Синтез спиро[индол-3,2′-пиррол]трионов взаимодействием пирролобензоксазепинтрионов с енаминокетоном
- Авторы: Масливец А.А.1, Дмитриев М.В.1, Масливец А.Н.1
-
Учреждения:
- ФГАОУ ВО “Пермский государственный национальный исследовательский университет”
- Выпуск: Том 60, № 2-3 (2024)
- Страницы: 162–166
- Раздел: Статьи
- URL: https://journals.rcsi.science/0514-7492/article/view/274701
- DOI: https://doi.org/10.31857/S0514749224020033
- EDN: https://elibrary.ru/EKHZXE
- ID: 274701
Цитировать
Полный текст
Аннотация
При взаимодействии 3-ароилпирроло[1,2-а][4,1]бензоксазепин-1,2,4-трионов с 3-циклогексиламино-5,5-диметилциклогекс-2-ен-1-оном происходит образование 3′-(4-ароил)-4′-гидрокси-1′-(2-(гидроксиметил)фенил)-6,6-диметил-1-циклогексил-6,7-дигидроспиро[индол-3,2′-пиррол]-2,4,5′(1H,1′H,5H)-трионов. Описан новый метод синтеза производных гетероциклической системы спиро[индол-3,2′-пиррола] взаимодействием 3-ароилпирроло[1,2-а][4,1]бензоксазепин-1,2,4-трионов с N-замещенными енаминокетонами.
Полный текст
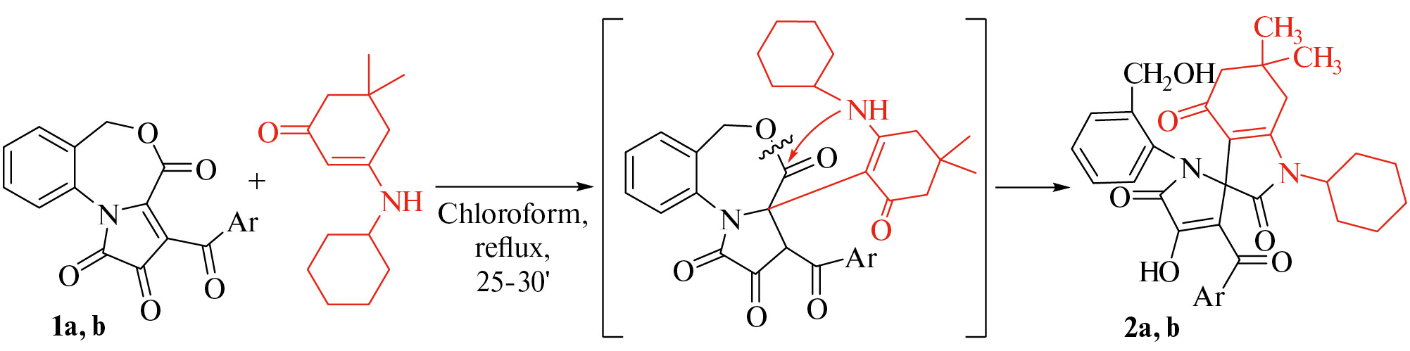
3-Ароилпирроло[1,2-а][4, 1]бензоксазепин-1,2,4-трионы (1H-пиррол-2,3-дионы, аннелированные по стороне е бензоксазепиновым фрагментом), взаимодействуют с N-арилзамещенными енаминокетонами с первоначальной атакой (β-CH и NH) нуклеофильными группами реагентов атомов С1 и С2 пирролобензоксазепинтрионов, с последующей внутримолекулярной рециклизацией и образованием замещенных спиро[фуран-2,3′-индолов] [1]. Реакции с N-алкилзамещенными енаминокетонами не изучены.
