Synthesis and Spectral Properties of Iodine-Substituted Dyes Based on Benzothiazolium Salts
- Authors: Malakhov I.A.1,2, Orlova N.A.1, Shelkovnikov V.V.1,3, Vasilyev E.V.1, Chernonosov A.A.3
-
Affiliations:
- N.N. Vorozhtsov Novosibirsk Institute of Organic Chemistry of the Siberian Branch of the Russian Academy of Sciences
- Novosibirsk National Research State University
- Institute of Chemical Biology and Fundamental Medicine of the Siberian Branch of the Russian Academy of Sciences
- Issue: Vol 60, No 1 (2024)
- Pages: 132-142
- Section: Articles
- URL: https://journals.rcsi.science/0514-7492/article/view/272389
- DOI: https://doi.org/10.31857/S0514749224010126
- EDN: https://elibrary.ru/EMMKMB
- ID: 272389
Cite item
Full Text
Abstract
Two series of new thiacarbocyanines with iodine atoms in the donor and/or acceptor block have been synthesized. The absorption spectra of the iodinated dyes in the region of singlet-singlet S0-S1 and singlet-triplet S0-T1 transitions are investigated. The introduction of iodine atoms into the dye structures leads to a red shift of the absorption maximum, regardless of the position of iodine in the molecule. For dyes with two or more iodine atoms, a low-intensity long-wave absorption shoulder in the region from 650 to 1000 nm is detected, which corresponds to singlet-triplet absorption.
Full Text
ВВЕДЕНИЕ
Красители на основе солей бензотиазолия, в том числе стирилы, применяются в качестве сенсибилизаторов в фоточувствительных композициях [1] и в биохимии, например, в качестве соединений-репортёров, связанных с нуклеотидами ДНК [2]. Особый интерес представляет возможность использования катионных бензотиазольных красителей в области фотодинамической терапии (ФДТ) в качестве фотогенераторов синглетного кислорода. Наряду с известными фотосенсибилизаторами генерации синглетного кислорода на основе тетрапиррольных структур типа хлоринов [3], изучаются катионные цианиновые красители [4]. Исследование фотохимических свойств катионных красителей обрело новый стимул в результате возможности их встраивания в структуры целевой транспортной системы доставки, например, такой как пептиды, проникающие в клетку [5], что увеличивает селективность терапевтического эффекта. Поиск новых сенсибилизаторов и изучение их фотохимических свойств проводится среди скварилиевых цианиновых красителей бензотиазольного ряда, поскольку они имеют поглощение в спектральном терапевтическом окне 600–1000 нм [6]. Для связывания с белками, с бычьим и человеческим сывороточным альбумином разработан метод синтеза [7] некоторых скварилиевых цианиновых красителей с бензотиазольными катионными гетероциклами.
В случае сенсибилизированной ФДТ инактивация опухолевых клеток происходит прямым цитотоксическим агентом — синглетным кислородом [4]. Одним из методов повышения эффективности фотогенерации синглетного кислорода является введение в структуру красителя-сенсибилизатора атома йода [8, 9]. Известно, что присутствие атомов йода в структуре молекулы приводит к появлению эффекта «тяжелого атома», за счет которого увеличивается вероятность интеркомбинационной S–T конверсии перехода в возбуждённом состоянии красителя, что приводит к увеличению квантового выхода синглетного кислорода.
Введение тяжелого атома также должно приводить к повышению вероятности прямого возбуждения S0–T1 перехода [10] и к возможности реализовать сенсибилизированную генерацию синглетного кислорода в терапевтическом окне даже для тех красителей, у которых область основного разрешенного перехода гипсохромно сдвинута относительно терапевтического окна.
В данной работе представлен синтез цианиновых красителей стирилового типа, содержащих различное количество атомов йода в донорном и/или акцепторном блоке, на основе катионных солей бензотиазолия (СБТ) с длинноцепочечными алкильными фрагментами. Получены и сопоставлены спектральные характеристики синтезированных красителей в области основного разрешённого S0–S1 и запрещённого S0–T1 перехода в зависимости от количества введённых атомов йода.
РЕЗУЛЬТАТЫ И ОБСУЖДЕНИЕ
Синтез красителей тиакарбоцианинового ряда, содержащих в своей структуре атомы йода, включает получение йодзамещенных бензотиазолов, их алкилирование и последующее взаимодействие полученных солей бензотиазолия с альдегидами ароматического или гетероциклического ряда, в том числе йодсодержащими.
Реакцией диазотирования 5-амино-2-метилбензотиазола (1) и последующего замещения диазогруппы на йод получен 5-йод-2-метилбензотиазол (2) (схема 1) [11].
