Особенности кинетики и механизма аэробного окисления спиртов в присутствии карбоксилатных комплексов палладия. Обзор
- Авторы: Шишилов О.Н.1, Полякова В.А.1, Ахмадуллина Н.С.2, Шамсиев Р.С.1, Флид В.Р.1
-
Учреждения:
- МИРЭА – Российский технологический университет
- Институт металлургии и материаловедения им. А.А. Байкова РАН
- Выпуск: Том 65, № 4 (2024)
- Страницы: 379-397
- Раздел: ОБЗОРЫ
- URL: https://journals.rcsi.science/0453-8811/article/view/279283
- DOI: https://doi.org/10.31857/S0453881124040017
- EDN: https://elibrary.ru/RIIELU
- ID: 279283
Цитировать
Полный текст
Аннотация
В работе рассматриваются особенности кинетики и механизма аэробного окисления спиртов в присутствии карбоксилатных комплексов палладия различных типов, включая бинарные карбоксилаты Pd(RCO2)2, комплексы, содержащие анионы N-гетероциклокарбоновых кислот, нитрозилкарбоксилаты палладия Pd4(NO)2(RCO2)4, а также обобщены имеющиеся на сегодняшний день сведения о прямом взаимодействии карбоксилатных комплексов палладия со спиртами.
Ключевые слова
Полный текст
Сокращения и обозначения: TON – число оборотов катализатора (turnover number); TOF – частота оборотов реакции (turnover frequency); ДФП – (E)-1,3-дифенилпроп-2-ен-1-ол; kразл – константа скорости разложения катализатора; kр – константа скорости окисления бензилового спирта; TS – переходное состояние (transition state); DFT – теория функционала плотности (density functional theory).
ВВЕДЕНИЕ
Реакции окисления, катализируемые комплексами палладия(II), представляют собой один из наиболее широких классов реакций в органической химии, которые позволяют проводить разнообразные превращения, включая окислительное сочетание алкенов с гетеросоединениями, реакции окислительного С–С-сочетания, окисление спиртов и многие другие [1–15]. Окисление спиртов – одна из наиболее распространенных синтетических операций в органической химии в лабораторной и промышленной практике [16, 17]. Хотя классические реакции окисления могут быть высоко эффективными и селективными, они зачастую требуют использования стехиометрических количеств реагентов и хлорированных растворителей, что приводит к образованию большого количества отходов. Настойчивая потребность в более безопасных и экономичных химических процессах обуславливает разработку методов селективного окисления в мягких условиях и с применением реагентов и растворителей в рамках концепции “зеленой химии” [18]. С учетом этих тенденций для современных синтетических методов в качестве наиболее подходящего окислителя рассматривается прежде всего кислород [19–21]. Соответственно, новые катализаторы для аэробного окисления спиртов привлекают все больше внимания в последнее время. Способность соединений палладия окислять органические соединения известна достаточно давно – соответствующую реакцию с участием соединений Pd(II) и спиртов впервые наблюдал Берцеллиус почти 200 лет назад [22]. В таких реакциях палладий восстанавливается до Pd(0), и для поддержания реакции в каталитическом режиме необходимо ее сочетание с реакцией реокисления палладия до двухвалентного состояния [23]. Восстановленный палладий не реагирует напрямую с кислородом, однако может быть реокислен хлоридом меди(II). Открытие этого явления привело к разработке одного из важнейших промышленных процессов гомогенного катализа – Вакер-процесса получения ацетальдегида из этилена, в ходе которого Pd(0) окисляется Cu(II) в Pd(II), а образующаяся медь(I) окисляется кислородом снова до меди(II) [24, 25]. Аэробное окисление, лежащее в основе Вакер-процесса, было одним из первых примеров того, что позднее стало рассматриваться как “зеленая химия”, однако устранение токсичных и высококоррозионных солей меди могло бы повысить эффективность процесса и сделать катализируемое палладием аэробное окисление более привлекательным инструментом органического синтеза [26].
ВЗАИМОДЕЙСТВИЕ КАРБОКСИЛАТОВ ПАЛЛАДИЯ СО СПИРТАМИ
Карбоксилатные комплексы палладия, в частности ацетат палладия(II), являются основой множества каталитических систем, включая применяемые в окислении спиртов. Очевидно, что изучение механизма окисления спиртов в присутствии карбоксилатов палладия невозможно без знания особенностей их взаимодействия друг с другом. При этом нужно иметь в виду, что даже простейший карбоксилатный комплекс палладия – ацетат палладия(II) – представляет собой полиядерное соединение, а именно – тример состава Pd3(OAc)6 с треугольным металлоостовом, по сторонам которого координированы пары мостиковых ацетатных лигандов [27] (рис. 1а). Сходное строение имеют и другие бинарные карбоксилаты палладия(II) [28–33], а их взаимодействие с другими молекулами зачастую приводит к образованию комплексов даже более высокой ядерности (см., например, работы [34–36]) (рис. 1в, 1г). Кроме того, ацетат палладия способен также существовать в полимерной форме catena-[Pd(OAc)2]n [37] (рис. 1б).
