Современные каталитические методы получения производных 3-азабицикло[3.1.0]гексана
- Авторы: Барашкова К.А.1, Латышев Г.В.1, Котовщиков Ю.Н.1, Лукашев Н.В.1, Белецкая И.П.1
-
Учреждения:
- ФГБОУ ВО «Московский государственный университет им. М.В. Ломоносова», химический факультет
- Выпуск: Том 60, № 1 (2024)
- Страницы: 7-35
- Раздел: Статьи
- URL: https://journals.rcsi.science/0514-7492/article/view/272373
- DOI: https://doi.org/10.31857/S0514749224010011
- EDN: https://elibrary.ru/EOGGKV
- ID: 272373
Цитировать
Полный текст
Аннотация
Обзор обобщает достижения последних лет в синтезе 3-азабицикло[3.1.0]гексанов (3-АБГ) – гетероциклических систем, часто встречающихся в структуре молекул, способных воздействовать на разнообразные биологические мишени и активно используемых в дизайне лекарственных препаратов. Проведены классификация и анализ современных подходов к 3-АБГ, основанных на использовании комплексов переходных металлов, рассмотрены механизмы ключевых процессов. Представленные реакции включают создание 3-АБГ в результате аннелирования трех- или пятичленного циклов, а также многочисленные одностадийные синтезы из ациклических предшественников с помощью тандемных циклизаций.
Полный текст
Введение
Развитие новых рациональных подходов к синтезу биологически активных веществ является одним из наиболее важных направлений современной органической химии. Успехи в этой области в значительной степени связаны с разработкой доступных и эффективных методов молекулярного дизайна сложных органических молекул. Фрагмент 3-азабицикло[3.1.0]гексана (3-АБГ) довольно часто встречается в структуре различных природных и синтетических биоактивных соединений (схема 1). Среди веществ природного происхождения можно назвать алкалоид спорыньи циклоклавин [1] и антибиотик индолизомицин [2]. Примечательны также соединения группы дуокармицинов, [3], включающие и синтетические аналоги (например, адозелезин [4]), которые обладают высокой цитотоксичностью и выступают перспективными противоопухолевыми средствами. Известен также фторхинолоновый антибиотик широкого спектра действия тровафлоксацин [5].
Схема 1
Достаточно простые по структуре 1-арилзамещенные 3-АБГ являются эффективными ингибиторами обратного захвата серотонина, норадреналина и дофамина. К этой группе относятся анальгетик бицифадин [6], препарат для лечения синдрома дефицита внимания и гиперактивности центанафадин [7] и антидепрессант амитифадин [8]. Противовирусным действием обладают ингибиторы протеаз на основе родственных по структуре псевдопептидов, среди которых боцепревир (Виктрелис) [9] и нарлапревир (Арланса) [10], использующиеся при лечении гепатита C. Нирматрелвир [11] входит в состав лекарства Паксловид, одобренного FDA в 2021 г. для терапии пациентов с COVID-19.
Среди исследуемых производных 3-АБГ можно также отметить потенциальный иммуномодулятор — ингибитор Янус-киназ [12]; ингибиторы моноацилглицероллипазы [13] и киназы MAP3K12 [14], которые могут найти применение при лечении неврологических и нейродегенеративных заболеваний; препарат GSK598809 [15], являющийся ингибитором дофаминового рецептора D3 и способствующий преодолению алкогольной и наркотической зависимостей; перспективное средство BI-2545 [16] для лечения идиопатического легочного фиброза — редкого и на данный момент неизлечимого заболевания.
Помимо медицины, соединения на основе 3-АБГ находят применение в сельском хозяйстве. В частности, сукцинимидное производное процимидон (Сумилекс) [17] широко используется в качестве фунгицида уже около полувека.
Учитывая весьма богатый спектр физиологической активности производных 3-АБГ, неудивительно, что подходы к синтезу данных структур являются предметом пристального внимания химиков и освещены в двух обзорах [18, 19], последний из которых датируется 2016 г. Помимо этого, подходы к ним довольно часто обсуждаются в обзорных статьях, посвященных синтезу циклопропанов [20]. Анализ как архивной, так и текущей литературы показывает, что основной фокус усилий в этой области направлен на разработку реакций, катализируемых комплексами переходных металлов. Поэтому в данном обзоре мы сосредоточились на последних каталитических методах создания этого каркаса. В обзоре представлены достижения в этой области, начиная с 2017 г. и заканчивая началом 2023 г.
Циклизации 1,N-енинов и родственные реакции
Металл-катализируемая циклизация 1,5- и 1,6-енинов является одним из наиболее популярных методов создания 3-азабицикло[3.1.0]гексанового скелета. Это связано с удобством создания сразу двух циклов в одной реакции, а также с высокой доступностью исходных соединений. Как правило, взаимодействие металлокомплексных катализаторов с енинами протекает через образование металлокарбенов по нескольким основным путям (схема 2, А-С). В первом случае (путь A), характерном, например, для катионных комплексов золота, координация π-кислоты по тройной связи приводит к синхронной циклоизомеризации с образованием циклопропилкарбенового комплекса. Во втором случае (путь B), этот процесс асинхронный и генерация интермедиата — металлокарбена, содержащего двойную связь, происходит за счет реакций метатезиса или окисления π-комплекса металла с алкином. (2+2+1)-Циклоприсоединение комплекса металла с енином с образованием металлациклопентенов (путь C) является типичным путем реакции для соединений кобальта, рутения и родия. Наконец, тандемное тройное присоединение по Хеку, не включающее образование металлокарбеновых интермедиатов (путь D), характерно для палладия.
Схема 2
Циклопропилкарбеновые комплексы золота являются высокореакционноспособными интермедиатами [21], способными вступать в реакции, характерные как для карбенов, так и карбокатионов. Вследствие сильной делокализации заряда в циклопропилкарбеновом комплексе присоединение нуклеофильных частиц может происходить как с раскрытием циклопропанового цикла, так и без него.
Перехват циклопропилкарбенового комплекса золота, полученного из 1,6-енинов, можно осуществить при взаимодействии с дополнительной двойной связью, присутствующей в субстрате. Примеры подобного превращения в синтезе 3-АБГ были представлены с использованием содержащих терпеноидный фрагмент N-пропаргилтозиламидов (схема 3) [22]. В качестве катализатора использовался комплекс золота с трифенилфосфин-содержащим каликс[6]ареном, который, впрочем, не оказывал какого-либо специфического для макроциклического каркаса воздействия на ход реакции.
Схема 3
Диазосоединения также способны перехватывать циклопропилкарбеновые комплексы золота. Эта реакция протекает очень быстро, что позволяет практически полностью подавить нежелательные процессы изомеризации и получить винилзамещенные 3-АБГ (схема 4) [23, 24].
Схема 4
Циклопропилкарбеновые комплексы золота, так же как и другие типы золотых карбенов [25–27], вступают в реакцию внедрения по связи B–H аддуктов борана с аминами, что позволяет получать 3-АБГ, содержащие борильную группу (схема 5) [28].
Схема 5
Присоединение пиридин-N-оксидов к тройным связям, активированным Au(I), является удобным способом генерации α-оксо- золотых карбенов. В данном процессе довольно часто наблюдается переокисление карбена, приводящее к α-дикетону (схема 6). Использование слабонуклеофильных и стерически нагруженных N-оксидов препятствует этой побочной реакции [29]. Так, хорошие выходы 3-АБГ были получены при окислительном циклопропанировании 1,5-енинов в присутствии N-окиси метилпиколината (схема 7). Реакция протекает даже в том случае, когда двойная связь является частью ароматического кольца, хотя этот процесс осложняется перегруппировкой продукта в норкарадиен.
Схема 6
Схема 7
Циклоизомеризация диинил-инамидов прекрасно проходит и при использовании более доступной N-окиси пиридина (схема 8) [30].
Схема 8
Использование в качестве субстратов в этом процессе N-бензил- диинил-инамидов, содержащих электронодонорную группу, инициирует каскад реакций, включающий образование 3-АБГ с нарушением ароматичности и последующее электрофильное винилирование эфира енола (схема 9) [31].
Схема 9
В качестве окислителей комплексов алкинов с золотом можно использовать и другие частицы, содержащие уходящую группу, непосредственно связанную с нуклеофильным центром. К примеру, показано, что реакция 1,5-енинов в присутствии антранилов приводит к 3-АБГ, содержащим амидиновый фрагмент (схема 10) [32]. Процесс катализируется различными соединениями золота(I), но наиболее активным оказался комплекс золота(III) NaAuCl4·2H2O, дающий лучший выход продукта и лишь следовые количества замещенного 2-аминоиндола, являющегося продуктом внедрения золотого α-иминокарбена по ароматической связи C–H. Реакция проходит в очень мягких условиях, а выходы продуктов приближаются к количественным (>95%).
Схема 10
Аналогичную реакционную способность в окислении комплексов золота показывают и фуроксаны (схема 11) [33]. Формальный перенос нитрена протекает под действием комплекса Ph3PAuNTf2 при умеренном нагревании.
