Kinetics and Mechanism of Allyl Chloride Epoxidation Using TS-1 as a Catalyst and Hydrogen Peroxide
- Authors: Pastukhova Z.Y.1, Katsman Е.А.1, Bruk L.G.1
-
Affiliations:
- MIREA – Russian Technological University, Lomonosov Institute of Fine Chemical Technologies
- Issue: Vol 65, No 5 (2024)
- Pages: 507-522
- Section: ПАМЯТИ ОЛЕГА НАУМОВИЧА ТЕМКИНА
- URL: https://journals.rcsi.science/0453-8811/article/view/283979
- DOI: https://doi.org/10.31857/S0453881124050014
- EDN: https://elibrary.ru/QWAAIU
- ID: 283979
Cite item
Full Text
Abstract
The kinetics of allyl chloride epoxidation with hydrogen peroxide at TS-1 catalyst has been studied. The kinetic data analysis allowed us to exclude only a part of the hypotheses about the mechanism, which were formulated on the basis of the available physico-chemical information about the structure of the TS-1 active center. The characteristics of the allyl chloride epoxidation process were compared with the characteristics of allyl alcohol epoxidation. In order to adequately describe the experimental data, it is necessary to take into account the strong binding of the active sites of the catalyst with hydrogen peroxide and epichlorohydrin. The Eley–Rideal type mechanism is recognized as an adequate kinetic model. Additional physico-chemical or computational data are needed to further discriminate the remaining hypotheses. Another way is to use additional information about the kinetics of by–products formation.
Full Text
Сокращения и обозначения: АХ – аллилхлорид; ПВ – пероксид водорода; ЭПХ – эпихлоргидрин; ГД – глицидол; АС – аллиловый спирт; X0 – активный центр катализатора; X1 – интермедиат, продукт адсорбции H2O2 на X0; X2 – продукт адсорбции алкена на X0; X3 – интермедиат, представляет собой X0, на котором одновременно адсорбировались пероксид водорода и алкен; X4 – продукт адсорбции эпоксида на X0; S – стандартная ошибка; – скорректированный коэффициент детерминации; W – скорость образования продукта; k – наблюдаемая константа скорости; С – концентрация.
ВВЕДЕНИЕ
Процесс эпоксидирования алкенов играет важную роль в синтезе многих полупродуктов крупнотоннажной химии, в тонком органическом синтезе, а также в производстве фармацевтических препаратов [1–5]. Постоянно появляются новые каталитические системы для процесса эпоксидирования олефинов [6–11]. В настоящее время одним из наиболее эффективных гетерогенных катализаторов жидкофазного окисления органических соединений различных классов [12–23] является промышленный титансиликалитный катализатор марки TS-1 [24]. Использование гетерогенных катализаторов Ti(IV)/SiO2, разработанных фирмой Shell, в процессе эпоксидирования пропилена с участием гидропероксида этилбензола являлось первой попыткой проведения жидкофазного эпоксидирования в присутствии гетерогенного катализатора. Позднее сообщалось о применении твердых титансиликалитных катализаторов эпоксидирования пероксидом водорода научными группами Лангендриса [25], Шелдона [26] и Клеричи [27]. До конца 1970-х гг. разработка катализаторов для окислительно-восстановительных реакций на основе молекулярных сит была ограничена введением ионов переходных металлов реакцией ионного обмена. Полученные материалы страдали от потери ионов в результате выщелачивания. Большой шаг в жидкофазном окислительном катализе был сделан в 1980-х гг., когда сотрудники компании “SnamProgetti” (“Eniricerche”) установили, что титансиликалитный катализатор TS-1, содержащий титан, частично заместивший кремний в решетке цеолита, является эффективным катализатором процессов окисления и, в частности, эпоксидирования алкенов [28, 29]. Выяснилось, что он нечувствителен к присутствию воды в реакционной смеси, что сделало возможным использование разбавленного (30 мас. %) водного раствора пероксида водорода в качестве “зеленого” окислителя. Традиционные катализаторы Ti(IV)/SiO2 были не эффективны в процессе эпоксидирования алкенов водным раствором H2O2 из-за сильного торможения реакции водой. Эти каталитические системы требовали применения высококонцентрированного пероксида водорода (>95 мас. %) для обеспечения высокой селективности процесса по эпоксиду и минимизации образования побочных продуктов. В исторически первых каталитических системах работают разные активные центры: система Ti(IV)/SiO2 содержит титанильные группы (Ti=O), TS-1 – тетраэдрический титан в узлах кристаллической решетки цеолита или в местах ее дефектов.
При наличии большого количества публикаций, посвященных разработке новых и улучшению существующих катализаторов, сравнительно немного исследований связано с изучением кинетики и механизма процесса эпоксидирования.
В подавляющем большинстве работ по исследованию кинетики и механизма процесса эпоксидирования алкенов на различных гетерогенных катализаторах в качестве приоритетного рассматривают классический вариант механизма Или–Ридила [30–41]. В этом варианте не учитывается предварительная координация алкена активным центром катализатора. Встречаются работы, в которых в качестве приоритетного механизма также определена модель Или–Ридила, при этом авторы предполагают образование неактивного комплекса алкена с металлом, но не включают его в каталитический цикл [42, 43]. В отдельных работах авторы обсуждают механизмы не только с предварительным образованием пероксокомплексов металла, но и со стадией координации алкена на активном центре, входящей в каталитический цикл (модель Ленгмюра–Хиншельвуда) [44–47].
Интересно отметить, что кинетика и механизм эпоксидирования алкенов с участием катализатора TS-1 на примере различных субстратов изучены с разной степенью детализации. Существует достаточное количество работ по эпоксидированию пропилена, в которых представлены кинетические модели, проведена их дискриминация, а также сформулированы наиболее вероятные механизмы процесса с использованием различных физико-химических методов анализа для подтверждения структур промежуточных комплексов, в которых Ti находится в системе [30, 31, 42, 44]. В случае применения в качестве субстрата аллилового спирта [45–47] или аллилхлорида [32, 33] существуют лишь отдельные примеры работ, в которых кинетика и механизм процесса исследованы детально. Ранее нашей научной группой с достаточной степенью детализации была изучена кинетика и предложен механизм процесса эпоксидирования аллилового спирта [48, 49].
