г. ЖОХ. 2022, 92, 1421–1431. [Dahno P.G., Zhilyaev D.M., Dotsenko V.V., Strelkov V.D., Krapivin G.D., Aksenov N.A., Aksenova I.V., Likhovid N.G. Russ. J. Gen. Chem. 2022, 92, 1667–1676.] https://doi.org/10.1134/S1070363222090080
- Осьминин В.И., Мироненко А.А., Дахно П.Г., Назаренко М.А., Офлиди А.И., Доценко В.В., Стрелков В.Д., Аксенов Н.А., Аксенова И.В. ЖОХ. 2022, 92, 1692–1703. [Osminin V.I., Mironenko A.A., Dahno P.G., Nazarenko M.A., Oflidi A.I., Dotsenko V.V., Strelkov V.D., Aksenov N.A., Aksenova I.V. Russ. J. Gen. Chem. 2022, 92, 2235–2245.] https://doi.org/10.1134/S1070363222110068
- Krivokolysko B.S., Dotsenko V.V., Pakholka N.A., Dakhno P.G., Strelkov V.D., Aksenov N.A., Aksenova I.V., Krivokolysko S.G. J. Iran. Chem. Soc. 2023, 20, 609–628. https://doi.org/10.1007/s13738-022-02688-4
- Дахно П.Г., Доценко В.В., Стрелков В.Д., Василин В.К., Аксенов Н.А., Аксенова И.В. ЖОХ. 2023, 93, 11–21. [Dahno P.G., Dotsenko V.V., Strelkov V.D., Vasilin V.K., Aksenov N.A., Aksenova I.V. Russ. J. Gen. Chem. 2022, 92, 2822–2831.] https://doi.org/10.1134/S1070363222120337
- Stroganova T.A., Vasilin V.K., Dotsenko V.V., Aksenov N.A., Krapivin G.D. Tetrahedron Lett. 2019, 60, 997–1000. https://doi.org/10.1016/j.tetlet.2019.03.012
- Stroganova T.A., Vasilin V.K., Dotsenko V.V., Aksenov N.A., Morozov P.G., Vassiliev P.M., Volynkin V.A., Krapivin G.D. ACS Omega. 2021, 6, 14030–14048. https://doi.org/10.1021/acsomega.1c00341
- Бурый Д.С., Доценко В.В., Левашов А.С., Лукина Д.Ю., Стрелков В.Д., Аксенов Н.А., Аксенова И.В., Нетреба Е.Е. ЖОХ. 2019, 89, 690–700. [Buryi D.S., Dotsenko V.V., Levashov A.S., Lukina D.Yu., Strelkov V.D., Aksenov N.A., Aksenova I.V., Netreba E.E. Russ. J. Gen. Chem. 2019, 89, 886–895.] https://doi.org/10.1134/S1070363219050050
- Бурый Д.С., Доценко В.В., Аксенов Н.А., Аксенова И.В., Кривоколыско С.Г., Дядюченко Л.В. ЖОХ. 2019, 89, 1182–1194. [Buryi D.S., Dotsenko V.V., Aksenov N.A., Aksenova I.V., Krivokolysko S.G., Dyadyuchenko L.V. Russ. J. Gen. Chem. 2019, 89, 1575–1585.] https://doi.org/10.1134/S1070363219080061
- Доценко В.В., Лукина Д.Ю., Бурый Д.С., Стрелков В.Д., Аксенов Н.А., Аксенова И.В. ЖОХ. 2021, 91, 1021–1026. [Dotsenko V.V., Lukina D.Yu., Buryi D.S., Strelkov V.D., Aksenov N.A., Aksenova I.V. Russ. J. Gen. Chem. 2021, 91, 1292–1296.] https://doi.org/10.1134/S1070363221070057
- Доценко В.В., Муравьев В.С., Лукина Д.Ю., Стрелков В.Д., Аксенов Н.А., Аксенова И.В., Крапивин Г.Д., Дядюченко Л.В. ЖОХ. 2020, 90, 843–857. [Dotsenko V.V., Muraviev V.S., Lukina D.Yu., Strelkov V.D., Aksenov N.A., Aksenova I.V., Krapivin G.D., Dyadyuchenko L.V. Russ. J. Gen. Chem. 2020, 90, 948–960.] https://doi.org/10.1134/S1070363220060043
- Чигорина Е.А., Беспалов А.В., Доценко В.В. ЖОХ. 2019, 89, 1520–1530. [Chigorina E.A., Bespalov A.V., Dotsenko V.V. Russ. J. Gen. Chem. 2019, 89, 2018–2026.] https://doi.org/10.1134/S1070363219100062
- Dotsenko V.V., Bespalov A.V., Vashurin A.S., Aksenov N.A., Aksenova I.V., Chigorina E.A., Krivokolysko S.G. ACS Оmega 2021, 6, 32571–32588. https://doi.org/10.1021/acsomega.1c04141
- Доценко В.В., Хрусталева А.Н., Фролов К.А., Аксенов Н.А., Аксенова И.В., Кривоколыско С.Г. ЖОХ. 2021, 91, 54–67. [Dotsenko V.V., Khrustaleva A.N., Frolov K.A., Aksenov N.A., Aksenova I.V., Krivokolysko S.G. Russ. J. Gen. Chem. 2021, 91, 44–56.] https://doi.org/10.1134/S1070363221010047
- Долганов А.А., Левченко А.Г., Дахно П.Г., Гузь Д.Д., Чикава А.Р., Доценко В.В., Аксенов Н.А., Аксенова И.В. ЖОХ. 2022, 92, 216–229. [Dolganov A.A., Levchenko A.G., Dahno P.G., Guz’ D.D., Chikava A.R., Dotsenko V.V., Aksenov N.A., Aksenova I.V. Russ. J. Gen. Chem. 2022, 92, 185–197.] https://doi.org/10.1134/S1070363222020074
- Климочкин Ю.Н., Леонова М. В., Ивлева Е.А. ЖОрХ. 2020, 56, 1516–1526. [Klimochkin Yu.N., Leonova M.V., Ivleva E.A. Russ. J. Org. Chem. 2020, 56, 1702–1710.] https://doi.org/10.1134/S107042802010005X
- Ивлева Е.А., Казакова А.И., Климочкин Ю.Н. ЖОрХ. 2020, 56, 1392–1400. [Ivleva E.A., Kazakova A.I., Klimochkin Yu.N. Russ. J. Org. Chem. 2020, 56, 1562–1569.] https://doi.org/10.1134/S1070428020090109
- Ивлева Е.А., Орлинский Н.С., Заборская М.С., Климочкин Ю.Н. ЖОрХ. 2023, 59, 1465–1481. [Ivleva E.A., Orlinskii N.S., Zaborskaya M.S., Klimochkin Y.N. Russ. J. Org. Chem. 2023, 59, 1901–1915.] https://doi.org/10.1134/S1070428023110088
- Климочкин Ю. Н., Ивлева Е. А. ЖОрХ. 2021, 57, 742–746. [Klimochkin Yu.N., Ivleva E.A. Russ. J. Org. Chem. 2021, 57, 845–848.] https://doi.org/10.1134/S1070428021050122
- Климочкин Ю.Н., Ивлева Е.А., Заборская М.С. ЖОрХ. 2021, 57, 219–229. [Klimochkin Yu.N., Ivleva E.A., Zaborskaya M.S. Russ. J. Org. Chem. 2021, 57, 186–194.] https://doi.org/10.1134/S1070428021020081
- Ивлева Е.А., Погуляйко А.В., Климочкин Ю.Н. ЖОрХ. 2018, 54, 1283–1289. [Ivleva E.A., Pogulyaiko A.V., Klimochkin Yu. N. Russ. J. Org. Chem. 2018, 54, 1294–1300.] https://doi.org/10.1134/S107042801809004X.
- Климочкин Ю.Н., Ивлева Е.А., Моисеев И.К. ЖОрХ. 2020, 56, 1353–1362. [Klimochkin Yu. N., Ivleva E.A., Moiseev I.K. Russ. J. Org. Chem. 2020, 56, 1532–1539.] https://doi.org/10.1134/S1070428020090055.
- Климочкин Ю.Н., Леонова М.В., Ивлева Е.А., Казакова А.И., Заборская М.С. ЖОрХ. 2021, 57, 7–20. [Klimochkin Yu.N., Leonova M.V., Ivleva E.A., Kazakova A.I., Zaborskaya M.S. Russ. J. Org. Chem. 2021, 57, 1–12.] https://doi.org/10.1134/S1070428021010012.