Схема 11
Оба представленных метода переноса нитрена удачно дополняются реакцией 1,5-енинов с сульфилиминами, катализируемой комплексом PicAuCl2 (схема 12) [34]. Эти реагенты позволяют получать продукты переноса произвольно замещенного арилнитрена.
Схема 12
Образование α-оксометаллокарбенов в реакциях алкинов с переходными металлами характерно не только для золота, но и для других элементов 11-й группы — меди и серебра. Так, нитрат серебра в присутствии окислителя (хлорной кислоты) оказывается более эффективным катализатором окислительного циклопропанирования диенонов, чем комплексы золота, меди и родия (схема 13) [35].
Схема 13
Похожий процесс протекает с содержащими алкеновый фрагмент пропиолимидами, которые при нагревании в присутствии нитрата серебра в DMSO на воздухе образуют 3-АБГ (схема 14) [36]. Предполагается, что источником кислорода в продукте является не DMSO или вода, а воздух. Из ограничений процесса стоит отметить необходимость наличия заместителя при α-углероде акриламидного фрагмента, а также резкое снижение выхода при наличии в нем же β-заместителя.
Схема 14
Окислительное циклопропанирование инамидов с успехом протекает при катализе катионным комплексом меди (схема 15) [37]. Несмотря на относительно высокие (по сравнению с типичными количествами для комплексов золота) количества катализатора, реакция протекает довольно хорошо с широким кругом субстратов и обладает высокой диастереоселективностью.
Возможности алкин-селективного метатезиса 1,6-енинов на рутениевых катализаторах, ранее успешно примененного для синтеза 3-АБГ [38, 39], были расширены новой реакцией димеризации-циклоизомеризации 1,6-енинов (схема 16) [40]. Взаимодействие рутениевого комплекса с алкином приводит к образованию винилиденметаллокарбена, вступающего в метатезис с тройной связью другой молекулы субстрата.
Схема 15
Схема 16
Рутениевая каталитическая система ([Cp*RuCl]4), способная стереоселективно гидрировать алкины в E-алкены, в некоторых случаях дает с 1,6-енинами продукты циклопропанирования (схема 17) [41–43]. Предположительно, реакция протекает через нечасто встречающийся процесс гем-дигидрирования алкина с образованием металлокарбена. Процесс циклопропанирования осложняется внутримолекулярным метатезисом ключевого интермедиата с элиминированием карбенового комплекса рутения, становящимся превалирующим для 1,2-дизамещенных алкенов. Данный подход к синтезу 3-АБГ на текущий момент ограничивается тремя примерами с енинами, содержащими аллильную и металлильную группы.
Схема 17
Этот же комплекс рутения катализирует образование борзамещенных 3-АБГ в реакции 1,6-енинов с пинаколбораном (HBPin) (схема 18). Квантовохимическое моделирование этого процесса на 1,N-енинах показало, что механизм образования конденсированной системы зависит от размера цикла [44]. Способность рутения образовывать стабильные металлациклопентены в случае 1,6-енинов приводит к превалированию этого направления реакции (схема 19, путь A). Последующая изомеризация комплекса и внедрение металлокарбена по связи B–H приводит к 3-АБГ. В случае 1,7- и 1,8-енинов такой путь превращения оказывается менее выгодным, чем взаимодействие HBPin с координированным по тройной связи комплексом, приводящее к вторичному металлокарбену и дальнейшему внутримолекулярному циклопропанированию (схема 19, путь B).
Схема 18
Схема 19
Образование металлациклопентенов в качестве интермедиатов было предложено в родий-катализируемой реакции 1,6-енинов, содержащих винилоксирановый фрагмент. Последующее восстановительное элиминирование, протекающее с участием эпоксидного кольца, приводит к продукту формального гетеро-(5+2)-циклоприсоединения (схема 20) [45]. Последующая самопроизвольная перегруппировка Кляйзена завершает образование 3-АБГ. Реакция катализируется карбеновыми и диеновыми комплексами Rh(I), протекает быстро в мягких условиях и обеспечивает получение полифункциональных соединений с высокими выходами и диастереоселективностью.
Схема 20
Реакция акцепторно-акцепторных диазосоединений с комплексом родия [Rh(COD)Cl]2 в присутствии лиганда dppp приводит к образованию 3-АБГ, содержащих винильную группу (схема 21) [46]. Интересно, что ни другие металлы (Ru, Ni, Pd), ни аналогичные предшественники родиевого катализатора ([Rh(C2H4)2Cl]2) не являются эффективными в этом процессе. С донорно-акцепторными диазосоединениями реакция протекает медленнее, что приводит к заметному снижению выходов. Предполагаемый механизм реакции включает селективный метатезис алкина с родиевым карбеноидом, образующимся из диазосоединения, и перехват металлокарбена двойной связью.
Схема 21
Внутримолекулярный перехват металлациклопентена, образующегося в результате взаимодействия 1,6-енина с родиевым катализатором, циклобутаноновым фрагментом приводит к раскрытию напряженного цикла (схема 22) [47]. Направление последующего карбородирования удается контролировать выбором фосфинового лиганда. Примечательно, что оба превращения удается провести с высокой диастерео- (обычно >20 : 1) и энантиоселективностью.
Схема 22
Интересный пример дивергентного тандемного аннелирования в присутствии катализатора Co(I) был показан для 1,11-диен-6-инов (схема 23) [48]. При уменьшении стерических требований лиганда ключевые интермедиаты — металлациклы — приобретают способность подвергаться β-гидридному элиминированию, что, в случае использования dppp, приводит к эквимолярной смеси изомерных 3-АБГ с высоким выходом. К сожалению, на текущий момент возможности этого превращения сильно ограничены чрезвычайно сильной чувствительностью к строению субстрата: добавление заместителей в исходные диенины приводит либо к смене основного продукта реакции, либо к полному подавлению процесса.
Схема 23
Аналогичная аномальная реакционная способность каталитической системы Co(I)-dppp приводит к региоизомерной смеси 3-АБГ при взаимодействии этилена с незамещенным 1,6-енином [49]. В случае субстратов с интернальной тройной связью в качестве основного продукта образуется пирролидин с экзоциклическим 1,3-диеновым фрагментом.
Тандемное присоединение по Хеку комплексов винилпалладия к алкенам может приводить к образованию циклопропанового кольца. Этот процесс может быть продемонстрирован на примере циклизации 2-галоген-1,6-диенов, окислительное присоединение Pd(0) к которым инициирует каскад присоединения к двойным связям субстрата, завершающийся борированием (схема 24) [50, 51].
Схема 24
Генерировать ключевой винилпалладиевый комплекс можно и из 1,6-енинов за счет селективного гидропалладирования тройной связи [52]. В тандемный процесс циклопропанирования — борирования вступает широкий круг субстратов, что позволяет получать различные производные 3-АБГ, в том числе каркасного строения (схема 25). Следует, однако, отметить, что выбор донора гидрида палладия существенно влияет на возможность протекания двойного присоединения по Хеку. Так, ранее было показано, что использование менее кислого метанола вместо уксусной кислоты в аналогичных условиях приводит к перехвату циклопентенового комплекса Pd(II) пинаколдибораном [53].
Схема 25
По-видимому, последовательность гидропалладирование — циклизация [54] протекает и при образовании побочного продукта в полном синтезе (±)-грасиламина (схема 26) [55]. В этом случае наряду с целевым продуктом внутримолекулярной Pd-катализируемой еновой реакции Альдера [56] образуются существенные количества 3-АБГ.
Схема 26
Аналогичную последовательность стадий можно продемонстрировать и на каталитическом цикле, включающем Pd(IV) (схема 27). Обработка 1,6-енинов комплексом Pd(II) в присутствии уксусной кислоты и окислителя (PIFA: PhI(OCOCF3)2) приводит к образованию 5-ацилзамещенных 3-АБГ [57]. Реакция протекает с хорошими выходами и энантиоселективностью (60–90% ee) в присутствии хирального бис(изоксазолинового) лиганда для субстратов, содержащих электронодефицитный алкен. Наилучшие выходы достигаются при синтезе исходных соединений in situ из соответствующих пропаргилсульфонамидов и аллилкарбонатов. Предполагаемый механизм реакции включает анти-ацетоксипалладирование тройной связи с последующим внедрением Pd(II) по двойной связи. Окисление Pd(II) до Pd(IV) способствует присоединению палладиевого комплекса к электронообогащенной двойной связи винилацетата.
Схема 27
Процесс присоединения алленилпалладия к алкенам, приводящий к производным циклопропанов [58–60], удалось провести с высокой энантиоселективностью (обычно более 90% ee) и очень хорошими выходами при использовании лиганда (S,S)-Norphos (схема 28) [61]. Прекурсорами алленилпалладиевых интермедиатов в данном методе выступают ацетаты пропаргиловых спиртов, как правило, третичных. В качестве перехватчика палладия для завершения каталитического цикла можно использовать как дифенилсилан (восстановительный вариант), так и различные терминальные алкины.