Цель настоящей работы – установление механизма участия аллилхлорида в процессе его эпоксидирования водным раствором H2O2 на катализаторе марки TS-1 на основе рассмотрения множества гипотез о механизме с последующей их дискриминацией с использованием результатов целенаправленного кинетического эксперимента [50], а также с учетом имеющихся некинетических данных [51, 52].
ЭКСПЕРИМЕНТАЛЬНАЯ ЧАСТЬ
Эпоксидирование аллилхлорида водным раствором H2O2 в среде метанола с участием катализатора TS-1 проводили на лабораторной установке периодического действия в изотермическом режиме при интенсивном перемешивании суспензии мелкодисперсного катализатора (размер частиц – 300 нм), обеспечивающим протекание процесса в кинетической области. Более подробно с методикой можно ознакомиться в работе [49].
В ходе эксперимента определяли концентрацию пероксида водорода иодометрическим титрованием [53], концентрации аллилхлорида, эпихлоргидрина, а также качественно наличие побочных продуктов – методом газовой хроматографии (газовый хроматограф “Цвет” (Россия), детектор – катарометр, стеклянная насадочная колонка (3 м × 3 мм), заполненная хроматографической фазой 3% OV-17 на хроматоне-N-super, газ-носитель – гелий, расход газа-носителя – 35 мл/мин, изотермический режим разделения при 160°С, внутренний стандарт – этилбензоат).
Обработку кинетических данных проводили с использованием пакета программ “Кинетика” [54]. Для каждого гипотетического механизма записывали соответствующую ему систему дифференциальных уравнений (закон действия масс для каждой элементарной стадии) в специальном модуле программы. Решали обратную задачу для нахождения набора констант скорости для данного механизма. С использованием полученного набора констант решали прямую кинетическую задачу для получения расчетных значений текущих концентраций всех веществ и интермедиатов процесса. Для решения обратной кинетической задачи в пакете программ “Кинетика” методом конфигураций оптимизируется целевая функция вариацией значений неизвестных параметров (например, констант скорости), при этом для численного решения системы дифференциальных уравнений на каждой итерации используется алгоритм Гира. Алгоритм оценки адекватности моделей описан авторами ранее [48, 49].
Предварительный эксперимент
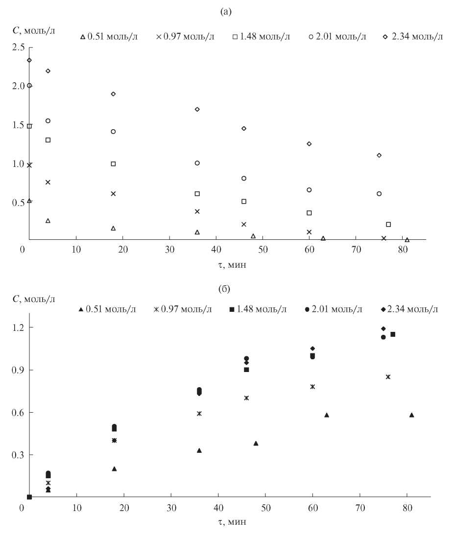
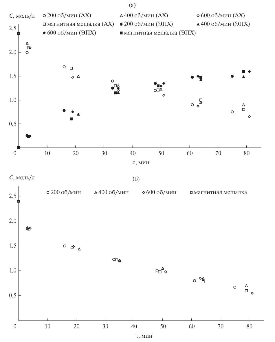
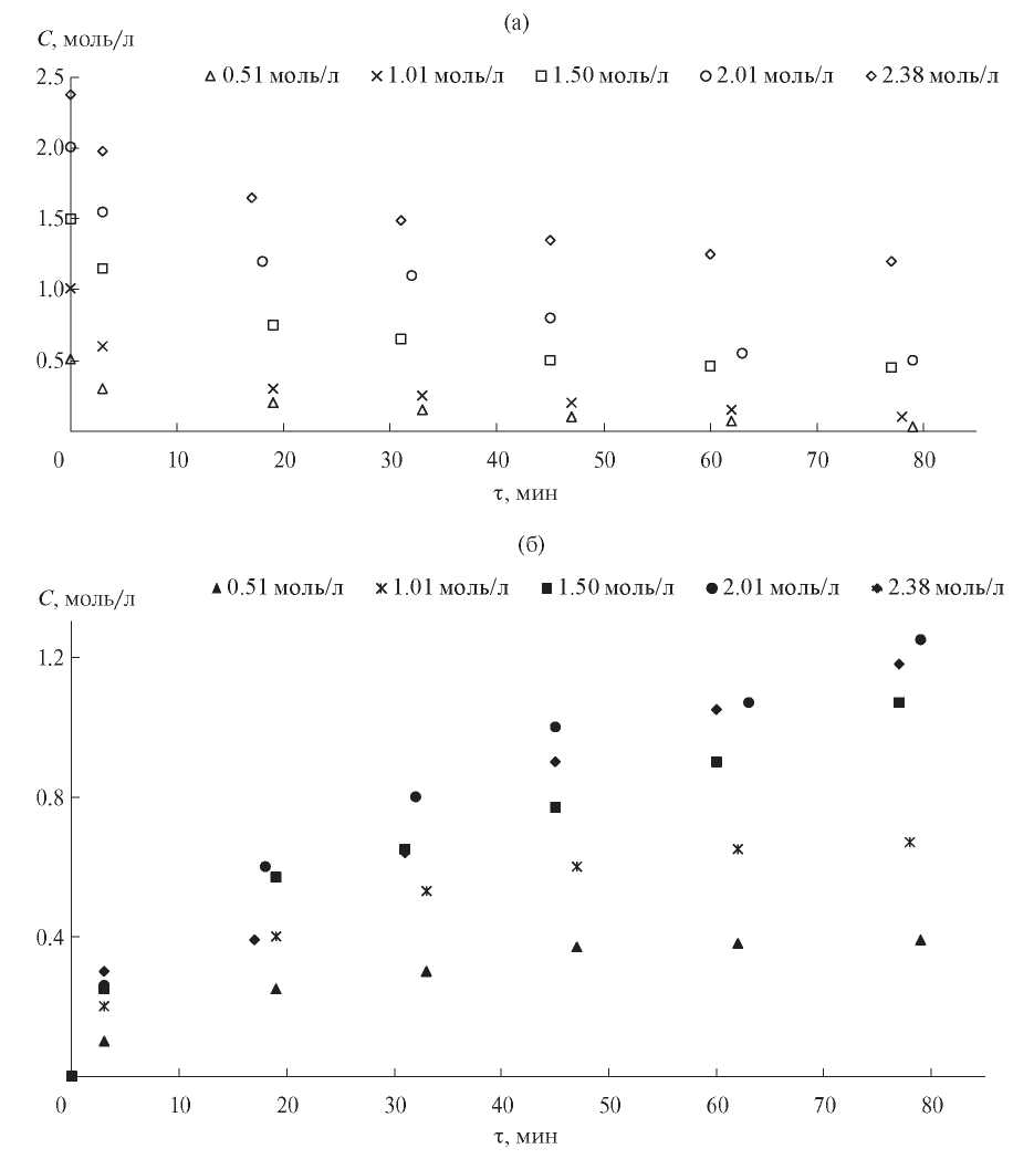
Проведена серия опытов с использованием механической и магнитной мешалок с целью определения области протекания процесса при температуре 20°С и начальных концентрациях аллилхлорида (АХ) и пероксида водорода (ПВ) 2.34 и 2.38 моль/л соответственно. Вид кинетических кривых изменения концентраций аллилхлорида, пероксида водорода и эпихлоргидрина (ЭПХ) в зависимости от времени протекания реакции представлен на рис. 1а и 1б и позволяет заключить, что процесс протекает в кинетической области.
Рис. 1. Кинетические кривые изменения концентраций аллилхлорида (АХ) и эпихлоргидрина (ЭПХ) (а) и пероксида водорода (б) во время протекания реакции.
РЕЗУЛЬТАТЫ И ИХ ОБСУЖДЕНИЕ
Изучение температурной зависимости