- Ivleva E.A., Zaborskaya M.S., Shiryaev V.A., Klimochkin Y.N. Synth. Commun. 2023, 53, 476–491. https://doi.org/10.1080/00397911.2023.2177173.
- Ивлева Е.А., Морозова А.И., Сучилин И.Д., Ширяев А.К., Климочкин Ю.Н. ЖОрХ. 2020, 56, 1242–1250. [Ivleva E.A., Morozova A.I., Suchilin I.D., Shiryaev A.K., Klimochkin Y.N. Russ. J. Org. Chem. 2020, 56,1399–1406.] https://doi.org/10.1134/S1070428020080102.
- Ивлева Е.А., Гринь И.С., Учаев И.С., Климочкин Ю.Н. ЖОрХ. 2020, 56, 402–413. [Ivleva E.A., Grin’ I.S., Uchaev I.S., Klimochkin Yu.N. Russ. J. Org. Chem. 2020, 56, 412–421.] https://doi.org/10.1134/S1070428020030082
- Климочкин Ю.Н., Ивлева Е.А., Скоморохов М.Ю. ЖОрХ. 2020, 56, 1344–1352. [Klimochkin Yu.N., Ivleva E.A., Skomorokhov M.Yu. Russ. J. Org. Chem. 2020, 56, 1525–1531.] https://doi.org/10.1134/S1070428020090043.
- Ивлева Е.А., Клепиков В.В., Хатмуллина Ю.Э., Рыбаков В.Б., Климочкин Ю.Н. ЖОрХ, 2022, 58, 51–60. [Ivleva E.A., Klepikov V.V., Khatmullina Yu.E., Rybakov V.B., Klimochkin Yu N. Russ. J. Org. Chem. 2022, 58, 38–46.] https://doi.org/10.1134/S1070428022010043.
- Ивлева Е.А., Симатова Е.В., Клепиков В.В., Хатмуллина Ю.Э., Климочкин Ю.Н. ЖОрХ, 2023, 59, 358–365. [Ivleva E.A., Simatova E.V., Klepikov V.V., Khatmullina Yu.E., Klimochkin Yu.N. Russ. J. Org. Chem. 2023, 59, 402–408.] https://doi.org/10.1134/S1070428023030077
- Ивлева Е.А., Симатова Е.В., Заборская М.С., Казачкова М.С., Рыбаков В.Б., Климочкин Ю.Н. ЖОрХ, 2023, 59, 366–375. [Ivleva E.A., Simatova E.V., Zaborskaya M.S., Kazachkova M.S., Rybakov V.B., Klimochkin Yu.N. Russ. J. Org. Chem. 2023, 59, 409–416.] https://doi.org/10.1134/S1070428023030089
- Ивлева Е.А., Хамзина М.Р., Заборская М.С., Климочкин Ю.Н. ЖОрХ. 2022, 58, 735–743. [Ivleva E.A., Khamzina M.R., Zaborskaya M.S., Klimochkin Yu.N. Russ. J. Org. Chem. 2022, 58, 982–989.] https://doi.org/10.1134/S1070428022070065
- Климочкин Ю.Н., Ивлева Е.А., Ширяев В.А. ЖОрХ. 2021, 57, 373–383. [Klimochkin Yu.N., Ivleva E.A., Shiryaev V.A. Russ. J. Org. Chem. 2021, 57, 355–363.] https://doi.org/10.1134/S1070428021030052
- Климочкин Ю.Н., Ивлева Е.А. ЖОрХ. 2022, 58, 484–494. [Klimochkin Yu.N., Ivleva E.A. Russ. J. Org. Chem. 2022, 58, 669–678.] https://doi.org/10.1134/S1070428022050050
- Климочкин Ю.Н., Ивлева Е.А. ЖОрХ. 2021, 57, 1161–1169. [Klimochkin Yu.N., Ivleva E.A. Russ. J. Org. Chem. 2021, 57, 1281–1288.] https://doi.org/10.1134/S1070428021080078
- Скоморохов М.Ю., Заборская М.С., Ивлева Е.А., Ширяев А.К., Климочкин Ю.Н. ЖОрХ. 2023, 59, 351–357. [Skomorokhov M.Yu., Zaborskaya M.S., Ivleva E.A., Shiryaev V.A., Klimochkin Yu.N. Russ. J. Org. Chem. 2023, 59, 395–401.] https://doi.org/10.1134/S1070428023030065
- Баймуратов М.Р., Леонова М.В., Климочкин Ю.Н. ХГС. 2021, 57, 298–304. [Baimuratov M.R., Leonova M.V., Klimochkin Yu. N. Chem. Heterocycl. Compd. 2021, 57, 298–304.] https://doi.org/10.1007/s10593-021-02907-5
- Леонова М.В., Баймуратов М.Р., Климочкин Ю.Н. ЖОрХ. 2023, 59, 1455–1464. [Leonova M.V., Baimuratov M.R., Klimochkin Y.N. Russ. J. Org. Chem. 2023, 59, 1892–1900.] https://doi.org/10.1134/S1070428023110076
- Леонова М.В., Пермякова Л.П., Баймуратов М.Р., Климочкин Ю.Н. ЖОрХ. 2020, 56, 591–606. [Leonova M.V., Permyakova L.P., Baimuratov M.R., Klimochkin Yu.N. Russ. J. Org. Chem. 2020, 56, 631–644.] https://doi.org/10.1134/S1070428020040119
- Леонова М.В., Белая Н.В., Баймуратов М.Р., Рыбаков В.Б., Климочкин Ю.Н. ХГС. 2020, 56, 537–541. [Leonova M.V., Belaya N.V., Baimuratov M.R., Rybakov V.B., Klimochkin Yu.N. Chem. Heterocycl. Compd. 2020, 56, 537–541.] https://doi.org/10.1007/s10593-020-02696-3
- Шадрикова В.А., Головин Е.В., Рыбаков В.Б., Климочкин Ю.Н. ХГС. 2020, 56, 898–908. [Shadrikova V.A., Golovin E.V., Rybakov V.B., Klimochkin Yu.N. Chem. Heterocycl. Compd. 2020, 56, 898–908.] https://doi.org/10.1007/s10593-020-02747-9
- Шадрикова В.А., Попов А.С., Термелева М.В., Баймуратов М. Р., Климочкин Ю. Н. ХГС. 2020, 56, 909–914. [Shadrikova V.A., Popov A.S., Termrlyova M.V., Baimuratov M.R., Klimochkin Yu.N. Chem. Heterocycl. Compd. 2020, 56, 909–914.] https://doi.org/10.1007/s10593-020-02748-8
- Шадрикова В.А., Шумкова А.А., Ширяев В. А., Климочкин Ю.Н. ЖОрХ. 2023, 59, 1057–1064. [Shadrikova V.A., Shumkova A.A., Shiryaev V.A., Klimochkin Yu.N. Russ. J. Org. Chem. 2023, 59, 1335–1341.] https://doi.org/10.1134/S1070428023080079
- Tkachenko I.M., Rybakov V.B., Klimochkin Y.N. Synthesis. 2019, 51, 1482–1490. https://doi.org/10.1055/s-0037-1610312
- Tkachenko I.M., Mankova P.A., Rybakov V.B., Golovin E.V., Klimochkin Y.N. Org. Biomol. Chem. 2020, 18, 465–478. https://doi.org/10.1039/c9ob02060h
- Tkachenko I.M., Shiryaev V.A., Klimochkin Y.N. Org. Biomol. Chem. 2023, 21, 5629–5642. https://doi.org/10.1039/d3ob00777d
- Shiryaev V.A., Sokolova I.V., Gorbachova A.M., Rybakov V.B., Shiryaev A.K., Klimochkin Y.N. Tetrahedron. 2022, 117–118, 132828. https://doi.org/10.1016/j.tet.2022.132828
- Балеева Н.С., Рыбаков В.Б., Ивлева Е.А., Ширяев В.А., Климочкин Ю.Н. ЖОрХ. 2020, 56, 1737–1747. [Baleeva N.S., Rybakov V.B., Ivleva E.A., Shiryaev V.A., Klimochkin Yu.N. Russ. J. Org. Chem. 2020, 56, 1942–1951.] https://doi.org/10.1134/S1070428020110081
- Shiryaev V.A., Skomorohov M.Yu., Leonova M.V., Bormotov N.I., Serova O.A., Shishkina L.N., Agafonov A.P., Maksyutov R.A., Klimochkin Y.N. Eur. J. Med. Chem.2021, 221, 113485. https://doi.org/10.1016/j.ejmech.2021.113485
- Shiryaev V.A., Radchenko E. V., Palyulin V.A., Zefirov N. S., Bormotov N. I., Serova O. A., Shishkina L.N., Baimuratov M.R., Bormasheva K.M., Gruzd Y.A., Ivleva E. A., Leonova M. V., Lukashenko A. V., Osipov D. V., Osyanin V.A., Reznikov A. N., Shadrikova V.A., Sibiryakova A. E., Tkachenko I. M, Klimochkin Y. N. Eur. J. Med. Chem. 2018, 158, 214–235. https://doi.org/10.1016/j.ejmech.2018.08.009
- Shiryaev V., Klimochkin Y. Curr Comput Aided Drug Des. 2023, 20, 1027–1041. https://doi.org/10.2174/0115734099247900231016055626
- Ширяев В.А., Климочкин Ю.Н. ЖОрХ. 2021, 57, 661–699. [Shiryaev V.A., Klimochkin Y. N. Russ. J. Org. Chem. 2021, 57, 730–767.] https://doi.org/10.1134/S107042802105002X
- Ширяев В.А., Климочкин Ю.Н. ХГС. 2020, 56, 626–635. [Shiryaev V.A., Klimochkin Y. N. Chem. Heterocycl. Compd. 2020, 56, 626–635.] https://doi.org/10.1007/s10593-020-02712-6.