Схема 1
При получении дийодзамещенного 2-метилбензотиазола мы основывались на данных литературы [12], описывающих йодирование аминопроизводных бензотиазола монохлоридом йода; при этом атомы йода находились в о-положении к аминогруппе. Попытка йодирования бензотиазола 1 двукратным мольным избытком ICl не привела к желаемому результату: в реакционной смеси обнаружено только исходное соединение 1 и смолообразные побочные продукты. Изомерный 6-амино-2-метилбензотиазол (3) в этих условиях образует 6-амино-7-йод-2-метилбензотиазол (4), который далее превращали в 6,7-дийод-2-метилбензотиазол (5) реакцией диазотирования (схема 2).
Схема 2
Бензотиазол 5 был получен ранее [13] в следовых количествах, наряду с целевым 2-метил-4,5,6,7-тетрайодбензотиазолом (6), при йодировании 2-метилбензотиазола элементарным йодом в серной кислоте. Предлагаемый нами подход позволяет получать дийодированный бензотиазол 5 в препаративных количествах. Мы синтезировали также соединение 6 по методике [13] для его последующего алкилирования.
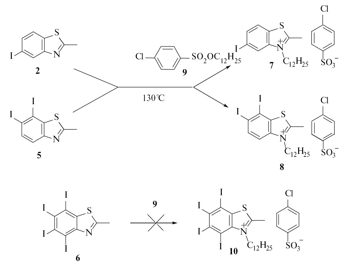
Получение солей 3-алкил-2-метилбензотиазолия, содержащих алкильные остатки длиной от С10 до С18, описано нами ранее [14]. Алкилирование проводили при нагревании производных бензотиазола с эфирами п-хлорбензолсульфокислоты без растворителя, получили соответствующие п-хлорбензолсульфонаты. Нами были выбраны производные додецилового спирта — коммерчески доступного реагента, повышающего растворимость красителей; органический анион также улучшает растворимость. Моно- и дийодзамещенные бензотиазолы 2 и 5 превращали в соответствующие соли 7 и 8 по методу [14] нагреванием c додециловым эфиром п-хлорбензолульфокислоты (9) в расплаве при 130°С (схема 3). Соль 2-метил-4,5,6,7-тетрайодбензотиазолия 10 не удалось получить из соединения 6 ни в вышеописанных условиях, ни в ДМСО при 170°С, так как исходный бензотиазол 6 разлагался с выделением йода.
Схема 3
В качестве донорных блоков в синтезе стирилов были использованы 4-диметиламинобензальдегид и 5-(метилтио)тиофен-2-карбоксальдегид (11), а также продукт йодирования последнего — 4-йод-5-(метилтио)тиофен-2-карбоксальдегид (12) (схема 4). Производные тиофена дают длинноволновый сдвиг максимума поглощения целевого красителя относительно производных бензальдегида.
Схема 4
Целевыми продуктами в данной работе являются красители, содержащие атомы йода в различных фрагментах молекулы. Конденсацию солей бензотиазолия с альдегидами проводили в уксусном ангидриде при 100–110°С. Нами синтезированы 2 серии йодзамещенных тиакарбоцианинов с одинаковым строением донорного фрагмента (соединения 14–16 и 17–21).
Конденсацией 4-диметиламинобензальдегида с солями бензотиазолия 7 и 8, а также с солью 13, не содержащей йода, синтезированы красители, содержащие до 2 атомов йода в карбоциклическом фрагменте (схема 5).
Схема 5
Альдегиды ряда тиофена — 5-(метилтио)тиофен-2-карбоксальдегид (11) и 4-йод-5-(метилтио)тиофен-2-карбоксальдегид (12) – вводили в реакцию с солями бензотиазолия 7, 8, 13 в тех же условиях; получили серию из 5 красителей, структуры которых приведены на рис. 1.
Рис. 1. Йодзамещенные красители 17–21 с 5-(метилтио)тиенильным донорным фрагментом
Структуры известных соединений устанавливали сравнением температур плавления и данных спектров 1Н ЯМР с литературными данными. Строение вновь полученных соединений определяли по данным спектров ПМР. Структуры соединений 5 и 12 подтверждали данными масс-спектров высокого разрешения, масс-спектрометрический анализ катионных фрагментов солей бензотиазолия 7, 8, 13 и красителей 14–21 осуществляли методом MALDI-TOF. Спектры 1Н ЯМР синтезированных солей бензотиазолия и тиакарбоцианинов соответствуют их структурам. Так, в области ароматических протонов имеются сигналы, принадлежащие протонам бензотиазольного фрагмента, система АВ Е-расположенных протонов двойной связи с константой спин-спинового взаимодействия (КССВ) ~15 Гц, а также сигналы 2 систем АВ, принадлежащих пара-фениленовым протонам альдегидного фрагмента и аниона. В спектрах производных тиофена присутствуют в слабом поле 2 дублета с характерной КССВ ~4 Гц или синглет (для йодированного фрагмента). В области ~4.5 м.д. наблюдается мультиплет протонов группы CH2 при заряженном гетероциклическом атоме азота. Сигналы остальных метиленовых и метильных групп регистрируются в сильном поле.