Рис. 1. Структура комплексов Pd3(RCO2)6 (а), Pd4(CO)4(RCO)4 (б), Pd6(CO)6(RCO2)6 (в) и catena-[Pd(OAc)2]n (г)
Первые попытки исследовать взаимодействие карбоксилатов палладия со спиртами были предприняты в начале 2000-х гг. Так, Марсон (Marson А.) с сотр. показали [38], что в спектрах протонного магнитного резонанса (ПМР) раствора ацетата палладия в метаноле в области химических сдвигов около 2 м. д. наблюдается множество сигналов метильных групп ацетатных лигандов, причем их относительная интенсивность зависит от концентрации ацетата палладия, а также содержания воды в растворителе. Авторы предположили, что это является следствием образования моно- и олигомерных форм ацетата палладия [Pd(OAc)2]n, где n = 1, 2, 3 и т.д., а также, возможно, ионных пар [Pdn(OAc)2n–1]+⋅(OAc)–. Однако позднее Бахмутов с сотр. продемонстрировали [39], что гипотеза о различных формах [Pd(OAc)2]n с n более 3 несостоятельна, поскольку при растворении ацетата палладия в тщательно высушенных CDCl3 или C6D6 в ПМР-спектрах наблюдается единственный синглетный сигнал метильных групп, соответствующий тримеру [Pd(OAc)2]3. Дополнительные сигналы появляются лишь в том случае, если растворители содержат небольшие количества воды. Число и относительная интенсивность этих сигналов сильно зависят от используемого растворителя. Авторы полагают, что гидролиз происходит во влажных CDCl3 и C6D6, поскольку молекула воды связывается с атомом палладия, а один из ацетатных мостиков раскрывается. В то же время, Бьянчини (Bianchini C.) с сотр. пришли к заключению [40], что ацетат палладия в растворах может существовать в виде мономера и различных агрегатов, на структуру которых оказывают влияние растворитель, температура и концентрация.
Метанол оказывает специфическое действие на состав и свойства каталитических систем на основе ацетата палладия [39, 41, 42]. Например, было показано [41], что скорость окислительной димеризации стирола в присутствии ацетата палладия подчиняется одному и тому же кинетическому уравнению во всех исследованных растворителях, за исключением метанола. В метаноле не образуется сопряженный диен, а Pd(II) быстро восстанавливается до Pd(0). Также Бахмутовым с сотр. было отмечено [39], что в метаноле ацетат палладия ведет себя иначе, чем в бензоле и хлороформе. В частности, в отличие от ПМР-спектров растворов ацетата палладия в CDCl3 и C6D6, спектр раствора ацетата палладия в метаноле демонстрирует более одного сигнала протонов метильных групп независимо от степени обезвоживания растворителя. После нескольких часов выдерживания при комнатной температуре в метанольных растворах ацетата палладия образуется темный водорастворимый осадок. На основании этого был сделан вывод о взаимодействии ацетата палладия с метанолом, но не было получено никаких данных о строении продуктов такого взаимодействия. В дальнейшем при изучении окислительного метоксикарбонилирования фенилацетилена О.Н. Темкиным с сотр. было обнаружено [42], что реакция ацетата палладия с трифенилфосфином в метаноле дает продукт, отличный от Pd(PPh3)2(OAc)2. На основании данных ЯМР для этого соединения была предложена ионная структура [Pd(PPh3)3(OAc)]+(OAc)–.