- Климочкин Ю.Н., Ткаченко И.М., Резников А.Н., Ширяев В.А., Казачкова М.С., Ковалев Н.С., Бакулин Д.А., Абросимова Е.Е., Куркин Д.В., Тюренков И.Н. Биоорг. хим. 2021, 47, 823–836. [Klimochkin Y.N., Tkachenko I.M., Reznikov A.N., Shiryaev V.A., Kazachkova M.S., Kovalev N.S., Bakulin D.A., Abrosimova E.E., Kurkin D.V., Tyurenkov I.N. Russ. J. Bioorg. Chem. 2021, 47, 1276–1287.] https://doi.org/10.1134/S1068162021060108.
- Ковалев Н.С., Бакулин Д.А., Абросимова Е.Е., Куркин Д.В., Пустынников В.Э., Климочкин Ю.Н., Ткаченко И.М., Тюренков И.Н. Вестник ВолгГМУ. 2021, 78, 98–102. https://doi.org/10.19163/1994-9480-2021-2(78)-98-102.
- Ковалев Н.С., Бакулин Д.А., Куркин Д.В., Дубровина М.А., Тарасов А.С., Климочкин Ю.Н., Ткаченко И.М. Вестник ВолгГМУ. 2021, 77, 98–101. https://doi.org/10.19163/1994-9480-2021-1(77)-98-101.
- Ковалев Н.С., Бакулин Д.А., Куркин Д.В., Абросимова Е.Е., Саблина Л.А., Воронцов М.Ю., Фомичев Е.А., Тюренков И.Н., Климочкин Ю.Н., Бормашева К.М., Каримова А.Ю., Ткаченко И.М. Современные проблемы науки и образования. 2021, 5, 1–8. https://doi.org/10.17513/spno.31025
- Ковалев Н.С., Бакулин Д.А., Куркин Д.В., Абросимова Е.Е., Саблина Л.А., Воронцов М.Ю., Фомичев Е.А., Тюренков И.Н., Климочкин Ю.Н., Бормашева К.М., Каримова А.Ю., Ткаченко И.М. Современные проблемы науки и образования. 2021, 4, 57–67. https://doi.org/10.17513/spno.31025.
- Ивлева Е.А., Баймуратов М.Р, Демидов М.Р., Лукашенко А.В., Малиновская Ю.А., Климочкин Ю.Н., Тыщенко В.А., Куликова И.А., Поздняков В.В., Овчинников К.А., Рудяк К.Б. Нефтехимия. 2018, 58 (4), 480–486. [Ivleva E. A., Baimuratov M. R., Demidov M. R., Lukashenko A. V., Malinovskaya Yu. A., Klimochkin Yu. N., Tyshchenko V.A., Kulikova I. A., Pozdnyakov V.V., Ovchinnikov K. A., Rudyak K. B. Petrol. Chemistry. 2018, 58 (8), 687–693.] https://doi.org/10.1134/S096554411808008X
- Ивлева Е.А., Баймуратов М.Р., Погуляйко А.В., Малиновская Ю.А., Куликова И.А., Тыщенко В.А., Поздняков В.В., Овчинников К.А., Климочкин Ю.Н. ЖОХ. 2018, 88, 1285–1290. [Ivleva E.A., Baimuratov M.R., Poguliaiko A.V., Malinovskaya Yu.A., Kulikova I.A., Tyshchenko V.A., Pozdnyakov V.V., Ovchinnikov K.A., Klimochkin Yu.N. Rus. J. Gen. Chem. 2018, 88 (8), 1606–1611.] https://doi.org/10.1134/S1070363218080091
- Ивлева Е.А., Баймуратов М.Р., Малиновская Ю.А., Климочкин Ю.Н., Тыщенко В.А., Куликова И.А., Поздняков В.В., Овчинников К.А. Нефтехимия. 2019, 59, 684–689. [Ivleva E.A., Baimuratov M.R., Malinovskaya Yu. A., Klimochkin Yu. N., Tyshchenko V.A., Kulikova I.A., Pozdnyakov V.V., Ovchinnikov K.A. Petrol. Chem. 2019, 59, 1235–1239.] https://doi.org/10.1134/S0965544119110082
- Манькова П.А., Резников А.Н., Ширяев В.А., Баймуратов М.Р., Рыбаков В.Б., Климочкин Ю.Н. ЖОрХ. 2021, 57, 268–279. [Man’kova P.A., Reznikov A.N., Shiryaev V.A., Baimuratov M.R., Rybakov V.B., Klimochkin Yu.N. Russ. J. Org. Chem. 2021, 57, 226–236.] https://doi.org/10.1134/S1070428021020135
- Манькова П.А., Резников А.Н., Ширяев В.А., Ткаченко И.М., Климочкин Ю.Н. ЖОрХ. 2023, 59, 338–350. [Man’kova P.A., Reznikov A.N., Shiryaev V.A., Tkachenko I.M., Klimochkin Yu.N. Russ. J. Org. Chem. 2023, 59, 383–394.] https://doi.org/10.1134/S1070428023030053
- Манькова П.А. Дис. … кандидат хим. наук. Самара. 2023.
- http://d21221705.samgtu.ru/sites/d21221705.samgtu.ru/files/dissertaciya_mankovapa.pdf
- Манькова П.А., Ширяев В.А., Шмелькова Я.Д., Моисеев А.В., Резников А.Н., Климочкин Ю.Н. Изв. АН. Сер. хим. 2023, 72, 1791–1801. [Man’kova P.A., Shiryaev V.A., Shmel′kova Ya.D., Moiseev A.V., Reznikov A.N., Klimochkin Yu.N. Russ. Chem. Bull. 2023, 72, 1791–1801.] https://doi.org/10.1007/s11172-023-3961-4
- Reznikov A.N., Klimochkin Yu.N. Synthesis. 2020, 52, 781–795. https://doi.org/10.1055/s-0039-1690044
- Сибирякова А.Э., Резников А.Н., Рыбаков В.Б., Климочкин Ю.Н. ЖOX. 2016, 86, 1834–1840. [Sibiryakova A.E., Reznikov A.N., Rybakov V.B., Klimochkin Yu.N. Russ. J. Gen. Chem. 2016, 86, 2477–2483.] https://doi.org/10.1134/S107036321611013X
- Reznikov A.N., Kapranov L.E., Ivankina V.V., Sibiryakova A.E., Rybakov V.B., Klimochkin Yu.N. Helv. Chim. Acta. 2018, 101, e1800170. https://doi.org/10.1002/hlca.201800170
- Shiryaev V.A., Nikerov D.S., Reznikov A.N., Klimochkin Yu.N. Mol. Catal. 2021, 505, 111463. https://doi.org/10.1016/j.mcat.2021.111463
- Sibiryakova A.E., Shiryaev V.A., Reznikov A.N., Kabanova A.A., Klimochkin Yu.N. Synthesis. 2019, 51, 463–469. https://doi.org/10.1055/s-0037-1610824
- Резников А.Н., Островский В.А., Климочкин Ю.Н. ЖОрХ. 2018, 54, 1699–1704. [Reznikov A.N., Ostrovskii V.A., Klimochkin Yu.N. Russ. J. Org. Chem. 2018, 54, 1715–1721.] https://doi.org/10.1134/S1070428018110155
- Ковалев Н.С., Бакулин Д.А., Саблина Л.А., Воронцов М.Ю., А.С. Быкова А.С., Резников А.Н., Климочкин Ю.Н. Волгоградский научно-медицинский журнал. 2021, 1, 10–13.