Для всех синтезированных красителей зарегистрированы электронные спектры поглощения (ЭСП) (рис. 2–5). Положение длинноволновых максимумов зависит от строения как донорной, так и акцепторной частей молекулы красителя.
Рис. 2. ЭСП диметиламинобензилиденсодержащих красителей 14–16 в хлороформе (основной переход)
Рис. 3. ЭСП 5-(метилтио)тиофениленсодержащих красителей 17–21 в хлороформе (основной переход)
Рис. 4. Спектральные кривые молярной экстинкции 4-(диметиламино)бензилиденсодержащих красителей 14–16 в ацетонитриле, представленные в логарифмической шкале ординат
Рис. 5. Спектральные кривые молярной экстинкции 5-(метилтио)тиофениленсодержащих красителей 17–21 в ацетонитриле, представленные в логарифмической шкале ординат
Спектры поглощения красителей в области основного перехода представлены на рис. 2, 3. Спектральные характеристики полученных красителей 14–21 приведены в таблице. Введение атомов йода в акцепторную часть СБТ с диметиламинобензилиденовой донорной частью батохромно сдвигает максимум поглощения в последовательности СБТ: 542 нм (соединение 14); 559 нм (соединение 15); 570 нм (соединение 16). Этот сдвиг ожидаемо соответствует увеличению акцепторного характера бензотиазольного кольца по мере введения йода как акцептора. Аналогичные сдвиги максимума поглощения при введении атомов йода в акцепторную часть проявляются и для тиофениленсодержащих СБТ: 497 нм (содинение 17); 508 нм (соединение 19); 519 нм (соединение 20). Интересно, что введение йода в донорную часть тиофениленсодержащих красителей также увеличивает батохромный сдвиг поглощения.
Для выявления запрещённого S0–T1 перехода спектры красителей представлены на рис 4, 5 в логарифмическом масштабе по оси ординат. Для красителей, содержащих в качестве заместителей 2 и более атомов йода, отчётливо проявляется слабоинтенсивное длинноволновое плечо поглощения в широкой области от 650 до 1000 нм, которое соответствует синглет-триплетному поглощению. Сила осциллятора данного перехода на 3–4 порядка меньше, чем для основного перехода. Выявить однозначно максимум запрещённого перехода на фоне спада спектральной линии поглощения основного перехода затруднительно. Представление спектра в логарифмической шкале по оси ординат позволяет определить положение максимума S0–T1 перехода в окрестности 700 нм. Для соединений с одним атомом йода и без него интенсивность запрещённого перехода недостаточна для проявления в спектрах поглощения.
ЭКСПЕРИМЕНТАЛЬНАЯ ЧАСТЬ
Физико-химические исследования полученных соединений проводились в Химическом исследовательском центре коллективного пользования СО РАН (НИОХ СО РАН, г. Новосибирск). Спектры ЯМР 1Н зарегистрированы на приборах фирмы Bruker (Германия) АV-300, АV-400 и DRX-500, в качестве внутренних стандартов использовали остаточные протоны растворителей — CHCl3 (химический сдвиг 7.24 м.д.) и ДМСО-d6 (химический сдвиг 2.50 м.д.). Химические сдвиги ЯМР 1Н приведены в м.д. от ТМС. ЭСП регистрировали на спектрофотометре Hewlett Packard 8453. Масс-спектры высокого разрешения получены на приборе DFS Thermo Fisher Scientifiс (США) в режиме прямого ввода, энергия ионизации 70 эВ. Масс-спектры катионных фрагментов солей и красителей получены методом MALDI-TOF на приборе Autoflex Speed MALDITOF "Bruker Daltonic" (Германия) в режиме положительного отраженного иона, частота лазера – 1000 Гц, ускоряющее напряжение – 19 кВ. Температуру плавления определяли на приборе SMP30 ("Bibby Scientific Ltd", Великобритания).
Таблица. Коэффициенты экстинкции йодсодержащих красителей 14–21 в максимуме поглощения основного S0–S1 перехода и вблизи максимума поглощения запрещённого S0–T1 перехода в ацетонитриле
Соединение | lмакс, нм | e (S0–S1), М–1см–1 | l, нм | e (S0–T1), М–1см–1 |
14 | 542 | 7.3 × 105 | 700 | 55 |
15 | 556 | 7.7 × 105 | 700 | 56 |
16 | 566 | 7.6 × 105 | 700 | 120 |
17 | 497 | 3.7 × 105 | 700 | 65 |
18 | 500 | 3.7 × 105 | 700 | 56 |
19 | 505 | 3.1 × 105 | 700 | 59 |
20 | 522 | 3.0 × 105 | 700 | 157 |
21 | 526 | 3.7 × 105 | 700 | 187 |
Коммерческие реактивы 5-амино-2-метилбензотиазол дигидрохлорид 97% (Aldrich), 6-амино-2-метилбензотиазол 98% (Aldrich), 5-(метилтио)тиофен-2-карбоксальдегид 98% (Alfa Aesar), монохлорид йода 95% (ICI) использованы без дополнительной очистки.