Схема 28
Внутримолекулярное и межмолекулярное циклопропанирование
Реакция каталитического циклопропанирования алкенов, использующая в качестве предшественника металлокарбена диазосоединения и их стабильные синтетические эквиваленты, является одним из базовых методов создания трехчленного цикла. Вовлечение в реакцию переходных металлов позволяет не только перейти к более мягким условиям, но и добиться высокой стереоселективности с помощью хиральных лигандов.
Классическим реагентом для создания циклопропанового фрагмента является диазометан. Несмотря на серьезные проблемы, связанные с его взрывоопасностью и токсичностью, в ряде случаев они компенсируются хорошей воспроизводимостью реакции и возможностью масштабирования. Так, приготовление борзамещенных циклопропанов на декаграммовые количества из диазометана в присутствии каталитических количеств Pd(OAc)2 [62] оказывается более удобным, чем двухстадийный подход на основе реакции Симмонса-Смита [63], дополнительно затрудненный сложной очисткой продукта от исходного соединения (схема 29A).
N-Тозилгидразоны являются легкодоступными реагентами, в основной среде легко превращающимися в диазосоединения. One-pot реакция палладий-катализируемого циклопропанирования малеимидов N-тозилгидразонами позволяет с высокими выходами и диастереоселективностью получать 6,6-дизамещенные 3-АБГ (схема 29B) [64]. Подход показал эффективность при масштабировании и был успешно применен для синтеза центрального фрагмента антагониста μ-опиоидных рецепторов CP-866087.
Схема 29
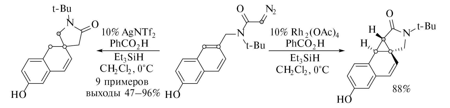
В отличие от тозилгидразонов и диазоацетатов, с участием диазоамидов известно не так много примеров реакций циклопропанирования [65–69]. Внутримолекулярная реакция непредельных диазоамидов Вайнреба в условиях рутениевого катализа позволяет разработать подход к бициклическим производным, открытым для дальнейших модификаций (схема 30) [70]. Высокая энантиоселективность циклопропанирования достигается при помощи фенилоксазолинового лиганда, содержащего тетраалкиламмонийную группу [71]. Растворимость этого комплекса в воде открывает возможность проведения реакции асимметрического внутримолекулярного циклопропанирования в двухфазной системе вода-Et2O. Простота выделения целевого продукта циклопропанирования из органической фазы позволяет повторно использовать катализатор до шести раз с минимальным снижением активности и стереоселективности [72].
Схема 30
В последнее время большой интерес проявляется к биокатализаторам на основе синтетических миоглобинов и металлоферментов. В частности, данные катализаторы показали эффективность в реакциях межмолекулярного циклопропанирования [73–75]. Недавно была продемонстрирована возможность участия мутантных миоглобиновых карбентрансфераз в стереодивергентных циклизациях аллилдиазоуксусных эфиров, протекающих с высоким выходом и энантиоселективностью [76]. Аналогичная внутримолекулярная циклизация N-аллилдиазоацетамидов потребовала дополнительной оптимизации, поскольку как различные природные катализаторы (миоглобин и другие гемопротеины), так и мутантные миоглобины, показали низкую каталитическую активность и энантиоселективность (схема 31) [77]. В результате систематической модификации аминокислотных остатков полости гема был разработан новый мутантный миоглобин Mb-(F43Y,H64V,V68A,I107V), обеспечивающий высокие выходы и прекрасную энантиоселективность (до >99% ee) циклопропанирования при использовании суспензии клеток в мягких условиях. Различные третичные амиды успешно вступают в реакцию без значительного влияния на выходы и стереоселективность процесса. В реакцию с низким выходом, но высокой энантиоселективностью могут вступать и вторичные амиды, которые часто являются проблематичными субстратами из-за отравления катализатора за счет прочной координации амида с металлом и конкуренции внедрения карбена по связи N–H.
Схема 31
Внутримолекулярная реакция Бюхнера может быть использована для асимметрического синтеза циклогептатриенов и их валентных таутомеров — норкарадиенов — в условиях родиевого катализа (схема 32) [78]. Объемные заместители в мета-положении, такие как сложноэфирная или фенильная группы, приводят к единственному норкарадиеновому региоизомеру с хорошим выходом и высокой энантиоселективностью. Продукт отвечает присоединению карбена с более замещенной стороны из двух доступных положений бензольного кольца.
Схема 32
Пример аналогичной внутримолекулярной деароматизации показан на диазоацетамидном производном β-нафтола в условиях катализа комплексами родия (схема 33) [79]. В то время как родиевый и медный карбеноиды имеют преимущественно ковалентный характер и приводят в значительной степени к продуктам циклопропанирования, аналогичный комплекс с серебром более электрофильный и имеет повышенную тенденцию к ипсо-атаке ароматического кольца.
Схема 33
Процесс раскрытия 1-сульфонил-1,2,3-триазолов с выделением азота, катализируемый комплексами родия, в последние годы привлекает все больший интерес, поскольку является мощным инструментом в синтезе различных карбо- и гетероциклов. Отдельное внимание было уделено каскадным циклизациям, приводящим к замещенным индолам и бензофуранам. Циклогексадиенон-содержащие N-сульфонил-1,2,3-триазолы при взаимодействии с карбоксилатами Rh(II) образуют высокореакционноспособные α-иминокарбеноиды, претерпевающие внутримолекулярное циклопропанирование. Последующий гидролиз имина приводит к формил-замещенным каркасным системам на основе 3-АБГ [80, 81] (схема 34). Следует отметить, что соответствующие трициклические производные 3-оксабицикло[3.1.0]гексана в условиях реакции претерпевают фрагментацию, приводящую в конечном итоге к производным бензофурана.
Схема 34
Наряду с диазосоединениями и их предшественниками, в качестве циклопропанирующих агентов можно использовать гем-дигалогениды в присутствии цинка (реакция Симмонса–Смита). Однако эффективность этого процесса сильно падает для реакций диметилциклопропанирования, которые протекают быстро и с высокими выходами только с субстратами, содержащими направляющие группы [82, 83]. Кобальтовые катализаторы позволяют решить эту проблему. Так, реакция 2,2-дихлорпропана с защищенным пирролином (схема 35) в присутствии металлического цинка, ZnBr2 и дииминного комплекса кобальта приводит к 3-АБГ с высоким выходом [84]. Метод применим и к другим циклическим и ациклическим алкенам, а также диенам, в случае которых селективно затрагивается лишь терминальная двойная связь.
Схема 35
Аннелирование к циклопропенам
Циклопропены являются сильнонапряженными и, как следствие, очень активными соединениями, склонными к присоединению 1,3-диполей, электрофилов и нуклеофилов по двойной связи. В синтезе 3-АБГ широкое применение нашли реакции (3+2)-циклоприсоединения с азометинилидами [85–89], которые протекают довольно легко. Существенной проблемой этого подхода является необходимость контроля над конфигурацией пяти образующихся стереоцентров. В то же время катализ этого процесса комплексами переходных металлов позволяет проводить их с большей диастереоселективностью, а также в асимметрическом варианте. Так, медь-катализируемое (3+2)-циклоприсоединение замещенных циклопропенов с азометин-илидами открывает подход к оптически активным производным 3-АБГ (схема 36). Было показано, что использование хиральных лигандов фосфинооксазолинового [90] или дифосфинового [91] типа позволяет контролировать стереоселективность процесса. Реакция циклоприсоединения оказывается совместима практически со всеми функциональными группами. Хорошие выходы и энантиоселективность достигаются даже для стерически затрудненного трифенилциклопропена.
Схема 36
Близость свойств тройной связи и крайне напряженной двойной связи в циклопропене позволяют использовать его как источник металлокарбенов при реакции с комплексами переходных металлов. Наличие в молекуле субстрата двойной связи в подходящем положении позволяет использовать такие соединения для синтеза 3-АБГ. Раскрытие трехчленного цикла может происходить с различной региоселективностью в зависимости от природы переходного металла. Так, комплексы золота атакуют 1-замещенные циклопропены с образованием терминального металлокарбена, что формально можно объяснить большей стабильностью третичного карбокатиона (схема 37) [92]. В случае же комплексов рутения дополнительная координация двойной связи в аддукте катализатора с циклопропеном приводит к региоселективному внедрению рутения по ближней более замещенной связи. Последующее раскрытие металлациклобутена приводит к более замещенному металлокарбену. На основе этих региодивергентных процессов был разработан подход к синтезу как производных метиленбицикло[4.1.0]гептанов (катализ AuCl), так и 3-АБГ (катализ Cp*Ru(cod)Cl). В зависимости от длины линкера рутениевый катализ также позволяет получать конденсированные с циклопропаном пяти-, шести- и семичленные бициклические производные с выходами от умеренных до высоких. Ограничением реакции является наличие двух заместителей у дистального положения двойной связи, приводящее исключительно к продуктам димеризации металлокарбена, а также введение двух групп в положение 3 циклопропенового кольца.