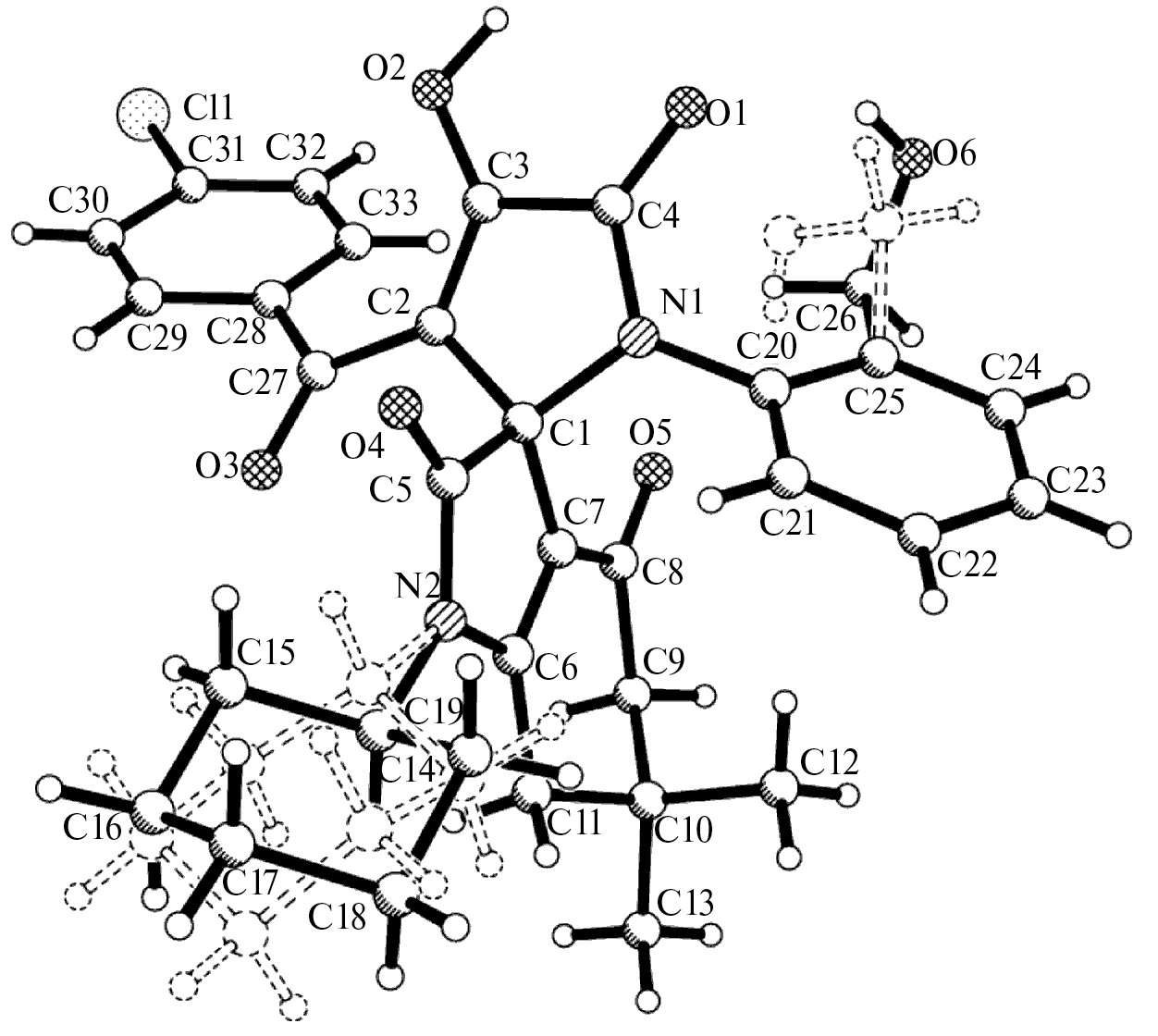
При взаимодействии 3-ароилпирроло[1,2-а][4, 1]бензоксазепин-1,2,4-трионов 1a,b с 3-циклогексиламино-5,5-диметилциклогекс-2-ен-1-оном происходит образование 3′-(4-ароил)-4′-гидрокси-1′-(2-(гидроксиметил)фенил)-6,6-диметил-1-циклогексил-6,7-дигидроспиро[индол-3,2′-пиррол]-2,4,5′(1H,1′H,5H)-трионов 2a,b (схема). Структура соединений 2 подтверждена методом рентгеноструктурного анализа (РСА) на примере соединения 2b (рисунок).
Кристалл соединения 2b получен медленной кристаллизацией из ацетонитрила.
Соединение 2b кристаллизуется в центросимметричной пространственной группе моноклинной сингонии (рисунок). Циклогексильный и гидроксиметильный заместители разупорядочены по 2 позициям с соотношением заселенностей 0.713(8):0.287(8) и 0.710(7):0.290(7) соответственно. Близкие значения соотношений заселенностей, уточненных независимо друг от друга, позволяют предполагать, что оба типа разупорядочения согласованы, то есть в кристалле присутствуют только 2 конформера. Это предположение также подтверждается существованием соединения 2b в растворе в виде 2 конформеров: в спектрах ЯМР присутствуют 2 набора сигналов. Одним из возможных факторов, обуславливающих стабильность конформеров, является наличие в каждом из них внутримолекулярных водородных связей (O6–H6∙∙∙O1 – в основном конформере и O6A–H6A∙∙∙O5 – в минорном).