5-Йод-2-метилбензотиазол (2) получен по методу [11], т.пл. 82–84°С (83–85°С [11]).
6-Амино-7-йод-2-метилбензотиазол (4). Раствор 1.50 г (10 ммоль) монохлорида йода в смеси HClконц.–H2O (2 : 6 мл) порционно прибавляли к раствору 1.31 г (8 ммоль) 6-амино-2-метилбензотиазола (3) в HCl–H2O (1 : 12 мл). Реакционную массу перемешивали при комнатной температуре 1 ч, затем нейтрализовали насыщенным раствором NaHCO3, выпавший осадок отфильтровывали. Выход 1.56 г (67%), т.пл. 119–121°С (118–120°С [13]). Данные спектра ЯМР 1Н соответствуют приведенным в литературе [13].
6,7-Дийод-2-метилбензотиазол (5). К охлажденному до 0°С раствору 1.24 г (4.2 ммоль) 6-амино-7-йод-2-метилбензотиазола (4) в смеси 10 мл воды и 10 мл конц. HCl по каплям прибавляли раствор 0.70 г (10 ммоль) нитрита натрия в 2 мл воды, перемешивали 1 ч при 0–5°C. К смеси прибавляли по каплям при этой температуре раствор 1.66 г (10 ммоль) йодистого калия в 3.5 мл воды. Через 30 мин убирали охлаждающую баню и перемешивали 1 ч при комнатной температуре. Реакционную массу разбавляли 100 мл хлористого метилена, промывали насыщенным раствором пиросульфита натрия и водой, сушили CaCl2, растворитель отгоняли в вакууме. Остаток хроматографировали на SiO2, элюент — хлористый метилен. Первая светло-желтая фракция — исходный бензотиазол 4. Собирали вторую светло-коричневую фракцию. Выход 0.78 г (45%), кремовый порошок, т.пл. 152–154°С (осаждение из бензола гексаном) (180–183°С [13]). Спектр ЯМР 1Н (500 МГц, CDCl3), δ, м.д.: 7.85 д (1Наром, J 8.5 Гц), 7.59 д (1Наром, J 8.5 Гц), 2.80 с (3H, СН3). Найдено: [М]+ 400.8226. C8H5NI2S. Вычислено: М 400.8227.
Алкилирование бензотиазолов 2, 5, 6. Общая методика. Соответствующий бензотиазол и додециловый эфир 4-хлорбензолсульфоновой кислоты (9) в мольном соотношении 1:1.5 помещали в круглодонную колбу и нагревали с перемешиванием в течение 5 ч при 130°С. Реакционную массу обрабатывали как указано ниже.
4-Хлорбензолсульфонат 3-додецил-5-йод-2-метилбензотиазол-3-ия (7) получали из 0.60 г (2.2 ммоль) бензотиазола (2) и 1.20 г (3.3 ммоль) сульфоэфира 9. Реакционную массу охлаждали, промывали ~100 мл диэтилового эфира и 5 мл ацетонитрила. Выход 0.49 г (35%), порошок светло-коричневого цвета, т.пл. 118–121°С. Спектр ЯМР 1Н (300 МГц, CDCl3), δ, м.д.: 0.87 т (3Н, СН3, J 6.8 Гц), 1.15–1.45 м (18Н, 9СН2), 1.78–1.88 м (2Н, СН2), 3.30 с (3Н, СН3), 4.71 т (2Н, N–СН2, J 7.3 Гц), 7.60, 7.20 (оба д, по 2Н, Наром, J 7.8 Гц), 7.83–7.93 м (2Н, Наром), 8.12 (с, 1Н, Наром). Найдено: [М]+ 444.11. [C20H31INS]+ . .Вычислено: M+ 444.12.
4-Хлорбензолсульфонат 3-додецил-6,7-дийод-2-метилбензотиазол-3-ия (8) получали из 0.40 г (1.0 ммоль) бензотиазола (5) и 0.54 г (1.5 ммоль) сульфоэфира 9. Реакционную массу охлаждали, промывали диэтиловым эфиром, продукт растворяли в ДМФА и осаждали диэтиловым эфиром. Выход 0.20 г (26%), светло-коричневый порошок, т.разл.~210°С. Спектр ЯМР 1Н (300 МГц, ДМСО-d6), δ, м.д.: 0.86 т (3H, СН3, J 6.1 Гц). 1.12–1.45 с (18H, 9СН2), 1.71–1.87 м (2H, СН2), 3.20 с (3H, CН3), 4.63 т (2H, N–СН2, J 7.6 Гц), 7.37 д, 7.58 д (по 2Наром, J 8.1 Гц), 8.15 д, 8.31 д (по 1Наром, J 8.8 Гц). Найдено: [М]+ 569.93. [C20H30I2NS]+. Вычислено: М+ 570.02.