- Reznikov A.N., Nikerov D.S., Sibiryakova A.E., Rybakov V.B., Golovin E.V., Klimochkin Yu.N. Beilstein J. Org. Chem. 2020, 16, 2073–2079. https://doi.org/10.3762/bjoc.16.174-0126-20/6315800040
- Reznikov A.N., Sibiryakova A.E., Baimuratov M.R., Golovin E.V., Rybakov V.B., Klimochkin Yu.N. Beilstein J. Org. Chem. 2019, 15, 1289–1297. https://doi.org/10.3762/bjoc.15.127
- Nikerov D.S., Ashatkina M.A., Shiryaev V.A., Tkachenko I.M., Rybakov V.B., Reznikov A.N., Klimochkin Yu.N. Tetrahedron. 2021, 84, 132029. https://doi.org/10.1016/j.tet.2021.132029
- Reznikov A.N., Ashatkina M.A., Klimochkin Yu.N. Org. Biomol. Chem. 2021, 19, 5673–5701. https://doi.org/10.1039/D1OB00496D
- Ашаткина М.А., Резников А.Н., Климочкин Ю.Н. ЖОрХ. 2022, 58, 532–542. [Ashatkina M.A., Reznikov A.N., Klimochkin Yu.N. Russ. J. Org. Chem.2022, 58, 710–719.] https://doi.org/10.1134/S1070428022050116
- Ашаткина М.А., Резников А.Н., Вострухина С.Ю., Никеров Д.С., Климочкин Ю.Н., Изв. АН, Cер. хим. 2023, 72, 1809–1814. [Ashatkina M.A., Reznikov A.N., Vostrukhina S.Yu., Nikerov D.S., Klimochkin Yu.N. Russ. Chem. Bull. 2023, 72, 1809–1814.] https://doi.org/10.1007/s11172-023-3963-2
- Reznikov A.N., Ashatkina M.A., Vostruhina S.Yu., Klimochkin Y.N. Tetrahedron Lett. 2023, 116, 154322. https://doi.org/10.1016/j.tetlet.2022.154322
- Aksenov A.V., Aksenov N.A., Aksenov D.A., Khamraev V.F., Rubin M. Chem. Comm. 2018, 54, 13260. https://doi.org/10.1039/C8CC07451H
- Aksenov A.V., Aksenov D.A., Arutiunov N.A., Aksenov N.A., Aleksandrova E.V., Zhao Z., Kornienko A., Rubin, M. J. Org. Chem. 2019, 84, 7123–7137. https://doi.org/10.1021/acs.joc.9b00808
- Aksenov A.V., Aksenov D.A., Aksenov N.A., Skomorokhov A.A., Aleksandrova E.V., Rubin M. RSC Adv. 2021, 11, 1783–1793. https://doi.org/10.1039/d0ra10219a
- Aksenov A.V., Aksenov D.A., Aksenov N.A., Aleksandrova E.V., Rubin M.J. Org. Chem. 2019, 84, 12420–12429. https://doi.org/10.1021/acs.joc.9b01874
- Aksenov A.V., Aksenov N.A., Aleksandrova E.V., Aksenov D.A., Grishin I.Y., Sorokina E.A., Rubin M. Molecules. 2021, 26, 6132. https://doi.org/10.3390/molecules26206132
- Aksenov A.V., Aleksandrova E.V., Aksenov D.A., Aksenova A.A., Aksenov N.A., Nobi M.A., Rubin M. J. Org. Chem. 2022, 87, 1434–1444. https://doi.org/10.1021/acs.joc.1c02753
- Aksenov N.A., Arutiunov N.A., Kurenkov I.A., Malyuga V.V., Aksenov D.A., Momotova D.S., Zatsepilina A.M., Chukanova E.A., Leontiev A.V., Aksenov A.V. Molecules. 2023, 28, 3657. https://doi.org/10.3390/molecules28093657
- Aksenov A.V., Arutiunov N.A., Aksenov D.A., Samovolov A.V., Kurenkov I.A., Aksenov N.A., Aleksandrova E.V., Momotova D.S., Rubin M. Int. J. Mol. Sci. 2022, 23, 11120. https://doi.org/10.3390/ijms231911120
- Aksenov A.V., Kirilov N.K., Arutiunov N.A., Aksenov D.A., Kuzminov I.K., Aksenov N.A., Turner D.N., Rogelj S., Kornienko A., Rubin M. J. Org. Chem. 2022, 87, 13955–13964. https://doi.org/10.1021/acs.joc.2c01627
- Aksenov N.A., Aksenov D.A., Arutiunov N.A., Aksenova D.S., Aksenov A.V., Rubin M. RSC Adv. 2020, 10, 18440–18450. https://doi.org/10.1039/d0ra03520c
- Aksenov N.A., Aksenov A.V., Kurenkov I.A., Kirillov N.K., Aksenov D.A., Arutiunov N.A., Aksenova D.S., Rubin M. Molecules. 2022, 27, 2808. https://doi.org/10.3390/molecules27092808
- Aksenov N.A., Aksenov A.V., Prityko L.A., Aksenov D.A., Aksenova D.S., Nobi M.A., Rubin M. ACS omega. 2022, 7, 14345–14356. https://doi.org/10.1021/acsomega.2c01238
- Aksenov N.A., Aksenov D.A., Skomorokhov A.A., Prityko L.A., Aksenov A.V., Griaznov G.D., Rubin M. J. Org. Chem. 2020, 85, 12128–12146. https://doi.org/10.1021/acs.joc.0c01344
- Aksenov N.A., Aksenov D.A., Ganusenko D.D., Kurenkov I.A., Aksenov A.V.J. Org. Chem. 2023, 88, 5639–5651. https://doi.org/10.1021/acs.joc.3c00134
- Aksenov N.A., Aksenov D.A., Kurenkov I.A., Aksenov A.V., Skomorokhov A.A., Prityko L.A., Rubin, M. RSC Adv. 2021, 11, 16236–16245. https://doi.org/10.1039/d1ra02279b
- Aksenov A.V., Aksenov D.A., Kurenkov I.A., Leontiev A.V., Aksenov N.A. Int.J. Mol. Sci. 2023, 24, 10213. https://doi.org/10.3390/ijms241210213
- Aksenov N.A., Aksenov D.A., Ganusenko D.D., Kurenkov I.A., Leontiev A.V., Aksenov A.V. Org. Biomol. Chem. 2023, 21, 3156–3166. https://doi.org/10.1039/d3ob00197k
- Abaev V.T., Aksenov N.A., Aksenov D.A., Aleksandrova E.V., Akulova A.S., Kurenkov I.A., Leontiev A.V., Aksenov, A.V. Molecules. 2023, 28, 3162. https://doi.org/10.3390/molecules28073162
- Aksenov N.A., Aksenov A.V., Kornienko A., De Carvalho A., Mathieu V., Aksenov D.A., Ovcharov S.N., Griaznov G.D., Rubin M. RSC Adv. 2018, 8, 36980–36986. https://doi.org/10.1039/c8ra08155g
- Aksenov A.V., Aksenov D.A., Griaznov G.D., Aksenov N.A., Voskressensky L.G., Rubin M. Org. Biomol. Chem. 2018, 16, 4325–4332. https://doi.org/10.1039/c8ob00588e
- Aksenov D. A., Arutyunov N.A., Gasanova A.Z., Aksenov N.A., Aksenov A.V., Lower C., Rubin M. Tetrahedron Lett. 2021, 82, 153395. https://doi.org/10.1016/j.tetlet.2021.153395
- Grishin I.Y., Arutiunov N.A., Aksenov D.A., Aksenov N.A., Aksenov A.V., Gasanova A.Z., Sorokina E.A., Lower C., Rubin M. Molecules. 2022, 27, 1902. https://doi.org/10.3390/molecules27061902
- Aksenov D.A., Akulova A.S., Aleksandrova E.A., Aksenov N.A., Leontiev A.V., Aksenov A.V. Molecules. 2023, 28, 2324. https://doi.org/10.3390/molecules28052324