Рис. Общий вид молекулы соединения 2b по данным РСА. Пунктиром изображены атомы и связи минорного конформера
Схема
1,2: Ar= 4-BrC6H4 (a), 4-ClC6H4 (b)
Соединения 2 образуются вследствие последовательной нуклеофильной атаки β-CH и NH группами енаминофрагмента 3-циклогексиламино-5,5-диметилциклогекс-2-ен-1-она атомов С3а и С4 пирролобензоксазепинтрионов 1 и раскрытия оксазепинового цикла по связи С4–О5. Ранее подобная схема взаимодействия описана для реакций пирролобензоксазинтрионов с енаминокетонами [2].
Таким образом, найдено, что при замене арильного заместителя при атоме азота амино-5,5-диметилциклогекс-2-ен-1-она на циклогексильный реализуется иная схема взаимодействия, приводящая к образованию производных спиро[индол-3,2′-пиррол]онов.
Спиро[индол-3,2′-пиррол]оны представляют интерес для медицинской химии [3–7]. Обычно для их синтеза используют реакции циклоприсоединения в присутствии металлических катализаторов либо многокомпонентные реакции.
3′-(4-Бромбензоил)-4′-гидрокси-1′-(2-(гидроксиметил)фенил)-6,6-диметил-1-циклогексил-6,7-дигидроспиро[индол-3,2′-пиррол]-2,4,5′(1H,1′H,5H)-трион (2a). Раствор 0.37 г (1.0 ммоль) соединения 1a и 0.22 г (1.0 ммоль) 3-циклогексиламино-5,5-диметилциклогекс-2-ен-1-она в 10 мл хлороформа кипятили 20 мин (до иcчезновения ярко-красной окраски исходного соединения 1a), охлаждали, отгоняли растворитель, затирали гексаном, перекристаллизовывали из ацетонитрила. Выход 0.301 г (51%), т.пл. 210–212°C. ИК спектр, ν, см–1: 3184 ш (OH), 1741, 1694, 1640 ш (С=O). Существует в виде пары конформеров в соотношении ~1.9:1 (A:B). Спектр ЯМР 1H (ДМСО-d6), δ, м.д. (A+B): 0.57 с (1.95H, CH3, A), 0.87 с (1.95H, CH3, A), 0.90 с (1.05H, CH3, B), 1.00 c (1.05H, CH3, B), 1.05–2.22 м (11.65Н, CH2Cy + C7H2, A+B), 2.26 д (0.35H, J 16.1 Гц, C7H2, B), 2.45 д (0.65H, J 18.3 Гц, C5H2, A), 2.50–2.56 м (1.35H, C5H2, A+B), 3.52–3.59 м (0.35H, CHCy, B), 3.71–3.79 м (0.65H, CHCy, A), 4.34 д (0.65H, J 15.4 Гц, CH2OH, A), 4.39 д (0.65H, J 15.6 Гц, CH2OH, A), 4.42 д (0.35H, J 15.5 Гц, CH2OH, B), 4.52 д (0.35H, J 15.5 Гц, CH2OH, B), 4.94 уш.с (1Н, OH, A+B), 6.82 д (0.35H, J 7.9 Гц, HAr, B), 6.96 д (0.65H, J 7.9 Гц, HAr, A), 7.19–7.25 м (1H, HAr, A+B), 7.36–7.42 м (1H, HAr, A+B), 7.56–7.65 м (3H, HAr, A+B), 7.69–7.73 м (2H, HAr, A+B), 12.50 уш.с (1H, OH, A+B). Спектр ЯМР 13C (ДМСО-d6), δ, м.д. (А): 24.62, 25.11 (2C, 2 м-CCyH2), 26.30, 28.04, 29.22 (2C, 2 o-CCyH2), 33.25, 35.57, 49.74, 53.85, 58.13, 68.84, 108.81, 117.7, 125.57, 126.43, 126.64, 127.01, 128.55, 130.64 (2CAr), 131.02, 131.21 (2CAr), 136.44, 141.72, 152.08, 164.69, 167.30, 175.52, 187.73, 190.17. Найдено, %: C 62.63; H 5.19; Br 12.73; N 4.38. C33H33BrN2O6. Вычислено, %: C 62.56; H 5.25; Br 12.61; N 4.42.