Схема 37
CH-активация
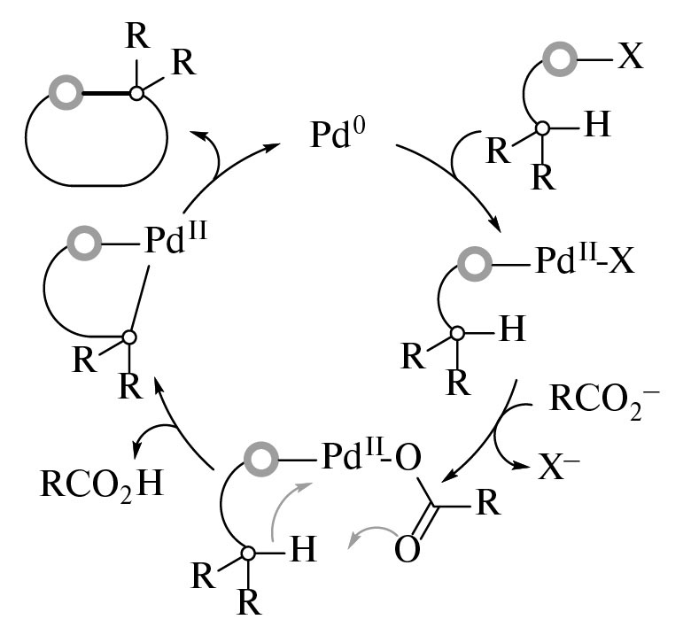
Функционализация неактивированных связей C(sp3)-H и C(sp2)-H является довольно сложной, но успешно решаемой в настоящее время задачей [93–95]. Наиболее часто для этого применяются палладиевые катализаторы, способные проводить такие превращения за счет внутримолекулярного циклометаллирования. Большинство подобных реакций внедрения основаны на использовании Pd(0) и электрофильных агентов, в качестве которых выступают арилгалогениды и арилтрифлаты [96, 97], более редко встречаются примеры использования винилгалогенидов, винилтрифлатов, хлорацетамидов и карбамоилхлоридов [98, 99]. Окислительное присоединение Pd(0) к (псевдо)галогениду генерирует активный комплекс Pd(II), выступающий металлирующим агентом. При этом в роли «встроенного» основания, удаляющего реагирующий протон, как правило, выступает карбоксилатный лиганд на Pd(II) (схема 38).
Схема 38
Внутримолекулярная CH-активация циклопропанового фрагмента с участием имидоилхлорида в присутствии комплекса Pd с хиральным диамидофосфитом открывает доступ к бициклическим кетиминам с высокой хемо- и энантиоселективностью. Получаемые соединения легко реагируют с широким спектром нуклеофилов, обеспечивая подход к важным строительным блокам, содержащим фторированные радикалы (схема 39) [100]. Интересно отметить, что хемоселективностью CH-активации для арилзамещенных субстратов можно управлять, выбирая подходящий лиганд.
Схема 39
Межмолекулярная CH-активация требует наличия в субстрате направляющих групп, способных координироваться с переходным металлом. Как правило, в их число входят различные азотсодержащие гетероциклы, содержащие донорный атом азота (хинолины, пиридины, 1,2,3-триазолы и т.д.), имины, оксимы и амиды. Так, в присутствии Pd(TFA)2 и хирального амидно-сульфоксидного лиганда можно энантиоселективно арилировать N-пентафторфениламид циклопропанкарбоновой кислоты (схема 40) [101]. Также впервые была показана возможность прямого алкинилирования циклопропанов при использовании в качестве электрофилов 1-алкинилиодидов. При этом реакция с 1-алкинилбромидом неожиданно приводит продукту присоединения амида к тройной связи алкинилциклопропана c образованием 3-АБГ.
Схема 40
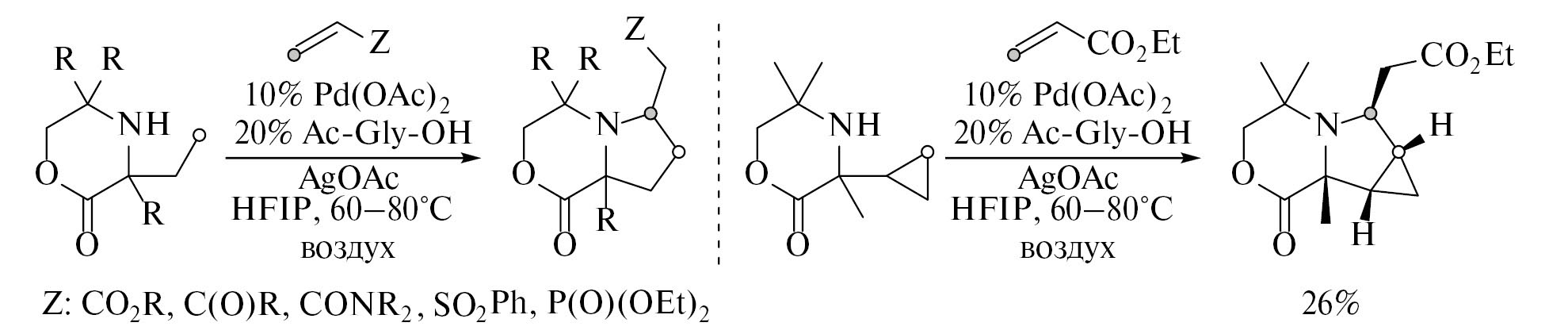
Использование незащищенной алифатической аминогруппы субстрата в качестве направляющей группы в Pd-катализируемом внедрении по связи C–H является проблематичным. Это обусловлено легким образованием малореакционноспособных и прочных бис(аминных) комплексов Pd(II), а также склонностью аминов к окислительной деструкции (с превращением в имины за счет β-гидридного элиминирования) в условиях реакции. Тем не менее в некоторых случаях реакцию удается провести, например, для замещенных морфолинонов [102] (схема 41). Однако при использовании циклопропильной группы вместо этильной выход 3-АБГ оказывается низким.
Схема 41
Несмотря на вышесказанное, CH-активация в циклопропане, содержащем первичную аминогруппу, успешно реализована при использовании бидентатного амидно-тиоэфирного лиганда, способствующего формированию активных комплексов типа амин-Pd(L⌒L)OCO2R, причем в асимметрическом варианте (схема 42) [103]. Энантиоселективная активация циклопропановых связей C–H возможна как в реакции с арилиодидами, предположительно протекающей через каталитический цикл Pd(II)-Pd(IV), так и в идущем через цикл Pd(II)-Pd(0) окислительном циклокарбонилированиии, приводящем к 3-АБГ.
Схема 42
Возможность внутримолекулярного аминокарбонилирования была также показана на амидах циклопропанкарбоновых кислот, содержащих направляющую 8-аминохинолиновую группу, при катализе соединениями кобальта (схема 43) [104–106]. Реакция проходит в довольно жестких условиях в присутствии бензоата натрия и карбоната серебра.
Схема 43
Несмотря на большое разнообразие известных подходов к CH-активации, внутримолекулярное сочетание двух C–H в гем-диалкильных группах долгое время не было реализовано. Недавно этот вариант был впервые использован для синтеза циклопропанов. Реакция основана на склонности соединений орто-этилзамещенных производных арилпалладия подвергаться 1,4-миграции [107] с образованием σ-алкилпалладиевого комплекса (схема 44). Последующая повторная CH-активация и восстановительное элиминирование приводят к производным циклопропана [108].
Схема 44
Использование в качестве основания пивалата является ключевым фактором, способствующим созданию циклопропанового кольца; альтернативные основания приводят к подавлению 1,4-миграции и образованию бензоциклобутенов. Было показано, что этот подход может быть применен и для синтеза 3-АБГ при использовании в качестве исходных соединений 3- и 2-(о-бромфенил)пирролидонов.