Изменение температуры в интервале 20–40°С приводит к существенному увеличению скорости процесса и конечной концентрации эпихлоргидрина (рис. 2). Для изучения кинетических закономерностей выбрана температура 20°С, при которой можно не учитывать переход части аллилхлорида в газовую фазу.
Рис. 2. Зависимость скорости образования эпихлоргидрина от температуры (С0АХ = 2.38 моль/л; С0ПВ = 2.38 моль/л).
Определена величина наблюдаемой энергии активации процесса Ea = 23.7 кДж/моль. Для процесса получения глицидола [49] данная величина составляла 35.9 кДж/моль, что говорит о большей зависимости скорости процесса от температуры.
Выдвижение гипотез о механизме процесса
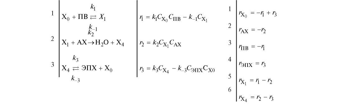
Основываясь на литературных данных и информации, полученной в результате предварительного эксперимента, сформулированы гипотетические механизмы эпоксидирования аллилхлорида пероксидом водорода на силикалите титана различной сложности (табл. 1).
Таблица 1. Гипотетические механизмы эпоксидирования аллилхлорида
Механизм 1 | Механизм 8 | ||||||||||||||||||||||
|
| ||||||||||||||||||||||
Механизм 2 | Механизм 9 | ||||||||||||||||||||||
|
| ||||||||||||||||||||||
Механизм 3 | Механизм 10 | ||||||||||||||||||||||
|
| ||||||||||||||||||||||
Механизм 4 | Механизм 11 | ||||||||||||||||||||||
|
| ||||||||||||||||||||||
Механизм 5 | Механизм 12 | ||||||||||||||||||||||
|
| ||||||||||||||||||||||
Механизм 6 | Механизм 13 | ||||||||||||||||||||||
|
| ||||||||||||||||||||||
Механизм 7 | Механизм 14 | ||||||||||||||||||||||
|
|
Примечание. X0 – активный центр катализатора, интермедиат X1 – продукт адсорбции H2O2 на X0, X2 – продукт адсорбции алкена на X0, интермедиат X3 представляет собой X0, на котором одновременно адсорибировались пероксид водорода и алкен, X4 – продукт адсорбции эпоксида на X0.
В ходе процесса наблюдается образование ряда побочных продуктов гидролиза и метанолиза эпихлоргидрина. При выдвижении гипотез побочные продукты не учитывали, т.к. их суммарная доля в материальном балансе по реагентам обычно не превышает нескольких процентов. На следующем этапе исследования, по-видимому, целесообразно будет усложнить гипотезы за счет включения стадий превращения эпихлоргидрина.
При формулировании гипотез принимали следующее:
1) эпоксид образуется при взаимодействии пероксида водорода и алкена на активном центре катализатора TS-1;
2) взаимодействие пероксида водорода и алкена с активным центром может происходить в любой последовательности, причем первый реагент координируется активным центром, а второй может адсорбироваться на том же или на другом таком же центре, а может взаимодействовать с первым реагентом из объема (механизм Или–Ридила); возможна реализация и механизма Ленгмюра–Хиншельвуда (взаимодействие молекул реагентов, связанных с одним и тем же или с двумя разными центрами катализатора TS-1).
Торможение скорости необратимого процесса эпоксидирования при увеличении концентраций реагентов и эпоксида происходит за счет связывания части активных центров X0 в интермедиаты процесса или в неактивные поверхностные соединения (X1–X4).