4-Йод-5-(метилтио)тиофен-2-карбоксальдегид (12). К раствору 0.27 г (1.7 ммоль) 5-(метилтио)тиофен-2-карбоксальдегида (11) в 10 мл метанола прибавляли 0.86 г (3.5 ммоль) йодхлорида пиридиния [15]. Реакционную смесь кипятили 3 ч с обратным холодильником, охлаждали до комнатной температуры и выливали в воду. Продукт экстрагировали хлористым метиленом, экстракт сушили CaCl2, растворитель удаляли в вакууме. Твердый остаток растворяли в бензоле и хроматографировали на колонке с SiO2, элюент — смесь бензол–хлороформ, 9 : 1 (об.). Выход 0.3 г (61%), светло-желтые пластинки, т.пл. 125–128°С. ИК спектр (KBr), см–1: 1650 (С=О). Спектр ЯМР 1H (400 МГц, CDCl3), δ, м.д.: 2.63 с (3H, SCH3), 7.64 с (1Нтиофена), 9.67 с (1H, СНО). Найдено: [М]+ 283.8821. C6H5O1I1S2. Вычислено: М+ 283.8819.
Синтез красителей 14-21. Общая методика. В коническую колбу емкостью 5 мл помещали соль бензотиазолия, приливали 1 мл уксусного ангидрида и прибавляли соответствующий альдегид. Реакционную смесь перемешивали при 110–120°С от 1 до 5 ч. Выпавший при охлаждении осадок отфильтровывали и промывали диэтиловым эфиром до прекращения окрашивания эфира.
4-Хлорбензолсульфонат (E)-2-[4-(диметиламино)-стирил]-3-додецилбензо[d]тиазол-3-ия (14) получали из 0.20 г (0.39 ммоль) соли бензотиазолия 13 и 0.07 г (0.43 ммоль) 4-диметиламинобензальдегида в 1 мл уксусного ангидрида. Смесь перемешивали 2 ч при 110°С и обрабатывали по общей методике. Выход 0.25 г (94%), темно-красный порошок, т.пл. 218–220°С. ЭСП (CHCl3), lmax, нм (lg e): 542 (4.86). Спектр ЯМР 1H (400 МГц, CDCl3), δ, м.д.: 0.84 т (3H, СН3, J 6.7 Гц), 1.08–1.38 м (18H, 9СН2), 1.70–1.81 м (2H, СН2), 3.07 с (6H, N(CH3)2), 4.65 т (2H, N–CH2, J 7.2 Гц), 6.46 д (2Н, Hаром, J 8.6 Гц), 7.54–7.64 м (2H, CH=, 1Hаром), 7.67–7.82 м (5H, CH=, 4Hаром), 7.29 д, 7.93 д (по 2Н, Hаром, J 8.0 Гц). Найдено: [М]+ 449.18. [C29H41I2S]+. Вычислено: М+ 449.30.
4-Хлорбензолсульфонат (E)-2-[4-(диметиламино)-стирил]-3-додецил-5-йодбензо[d]тиазол-3-ия (15) получали из 0.15 г (0.22 ммоль) соли бензотиазолия 7 и 0.04 г (0.24 ммоль) 4-диметиламинобензальдегида в 1 мл уксусного ангидрида, перемешивали 2 ч при 110°С. Смесь охлаждали и обрабатывали по общей методике. Выход 0.18 г (84%), порошок красного цвета, т.пл. 205–208°С. ЭСП (CHCl3), lmax, нм (lg e): 559 (4.91). Спектр ЯМР 1H (400 МГц, CDCl3), δ, м.д.: 0.84 т (3H, СН3, J 6.7 Гц), 1.08–1.38 м (18H, 9СН2), 1.70–1.81 м (2H, СН2), 3.07 с (6H, N(CH3)2), 4.65 т (2H, N–CH2, J 7.2 Гц), 6.46 д (2Hаром, J 8.6 Гц), 7.54–7.64 м (2H, CH=, 1Hаром), 7.67–7.82 м (5H, CH=, 4Hаром), 7.29 д, 7.93 д (по 2Hаром, J 8.0 Гц). Найдено: [М]+ 617.17. [C32H46IN2S]+. Вычислено: М+ 617.24.