Окислительное циклопропанирование
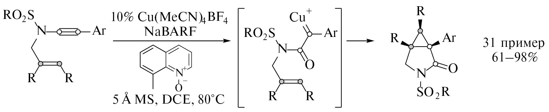
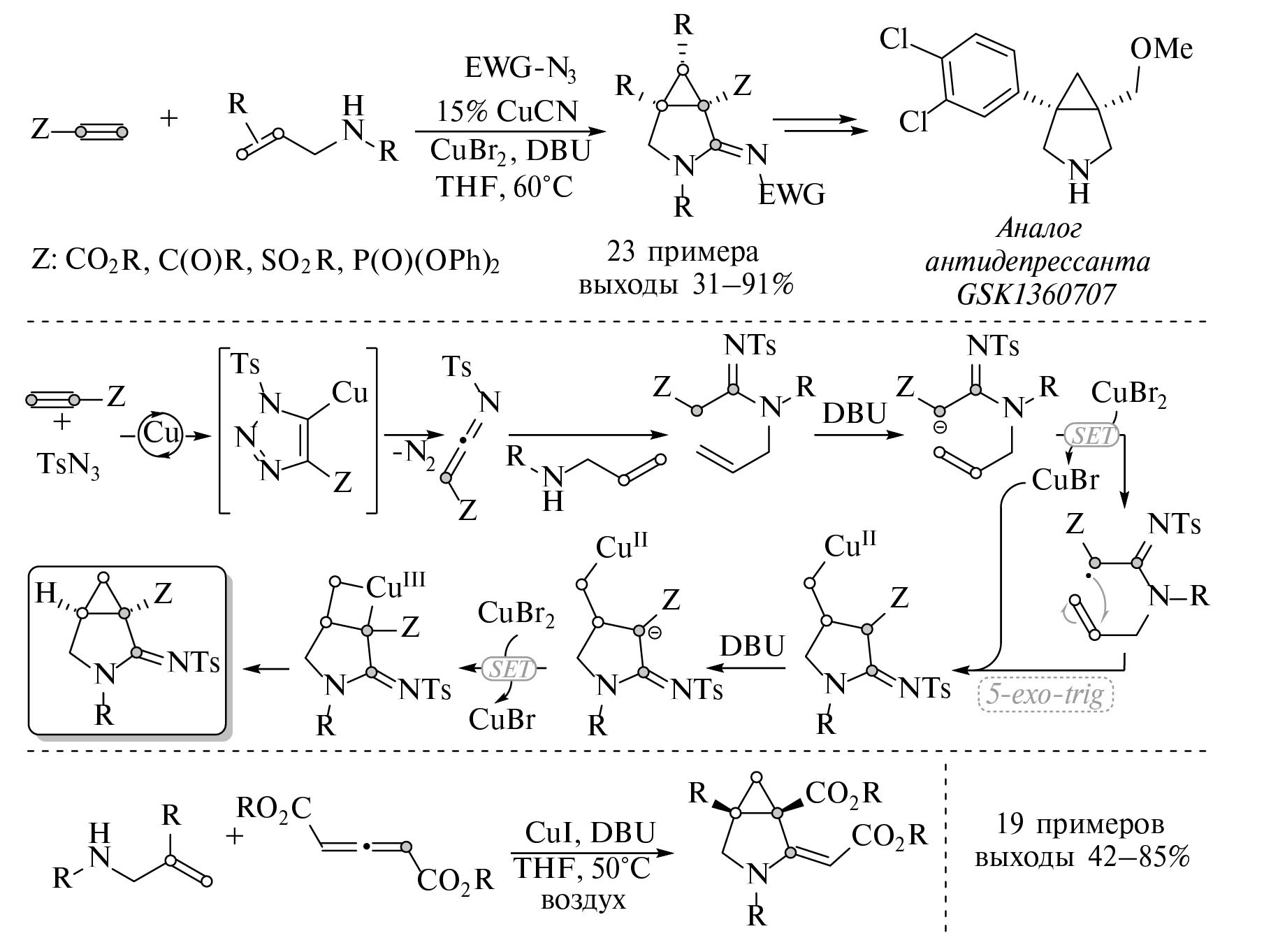
Формальное двухэлектронное окисление карбанионов в присутствии алкенов является довольно распространенным подходом к синтезу циклопропанов. Для получения циклопропан-конденсированных бициклических амидинов был предложен подход, сочетающий каталитическое окислительное циклопропанирование и медь-катализируемое диполярное циклоприсоединение [109] (схема 45). Реакция электроноакцепторных азидов и алкинов в присутствии каталитических количеств CuCN генерирует кетенимин, присоединяющий аллиламины с образованием амидинов, содержащих алкеновый и CH-кислотный фрагменты. Окисление карбаниона при действии CuBr2 инициирует радикальную циклизацию, приводящую после депротонирования, повторного окисления промежуточного купрата и восстановительного элиминирования (Cu(III) → Cu(I)), к биологически активным и фармацевтически важным каркасам 3-азабицикло[n.1.0]алканов в мягких условиях.
Схема 45
Аналогичный каскад превращений был продемонстрирован при введении в реакцию вместо кетениминов электроноакцепторных алленов [110] в присутствии избытка Cu(I) и кислорода воздуха. В результате образуются 3-АБГ, содержащие енаминовый фрагмент с экзо-циклической двойной связью.
Стехиометрическое количество переходного металла в данных процессах можно уменьшить до каталитического при использовании в качестве окислителя персульфата калия (схема 46). Эффективность метода может быть дополнительно улучшена за счет добавления иода в качестве активатора. Реакцию можно осуществлять при катализе CuBr2 [111], а также Ag2O [112]. Метод также позволяет получать трициклические производные, содержащие скелет 3-АБГ с хорошими выходами.
Схема 46
Круг субстратов реакции окислительного циклопропанирования может быть расширен и на другие CH-кислотные соединения. Так, N,O-, N,S- и N,N-ацетали кетенов вступают в циклизацию при комнатной температуре при действии избытка CuBr2 в DMF (схема 47) [113]. К сожалению, эту реакцию не удается сделать каталитической при использовании в качестве соокислителя PhIO2 [114]. В то же время циклизацию сульфонов, содержащих сложноэфирные и амидные функции, удается провести в каталитическом варианте в системе CuBr2/ди-трет-бутилпероксид без добавления основания [115]. По мнению авторов, подтвержденному расчетами методом функционала плотности, медный катализатор не принимает участия в радикальной 5-экзо-триг циклизации, а способствует лишь замыканию циклопропана за счет восстановительного элиминирования из интермедиата Cu(III).
Схема 47
Фоторедокс-катализ
Катализируемые видимым светом процессы в последнее время привлекают пристальное внимание исследователей. Поглощение света фотокатализатором вызывает его возбуждение с последующим одноэлектронным окислением/восстановлением (ET) субстрата или переносом на него энергии (eT) [116, 117]. Несмотря на прогресс в создании и применении органических фотокатализаторов [118], в том числе для синтеза 3-АБГ [119], комплексы иридия и рутения являются одними из самых популярных и универсальных фотокатализаторов.
Облучение диенинов белым светом в присутствии комплекса иридия [Ir{dFCF3ppy}2(tBubpy)]PF6 инициирует каскад циклизаций, приводящих к производным 3-АБГ в виде смеси 2 диастереомеров (схема 48) [120]. Предполагаемый механизм, подтвержденный расчетами методом функционала плотности, включает необычную двойную активацию субстрата катализатором, сначала за счет переноса энергии, а затем одноэлектронное окисление. После каскада радикальных циклизаций, скорее всего, происходит перенос цепи за счет одноэлектронного окисления субстрата образующимся катион-радикалом.
Схема 48
2-Бромзамещенные β-кетоамиды и кетоэфиры, содержащие двойную связь, под действием фотокатализатора [Ru(bpy)3]Cl2 превращаются в бициклические циклопропаны (схема 49) [121]. Реакция протекает в присутствии слабого основания 2,6-лутидина и бромида лития в мягких условиях. Предполагаемый авторами механизм превращения включает одноэлектронное восстановление субстрата, радикальную циклизацию и последующую атаку катиона, образующегося при окислении радикала комплексом Ru(III), на двойную связь енольной формы β-кетоамида(эфира).
Схема 49
Другие подходы
Интересный пример циклопропанирования наблюдался при нагревании дииодида, полученного радикальной циклизацией енина, в присутствии Pd(PPh3)4 и основания. Несмотря на то, что реакции Сузуки и Соногаширы проходят гладко и не затрагивают алкилиодид, в данном случае образуется циклопропан с умеренным выходом (схема 50) [122]. Механизм данного превращения на данный момент не ясен.
Схема 50
Диастерео- и энантиоселективный подход к 3-АБГ был предложен на основе последовательных реакций родий-катализируемого циклопропанирования акролеина [123] и иридий-катализируемого восстановительного аминирования (схема 51) [124]. Обе реакции совместимы с широким кругом субстратов, содержащих двойные связи, бензильные, (гетеро)арильные и циклопропильные группы, а также ароматические и алифатические атомы хлора, свободные амины и карбоновые кислоты. Относительная ориентация заместителя в циклопентановом кольце и циклопропанового фрагмента объясняется переносом гидрида с катализатора на стерически более доступную сторону субстрата.
Схема 51
ЗАКЛЮЧЕНИЕ
Современные синтетические подходы, основанные на достижениях в области металлокомплексного катализа, предоставляют уникальные возможности для эффективного конструирования бицикло[3.1.0]гексанов, а также их 3-аза-аналогов, весьма востребованных в медицинской химии. Данные методы активно развиваются в последние годы с привлечением все более широкого круга катализаторов, среди которых соединения Pd, Cu, Ag, Au, Ru, Rh, Co, Ir. Помимо классических реакций циклопропанирования и 1,3-диполярного циклоприсоединения, одними из наиболее интенсивно изучаемых являются тандемные циклизации, позволяющие создать целевой бициклический каркас в одну стадию из ациклического прекурсора. Большинство предложенных методов характеризуются высокой хемо-, регио- и стереоселективностью, при этом использование хиральных катализаторов позволяет достичь, как правило, хорошего, а в ряде случаев превосходного уровня энантиоконтроля. Дальнейшее развитие данной области вполне вероятно будет связано с поиском более дешёвых катализаторов, а также изучением возможности их повторного использования. Другим перспективным направлением, несомненно, выступает фотокатализ, применение которого для синтеза 3-АБГ пока пребывает лишь на начальной стадии.