Для каждого механизма, записанного в виде совокупности элементарных стадий, были составлены системы дифференциальных уравнений с использованием закона действия масс. Для i-ой стадии была записана ее скорость в соответствии с законом действия масс, а скорости по каждому компоненту выражены через скорости стадий. В конечном итоге кинетическая модель представляла систему дифференциальных уравнений, описывающих скорость по каждому компоненту как функцию концентраций и констант скорости [54].
Дискриминация гипотез
Кинетические закономерности процесса эпоксидирования олефинов. Для дискриминации гипотетических механизмов кинетические закономерности эпоксидирования аллилхлорида были изучены методом однофакторного эксперимента. Проведено 4 серии экспериментов с варьированием концентраций аллилхлорида, пероксида водорода, эпихлоргидрина и воды. Исходные концентрации остальных компонентов при этом сохраняли постоянными, а количество растворителя (метанола) рассчитывали таким образом, чтобы объем смеси во всех опытах был одинаковым. Температуру поддерживали 20 ± 0.1°C, а количество катализатора и объем реакционной смеси были одинаковыми и равными 0.1016 г и 7.50 мл соответственно. Порядок проведения опытов выбирали случайным образом для устранения систематической погрешности.
При постоянной начальной концентрации пероксида водорода (C0ПВ = 2.38 моль/л) проведена серия специальных экспериментов для изучения влияния концентрации аллилхлорида на кинетику эпоксидирования (начальную концентрацию аллилхлорида (C0АХ) изменяли в диапазоне 0.50–2.34 моль/л). Кинетические кривые изменения концентраций аллилхлорида и продукта представлены на рис. 3а и 3б.
Рис. 3. Влияние изменения начальной концентрации аллилхлорида на его текущую концентрацию (а) и на образование эпихлоргидрина (б) (С0ПВ = 2.38 моль/л).
Увеличение начальной концентрации алкена приводит к росту начальной скорости образования продукта. Однако этот эффект практически исчезает при высоких значениях C0АХ. Зависимости для начальных концентраций аллилхлорида 1.48, 2.01 и 2.34 моль/л почти совпадают.
Проведен ряд экспериментов для исследования количественного влияния концентрации пероксида водорода на кинетику изучаемого процесса при постоянной величине C0АХ = 2.37 моль/л и при варьируемой C0ПВ (0.50–2.38 моль/л). Кинетические кривые расходования пероксида водорода и образования продукта представлены на рис. 4а и 4б.
Рис. 4. Влияние изменения начальной концентрации пероксида водорода на его текущую концентрацию (а) и на образование эпихлоргидрина (б) (С0АХ = 2.37 моль/л).
Повышение концентрации пероксида водорода приводит к росту начальной скорости реакции. Увеличение концентрации пероксида водорода свыше 2.00 моль/л не оказывает значительного влияния на скорость реакции (как и в случае добавок аллилхлорида).
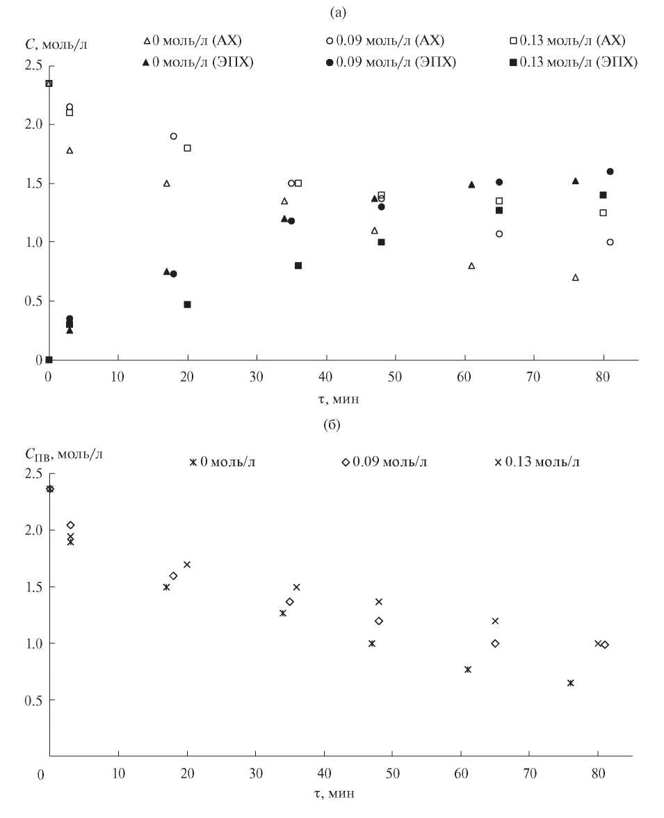
Также были выполнены эксперименты при постоянных C0АХ = 2.35 моль/л и C0ПВ = 2.37 моль/л и варьируемой начальной концентрации продукта (добавление в исходную смесь 0.09 моль/л и 0.13 моль/л ЭПХ, 0.00 моль/л – без добавки). Кинетические кривые изменения концентраций реагентов и продукта представлены на рис. 5а и 5б.
Рис. 5. Влияние добавок эпихлоргидрина к исходной смеси на расходование аллилхлорида и образование эпихлоргидрина (а), на расходование пероксида водорода (б) (С0АХ = 2.35 моль/л; С0ПВ = 2.37 моль/л).
Добавление эпихлоргидрина к исходной смеси при постоянных начальных концентрациях реагентов приводит к уменьшению скорости реакции.
Результаты экспериментов с варьированием концентраций реагентов и эпихлоргидрина свидетельствуют о возможности торможения скорости процесса за счет связывания активных центров катализатора участниками реакции. Разделить влияние концентраций реагентов и продукта на скорость реакции возможно в результате обработки кинетических зависимостей на основе оценки констант равновесия адсорбции участников реакции на активных центрах катализатора.