4′-Гидрокси-1′-(2-(гидроксиметил)фенил)-6,6-диметил-3′-(4-хлорбензоил)-1-циклогексил-6,7-дигидроспиро[индол-3,2′-пиррол]-2,4,5′(1H,1′H,5H)-трион (2b). Синтезировали аналогично 2a. Получен из 0.41 г 1b. Выход 0.28 г (44%), т.пл. 206–208°C. ИК спектр, ν, см–1: 3640, 3333 ш (OH), 1748, 1718, 1643, 1632 (С=O). Существует в виде пары конформеров в соотношении ~1.9:1 (A:B). Спектр ЯМР 1H (ДМСО-d6), δ, м.д. (A+B): 0.57 с (1.95H, CH3, A), 0.87 с (1.95H, CH3, A), 0.90 с (1.05H, CH3, B), 0.99 c (1.05H, CH3, B), 1.06–2.19 м (11.65Н, CH2Cy + C7H2, A+B), 2.25 д (0.35H, J 16.1 Гц, C7H2, B), 2.44 д (0.65H, J 18.4 Гц, C5H2, A), 2.52–2.56 м (1.35H, C5H2, A+B), 3.53–3.59 м (0.35H, CHCy, B), 3.72–3.78 м (0.65H, CHCy, A), 4.34 д (0.65H, J 15.4 Гц, CH2OH, A), 4.39 д (0.65H, J 15.5 Гц, CH2OH, A), 4.43 д (0.35H, J 15.2 Гц, CH2OH, B), 4.52 д (0.35H, J 15.1 Гц, CH2OH, B), 4.89 уш.с (1Н, OH, A+B), 6.82 д (0.35H, J 7.9 Гц, HAr, B), 6.96 д (0.65H, J 8.0 Гц, HAr, A), 7.21–7.25 м (1H, HAr, A+B), 7.36–7.42 м (1H, HAr, A+B), 7.55–7.62 м (3H, HAr, A+B), 7.65–7.71 м (2H, HAr, A+B), 12.42 уш.с (1H, OH, A+B). Спектр ЯМР 13C (ДМСО-d6), δ, м.д. (A): 24.62, 25.12 (2C, 2 м-CCyH2), 26.30, 28.03, 29.21 (2C, 2 o-CCyH2), 33.26, 35.58, 49.73, 53.86, 58.13, 68.85, 108.77, 117.87, 125.58, 126.65, 127.01, 128.29 (2CAr), 128.57, 130.18, 130.53 (2CAr), 130.99, 136.05, 141.73, 151.85, 164.62, 167.34, 175.46, 187.64, 190.19. Найдено, %: C 67.35; H 5.52; Cl 6.10; N 4.69. C33H33ClN2O6. Вычислено, %: C 67.28; H 5.65; Cl 6.02; N 4.76.
РСА выполнен на монокристальном дифрактометре Xcalibur Ruby с CCD-детектором по стандартной методике (MoKα-излучение, 295(2) K, ω-сканирование с шагом 1°). Поглощение учтено эмпирически с использованием алгоритма SCALE3 ABSPACK [8]. Структура расшифрована с помощью программы SHELXS [9] и уточнена полноматричным МНК по F2 в анизотропном приближении для всех неводородных атомов с использованием программы SHELXL [10] с графическим интерфейсом OLEX2 [11]. Атом водорода группы O2H2 уточнен независимо в изотропном приближении. При уточнении остальных атомов водорода использована модель наездника. Сингония кристалла (C33H33ClN2O6, M 589.06) моноклинная, пространственная группа C2/c, a 24.976(10) Å, b 13.261(2) Å, c 24.399(10) Å, β 130.15(7)°, V 6177(6) Å3, Z 8, dвыч 1.267 г/см3, μ 0.170 мм–1. Окончательные параметры уточнения: R1 0.0590 [для 3663 отражений с I > 2σ(I)], wR2 0.1841 (для всех 7406 независимых отражений, Rint 0.0392), S 1.023. Результаты РСА зарегистрированы в Кембриджском центре кристаллографических данных под номером CCDC 2174772 и могут быть запрошены по адресу: https://www.cCDc.cam.ac.uk/structures.