Об авторах
К. А. Барашкова
ФГБОУ ВО «Московский государственный университет им. М.В. Ломоносова», химический факультет
Автор, ответственный за переписку.
Email: kotovshchikov@org.chem.msu.ru
ORCID iD: 0000-0003-2103-5985
Россия, Москва
Г. В. Латышев
ФГБОУ ВО «Московский государственный университет им. М.В. Ломоносова», химический факультет
Email: kotovshchikov@org.chem.msu.ru
Россия, Москва
Ю. Н. Котовщиков
ФГБОУ ВО «Московский государственный университет им. М.В. Ломоносова», химический факультет
Email: kotovshchikov@org.chem.msu.ru
Россия, Москва
Н. В. Лукашев
ФГБОУ ВО «Московский государственный университет им. М.В. Ломоносова», химический факультет
Email: kotovshchikov@org.chem.msu.ru
Россия, Москва
И. П. Белецкая
ФГБОУ ВО «Московский государственный университет им. М.В. Ломоносова», химический факультет
Email: kotovshchikov@org.chem.msu.ru
Россия, Москва
Список литературы
- Stauffacher D., Niklaus P., Tscherter H., Weber H.P., Hofmann A. Tetrahedron. 1969, 25, 5879–5887. doi: 10.1016/S0040-4020(01)83095-7
- Gomi S., Ikeda D., Nakamura H., Naganawa H., Yamashita F., Hotta K., Kondo S., Okami Y., Umezawa H., Iitaka Y. J. Antibiot. 1984, 37, 1491–1494. doi: 10.7164/antibiotics.37.1491
- Takahashi I., Takahashi K.-I., Ichimura M., Morimoto M., Asano K., Kawamoto I., Tomita F., Nakano H. J. Antibiot. 1988, 41, 1915–1917. doi: 10.7164/antibiotics.41.1915
- Li L.H., Kelly R.C., Warpehoski M.A., McGovren J.P., Gebhard I., DeKoning T.F. Invest. New Drugs. 1991, 9, 137–148. doi: 10.1007/BF00175081
- Gootz T.D., Zaniewski R., Haskell S., Schmieder B., Tankovic J., Girard D., Courvalin P., Polzer R.J. Antimicrob. Agents Chemother. 1996, 40, 2691–2697. doi: 10.1128/AAC.40.12.2691
- Epstein J.W., Brabander H.J., Fanshawe W.J., Hofmann C.M., McKenzie T.C., Safir S.R., Osterberg A.C., Cosulich D.B., Lovell F.M. J. Med. Chem. 1981, 24, 481–490. doi: 10.1021/jm00137a002
- Bymaster F.P., Golembiowska K., Kowalska M., Choi Y.K., Tarazi F.I. Synapse. 2012, 66, 522–532. doi: 10.1002/syn.21538
- Skolnick P., Popik P., Janowsky A., Beer B., Lippa A.S. Eur. J. Pharmacol. 2003, 461, 99–104. doi: 10.1016/S0014-2999(03)01310-4
- Venkatraman S., Bogen S.L., Arasappan A., Bennett F., Chen K., Jao E., Liu Y.-T., Lovey R., Hendrata S., Huang Y., Pan W., Parekh T., Pinto P., Popov V., Pike R., Ruan S., Santhanam B., Vibulbhan B., Wu W., Yang W., Kong J., Liang X., Wong J., Liu R., Butkiewicz N., Chase R., Hart A., Agrawal S., Ingravallo P., Pichardo J., Kong R., Baroudy B., Malcolm B., Guo Z., Prongay A., Madison V., Broske L., Cui X., Cheng K.-C., Hsieh Y., Brisson J.-M., Prelusky D., Korfmacher W., White R., Bogdanowich-Knipp S., Pavlovsky A., Bradley P., Saksena A.K., Ganguly A., Piwinski J., Girijavallabhan V., Njoroge F.G. J. Med. Chem. 2006, 49, 6074–6086. doi: 10.1021/jm060325b
- Reesink H., Bergmann J., De Bruijne J., Weegink C., Van Lier J., Van Vliet A., Keung A., Li J., O’Mara E., Treitel M., Hughes E., Janssen H., De Knegt R. J. Hepatol. 2009, 50, S35–S36. doi: 10.1016/S0168-8278(09)60088-X
- Hashemian S.M.R., Sheida A., Taghizadieh M., Memar M.Y., Hamblin M.R., Bannazadeh Baghi H., Sadri Nahand J., Asemi Z., Mirzaei H. Biomed. Pharmacother. 2023, 162, 114367. doi: 10.1016/j.biopha.2023.114367
- Fensome A., Ambler C.M., Arnold E., Banker M.E., Clark J.D., Dowty M.E., Efremov I.V., Flick A., Gerstenberger B.S., Gifford R.S., Gopalsamy A., Hegen M., Jussif J., Limburg D.C., Lin T.H., Pierce B.S., Sharma R., Trujillo J.I., Vajdos F.F., Vincent F., Wan Z.-K., Xing L., Yang X., Yang X. Bioorg. Med. Chem. 2020, 28, 115481. doi: 10.1016/j.bmc.2020.115481
- Zhang L., Butler C.R., Maresca K.P., Takano A., Nag S., Jia Z., Arakawa R., Piro J.R., Samad T., Smith D.L., Nason D.M., O’Neil S., McAllister L., Schildknegt K., Trapa P., McCarthy T.J., Villalobos A., Halldin C. J. Med. Chem. 2019, 62, 8532–8543. doi: 10.1021/acs.jmedchem.9b00847
- Patel S., Meilandt W.J., Erickson R.I., Chen J., Deshmukh G., Estrada A.A., Fuji R.N., Gibbons P., Gustafson A., Harris S.F., Imperio J., Liu W., Liu X., Liu Y., Lyssikatos J.P., Ma C., Yin J., Lewcock J.W., Siu M. J. Med. Chem. 2017, 60, 8083–8102. doi: 10.1021/acs.jmedchem.7b00843
- Micheli F., Arista L., Bonanomi G., Blaney F.E., Braggio S., Capelli A.M., Checchia A., Damiani F., Di-Fabio R., Fontana S., Gentile G., Griffante C., Hamprecht D., Marchioro C., Mugnaini M., Piner J., Ratti E., Tedesco G., Tarsi L., Terreni S., Worby A., Ashby C.R., Heidbreder C. J. Med. Chem. 2010, 53, 374–391. doi: 10.1021/jm901319p
- Kuttruff C.A., Ferrara M., Bretschneider T., Hoerer S., Handschuh S., Nosse B., Romig H., Nicklin P., Roth G.J. ACS Med. Chem. Lett. 2017, 8, 1252–1257. doi: 10.1021/acsmedchemlett.7b00312
- Zhang S., Li L., Meng G., Zhang X., Hou L., Hua X., Wang M. Sustainability. 2021, 13, 6712. doi: 10.3390/su13126712
- Krow G.R., Cannon K.C. Org. Prep. Proced. Int. 2000, 32, 103–122. doi: 10.1080/00304940009356278
- Ershov O.V., Bardasov I.N. Chem. Heterocycl. Compd. 2016, 52, 447–449. doi: 10.1007/s10593-016-1910-y
- Allouche E.M.D., Charette A.B. Synthesis. 2019, 51, 3947–3963. doi: 10.1055/s-0037-1611915
- Dorel R., Echavarren A.M. J. Org. Chem. 2015, 80, 7321–7332. doi: 10.1021/acs.joc.5b01106
- Giovanardi G., Balestri D., Secchi A., Cera G. Org. Biomol. Chem. 2022, 20, 6464–6472. doi: 10.1039/D2OB01074G
- Kale B.S., Lee H., Liu R. Adv. Synth. Catal. 2017, 359, 402–409. doi: 10.1002/adsc.201600980
- Wang Y.-J., Li X.-X., Chen Z. J. Org. Chem. 2020, 85, 7694–7703. doi: 10.1021/acs.joc.0c00146
- Yang J.-M., Zhao Y.-T., Li Z.-Q., Gu X.-S., Zhu S.-F., Zhou Q.-L. ACS Catal. 2018, 8, 7351–7355. doi: 10.1021/acscatal.8b02052
- Yang J.-M., Li Z.-Q., Li M.-L., He Q., Zhu S.-F., Zhou Q.-L. J. Am. Chem. Soc. 2017, 139, 3784–3789. doi: 10.1021/jacs.6b13168
- Zeineddine A., Rekhroukh F., Sosa Carrizo E.D., Mallet-Ladeira S., Miqueu K., Amgoune A., Bourissou D. Angew. Chem. Int. Ed. 2018, 57, 1306–1310. doi: 10.1002/anie.201711647