Для изучения количественного влияния концентрации воды на кинетику изучаемого процесса была проведена серия опытов при постоянных C0АХ = 1.00 моль/л, C0ПВ = 1.00 моль/л. Начальная концентрация воды в исходной системе при указанной начальной концентрации H2O2 составляла 4.12 моль/л. На рис. 6 представлены кинетические кривые образования эпихлоргидрина в зависимости от содержания воды, введенной дополнительно к исходной (добавленная концентрация воды 3.99 и 8.20 моль/л). Для сохранения постоянного объема системы содержание метанола уменьшали с 20.04 до 16.37 моль/л.
Рис. 6. Влияние концентрации воды на образование эпихлоргидрина (С0АХ = 1.00 моль/л; С0ПВ = 1.00 моль/л; С0H2O = 4.12 моль/л; 0.00 моль/л – не вносили воду в систему дополнительно, концентрация воды на начальный момент времени равна С0H2O; 3.99 моль/л – к С0H2O добавляли 3.99 моль/л воды; 8.20 моль/л – к С0H2O добавляли 8.20 моль/л воды).
Изменение начальной концентрации воды при постоянных начальных концентрациях реагентов не вызывает значительного изменения скорости реакции. Таким образом, из проведенной серии экспериментов следует, что в пределах использованных начальных концентраций вода не оказывает значительного влияния на кинетику процесса и среди возможных механизмов эпоксидирования следует рассматривать механизмы, не включающие стадии гидратации активных центров катализатора.
Дискриминация гипотез о механизме эпоксидирования аллилхлорида
На первом этапе расчетов в пакете программ “Кинетика” по степенной модели было получено степенное уравнение (1) для реакции эпоксидирования аллилхлорида пероксидом водорода:
, (1)
где W – скорость образования эпихлоргидрина; k – наблюдаемая константа скорости; Скат – содержание катализатора в растворе, моль/л; САХ, СПВ, СЭПХ – концентрации аллилхлорида, пероксида водорода и эпихлоргидрина соответственно, моль/л.
Аналогичные расчеты для процесса получения глицидола (ГД) [49] ранее привели к степенному уравнению вида (2):
, (2)
где W – скорость образования глицидола; k – наблюдаемая константа скорости; Скат – содержание катализатора в растворе, моль/л; САC, СПВ, СГД – концентрации аллилового спирта (АС), пероксида водорода и глицидола соответственно, моль/л.
Полученные наблюдаемые порядки по концентрациям реагентов и эпихлоргидрина близки к литературным данным [32] и показателям степеней для концентраций реагентов, оцененных для синтеза глицидола [49]. Для эпихлоргидрина показатель степени в два раза меньше, чем для глицидола, что свидетельствует о меньшем торможении им скорости эпоксидирования.
Результаты расчетов по моделям, которые соответствуют Гипотезам 1–14, представлены в табл. 2 для процесса получения эпихлоргидрина и в табл. 3 – для синтеза глицидола.
Из приведенных в табл. 2 и 3 данных следует, что Гипотезы 1–7, не учитывающие торможение скорости образования эпихлоргидрина при увеличении его концентрации, не позволяют получить удовлетворительное описание, однако в случае процесса эпоксидирования аллилхлорида оно значительно лучше по сравнению с описанием эпоксидирования аллилового спирта в глицидол. При переходе к моделям, учитывающим торможение скорости продуктом (модели 8–14), для всех случаев происходит улучшение качества описания. Тем не менее, если для синтеза глицидола удалось определить, что гипотетические механизмы 8 и 14 дают более качественное описание по совокупности двух статистических показателей (S и ), чем остальные гипотезы, то для синтеза эпихлоргидрина Гипотезы 8–14 дают примерно одинаковое качество совпадения расчетных кривых с экспериментальными зависимостями.
Таблица 2. Результаты статистической обработки кинетических данных в соответствии с Гипотезами 1–14 (лучшие приближения) для процесса получения эпихлоргидирина*
Число опытов | Гипотеза | p | S, % | |
24 | 1 | 3 | 14.16 | 0.915 |
2 | 3 | 14.15 | 0.925 | |
3 | 6 | 13.62 | 0.942 | |
4 | 5 | 14.16 | 0.913 | |
5 | 5 | 14.15 | 0.936 | |
6 | 10 | 13.54 | 0.980 | |
7 | 5 | 14.12 | 0.922 | |
8 | 5 | 11.50 | 0.995 | |
9 | 5 | 11.57 | 0.990 | |
10 | 8 | 11.38 | 0.989 | |
11 | 7 | 11.48 | 0.991 | |
12 | 7 | 11.55 | 0.988 | |
13 | 12 | 11.60 | 0.991 | |
14 | 7 | 11.58 | 0.995 |
* – число варьируемых параметров для данной модели, – стандартная ошибка, – скорректированный коэффициент детерминации.
Таблица 3. Результаты статистической обработки кинетических данных в соответствии с Гипотезами 1–14 (лучшие приближения) для процесса получения глицидола*
Число опытов | Гипотеза | p | S, % | |
12 | 1 | 3 | 23.60 | 0.904 |
2 | 3 | 23.58 | 0.904 | |
3 | 6 | 23.14 | 0.936 | |
4 | 5 | 23.61 | 0.943 | |
5 | 5 | 23.58 | 0.943 | |
6 | 10 | 22,67 | 0.947 | |
7 | 5 | 23,61 | 0.924 | |
8 | 5 | 11.53 | 0.972 | |
9 | 5 | 12.55 | 0.976 | |
10 | 8 | 12.07 | 0.981 | |
11 | 7 | 12.27 | 0.972 | |
12 | 7 | 12.55 | 0.976 | |
13 | 12 | 20.52 | 0.981 | |
14 | 7 | 10.53 | 0.982 |
* – число варьируемых параметров для данной модели, – стандартная ошибка, – скорректированный коэффициент детерминации.