4-Хлорбензолсульфонат (E)-2-[4-(диметиламино)-стирил]-3-додецил-6,7-дийодбензо[d]тиазол-3-ия (16) получали из 0.20 г (0.25 ммоль) соли бензотиазолия 8 и 0.04 г (0.27 ммоль) 4-диметиламинобензальдегида в 1 мл уксусного ангидрида, перемешивали 2 ч при 110°С. Смесь обрабатывали по общей методике. Выход 0.23 г (84%), темно-красный порошок, т.пл. 127–130°С. ЭСП (CHCl3): lmax, нм (lg e): 570 (4.86). Спектр ЯМР 1H (400 МГц, CDCl3), δ, м.д.: 0.84 т (3H, СН3, J 6.8 Гц). 1.10–1.28 м (16H, 8СН2), 1.29–1.39 м (2H, СН2), 1.78–1.87 м (2H, СН2), 3.10 с (6H, N(CH3)2), 4.85 т (2H, N–CH2, J 7.1 Гц), 6.60 д (2Hаром, J 8.7 Гц), 7.22 д (2Hаром, J 8.3 Гц), 7.67 д, 7.76 д (по 1H, СН=СН, J 14.9 Гц), 7.78–7.85 м (4Наром), 7.47 д, 7.97 д (по 1Hаром, J 8.8 Гц). Найдено: [М]+ 701.05. [C29H39I2N2S]+. Вычислено: М + 701.09.
4-Хлорбензолсульфонат (E)-3-додецил-2-{2-[5-(метилтио)тиофен-2-ил]винил}бензо[d]тиазол-3-ия (17) получали из 0.15 г (0.29 ммоль) соли бензотиазолия 13 и 0.05 г (0.33 ммоль) 5-(метилтио)тиофен-2-карбоксальдегида (11) нагреванием в 1 мл уксусного ангидрида при 110°С в течение 4 ч. Обычной обработкой получали порошок светло-красного цвета, выход 0.12 г (63%), т.пл. 146–148°С. ЭСП (CHCl3): lmax, нм (lg e): 497 (4.63). Спектр ЯМР 1H (300 МГц, CDCl3), δ, м.д.: 0.84 т (3Н, СН3, J 6.5 Гц), 1.06–1.45 м (18Н, 9СН2), 1.82–1.88 м (2Н, СН2), 2.60 c (3Н, SСН3), 4.84 т (2Н, N–CH2, J 7.3 Гц), 7.57 т, 7.66 т (по 1Наром, J 7.7 Гц), 6.80 д, 7.70 д (по 1Нтиофен, J 4.2 Гц), 7.25 д, 7.85 д (по 2Наром, J 8.3 Гц), 7.73 д, 8.04 д (по 1Наром, J 8.2 Гц), 7.37 д, 8.10 д (по 1Н, СН=СН, J 15.1 Гц). Найдено: [М]+ 458.10. [C26H36NS3]+. Вычислено: M+ 458.20.
4-Хлорбензолсульфоат (E)-3-додецил-2-{2-[4-йод-5-(метилтио)тиофен-2-ил]винил}бензо[d]-тиазол-3-ия (18) получали из 0.13 г (0.26 ммоль) соли бензотиазолия 13 и 0.10 г (0.33 ммоль) 4-йод-5-(метилтио)тиофен-2-карбоксальдегида (12) в 1 мл уксусного ангидрида, перемешивали 4.5 ч при 110°С. Полученный обычной обработкой краситель осаждали из ацетонитрила диэтиловым эфиром. Выход 0.09 г (60%), красный порошок, т.пл. 158–160°С. ЭСП (CHCl3): lmax, нм (lg e): 506 (4.58). Спектр ЯМР 1H (400 МГц, CDCl3), δ, м.д.: 0.84 т (3Н, СН3, J 6.8 Гц), 1.11–1.37 м (18Н, 9СН2), 1.76–1.86 м (2Н, СН2), 2.60 с (3Н, SСН3), 4.89 т (2Н, N–CH2, J 7.4 Гц), 7.54–7.64 м (2Н, СН=, 1Hаром), 7.64–7.74 м (3Н, 1Hтиофена, 2Наром), 7.29 д, 7.90 д (по 2Наром, J 8.3 Гц), 8.01 д (1Наром, J 8.0 Гц), 8.09 д (1Н, СН=, J 15.2 Гц). Найдено: [М]+ 584.03. [C36H35INS3]+. Вычислено: M+ 584.10.
4-Хлорбензолсульфонат (E)-3-додецил-5-йод-2-{2-[5-(метилтио)тиофен-2-ил]винил}бензо[d]тиазол-3-ия (19) получали из 0.15 г (0.24 ммоль) соли бензотиазолия 7 и 0.04 г (0.26 ммоль) 5-(метилтио)-тиофен-2-карбоксальдегида (11) в 1 мл уксусного ангидрида перемешиванием при 110°С в течение 2 ч. Выход 0.12 г (87%), красный порошок, т.пл. 163–165°С. ЭСП (CHCl3): lmax, нм (lg e): 508 (4.60). Спектр ЯМР 1H (300 МГц, CDCl3), δ, м.д.: 0.85 т (3Н, СН3, J 6.6 Гц), 1.05–1.45 м (18Н, 9СН2), 1.67–1.82 м (2Н, СН2), 2.60 с (3Н, SСН3), 4.75 т (2Н, N–CH2, J 7.4 Гц), 7.20–7.39 м (3Наром), 7.64 д, 7.67 д (по 1Н, 2Нтиофена, J 4.0 Гц), 7.30–7.90 м (5Н, 4Наром, СН=), 8.12 д (1Н, CH=, J 14.7 Гц). Найдено: [М]+ 584.03. [С26Н35INS3]+. Вычислено: M + 584.10.