- Aksenov N.A., Arutiunov N.A., Aksenov A.V., Aksenova I.V., Aleksandrova E.V., Aksenov D.A., Rubin M. Org. Lett. 2022, 24, 7062−7066. https://doi.org/10.1021/acs.orglett.2c02483
- Aksenov N.A., Arutiunov N.A., Kirillov N.K., Aksenov D.A., Aksenov A.V., Rubin M. Chem. Heterocyclic Compd. 2020, 56, 1067–1072. https://doi.org/10.1007/s10593-020-02775-5
- Aksenov A.V., Kirilov N.K., Aksenov N.A., Arutiunov N.A., Aksenov D.A., Rubin M. Chem. Heterocyclic Compd. 2022, 58, 32–36. https://doi.org/10.1007/s10593-022-03053-2
- Aksenov A.V., Khamraev V., Aksenov N.A., Ki-rilov N.K., Domenyuk D.A., Zelensky V.A., Rubin M. RSC Adv. 2019, 9, 6636. https://doi.org/1039/c9ra00976k
- Aksenov A.V., Kirilov N.K., Aksenov N.A., Aksenov D.A., Sorokina E.A., Lower C., Rubin M. Molecules. 2021, 26, 5692. https://doi.org/10.3390/molecules26185692
- Aksenov A.V., Aksenov N.A., Kirilov N.K., Skomorokhov A.A., Aksenov D.A., Kurenkov I.A., Sorokina E.A., Nobi M.A., Rubin M. RSC Adv. 2021, 11, 35937–35945. https://doi.org/10.1039/d1ra06503c
- Aksenov N.A., Aksenov A.V., Kirilov N.K., Arutiunov N.A., Aksenov D.A., Maslivetc V., Zhao Z., Du L., Rubin M., Kornienko A. Org. Biomol. Chem. 2020, 18, 6651–6664. https://doi.org/10.1039/d0ob01007c
- Aksenov D.A., Arutiunov N.A., Maliuga V.V., Aksenov A.V., Rubin M. Beilstein J. Org. Chem. 2020, 16, 2903–2910. https://doi.org/10.3762/bjoc.16.239
- Aksenov A.V., Aksenov N.A., Arutiunov N.A., Malyuga V.V., Ovcharov S.N., Rubin M. RSC Adv. 2019, 9, 39458–39465. https://doi.org/10.1039/c9ra08630g
- Aksenov A.V., Grishin I.Y., Aksenov N.A., Malyuga V.V., Aksenov D.A., Nob, M. A., Rubin M. Molecules. 2021, 26, 4274. https://doi.org/10.3390/molecules26144274.
- Aksenov A.V., Arutiunov N.A., Kirilov N.K., Aksenov D.A., Grishin I.Y., Aksenov N.A., Wang H., Rubin M. Org. Biomol. Chem. 2021, 19, 7234–7245. https://doi.org/10.1039/d1ob01141c
- Luo A., Wu Z., Li S., McReynolds C.B., Wang D., Liu H., Huang C., He T., Zhang X., Wang Y., Liu C., Hammock B.D., Hashimoto K., Yang C. J. Transl. Med. 2023, 21, 71. https://doi.org/10.1186/s12967-023-03917-x
- Zhang J., ZhangW.-H., Morisseau C., Zhang M., Dong H.-J., Zhu Q.-M., Huo X.-K., Sun C.-P., Hammock B.D., Ma X.-C. J. Hazard. Mater. 2023, 458, 131890. https://doi.org/10.1016/j.jhazmat.2023.131890
- Wang B., Wu L., Chen J., Dong L., Chen C., Wen Z., Hu J., Fleming I., Wang D.W. Sig. Transduct. Target Ther. 2021, 6, 94. https://doi.org/10.1038/s41392-020-00443-w
- Данилов Д.В., Дьяченко В.С., Кузнецов Я.П., Бурмистров В.В., Бутов Г.М. ЖОрХ. 2021, 57, 167–176. [Danilov D.V., D’yachenko V.S., Kuznetsov Y.P., Burmistrov V.V., Butov G.M. Russ. J. Org. Chem. 2021, 57, 143–150.] https://doi.org/10.1134/S1070428021020020
- Burmistrov V., Morisseau C., Harris T.R., Butov G., Hammock B.D. Bioorg. Chem. 2018, 76, 510–527. https://doi.org/10.1016/j.bioorg.2017.12.024
- Burmistrov V., Morisseau C., Pitushkin D., Karlov D., Fayzullin R.R., Butov G.M., Hammock B.D. Bioorg. Med. Chem. Lett. 2018, 28, 2302–2313. https://doi.org/10.1016/j.bmcl.2018.05.024
- Кузнецов Я.П., Рассказова Е.В., Питушкин Д.А., Ештуков А.В., Васипов В.В., Бурмистров В.В., Бутов Г.М. ЖОрХ. 2021, 57, 929–941. [Kuznetsov Ya.P., Rasskazova E.V., Pitushkin D.A., Eshtukov A.V., Vasipov V.V., Burmistrov V.V., Butov G.M. Russ. J. Org. Chem., 2021, 57, 1036–1046.] https://doi.org/10.1134/S1070428021070022
- Burmistrov V., Morisseau C., D’yachenko V., Karlov D., Butov G.M., Hammock B.D. Bioorg. Med. Chem. Lett. 2019, 30, 126908. https://doi.org/10.1016/j.bmcl.2019.126908
- Burmistrov V.V., Morisseau C., Danilov D.V., Gladkikh B.P., D’yachenko V.S., Zefirov N.A., Zefirova O.N., Butov G.M., Hammock B.D. J. EnzymeInhib. Med. Chem. 2023, 38, 2274797. https://doi.org/10.1080/14756366.2023.2274797
- Данилов Д.В., Дьяченко В.С., Бурмистров В.В., Бутов Г.М. ЖОрХ. 2022, 58, 1135–1144. [Danilov D.V., D’yachenko V.S., Burmistrov V.V., Butov G.M. Russ. J. Org. Chem. 2022, 58, 1561–1568.] https://doi.org/10.1134/S107042802211001X
- Burmistrov V., Morisseau C., Lee K.S.S., Shihadih D.S., Harris T.R., Butov G.M., Hammock B.D. Bioorg. Med. Chem. Lett. 2014, 24, 2193–2197. https://doi.org/10.1016/j.bmcl.2014.03.016
- Данилов Д.В., Дьяченко В.С., Кузнецов Я.П., Дегтяренко Е.К., Бурмистров В.В., Бутов Г.М., Новаков И.А. ЖОрХ. 2021, 57, 1684–1693. [Danilov D.V., D’yachenko V.S., Kuznetsov Y.P., Degtyarenko E.K., Burmistrov V.V., Butov G.M., Novakov I.A. Russ. J. Org. Chem. 2021, 57, 1913–1920]. https://doi.org/10.31857/S051474922112003X
- Данилов Д.В., Бурмистров В.В., Рассказова Е.В., Бутов Г.М. ЖОрХ. 2020, 56, 870–878. [DanilovD.V., BurmistrovV.V., RasskazovaE.V., ButovG.M. Russ. J. Org. Chem., 2020, 56, 983–989.] https://doi.org/10.1134/S1070428020060032
- Бурмистров В.В., Данилов Д.В., Дьяченко В.С., Рассказова Е.В., Бутов Г.М. ЖОрХ. 2020, 56, 735–740. [Burmistrov V.V., Danilov D.V., D’yachenko V.S., Rasskazova E.V., Butov G.M. Russ. J. Org. Chem. 2020, 56, 735–740.] https://doi.org/10.1134/S1070428020050024
- Данилов Д.В., Бурмистров В.В., Бутов Г.М. ЖОрХ. 2020, 56, 1004–1013 [Danilov D.V., Burmistrov V.V., Butov G.M. Russ. J. Org. Chem. 2020, 56, 1004–1013]. https://doi.org/10.1134/S1070428020070027
- Burmistrov V., Pitushkin D., Butov G. SynOpen. 2017, 01, 0121–0124. https://doi.org/10.1055/s-0036-1588574