Известно, что процесс эпоксидирования на титане с участием пероксида водорода происходит с переносом α-кислорода, как и при катализе соединениями переходных металлов в высоких степенях окисления (Mo, V, W, Re) (схема 1) [13, 55–58]. Однако в случае Ti переносу кислородного атома способствует наличие в реакционной смеси протонных растворителей, таких как спирты или вода, что делает возможным использование разбавленного пероксида водорода в качестве “зеленого” окислителя.
Схема 1. Гидропероксидный механизм эпоксидирования на титансодержащих катализаторах.
В связи с этим простой трехстадийный механизм 8 (Или–Ридила), не включающий стадии адсорбции аллилхлорида (схема 2), считаем предпочтительным для решения практических задач оптимизации условий процесса, расчета оборудования и т.д.
Схема 2. Предполагаемый механизм (модель Или–Ридила) для процесса эпоксидирования аллилхлорида на катализаторе TS-1 (показан фрагмент структуры катализатора, включающий активный центр и связанные с ним группы).
С качеством соответствия рассчитанных по модели и экспериментально полученных концентраций на примере пероксида водорода можно ознакомиться на рис. 7 для Гипотезы 8 (процесс эпоксидирования аллилхлорида). Угол на рис. 7 ограничивает экспериментальную погрешность величиной ±12%.
Рис. 7. Соответствие рассчитанных по модели 8 и экспериментально полученных концентраций пероксида водорода для всех экспериментов (реакция эпоксидирования аллилхлорида).
С более детальными данными по расчету Гипотезы 8 для процессов эпоксидирования аллилхлорида и аллилового спирта можно ознакомиться в дополнительных материалах (табл. А и Б).
Константа равновесия координации эпихлоргидрина активным центром (адсорбции) по результатам оценки констант скоростей для гипотетического механизма 8 составляет 7.46 л/моль.
В табл. 4 приведены рассчитанные аналогичным образом константы равновесия адсорбции для пероксида водорода, аллилхлорида и аллилового спирта, а также глицидола, оцененные по результатам эксперимента. Константы равновесия координации для аллилхлорида и аллилового спирта были вычислены для механизма 14, поскольку в механизме 8 отсутствует эта стадия – для этих различных субстратов получены величины одного порядка.
Таблица 4. Константы равновесия адсорбции участников реакции эпоксидирования аллилхлорида и аллилового спирта [49], рассчитанные на основе результатов оценивания констант скоростей этих процессов (механизм 8)
Реакция эпоксидирования (алкен) | Константа равновесия адсорбции реагентов, л/моль | Константа равновесия адсорбции эпоксида, л/моль | |
Н2О2 | алкен* | ||
Аллилхлорид | 2.44 | 2.34 × 10–3 | 7.46 |
Аллиловый спирт | 1.90 | 5.62 × 10–3 | 2.17 × 105 |
*Константы равновесия адсорбции субстрата рассчитаны для гипотетического механизма 14.
Константы равновесия адсорбции для пероксида водорода близки и почти не зависят от природы алкена, что может свидетельствовать о наличии в этих величинах физического смысла. Оцененные величины констант равновесия адсорбции для продуктов различаются на пять порядков (в пользу глицидола), что коррелирует с большим в 2 раза отрицательным порядком по глицидолу в степенном уравнении (2). Данный факт указывает на образование гораздо более устойчивого комплекса глицидола с активным центром катализатора и согласуется с более сильным торможением процесса продуктом в случае эпоксидирования аллилового спирта.
Значения констант адсорбции для аллилхлорида и аллилового спирта, как минимум, на три порядка меньше, чем константы адсорбции для пероксида водорода и продуктов эпоксидирования. Комплекс субстрата с титаном активного центра существенно менее устойчив, чем экспериментально зафиксированные комплексы пероксида водорода. Приведенные данные находятся в согласии с порядками для аллилхлорида и аллилового спирта в степенных уравнениях.
ЗАКЛЮЧЕНИЕ
Изучение кинетических закономерностей эпоксидирования аллилхлорида позволило исключить из рассмотрения только часть гипотетических механизмов этого процесса, выдвинутых на основе имеющейся физико-химической информации о строении активного центра титансиликалита TS-1.
Наиболее важной особенностью механизма и соответствующей ему модели, необходимой для обеспечения адекватного описания экспериментальных данных, оказался учет сильного связывания активных центров катализатора пероксидом водорода и основным продуктом реакции – эпихлоргидрином. В целом, кинетические закономерности оказались достаточно просты и не позволили исключить из рассмотрения примерно половину гипотетических механизмов. Для дальнейшей дискриминации оставшихся гипотез необходимы дополнительные данные физико-химического или расчетного характера. Другой путь – использование дополнительной информации о кинетике образования побочных продуктов превращения реагентов и эпихлоргидрина.
Адекватная кинетическая модель, полученная на основе простого механизма 8, может применяться для решения прикладных задач, связанных с оптимизацией условий процесса, расчетом оборудования и разработкой системы управления процессом получения эпихлоргидрина.
БЛАГОДАРНОСТИ
Работа выполнена в рамках инициативной тематики (197-ИТХТ) на средства РТУ МИРЭА с использованием оборудования Центра коллективного пользования (ЦКП) РТУ МИРЭА, получившего поддержку Министерства науки и высшего образования Российской Федерации в рамках соглашения от 01.09.2021 № 075-15-2021-089.
КОНФЛИКТ ИНТЕРЕСОВ
Авторы заявляют об отсутствии конфликта интересов, требующего раскрытия в данной статье.
ДОПОЛНИТЕЛЬНЫЕ МАТЕРИАЛЫ
Гипотеза 8 (получение эпихлоргидрина)
Сокращения: X0 – активный центр катализатора, интермедиат X1 – продукт адсорбции H2O2 на X0, X2 – продукт адсорбции алкена на X0, интермедиат X3 представляет собой X0, на котором одновременно адсорибировались пероксид водорода и алкен, X4 – продукт адсорбции эпоксида на X0.