В дальнейшем именно О.Н. Темкиным и его коллегами было выполнено детальное исследование взаимодействия ацетата палладия с метанолом [43]. Полученные результаты показывают, что ацетат палладия Pd3(OAc)6 легко вступает в реакции с метанолом и водой, подвергаясь алкоголизу или гидролизу соответственно, при этом его структурный мотив и треугольный металлоостов сохраняются. В метаноле происходит быстрое и необратимое замещение одного мостикового ацетатного лиганда на мостиковую алкоголятную группу μ-OMe (рис. 2а). В комплексе Pd3(μ-OMe)(OAc)5 замещение второй мостиковой ацетатной группы протекает значительно медленнее с образованием симметричного диметоксокомплекса Pd3(μ-OMe)2(OAc)4 (рис. 2б), содержание которого достигает 20–30 мол. % от исходного количества ацетата палладия. При –18°С большая часть Pd3(μ-OMe)(OAc)5 переходит в растворимые n-ядерные комплексы, где n ≥ 3, и нерастворимые полиядерные комплексы. Их общее содержание доходит до 60% в расчете на Pd2+, они медленно формируются при длительном (в течение месяцев) хранении метанольного раствора ацетата палладия при –18°С, при этом заметного окисления метанола не происходит. При повышении температуры до 27°С активизируются окислительно-восстановительные процессы, приводящие к появлению металлического палладия и продуктов окисления метанола – полуацеталя формальдегида и метилформиата. Ацетат палладия сам по себе достаточно стабилен в растворе в хлороформе в отсутствие молекул воды или метанола, но он обратимо взаимодействует с водой с образованием гидроксокомплекса Pd3(μ-OH)(μ-OAc)5 (рис. 2в). Это лабильное равновесие устанавливается быстро и может быть смещено добавлением воды и уксусной кислоты или изменением температуры. Возможность существования гидроксо- и алкоксокомплексов указанного состава впоследствии была подтверждена в работе [44]. Обмен мостикового ацетатного лиганда в Pd3(μ-OAc)6 на μ-OMe с образованием комплекса Pd3(μ-OMe)(μ-OAc)5 в хлороформе происходит легко, а обмен лиганда μ-OH в Pd3(μ-OH)(μ-OAc)5 на μ-OMe в тех же условиях – напротив, медленно. Устойчивость комплекса Pd3(μ-OH)(μ-OAc)5 в хлороформе значительно выше, чем в метаноле.
Рис. 2. Строение комплексов Pd3(μ-OMe)(μ-OAc)5 (а), Pd3(μ-OMe)2(OAc)4 (б) и Pd3(μ-OH)(μ-OAc)5 (в)
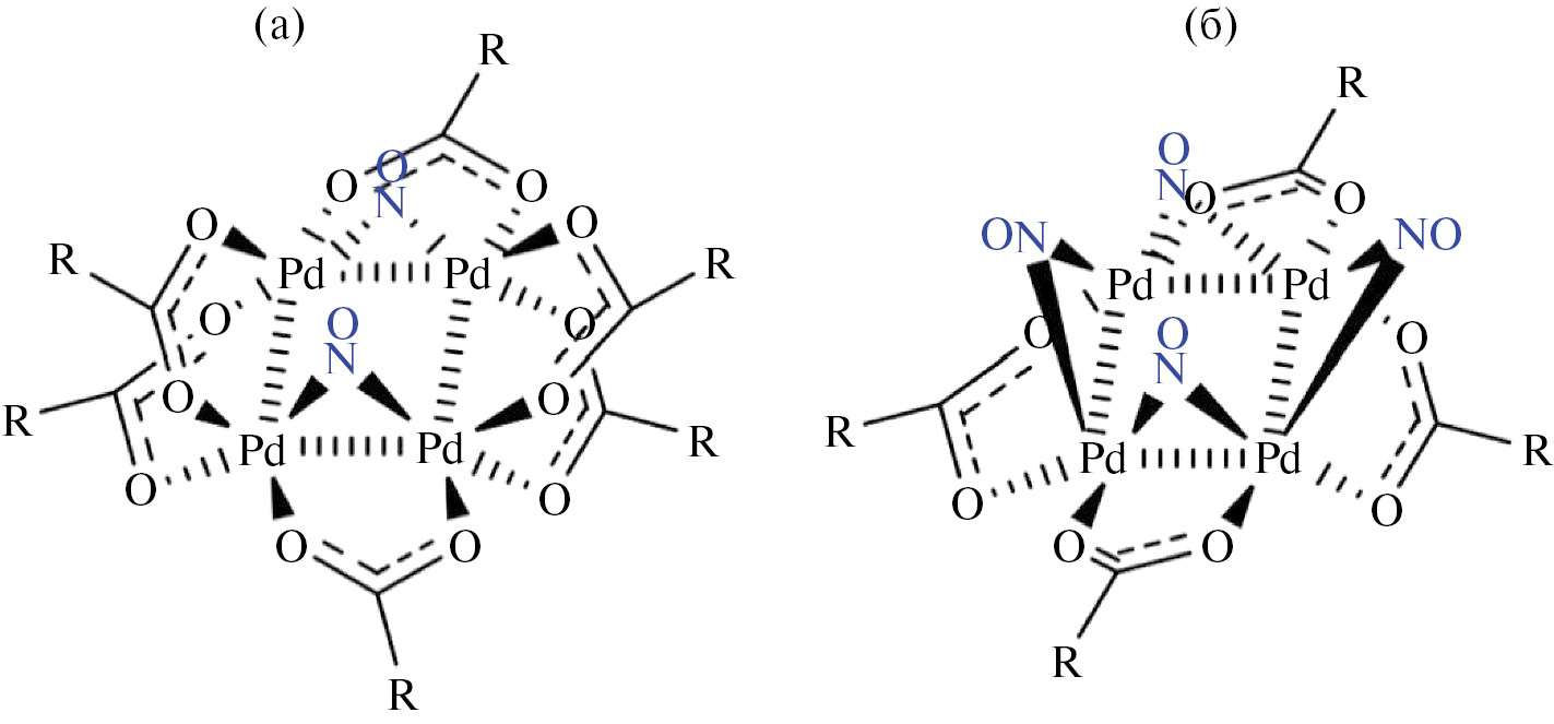