- D’yachenko V., Danilov D., Kuznetsov Y., Moiseev S., Mokhov V., Burmistrov V., Butov G. Molecules. 2023, 28, 3577. https://doi.org/10.3390/molecules28083577
- Новаков И.А., Орлинсон Б.С., Савельев Е.Н., Алыкова Е.А., Пичугин А.М., Ковалева М.А., Сергеев А.О., Демидович Н.А., Кондратьев Е.В. Изв. АН, Сер. хим. 2022, 71, 2720–2729. [Novakov I.A., Orlinson B.S., Savel’ev E.N., Alykova E.A., Pichugin A.M., Kovaleva M.A., Sergeev A.O., Demidovich N.A., Kondrat’ev E.V. Russ. Chem. Bull. 2022, 71, 2720–2729.] https://doi.org/10.1007/s11172-022-3701-1
- Новаков И.А., Навроцкий М.Б., Мкртчян А.С., Волобоев С.Н., Вострикова О.В., Вернигора А.А., Брунилин Р.В. ЖОрХ. 2019, 55, 1781–1788. [Novakov I.A., Nawrozkij M.B., Mkrtchyan A.S., Voloboev S.N., Vostrikova O.V., Vernigora A.A., Brunilin R.V. Russ. J. Org. Chem. 2019, 55, 1742–1748.] https://doi.org/10.1134/S1070428019110162
- Mozhaitsev E.S., Suslov E.V., Rastrepaeva D.A., Yarovaya O.I., Borisevich S.S., Khamitov E.M., Kolybalov D.S., Arkhipov S.G., Bormotov N.I., Shishkina L.N., Serova O.A., Brunilin R.V., Vernigora A.A., Nawrozkij M.B., Agafonov A.P., Maksyutov R.A., Volcho K.P., Salakhutdinov N.F. Viruses. 2023, 15, 29. https://doi.org/10.3390/v15010029
- Питушкин Д.А., Бурмистров В.В., Аббас Саиф М.Х., Вернигора А.А., Бутов Г.М. ЖОрХ, 2020, 56, 1680–1692. [Pitushkin D.A., Burmistrov V.V., Abbas Saeef M.H., Vernigora A.A., Butov G.M. Russ. J. Org. Chem. 2020, 56, 1893–1904.] https://doi.org/10.1134/S1070428020110020
- Кузнецов Я.П., Дегтяренко Е.К., Бурмистров В.В., Аббас Саиф М.Х., Питушкин Д.А., Вернигора А.А., Бутов Г.М. ЖОрХ. 2021, 57, 485–496. [Kuznetsov Y.P., Degtyarenko E.K., Burmistrov V.V., Abbas Saeef M.H., Pitushkin D.A., Vernigora A.A., Butov G.M. Russ. J. Org. Chem. 2021, 57, 515–523.] https://doi.org/10.1134/S1070428021040035
- Кузнецов Я.П., Вернигора А.А., Дегтяренко Е.К., Аббас Саиф М.Х., Питушкин Д.А., Бурмистров В.В., Бутов Г.М. ЖОрХ, 2021, 57, 1657–1668. [Kuznetsov Ya.P., Vernigora A.A., Degtyarenko E.K., Abbas Saeef M.H., Pitushkin D.A., Burmistrov V.V., Butov G.M. Russ. J. Org. Chem. 2021, 57, 1891–1900.]doi: 10.1134/S1070428021120010
- Burmistrov V., Morisseau C., Karlov D., Pitushkin D., Vernigora A., Rasskazova E., Butov G.M., Hammock B.D. Bioorg. Med. Chem. Lett. 2020, 30, 127430. https://doi.org/10.1016/j.bmcl.2020.127430
- Burmistrov V., Morisseau C., Pitushkin D., Fayzullin R.R., Karlov D., Vernigora A., Kuznetsov Y., Abbas Saeef M.H., Butov G.M., Hammock B.D. ResultsChem. 2022, 4, 100653. https://doi.org/10.1016/j.rechem.2022.100653
- Aseeva Yu.V., Stolpovskaya N.V., Vandyshev D.Yu, Sulimov V.B., Prezent M.A., Minyaev M.E., Shikhaliev Kh.S. Molecules. 2022, 27, 8800. https://doi.org/10.3390/molecules27248800
- Shmoylova Y.Yu., Kovygin Y.A., Kosheleva E.A., Shikhaliev K.S., Ledenyova I.V., Prezent M.A. Mendeleev Commun. 2022, 32, 688–690. https://doi.org/10.1016/j.mencom.2022.09.041
- Шмойлова Я.Ю., Ковыгин Ю.А., Вандышев Д.Ю., Леденева И.В., Кошелева Е.А., Шихалиев Х.С. ЖОрХ. 2020, 56, 1329–1336. [Shmoylova, Y.U., Kovygin, Yu.A., Vandyshev, D.Yu., Ledenyova, I.V., Kosheleva, E.A., Shikhaliev Kh.S. Russ. J. Org. Chem. 2020, 56, 1329–1336.] https://doi.org/10.1134/S107042802009002X
- Медведева С.М., Шихалиев Х.С. Трициклические системы на основе 2,2,4-триметилгидрохинолинов: синтез и свойства : монография. Воронеж: Научная книга, 2023.
- Kartsev V., Shikhaliev K., Geronikaki A., Medvedeva S.M., Ledenyova I.V., Krysin M.Yu, Petrou A., Ciric A., Glamoclija J., Sokovic M. Eur. J. Med. Chem. 2019, 175, 201–214. https://doi.org/10.1016/j.ejmech.2019.04.046
- Шихалиев Х.С., Медведева С.М., Зорина А.В., Столповская Н.В., Сулимов В.Б., Сулимов А.В., Кутов Д.К., Пьянков О.В., Щербаков Д.Н. Пат. 2780247 (2021). РФ. Б.И. 2022, № 27.
- Novichikhina N.P., Shestakov A.S., Medvedeva S.M., Lagutina A.M., Krysin M.Yu., Podoplelova N.A., Panteleev M.A., IlinI. S., Sulimov A.V., Tashchilova A.S., Sulimov V.B., Geronikaki A., Shikhaliev K.S. Molecules. 2023, 28, 3851. https://doi.org/10.3390/molecules28093851
- Do Van Quy, Kruzhilin A.A., Stolpovskaya N.V., Baranin S.V., Prezent M.A., Minyaev M.E., Shikhaliev K.S. Tetrahedron. 2023, 134, 133298. https://doi.org/10.1016/j.tet.2023.133298
- Vandyshev D.Yu., Shikhaliev Kh.S., Prezent M.A., Kozaderov O.A., Ovchinnikov O.V., Smirnov M.S., Ilyinova T.N., Mangusheva D.A., Iminova R.R., Prabhakar C. Luminescence. 2022, 37, 1689–1700. https://doi.org/10.1002/bio.4344
- Kozaderov O., Shikhaliev K., Prabhakar Ch., Tripathi A., Shevtsov D., Kruzhilin A., Komarova E., Potapov A., Zartsyn I., Kuznetsov Y. Appl. Sci. 2019, 9, 2821. https://doi.org/10.3390/app9142821
- Kruzhilin A.A., Shevtsov D.S., Potapov A.Yu., Shikhaliev K.S., Kozaderov O.A., Prabhakar C., Kasatkin V.E. Int. J.Corros. and Scale Inhib. 2022, 11, 774–795. https://doi.org/10.17675/2305-6894-2022-11-2-22
- Шихалиев Х.С., Зарцын И.Д., Столповская Н.В., Зорина А.В., Кружилин А.А., Шевцов Д.С., Комарова Е.С. Пат. 2679022 (2018). РФ. Б.И. 2019, № 16.
- Shikhaliev K.S., Stolpovskaya N.V., Krysin M.Y., Zorina A.V., Lyapun D.V., Zubkov F.I. JAOCS. 2018, 95, 1561. https://doi.org/10.1002/aocs.12154
- Шихалиев Х.С., Крысин М.Ю., Зорина А.В., Столповская Н.В., Ляпун Д.В., Кружилин А.А. Пат. РФ 2651268 (2018).