Таблица А. Лучшие расчетные значения констант скорости для модели 8 (получение ЭПХ)
Константа | Лучшее приближение |
k1 | 2.950 × 101 |
k–1 | 1.208 × 101 |
k2 | 1.325 × 101 |
k3 | 6.768 × 105 |
k–3 | 5.046 × 106 |
Примечание. S = 11.50%, = 0.995.
Гипотеза 8 (получение глицидола)
Таблица Б. Лучшие расчетные значения констант скорости для модели 8 (получение ГД)
Константа | Лучшее приближение |
k1 | 1.195 × 106 |
k–1 | 6.276 × 105 |
k2 | 6.747 × 104 |
k3 | 4.586 × 104 |
k–3 | 9.969 × 109 |
Примечание. S = 11.53%, = 0.972.
About the authors
Z. Yu. Pastukhova
MIREA – Russian Technological University, Lomonosov Institute of Fine Chemical Technologies
Author for correspondence.
Email: pastuhova@mirea.ru
Russian Federation, 86 Vernadsky Ave., Moscow, 119571
Е. А. Katsman
MIREA – Russian Technological University, Lomonosov Institute of Fine Chemical Technologies
Email: pastuhova@mirea.ru
Russian Federation, 86 Vernadsky Ave., Moscow, 119571
L. G. Bruk
MIREA – Russian Technological University, Lomonosov Institute of Fine Chemical Technologies
Email: pastuhova@mirea.ru
Russian Federation, 86 Vernadsky Ave., Moscow, 119571
References
- Wróblewska A., Fajdek A. // J. Hazard. Mater. 2010. V. 179. № 1. P. 258.
- Sonnati M.O., Amigoni S., Tafn de Givenchy E.P., Darmanin T., Choulet O., Guittard F. // Green Chem. 2013. V. 15. № 2. P. 283.
- Russo V., Tesser R., Santacesaria E., Di Serio M. // Ind. Eng. Chem. Res. 2013. V. 52. P. 1168.
- Cucciniello R., Pironti C., Capacchione C., Proto A., Di Serio M. // Catal. Commun. 2016. V. 77. P. 98.
- Seiwert J., Leibig D., Kemmer-Jonas U., Bauer M., Perevyazko I., Preis J., Frey H. // Macromolecules. 2016. V. 49. № 1. P. 38.
- García-Aguilar J., Fernández-Catalá J., Juan-Juan J., Such-Basáñez I., Chinchilla L.E., Calvino-Gámez J.J., Cazorla-Amorós D., Berenguer-Murcia Á. // J. Catal. 2020. V. 386. P. 94.
- Salonen P., Schachner J.A., Peuronen A., Lahtinen M., Belaj F., Mösch-Zanetti N.C., Lehtonen A. // J. Mol. Catal. 2023. V. 540. Art. 113034.
- He Q., Pu M.-P., Jiang Zh., Wang H., Feng X., Liu X. // J. Am. Chem. Soc. 2023. V. 145. № 28. P. 15611.
- Ji S., Cao G.-P., Lv H., Gao P., Wang C.-X. // J. Mol. Catal. 2024. V. 564. 114319.
- Gomes D.M., Yao X., Neves P., Pinna N., Russo P.A., Valente A.A. // Catal. Sci. Technol. 2024. V. 14. P. 646.
- Курганова Е.А., Фролов А.С., Канаев С.А., Кошель Г.Н., Петухов А.А., Рыбина Г.В., Плахтинский В.В., Кабанова В.С., Смурова А.А. // Тонкие химические технологии. 2023. Т. 18. № 6. С. 505. (Kurganova E.A., Frolov A.S., Kanaev S.A., Koshel G.N., Petukhov A.A., Rybina G.V., Plakhtinskii V.V., Kabanova V.S., Smurova A.A. // Fine Chem. Technol. 2023. V. 18. № 6. P. 505.)
- Notari B. // Stud. Surf. Sci. Catal. 1988. V. 37. P. 413.
- Belussi G., Carati A., Clerici M.G., Maddinelli G., Millini R. // J. Catal. 1992. V. 133. P. 220.
- Maspero F., Romano U. // J. Catal. 1994. V. 146. P. 476.
- Notari B. // Adv. Catal. 1996. V. 41. P. 253.
- Saxton R.J. // Top. Catal. 1999. V. 9. P. 43.
- Clerici M.G. // Top. Catal. 2000. V. 13. P. 373.
- Huybrechts D.R.C., De Bruycker L., Jacobs P.A. // Nature. 1990. V. 345. P. 240.
- Reddy J.S., Jacobs P.A. // Catal. Lett. 1996. V. 37. P. 213.
- Roffia P., Leofanti G., Cesana A., Mantegazza M.A., Padovan M., Petrini G., Tonti S., Gervasutti P. New Developments in Selective Oxidation, Studies in Surface Science and Catalysis, V. 82. Amsterdam: Elsevier, 1990. 543 p.
- Mantegazza M.A., Petrini G., Spano G., Bagatin R., Rivetti F. // J. Mol. Catal. A. 1999. V. 146. P. 223.
- Холдеева О.А., Трухан Н.Н. // Успехи химии. 2006. Т. 75. № 5. С. 460. (Kholdeeva О.А., Trukhan N.N. // Russ. Chem. Rev. 2006. V. 75. № 5. P. 411.)
- Есипович А.Л., Белоусов А.С., Канаков Е.А., Миронова В.Ю., Рогожин А.Е., Данов С.М., Воротынцев А.В., Макаров Д.А. // Кинетика и катализ. 2019. T. 60. № 1. С. 66. (Esipovich A.L., Belousov A.S., Kanakov E.A., Mironova V.Y., Rogozhin A.E., Danov S.M., Vorotyntsev A.V., Makarov D.A. // Kinet. Catal. 2019. V. 60. P. 62.)
- Taramasso M., Perego G., Notari B. US Patent 4410501, 1983.