- Wang G., Wang Y., Li Z., Li H., Yu M., Pang M., Zhao X. Org. Lett. 2022, 24, 9425–9430. doi: 10.1021/acs.orglett.2c03812
- Sánchez-Cantalejo F., Priest J.D., Davies P.W. Chem. Eur. J. 2018, 24, 17215–17219. doi: 10.1002/chem.201804378
- Liu J., Zhu L., Wan W., Huang X. Org. Lett. 2020, 22, 3279–3285. doi: 10.1021/acs.orglett.0c01086
- Xia J., Liu J., Yu Y., Zhang J., Huang X. Org. Lett. 2022, 24, 4298–4303. doi: 10.1021/acs.orglett.2c01807
- Song L., Tian X., Rudolph M., Rominger F., Hashmi A.S.K. Chem. Commun. 2019, 55, 9007–9010. doi: 10.1039/C9CC04027G
- Shcherbakov N.V., Dar’in D.V., Kukushkin V.Yu., Dubovtsev A.Yu. J. Org. Chem. 2021, 86, 12964–12972. doi: 10.1021/acs.joc.1c01654
- Tian X., Song L., Rudolph M., Rominger F., Oeser T., Hashmi A.S.K. Angew. Chem. Int. Ed. 2019, 58, 3589–3593. doi: 10.1002/anie.201812002
- Munakala A., Gollapelli K.K., Nanubolu J.B., Chegondi R. Org. Lett. 2020, 22, 7019–7024. doi: 10.1021/acs.orglett.0c02555
- Chen X., Luo Z., Chen Y., Zhang Y. Org. Lett. 2022, 24, 9200–9204. doi: 10.1021/acs.orglett.2c03619
- Shen W.-B., Tang X.-T., Zhang T.-T., Lv D.-C., Zhao D., Su T.-F., Meng L. Org. Lett. 2021, 23, 1285–1290. doi: 10.1021/acs.orglett.0c04268
- Monnier F., Castillo D., Dérien S., Toupet L., Dixneuf P.H. Angew. Chem. Int. Ed. 2003, 42, 5474–5477. doi: 10.1002/anie.200352477
- Monnier F., Vovard-Le Bray C., Castillo D., Aubert V., Dérien S., Dixneuf P.H., Toupet L., Ienco A., Mealli C. J. Am. Chem. Soc. 2007, 129, 6037–6049. doi: 10.1021/ja0700146
- Gao M., Gao Q., Hao X., Wu Y., Zhang Q., Liu G., Liu R. Org. Lett. 2020, 22, 1139–1143. doi: 10.1021/acs.orglett.9b04662
- Guthertz A., Leutzsch M., Wolf L.M., Gupta P., Rummelt S.M., Goddard R., Farès C., Thiel W., Fürstner A. J. Am. Chem. Soc. 2018, 140, 3156–3169. doi: 10.1021/jacs.8b00665
- Peil S., Bistoni G., Goddard R., Fürstner A. J. Am. Chem. Soc. 2020, 142, 18541–18553. doi: 10.1021/jacs.0c07808
- Peil S., Guthertz A., Biberger T., Fürstner A. Angew. Chem. Int. Ed. 2019, 58, 8851–8856. doi: 10.1002/anie.201904256
- Tan Y., Li S., Song L., Zhang X., Wu Y., Sun J. Angew. Chem. Int. Ed. 2022, 61, e202204319. doi: 10.1002/anie.202204319
- Feng J.-J., Zhang J. ACS Catal. 2017, 7, 1533–1542. doi: 10.1021/acscatal.6b03399
- Huang J., Hu X., Chen F., Gui J., Zeng W. Org. Biomol. Chem. 2019, 17, 7042–7054. doi: 10.1039/C9OB01028A
- Hou S.-H., Yu X., Zhang R., Wagner C., Dong G. J. Am. Chem. Soc. 2022, 144, 22159–22169. doi: 10.1021/jacs.2c09814
- Suleymanov A.A., Vasilyev D.V., Novikov V.V., Nelyubina Y.V., Perekalin D.S. Beilstein J. Org. Chem. 2017, 13, 639–643. doi: 10.3762/bjoc.13.62
- Herbort J.H., Lalisse R.F., Hadad C.M., Rajan Babu T.V. ACS Catal. 2021, 11, 9605–9617. doi: 10.1021/acscatal.1c02530
- Liu W., Tong X. Org. Lett. 2019, 21, 9396–9400. doi: 10.1021/acs.orglett.9b03621
- Ghosh N., Maiereanu C., Suffert J., Blond G. Synlett 2017, 28, 451–455. doi: 10.1055/s-0036-1588658
- Sun D., Zhou B., Liu L., Chen X., Hou H., Han Y., Yan C., Shi Y., Zhu S. Org. Lett. 2023, 25, 4677–4681. doi: 10.1021/acs.orglett.3c01551
- Marco-Martínez J., López-Carrillo V., Buñuel E., Simancas R., Cárdenas D.J. J. Am. Chem. Soc. 2007, 129, 1874–1875. doi: 10.1021/ja0685598
- Mekareeya A., Walker P.R., Couce-Rios A., Campbell C.D., Steven A., Paton R.S., Anderson E.A. J. Am. Chem. Soc. 2017, 139, 10104–10114. doi: 10.1021/jacs.7b05436
- Gao N., Banwell M.G., Willis A.C. Org. Lett. 2017, 19, 162–165. doi: 10.1021/acs.orglett.6b03465
- Trost B.M., Lautens M., Chan C., Jebaratnam D.J., Mueller T. J. Am. Chem. Soc. 1991, 113, 636–644. doi: 10.1021/ja00002a036
- Chaki B.M., Takenaka K., Zhu L., Tsujihara T., Takizawa S., Sasai H. Adv. Synth. Catal. 2020, 362, 1537–1547. doi: 10.1002/adsc.202000044
- Grigg R., Rasul R., Redpath J., Wilson D. Tetrahedron Lett. 1996, 37, 4609–4612. doi: 10.1016/0040-4039(96)00889-1
- Oppolzer W., Pimm A., Stammen B., Hume W.E. Helv. Chim. Acta. 1997, 80, 623–639. doi: 10.1002/hlca.19970800302
- Böhmer J., Grigg R., Marchbank J.D. Chem. Commun. 2002, 768–769. doi: 10.1039/b110890e
- Huang X., Nguyen M.H., Pu M., Zhang L., Chi Y.R., Wu Y.-D., Zhou J.S. Angew. Chem. Int. Ed. 2020, 59, 10814–10818. doi: 10.1002/anie.202000859
- Kleban I., Krokhmaliuk Y., Reut S., Shuvakin S., Pen-dyukh V.V., Khyzhan O.I., Yarmoliuk D.S., Tymtsunik A.V., Rassukana Y.V., Grygorenko O.O. Eur. J. Org. Chem. 2021, 2021, 6551–6560. doi: 10.1002/ejoc.202000977
- Harris M.R., Li Q., Lian Y., Xiao J., Londregan A.T. Org. Lett. 2017, 19, 2450–2453. doi: 10.1021/acs.orglett.7b01097
- Chen P., Zhu C., Zhu R., Lin Z., Wu W., Jiang H. Org. Biomol. Chem. 2017, 15, 1228–1235. doi: 10.1039/C6OB02137A
- Doyle M.P., Loh K.-L., DeVries K.M., Chinn M.S. Tetrahedron Lett. 1987, 28, 833–836. doi: 10.1016/S0040-4039(01)81001-7
- Haddad N., Galili N. Tetrahedron: Asymmetry. 1997, 8, 3367–3370. doi: 10.1016/S0957-4166(97)00463-1
- Gross Z., Galili N., Simkhovich L. Tetrahedron Lett. 1999, 40, 1571–1574. doi: 10.1016/S0040-4039(98)02647-1
- Muthusamy S., Gunanathan C. Synlett. 2003, 1599–1602. doi: 10.1055/s-2003-40996
- Ueda J., Harada S., Kanda A., Nakayama H., Nemoto T. J. Org. Chem. 2020, 85, 10934–10950. doi: 10.1021/acs.joc.0c01580
- Mandour H.S.A., Chanthamath S., Shibatomi K., Iwasa S. Adv. Synth. Catal. 2017, 359, 1742–1746. doi: 10.1002/adsc.201601345
- Chanthamath S., Mandour H.S.A., Tong T.M.T., Shibatomi K., Iwasa S. Chem. Commun. 2016, 52, 7814–7817. doi: 10.1039/C6CC02498J
- Mandour H.S.A., Nakagawa Y., Tone M., Inoue H., Otog N., Fujisawa I., Chanthamath S., Iwasa S. Beilstein J. Org. Chem. 2019, 15, 357–363. doi: 10.3762/bjoc.15.31
- Matsuo T., Miyake T., Hirota S. Tetrahedron Lett. 2019, 60, 151226. doi: 10.1016/j.tetlet.2019.151226
- Zetzsche L.E., Narayan A.R.H. Nat. Rev. Chem. 2020, 4, 334–346. doi: 10.1038/s41570-020-0191-2
- Van Stappen C., Deng Y., Liu Y., Heidari H., Wang J. X., Zhou Y., Ledray A.P., Lu Y. Chem. Rev. 2022, 122, 11974–12045. doi: 10.1021/acs.chemrev.2c00106