- Buylov N.S., Sotskaya N.V., Kozaderov O.A., Shikhaliev Kh.S., Potapov A.Yu., Polikarchuk V.A., Rodivilov S.V., Pobedinskiy V.V., Grechkina M.V., Seredin P.V. Micromachines. 2023, 14, 1151. https://doi.org/10.3390/mi14061151
- Кандалинцева Н.В., Просенко А.Е., Хомченко А.С., Ягунов С.Е. История органической химии в университетах России. От истоков до наших дней / Ред. Е.А. Белоглазкиной, И.П. Белецкой, В.Г. Ненайденко. М.: Техносфера, 2018, 656–671. [Kandalintseva N.V., Khomchenko A.S., Prosenko A.E., Yagunov S.E., Kandalintseva D.A. History of organic chemistry at russian universities. From origins to the present day. Ed. E. Beloglazkina, I. Beletskaya, D. Lewis, V. Nenajdenko. Moscow: NGB Publishing House, 2022, 632–648.]
- Просенко А.Е. Дис. … доктора хим. наук. Новоси-бирск. 2010.
- Емельянова И.А., Ягунов С.Е., Хольшин С.В., Кандалинцева Н.В., Просенко О.И. Изв. АН, Сер. хим. 2022, 71, 2199–2206. [Emelyanova I.A., Yagunov S.E., Kholshin S.V., Kandalintseva N.V., Prosenko O.I. Russ. Chem. Bull. 2022, 71, 2199–2206.] https://doi.org/10.1007/s11172-022-3646-4
- Щукина О.В., Чукичева И.Ю., Шевченко О.Г., Кучин А.В. Биоорг. хим. 2018, 44, 678–685. [Shchukina O.V., Chukicheva I.Y., Kutchin A.V., Shevchenko O.G. Russ. J. Org. Chem. 2018, 44, 787–794.] https://doi.org/10.1134/S0132342318050159
- Amitina S.A., Zaytseva E.V., Lomanovich A.V., Ten Y.A., Artamonov I.A., Mazhukin D.G., Dmitrieva N.A., Kandalintseva N.V., Markov A.F. Molecules. 2020, 25, 3118. https://doi.org/10.3390/molecules25143118
- Хольшин С.В., Ягунов С.Е., Кандалинцева Н.В., Просенко А.Е. Пат. 2722142 (2019). РФ. Б.И. 2020, 15.
- Багавиева Т.К., Ягунов С.Е., Хольшин С.В., Просенко А.Е. Изв. АН. Сер. хим. 2019, 68, 194–196. [Bagavieva T.K., Yagunov S.E., Kholshin S.V., Prosenko A.E. Russ. Chem. Bull. 2019, 68, 194–196.] https://doi.org/10.1007/s11172-019-2438-y
- Шинко Т.Г., Терентьева С.В., Ягунов С.Е., Кандалинцева Н.В., Просенко О.И., Ивановская Е.А., Пинко П.И. Разработка и регистрация лекарственных средств. 2022, 11, 106–112. https://doi.org/10.33380/2305-2066-2022-11-1-106-112
- Мартинович Г.Г., Мартинович И.В., Вчерашняя А.В., Зенков Н.К., Меньщикова Е.Б., Черенкевич С.Н. Биофизика. 2020, 65, 1081–1092. [Martinovich G.G., Martinovich I.V., Vcherashniaya A.V., Cherenkevich S.N., Zenkov N.K., Menshchikova E.B. Biophysics. 2020, 65, 920–930.] https://doi.org/10.31857/S000630292006006X
- Кандалинцева Н.В. Дис. ... доктора хим. наук. Новосибирск. 2020.
- Меньщикова Е.Б., Чечушков А.В., Кожин М., Хольшин С.В., Кандалинцева Н.В., Мартинович Г.Г., Зенков Н.К. Цитология. 2018, 60, 1008–1015. [Menshchikova E.B., Chechushkov A.V., Kozhin P.M., Kholshin S.V., Kandalintseva N.V., Martinovich G.G., Zenkov N.K. Cell and Tissue Biology. 2019, 13, 85–92.] https://doi.org/10.1134/S0041377118120076
- Меньщикова Е.Б., Зенков Н.К., Кожин П.М., Чечушков А.В., Ковнер А.В., Храпова М.В., Кандалинцева Н.В., Мартинович Г.Г. Бюлл. эксперимент. биологии и медицины. 2018, 166, 592–597. [Men’shchikova E.B., Zenkov N.K., Kozhin P.M., Chechushkov A.V., Kovner A.V., Khrapova M.V., Kandalintseva N.V., Martinovich G.G. Bull. of Experimental Biology & Medicine. 2019, 166, 646–650.] https://doi.org/10.1007/s10517-019-04410-6
- Богатыренко Т.Н., Кандалинцева Н.В., Сашенкова Т.Е., Аллаярова У.Ю., Мищенко Д.В. Изв. АН. Сер. хим. 2022, 71, 517–523. [BogatyrenkoT.N., SashenkovaT.E., AllayarovaU.Y., MishchenkoD.V., KandalintsevaN.V. Russ. Chem. Bull. 2022, 71, 517–523.] https://doi.org/10.1007/s11172-022-3442-1
- Меньщикова Е.Б., Князев Р.А., Трифонова Н.В., Деева Н.А., Колпаков А.Р., Ромах Л.П., Кандалинцева Н.В. Сибирский научн. мед. журн. 2023, 43, 108–117. https://doi.org/10.18699/SSMJ20230511
- Меньщикова Е.Б., Храпова М.В., Кожин П.М., Чечушков А.В., Серых А.Е., Ромах Л.П., Кандалинцева Н.В. Бюлл. эксперимент. биологии и медицины. 2023, 175, 233–238. [Menshchikova E.B., Khrapova M.V., Kozhin P.M., Chechushkov A.V., Serykh A.E., Romakh L.P., Kandalintseva N.V. Bull. of Experimental Biology & Medicine. 2023, 175, 265–269.] https://doi.org/10.1007/s10517-023-05847-6
- Кожин П.М., Ковнер А.В., Зенков Н.К., Петренко Т.И., Кандалинцева Н.В., Меньщикова Е.Б. Сибирский научн. мед. журн. 2018, 38, 5–11. https://doi.org/10.15372/SSMJ20180101
- Храпов С.Е., Кожин П.М., Храпова М.В., Серых А.Е., Ромах Л.П., Павлов В.С., Чечушков А.В., Хольшин С.В., Зенков Н.К., Меньщикова Е.Б. Сибирский научн. мед. журн. 2021, 41, 25–11. https://doi.org/10.18699/SSMJ20210303
- Klyushova L.S., Kandalintseva N.V., Grishanova A.Yu. Current Issues in Molecular Biology. 2022, 44, 3131–3145. https://doi.org/10.3390/cimb44070216
- Ягунов С.Е., Хольшин С.В., Кандалинцева Н.В., Просенко А.Е. Изв. АН. Сер. хим.2018, 67, 844–851. [Yagunov S.E., Kholshin S.V., Kandalintseva N.V., Prosenko A.E. Russ. Chem. Bull. 2018, 67, 844–851.] https://doi.org/10.1007/s11172-018-2148-x
- Ягунов С.Е., Хольшин С.В., Кандалинцева Н.В., Просенко А.Е. Изв. АН, Сер. хим. 2018, 67, 1452–1458. [Yagunov S.E., Kholshin S.V., Kandalintseva N.V., Prosenko A.E. Russ. Chem. Bull. 2018, 67, 1452–1458.] https://doi.org/10.1007/s11172-018-2239-8
- Дьяконов И.А., Комендантов М.И., Коршунов С.П. ЖОХ. 1962, 32, 923–928. [Dyakonov I.A., Komendantov M.I., Korshunov S.P. Russ. J. Gen. Chem. 1962, 32, 923–928.]
- Бодриков И.В., Коршунов С.П., Бажан Л.И., Стацюк В.Е., Коржова Н.В. ЖОрХ. 1988, 24, 679–682. [Bodrikov I.V., Korshunov S.P., Bazhan L.I., Statsyuk V.E., Korzhova N.V. Russ. J. Org. Chem. 1988, 24, 679–682.]
- Колос Н.Н., Орлов В.Д., Слободина Е.К., Юрьева Е.Ю., Коршунов С.П., Ван Туэ З. ХГС. 1992, 28, 267–272. [Kolos N.N., Orlov V.D., Slobodina E.K., Yur’eva E.Yu., Korshunov S.P., Zyong van Tué. Chem. Heterocycl. Compd. 1992, 28, 222–227.] https://doi.org/10.1007/BF00473950
- Страдынь Я.П., Писарева B.C., Коршунов С.П. ЖОрХ. 1977, 13, 788–795. [Stradiņš J., Pisareva V.S., Korshunov S.P. Zh. Org. Khim., 1977, 13, 788–795.]