- Langhendries G., De Vos D.E., Sels B.F., Vankelecom I., Jacobs P.A., Baron G.V. // Clean Prod. Proc. 1998. V. 1. P. 21.
- Sheldon R.A., Arends I.W.C.E., Lempers H.E.B. // Catal. Today. 1998. V. 41. № 4. P. 387.
- Clerici M.G. TS-1 and propylene oxide, 20 years later / DGMK/SCI Conference “Oxidation and Functionalization: Classical and Alternative Routes and Sources”. Milan, Italy, October 12–14, 2005.
- US Patent 4410501. Chem. Abstr. 1983. V. 95. 206272.
- US Patent 4701428. Chem. Abstr. 1987. V. 106. 158282.
- Liang X., Mi Zh., Wu Yu., Wang L., Xing E. // React. Kinet. Catal. Lett. 2003. V. 80. № 2. P. 207.
- Wu G., Wang Ya., Wang L., Feng W., Shi H., Lin Yi, Zhang T., Jin X., Wang Sh., Wu X., Yao P. // Chem. Eng. J. 2013. P. 215. P. 306.
- Gao H., Lu G., Suo J., Li Sh. // Appl. Catal. A: Gen. 1996. V. 138. P. 27.
- Xu Ch.-H., Lü Sh.-J., Deng G.-Yi., Qiu F.-L. // Chin. J. Chem. 2000. V. 18. № 4. P. 576.
- Nakagawa Yo., Mizuno N. // Inorg. Chem. 2007. V. 46. P. 1727.
- Al-Ajlouni A.M., Espenson J.H. // J. Org. Chem. 1996. V. 61. № 12. P. 3969.
- Wróblewska A., Wajzberg J., Fajdek A., Milchert Eu. // J. Hazard. Mater. 2009. V. 163. № 2–3. P. 1303.
- Khouw C.B., Dartt C.B., Labinger J.A., Davis M.E. // J. Catal. 1994. V. 149. № 1. P. 195.
- Jiao W., He Yue, Li J., Wang J., Tatsumi T., Fan W. // Appl. Catal. A: Gen. 2015. V. 491. P. 78.
- Nie X., Ji X., Chen Yo., Guo X., Song Ch. // J. Mol. Catal. 2017. V. 441. P. 150.
- Solé-Daura A., Zhang T., Fouilloux H., Robert C., Thomas C.M., Chamoreau L.-M., Carbó J.J., Proust A., Guillemot G., Poblet J.M. // ACS Catal. 2020. V. 10. № 8. P. 4737.
- Aquino A., Korup O., Horn R. // Ind. Eng. Chem. Res. 2023. V. 62. № 7. P. 3098.
- Russo V., Tesser R., Santacesaria E., Di Serio M. // Ind. Eng. Chem. Res. 2014. V. 53. P. 6274.
- Ayla E.Z., Potts D.S., Bregante D.T., Flaherty D.W. // ACS Catal. 2021. V. 11. P. 139.
- Shin S.B., Chadwick D. // Ind. Eng. Chem. Res. 2010. V. 49. P. 8125.
- Woodard S.S., Finn M.G., Sharpless K.B. // J. Am. Chem. Soc. 1991. V. 113. № 10. P. 6.
- Finn M.G., Sharpless K.B. // J. Am. Chem. Soc. 1991. V. 113. P. 113.
- Finn M.G., Sharpless K.B. Asymmetric Synthesis. Chapter 8: On the Mechanism of Asymmetric Epoxidation with Titanium – Tartrate Catalysts. New-York: Academic press, Inc., 1985. V. 5. P. 247.
- Пастухова Ж.Ю., Насыбулин Ф.Д., Сулимов А.В., Флид В.Р., Брук Л.Г. // Тонкие химические технологии. 2016. Т. 11. № 4. С. 26. (Pastukhova Zh.Yu., Nasybulin F.D., Sulimov A.V., Flid V.R., Bruk L.G. // Fine Chem. Technol. 2016. V. 11. № 4. P. 26.)
- Пастухова Ж.Ю., Левитин В.В., Кацман Е.А., Брук Л.Г. // Кинетика и катализ. 2021. Т. 62. № 5. С. 551. (Pastukhova Zh.Yu., Levitin V.V., Katsman E.A., Bruk L.G. // Kinet. Catal. 2021. V. 62. № 5. P. 604.)
- Темкин О.Н., Брук Л.Г., Зейгарник А.В. // Кинетика и катализ. 1993. Т. 34. С. 445. (Temkin O.N., Bruk L.G., Zeigarnik A.V. // Kinet. Catal. 1993. V. 34. P. 387.)
- Kuz’micheva G.M., Svetogorov R.D., Bruk L.G., Pastukhova Zh.Yu., Мarkova E.B., Zhukova A.I., Chuklina S.G., Dorokhov A.V. // Micropor. Mezopor. Mater. 2021. V. 326. P. 111377.
- Kuz’micheva G.M., Chernyshev V., Kravchenko G., Pirutko L., Khramov E., Bruk L.G., Pastukhova Z., Kustov A., Kustov L.M., Markova E. // Dalton Trans. 2022. V. 51. P. 3439.
- Антоновский В.Л., Бузланова М.М. Аналитическая химия органических пероксидных соединений. Москва: Химия, 1978. С. 309.
- Кацман Е.А., Беренблюм А.С. Учебно-методическое пособие. Москва: ИПЦ МИТХТ им. М.В. Ломоносова, 2010. С. 15.
- Clerici M.G. // Appl. Catal. 1991. V. 68. P. 249.
- Clerici M.G., Ingallina P. // J. Catal. 1993. V. 140. P. 71.
- Neurock M., Manzer L.E. // Chem. Commun. 1996. P. 1133.
- Oyama S.T. Mechanisms in Homogeneous and Heterogeneous Epoxidation Catalysis. The Netherlands: Elsevier, 2008.
Supplementary files