- Chandgude A.L., Ren X., Fasan R. J. Am. Chem. Soc. 2019, 141, 9145–9150. doi: 10.1021/jacs.9b02700
- Ren X., Chandgude A.L., Fasan R. ACS Catal. 2020, 10, 2308–2313. doi: 10.1021/acscatal.9b05383
- Darses B., Maldivi P., Philouze C., Dauban P., Poisson J.-F. Org. Lett. 2021, 23, 300–304. doi: 10.1021/acs.orglett.0c03774
- Homma H., Harada S., Ito T., Kanda A., Nemoto T. Org. Lett. 2020, 22, 8132–8138. doi: 10.1021/acs.orglett.0c03110
- Sontakke G.S., Pal K., Volla C.M.R. J. Org. Chem. 2019, 84, 12198–12208. doi: 10.1021/acs.joc.9b01924
- Zhu C.-Z., Wei Y., Shi M. Org. Chem. Front. 2019, 6, 2884–2891. doi: 10.1039/C9QO00714H
- Stahl K., Hertzsch W., Musso H. Liebigs Ann. Chem. 1985, 1474–1484. doi: 10.1002/jlac.198519850718
- Charette A.B., Wilb N. Synlett. 2002, 176–178. doi: 10.1055/s-2002-19345
- Werth J., Uyeda C. Angew. Chem. Int. Ed. 2018, 57, 13902–13906. doi: 10.1002/anie.201807542
- Huo H., Gong Y. Org. Biomol. Chem. 2022, 20, 3847–3869. doi: 10.1039/D1OB02450G
- Molchanov A.P., Efremova M.M., Kuznetsov M.A. Russ. Chem. Bull. 2022, 71, 620–650. doi: 10.1007/s11172-022-3460-z
- Filatov A.S., Knyazev N.A., Molchanov A.P., Panikorovsky T.L., Kostikov R.R., Larina A.G., Boitsov V.M., Stepakov A.V. J. Org. Chem. 2017, 82, 959–975. doi: 10.1021/acs.joc.6b02505
- Filatov A.S., Wang S., Khoroshilova O.V., Lozovskiy S.V., Larina A.G., Boitsov V.M., Stepakov A.V. J. Org. Chem. 2019, 84, 7017–7036. doi: 10.1021/acs.joc.9b00753
- Shmakov S.V., Latypova D.K., Shmakova T.V., Rubinshtein A.A., Chukin M.V., Zhuravskii S.G., Knyazev N.A., Stepakov A.V., Galagudza M.M., Boitsov V.M. Int. J. Mol. Sci. 2022, 23, 10759. doi: 10.3390/ijms231810759
- Deng H., Yang W.-L., Tian F., Tang W., Deng W.-P. Org. Lett. 2018, 20, 4121–4125. doi: 10.1021/acs.orglett.8b01686
- Yuan Y., Zheng Z.-J., Ye F., Ma J.-H., Xu Z., Bai X.-F., Li L., Xu L.-W. Org. Chem. Front. 2018, 5, 2759–2764. doi: 10.1039/C8QO00761F
- López-Rodríguez A., Domínguez G., Pérez-Castells J. J. Org. Chem. 2019, 84, 924–933. doi: 10.1021/acs.joc.8b02849
- Rogge T., Kaplaneris N., Chatani N., Kim J., Chang S., Punji B., Schafer L.L., Musaev D.G., Wencel-Delord J., Roberts C.A., Sarpong R., Wilson Z.E., Brimble M.A., Johansson M.J., Ackermann L. Nat. Rev. Methods Primers. 2021, 1, 43. doi: 10.1038/s43586-021-00041-2
- He J., Wasa M., Chan K.S.L., Shao Q., Yu J.-Q. Chem. Rev. 2017, 117, 8754–8786. doi: 10.1021/acs.chemrev.6b00622
- Gandeepan P., Müller T., Zell D., Cera G., Warratz S., Ackermann L. Chem. Rev. 2019, 119, 2192–2452. doi: 10.1021/acs.chemrev.8b00507
- Nakanishi M., Katayev D., Besnard C., Kündig E.P. Angew. Chem. Int. Ed. 2011, 50, 7438–7441. doi: 10.1002/anie.201102639
- Saget T., Cramer N. Angew. Chem. Int. Ed. 2012, 51, 12842–12845. doi: 10.1002/anie.201207959
- Pedroni J., Cramer N. Angew. Chem. Int. Ed. 2015, 54, 11826–11829. doi: 10.1002/anie.201505916
- Dailler D., Rocaboy R., Baudoin O. Angew. Chem. Int. Ed. 2017, 56, 7218–7222. doi: 10.1002/anie.201703109
- Pedroni J., Cramer N. J. Am. Chem. Soc. 2017, 139, 12398–12401. doi: 10.1021/jacs.7b07024
- Jerhaoui S., Djukic J.-P., Wencel-Delord J., Colobert F. ACS Catal. 2019, 9, 2532–2542. doi: 10.1021/acscatal.8b04946
- He C., Gaunt M.J. Chem. Sci. 2017, 8, 3586–3592. doi: 10.1039/C7SC00468K
- Zhuang Z., Yu J.-Q. J. Am. Chem. Soc. 2020, 142, 12015–12019. doi: 10.1021/jacs.0c04801
- Barsu N., Bolli S.K., Sundararaju B. Chem. Sci. 2017, 8, 2431–2435. doi: 10.1039/C6SC05026C
- Williamson P., Galván A., Gaunt M.J. Chem. Sci. 2017, 8, 2588–2591. doi: 10.1039/C6SC05581H
- Barsu N., Kalsi D., Sundararaju B. Catal. Sci. Technol. 2018, 8, 5963–5969. doi: 10.1039/C8CY02060D
- Ma S., Gu Z. Angew. Chem. Int. Ed. 2005, 44, 7512–7517. doi: 10.1002/anie.200501298
- Clemenceau A., Thesmar P., Gicquel M., Le Flohic A., Baudoin O. J. Am. Chem. Soc. 2020, 142, 15355–15361. doi: 10.1021/jacs.0c05887
- Veeranna K.D., Das K.K., Baskaran S. Angew. Chem. Int. Ed. 2017, 56, 16197–16201. doi: 10.1002/anie.201708138
- Xu H., Han T., Luo X., Deng W.-P. Chin. J. Chem. 2021, 39, 666–670. doi: 10.1002/cjoc.202000405
- Veeranna K.D., Das K.K., Baskaran S. Org. Biomol. Chem. 2021, 19, 4054–4059. doi: 10.1039/D1OB00416F
- Veeranna K.D., Das K.K., Baskaran S. Chem. Commun. 2019, 55, 7647–7650. doi: 10.1039/C9CC03647D
- Huang F., Wu P., Yu Z. J. Org. Chem. 2020, 85, 4373–4385. doi: 10.1021/acs.joc.0c00093
- Toh K.K., Biswas A., Wang Y.-F., Tan Y.Y., Chiba S. J. Am. Chem. Soc. 2014, 136, 6011–6020. doi: 10.1021/ja500382c
- Wang Y., Shen S., He C., Zhou Y., Zhang K., Rao B., Han T., Su Y., Duan X.-H., Liu L. Chem. Sci. 2023, 14, 6663–6668. doi: 10.1039/D3SC01752D
- Twilton J., Le C., Zhang P., Shaw M.H., Evans R.W., MacMillan D.W.C. Nat. Rev. Chem. 2017, 1, 0052. doi: 10.1038/s41570-017-0052
- Chan A.Y., Perry I.B., Bissonnette N.B., Buksh B.F., Edwards G.A., Frye L.I., Garry O.L., Lavagnino M.N., Li B.X., Liang Y., Mao E., Millet A., Oakley J.V., Reed N.L., Sakai H.A., Seath C.P., MacMillan D.W.C. Chem. Rev. 2022, 122, 1485–1542. doi: 10.1021/acs.chemrev.1c00383
- Romero N.A., Nicewicz D.A. Chem. Rev. 2016, 116, 10075–10166. doi: 10.1021/acs.chemrev.6b00057
- Deng Y., Zhang J., Bankhead B., Markham J.P., Zeller M. Chem. Commun. 2021, 57, 5254–5257. doi: 10.1039/D1CC02016A
- Lanzi M., Santacroce V., Balestri D., Marchiò L., Bigi F., Maggi R., Malacria M., Maestri G. Angew. Chem. Int. Ed. 2019, 58, 6703–6707. doi: 10.1002/anie.201902837
- Ide K., Furuta M., Tokuyama H. Org. Biomol. Chem. 2021, 19, 9172–9176. doi: 10.1039/D1OB01733K
- Lu Y., Chen C., Zhu H., Luo Z., Zhang Y. Green Chem. 2022, 24, 8021–8028. doi: 10.1039/D2GC02058K
- Piou T., Rovis T. J. Am. Chem. Soc. 2014, 136, 11292–11295. doi: 10.1021/ja506579t
- Lahtigui O., Forster D., Duchemin C., Cramer N. ACS Catal. 2022, 12, 6209–6215. doi: 10.1021/acscatal.2c01827
Дополнительные файлы





















