ИК спектры полученных соединений записаны на спектрометре Perkin Elmer Spectrum Two (США) в виде пасты в вазелиновом масле. Спектры ЯМР 1Н записаны на спектрометре Bruker Avance III HD 400 [рабочая частота 400 (1Н) и 100 (13С) МГц] (Швейцария) в ДМСО-d6, внутренний стандарт — ГМДС. Элементный анализ выполняли на анализаторе Vario MICRO cube (Германия). Полноту протекания реакций определяли методом ультра-ВЭЖХ-МС на приборе Waters ACQUITY UPLC I-Class (США) (колонка Acquity UPLC BEH C18 1.7 мкм, подвижная фаза — ацетонитрил–вода (градиент 30–100% ацетонитрила), скорость потока 0.6 мл/мин, УФ детектор ACQUITY UPLC PDA eλ Detector, масс-детектор Xevo TQD). Индивидуальность синтезированных соединений подтверждена методом ТСХ на пластинках Merck Silica gel 60 F254 (Германия), элюент — толуол–этилацетат, 1:1, проявляли парами иода и УФ излучением 254 нм. Исходные ароилпирролобензоксазепинтрионы 1a,b синтезированы по модифицированной методике [1]. Остальные реактивы и растворители получены из коммерческих источников (Alfa Aesar, Merck Life Science LLC).
ЗАКЛЮЧЕНИЕ
Установлено, что при взаимодействии 3-ароилпирролобензоксазепинтрионов с 3-циклогексиламино-5,5-диметилциклогекс-2-ен-1-оном происходит атака β-CH и NH группами реагента атомов С3а и С4 пирролобензоксазепинтрионов с разрывом связи С4–О5. Получен ряд труднодоступных спиро[индол-3,2′-пиррол]трионов.
ФОНДОВАЯ ПОДДЕРЖКА
Исследования выполнены при финансовой поддержке Пермского научно-образовательного центра “Рациональное недропользование”, 2024.
КОНФЛИКТ ИНТЕРЕСОВ
Авторы заявляют об отсутствии конфликта интересов.
Об авторах
Анна Андреевна Масливец
ФГАОУ ВО “Пермский государственный национальный исследовательский университет”
Email: koh2@psu.ru
ORCID iD: 0000-0003-0555-0231
Россия, 614990 Пермь, ул. Букирева, 15
Максим Викторович Дмитриев
ФГАОУ ВО “Пермский государственный национальный исследовательский университет”
Email: koh2@psu.ru
ORCID iD: 0000-0002-8817-0543
Россия, 614990 Пермь, ул. Букирева, 15
Андрей Николаевич Масливец
ФГАОУ ВО “Пермский государственный национальный исследовательский университет”
Автор, ответственный за переписку.
Email: koh2@psu.ru
ORCID iD: 0000-0001-7148-4450
Россия, 614990 Пермь, ул. Букирева, 15
Список литературы
- Масливец А.А., Масливец А.Н. ЖОрХ. 2015, 51, 1213-1214. [Maslivets A.A., Maslivets A.N. Russ. J. Org. Chem. 2015, 51, 1194–1195.] doi: 10.1134/S1070428015080254
- Машевская И.В., Дувалов А.В., Толмачева И.А., Алиев З.Г., Масливец А.Н. ЖОрХ. 2004, 40 (9), 1359–1363. [Mashevskaya, I.V., Duvalov, A.V., Tolmacheva, I.A., Aliev Z. G., Maslivets A. N. Russ J Org Chem. 2004, 40, 1359–1363.] doi: 10.1007/s11178-005-0020-6
- Zhao J.Q., Zhou X.J., Zhou Y., Xu X.Y., Zhang X.M., Yuan W.C. Org. Lett. 2018, 20, 909–912. doi: 10.1021/acs.orglett.7b03667
- Han Y., Wu Q., Sun J., Yan C.G. Tetrahedron. 2012, 68, 8539–8544. doi: 10.1016/j.tet.2012.08.030.
- Sarkar R., Mukhopadhyay C. Tetrahedron Lett. 2013, 54, 3706–3711. doi: 10.1016/j.tetlet.2013.05.017
- Dou P.H., Chen Y., You Y., Wang Z.H., Zhao J.Q., Zhou M.Q., Yuan W.C. Adv. Synth, Catal. 2021, 363, 4047–4053. doi: 10.1002/adsc.202100516
- Srivastava A., Mobin S.M., Samanta S. Tetrahedron Lett. 2014, 55, 1863–1867. doi: 10.1016/j.tetlet.2014.01.154
- CrysAlisPro, Agilent Technologies, Version 1.171.37.33.
- Sheldrick G.M. ActaCryst. 2008, A64, 112–122. doi: 10.1107/S0108767307043930
- Sheldrick G.M. ActaCryst. 2015, C71, 3–8. doi: 10.1107/S2053229614024218
- Dolomanov O.V., Bourhis L.J., Gildea R.J, Howard J.A.K., Puschmann H. J. Appl. Cryst. 2009, 42, 339. doi: 10.1107/S0021889808042726
Дополнительные файлы