- Панкова А. ХГС. 2020, 56, 829–836. [Pankova A. Chem. Heterocycl. Compd. 2020, 56, 829–836.] https://doi.org/10.1007/s10593-020-02739-9
- Голованов А.А., Один И.С., Злотский С.С. Усп. хим. 2019, 88, 280–318. [Golovanov A.A., Odin I.S., Zlotskii S.S. Russ. Chem. Rev. 2019, 88, 280–318.] https://doi.org/10.1070/RCR4808
- Голованов А.А., Гусев Д.М., Один И.С., Злотский С.С. ХГС. 2019, 55, 333–348. [Golovanov A.A., Gusev D.M., Odin I.S., Zlotskii S.S. Chem. Heterocycl. Compd. 2019, 55, 333–348.] https://doi.org/10.1007/s10593-019-02462-0
- Matveeva M., Golovanov A., Borisova T., Titov A., Varlamov A., Shaabani A., Obydennik A., Voskressensky L. Mol. Catal. 2018, 461, 67–72. https://doi.org/10.1016/j.mcat.2018.09.020
- Golovanov A.A., Odin I.S., Gusev D.M., Vologzhanina A.V., Sosnin I.M., Grabovskiy S.A. J. Org. Chem. 2021, 86, 7229–7241. https://doi.org/10.1021/acs.joc.1c00569
- Itakhunov R.N., Odin I.S., Gusev D.M., Grabovskiy S.A., Gordon K.V., Vologzhanina A.V.,Sokov S.A., Sosnin I.M., Golovanov A.A. Org. Biomol. Chem. 2022, 20, 8693–8713. https://doi.org/10.1039/d2ob01427k
- Odin I.S., Gordon K.V., Itakhunov R.N., Gusev D.M., Sokov S.A., Vologzhanina A.V., Grabovskiy S.A., Sosnin I.M., Ukolov A.I., Orlova O.I., Lazarenko V.A., Dorovatovskii P.V., Darmoroz D.D., Piven A.O., Orlova T., Golovanov A.A. Synthesis. 2024, 56, 243–266. https://doi.org/10.1055/s-0043-1763601
- Голованов А.А., Один И.С., Вологжанина А.В., Воронова Е.Д., Аношина О.С., Бекин В.В. ЖОрХ. 2017, 53, 1629–1633. [Golovanov A.A., Odin I.S., Vologzhanina A.V., Voronova E.D., Anoshina O.S., Bekin V.V. Russ. J. Org. Chem. 2017, 53, 1664–1668.] https://doi.org/10.1134/S1070428017110082
- Odin I.S., Chertov A.Yu., Grigor’eva O.B., Golovanov A.A. J. Org. Chem. 2022, 87, 5916–5924. https://doi.org/10.1021/acs.joc.2c00198
- Голованов А.А., Затынацкий Е.А., Один И.С., Дорогов М.В., Викарчук А.А. ЖОрХ. 2018, 54, 657–658. [GolovanovA.A., ZatynatskiyE.A., OdinI.S., DorogovM.V., VikarchukA.A. Russ. J. Org. Chem.2018, 54, 662–663.] https://doi.org/10.1134/S1070428018040267
- Kuznetcova A.V., Odin I.S., Golovanov A.A., Grigorev I.M., Vasilyev A.V. Tetrahedron. 2019, 75, 4516–4530. https://doi.org/10.1016/j.tet.2019.06.041
- Kuznetcova A.V., Odin I.S., Golovanov A.A., Grigorev I.M., Vasilyev A.V. Tetrahedron. 2019, 75, 4516–4530. https://doi.org/10.1016/j.tet.2019.06.041
- Igushkina A.V., Golovanov A.A., Boyarskaya I.A., Kolesnikov I.E., Vasilyev A.V. Molecules. 2020, 25, 5920. https://doi.org/10.3390/molecules25245920
- Igushkina A.V., Golovanov A.A., Vasilyev A.V. Molecules. 2022, 27, 1256. https://doi.org/10.3390/molecules27041256
- Один И.С., Cao S., Hughes D., Замаратский Э.В., Зарубин Ю.П., Пурыгин П.П., Голованов А.А., Злотский С.С. Докл. АН. 2020, 492–493, 31–34. [Odin I.S., Cao S., Hughes D., Zamaratskii E.V., Zarubin Yu.P., Purygin P.P., Golovanov A.A., Zlotskii S.S. Doklady Chem. 2020, 492, 89–92.] https://doi.org/10.1134/S0012500820360021
- Ракшин С.О., Один И.С., Соснин И.М., Затынацкий Е.А., Остапенко Г.И., Голованов А.А. Изв. АН, Сер. хим. 2018, 67, 1710–1715. [Rakshin S.O., Odin I.S., Sosnin I.M., Zatynatskiy E.A., Ostapenko G.I., Golovanov A.A. Russ. Chem. Bull. 2018, 67, 1710–1715.] https://doi.org/10.1007/s11172-018-2280-7
- Соков С.А., Один И.С., Злотский С.С., Денисова А.Г., Голованов А.А. ЖОрХ. 2021, 57, 1371–1381. [Sokov S.S., Odin I.S., Zlotskii S.S., Denisova A.G., Golovanov A.A. Russ. J. Org. Chem. 2021, 57, 1575–1583.] https://doi.org/10.1134/S107042802110002X
- Tolochko O., Kobykhno I.A., Khashirova S.I., Zhansitov A.A., Breki A.D., Nosonovsky M. Journal of Tribology. 2022, 144, 061705. https://doi.org/10.1115/1.4053092
- Matveev D., Raeva A., Borisov I., Vasilevsky V., Matveeva Y., Zhansitov A., Khashirova S., Volkov V. Membranes. 2023. 13, 412. https://doi.org/10.3390/membranes13040412
- Borisov I.L., Matveev D.N., Anokhina T.S., Shakhmurzova K.T., Zhansitov A.A., Slonov A.L., Kurdanova Zh.I., Khashirova S.Yu and Volkov V.V. Membranes and Membrane Technologies. 2023, 5, 218–225. https://doi.org/10.1134/S2517751623030022
- Golubev G., Sokolov S., Rokhmanka T., Makaev S., Borisov I., Khashirova S., Volkov A. Polymers. 2022, 14, 2944. https://doi.org/10.3390/polym14142944
- Anokhina T., Raeva A., Sokolov S., Storchun A., Filatova M., Zhansitov A., Kurdanova Z., Shakhmurzova K., Khashirova S., Borisov I. Membranes. 2022, 12, 1113. https://doi.org/10.3390/membranes12111113
- Хаширова С.Ю., Жанситов А.А., Шахмурзова К.Т., Курданова Ж.И., Слонов А.Л., Байказиев А.Е., Мусов И.В. Изв АН, Сер. хим. 2023, 72, 546–552. [Khashirova S.Y., Zhansitov A.A., Shakhmurzova K.T., Kurdanova Zh.I., Slonov A.L., Baikaziev A.E., Musov I.V. Russ. Chem. Bull. 2023, 72, 546–552.] https://doi.org/10.1007/s11172-023-3818-9
- Slonov A., Musov I., Zhansitov A., Khashirov A., Tlupov A., Musov K., Rzhevskaya E., Fomicheva I., Potapov A., Khashirova S. Polymers. 2023, 15, 4129. https://doi.org/10.3390/polym15204129
- Хаширова С.Ю., Хаширов А.А., Мусов И.В., Жанситов А.А., Слонов А.Л., Курданова Ж.И., Шахмурзова К.Т., Виндижева А.С., Балагова М.З., Афаунов Ш.А. Пат. 2804159 (2022). РФ. Б.И. 2023, 27.
- Хаширова С.Ю., Байказиев А.Э., Шахмурзова К.Т., Жанситов А.А., Хаширов А.А., Курданова Ж.И., Мусов И.В., Виндижева А.С. Пат. 2808476 (?). РФ. Б.И. 2023, 34.
- Шабаев А.С., Хаширова С.Ю. Пат. 2808428 (?). РФ. Б.И. 2023, 34.
补充文件





































