4-Хлорбензолсульфонат (E)-3-додецил-6,7-дийод-2-{2-[5-(метилтио)тиофен-2-ил]винил}бензо[d]тиазол-3-ия (20) получали из 0.20 г (0.25 ммоль) соли бензотиазолия 8 и 0.04 г (0.26 ммоль) альдегида 11 в 1 мл уксусного ангидрида, перемешивали 4 ч при 110°С, обрабатывали по общей методике. Выход 0.24 г (79%), красный порошок, т.пл. 168–170°С. ЭСП (CHCl3): lmax, нм (lg e): 519 (4.34). Спектр ЯМР 1H (400 МГц, CDCl3), δ, м.д.: 0.85 т (3H, СН3, J 6.8 Гц), 1.08–1.39 м (18H, 9СН2), 1.77–1.89 м (2H, СН2), 2.64 с (3H, SCH3), 4.89 т (2H, N–CH2, J 7.1 Гц), 7.20 д (2Наром, J 8.0 Гц,), 7.43 д (1H, СН=, J 15.1 Гц), 7.61 д (1Наром, J 8.8 Гц), 7.71 д (2H, Наром, J 7.4 Гц,), 7.73 д, 6.89 д (по 1Hтиофена, J 4.2 Гц), 7.98–8.04 м (2Н, =СН, 1Наром). Найдено: [М]+ 709.90. [C26H34I2NS3]+. Вычислено: M+ 709.99.
4-Хлорбензолсульфонат (E)-3-додецил-6,7-дийод-2-{2-[4-йод-5-(метилтио)тиофен-2-ил]винил}бензо[d]тиазол-3-ия (21) получали из 0.20 г (0.25 ммоль) соли бензотиазолия 8 и 0.07 г (0.26 ммоль) 4-йод-5-(метилтио)тиофен-2-карбоксальдегида (12) в 1 мл уксусного ангидрида в течение 5 ч при 110°С. Выход 0.24 г (79%), темно-красный порошок, т.пл. 130–135°С. ЭСП (CHCl3), lmax, нм (lg e): 430 (4.55). Спектр ЯМР 1H (400 МГц, CDCl3), δ, м.д.: 0.84 т (3H, СН3, J 6.9 Гц). 1.02–1.40 м (18H, 9СН2), 1.76–1.84 м (2H, СН2), 2.65 с (3H, SСН3), 4.91 т (2H, N–CH2, J 7.2 Гц), 7.22 м (2H, Наром), 7.51–7.60 м (2H, СН=, Наром), 7.78–7.71 м (3H, Нтиофен, 2Наром), 8.03 д (1H, Наром, J 8.8 Гц), 8.11 д (1H, CН=, J 15.1 Гц). Найдено: [М]+ 835.80. [C26H33I3NS3]+. Вычислено: M + 835.89.
ЗАКЛЮЧЕНИЕ
Синтезированы 2 серии йодсодержащих тиакарбоцианинов конденсацией п-хлорбензолсульфонатов 3-додецил-5-йод- и 3-додецил-6,7-дийод-2-метилбензотиазолия с 4-диметиламинобензальдегидом и 5-(метилтио)тиофен-2-карбоксальдегидом, а также с 4-йод-5-(метилтио)-тиофен-2-карбоксальдегидом. Исследованы спектральные характеристики полученных красителей. Введение атомов йода в акцепторную часть батохромно сдвигает максимум поглощения в соответствии с увеличением акцепторного характера бензотиазольного кольца. Атомы йода в донорной части тиофениленсодержащих красителей также приводят к красному сдвигу поглощения. Для красителей, содержащих 2 и более атомов йода, выявляется длинноволновое плечо поглощения в области 650–1000 нм, которое соответствует синглет-триплетному поглощению. Для соединений с одним атомом йода и без него интенсивность запрещённого перехода недостаточна для проявления в спектрах поглощения.
About the authors
I. A. Malakhov
N.N. Vorozhtsov Novosibirsk Institute of Organic Chemistry of the Siberian Branch of the Russian Academy of Sciences; Novosibirsk National Research State University
Author for correspondence.
Email: ona20083@mail.ru
Russian Federation, Novosibirsk; Novosibirsk
N. A. Orlova
N.N. Vorozhtsov Novosibirsk Institute of Organic Chemistry of the Siberian Branch of the Russian Academy of Sciences
Email: ona20083@mail.ru
Russian Federation, Novosibirsk
V. V. Shelkovnikov
N.N. Vorozhtsov Novosibirsk Institute of Organic Chemistry of the Siberian Branch of the Russian Academy of Sciences; Institute of Chemical Biology and Fundamental Medicine of the Siberian Branch of the Russian Academy of Sciences
Email: ona20083@mail.ru
Russian Federation, Novosibirsk; Novosibirsk
E. V. Vasilyev
N.N. Vorozhtsov Novosibirsk Institute of Organic Chemistry of the Siberian Branch of the Russian Academy of Sciences
Email: ona20083@mail.ru
Russian Federation, Novosibirsk
A. A. Chernonosov
Institute of Chemical Biology and Fundamental Medicine of the Siberian Branch of the Russian Academy of Sciences
Email: ona20083@mail.ru
Russian Federation, Novosibirsk
References
- Kabatc J., Jurek K. Colloid. Polym. Sci. 2014, 292, 3157–3168. doi: 10.1007/s00396-014-3343-4
- Choi J.K., D’Urso A., Trauernicht M., Shabbir-Hussain M., Holmes A.E., Balaz M. Int. J. Mol. Sci. 2011, 12, 8052–8062. doi: 10.3390/ijms12118052
- Кострюкова Л.В., Плютинская А.Д., Панкратов А.А., Короткевич Е.И., Прозоровский В.Н., Тихоно-ва Е.Г., Торховская Т.И., Терешкина Ю.А. Биомед. хим. 2019, 65, 507–512. [Kostryukova L.V., Plyutinskaya A.D., Pankratov A.A., Korotkevich E.I., Prozorovskiy, V.N., Tikhonova E.G., Torkhovskaya T.I., Teryoshkina Yu.A., Biochemistry (Moscow) Supplement. Ser. B: Biomed. Chem. 2020, 14, 174–179.] doi: 10.1134/S1990750820020080
- Ormond A.B., Freeman H.S. Materials. 2013, 6, 817–840. doi: 10.3390/ma6030817
- Ser J., Lee J.Y., Kim Y.H., Cho H. Int. J. Nanomed. 2020, 15, 5803–5811. doi: 10.2147/IJN.S254881
- Friães S., Lima E., Boto R.E., Ferreira D., Fernandes J.R., Ferreira L.F.V., Silva A.M., Reis L.V. Appl. Sci. 2019, 9, 5414–5433. doi: 10.3390/app9245414
- Martins T.D., Pacheco M.L., Boto R.E., Almeida P., Farinha J.P.S., Reis L.V. Dyes Pigments. 2017, 147, 120–129. doi: 10.1016/j.dyepig.2017.07.070
- Santos P.F., Reis L.V., Duarte I., Serrano J.P., Almeida P., Oliveira A.S., Ferreira L.F.V. Helv. Chim. Acta. 2005, 88, 1135–1143. doi: 10.1002/hlca.200590084
- Arunkumar E., Sudeep P.K., Kamat P.V., Nolla B.C., Smith B.D. New J. Chem. 2007, 31, 677–683. doi: 10.1039/B616224J
- Шелковников В.В., Пен Е.Ф., Ковалевский В.И., Васильев Е.В., Русских В.В., Герасимова Т.Н. Опт. и спектр. 2004, 97, 1034–1042. [Shelkovnikov V.V., Kovalevskii V.I., Vasil’ev E.V., Russkikh V.V., Gerasimova T.N., Pen E.F. Optics and Spectroscopy. 2004, 97, 970–977.] doi: 10.1134/1.1843960
- Salvador M.A., Reis L.V., Almeida P., Santos P.F. Tetrahedron. 2008, 64, 299–303. doi: 10.1016/j.tet.2007.11.004
- Racané L., Čičak H., Mihalić Z., Karminski-Zamola G., Tralić-Kulenović V. Tetrahedron. 2011, 67, 2760–2767. doi: 10.1016/j.tet.2011.02.037
- Nociarová J., Osuský P., Rakovský E., Georgiou D., Polyzos I., Fakis M., Hrobárik P. Org. Lett. 2021, 23, 3460–3465. doi: 10.1021/acs.orglett.1c00893
- Орлова Н.А., Колчина Е.Ф., Шакиров М.М., Герасимова Т.Н., Шелковников В.В. ЖОрХ. 2004, 74, 256–259. [Orlova N.A., Kolchina E.F., Shakirov M.M., Gerasimova T.N., Shelkovnikov V.V. Russ. J. Org. Chem. 2004, 40, 228–231.] doi: 10.1023/B:RUJO.0000034946.67023.70
- Khansole S.V., Mokle S.S., Sayyed M.A., Vibhute Y.B. J. Chin. Chem. Soc. 2008, 55, 871–874. doi: 10.1002/jccs.200800130
Supplementary files