Несколько позднее нами было изучено взаимодействие со спиртами нитрозилкарбоксилатов палладия – производных бинарных карбоксилатов палладия, которые могут быть получены прямым нитрозилированием последних [36, 45, 46]. Нитрозилкарбоксилаты палладия представлены соединениями двух структурных типов состава Pd4(μ-NO)2(μ-RCO2)6 и Pd4(μ-NO)4(μ-RCO2)4 (рис. 3а и 3б). Ранее мы наблюдали ускорение реакции нитрозилирования карбоксилатов [Pd(μ-RCO2)2]n газообразным NO в растворе в толуоле при добавлении небольших количеств изопропанола [47]. В дальнейшем нитрозилкарбоксилаты палладия Pd4(NO)2(RCO2)6 опробованы в качестве катализаторов аэробного окисления спиртов (см. ниже), а их взаимодействие со спиртами изучено при помощи квантово-химического моделирования на примере реакции Pd4(μ-NO)2(μ-OAc)6 с метанолом [48].
Рис. 3. Строение нитрозилкарбоксилатов палладия Pd4(μ-NO)2(μ-RCO2)6 (а) и Pd4(μ-NO)4(μ-RCO2)4 (б)
Для моделирования была выбрана система, включающая одну молекулу Pd4(μ-NO)2(μ-OAc)6 и 8 молекул метанола (рис. 4, структура А). Установлено, что вначале происходит раскрытие мостиковой ацетатной группы и координация ближайшей молекулы метанола (рис. 4, структура B). Далее оказываются возможны два маршрута реакции: раскрытие второго ацетатного мостика на той же стороне металлоостова (рис. 4, структура С1) или в цис-положении к NO-группе на противоположной стороне металлоостова (рис. 4, структура С2). Для обоих маршрутов высота активационного барьера не превосходит 10 ккал/моль, в то время как все остальные возможные направления (раскрытие мостиковых NO-групп или ацетатных групп, координированных по тем же сторонам металлоостова, что и NO) требуют преодоления системой барьеров в 20–30 ккал/моль. Дальнейшие превращения (маршруты A–B–C1–D1–E1 и A–B–C2–D2–E2, рис. 4 и 5) в любом случае ведут к диссоциации исходного 4-ядерного комплекса на два биядерных фрагмента Pd2(μ-NO)(μ-OAc)(OAc)2(MeOH)2. Маршрут A– B–C1–D1–E1 выглядит предпочтительным, поскольку общий активационный барьер в этом случае составляет 14.0 ккал/моль, в то время как для маршрута A–B–C2–D2–E2 он равен 19.3 ккал/моль. Кроме того, ΔG298(A–E1) = –2.1 ккал/моль, а ΔG298(A–E2) = +6.5 ккал/моль.
Рис. 4. Возможные пути превращения Pd4(NO)2(OAc)6 в Pd2(NO)(OAc)3(MeOH)2 в присутствии метанола по данным DFT-расчетов
Расчеты дальнейших превращений биядерных фрагментов были выполнены для сольвата состава Pd2(μ-NO)(μ-OAc)(OAc)2(MeOH)2·8MeOH (рис. 5, структура E). Согласно полученным результатам, ацетатный мостик раскрывается легко (рис. 5, структура E′), активационный барьер составляет около 6 ккал/моль. Однако дальнейший разрыв связи Pd–N требует преодоления барьера в 18.6 ккал/моль, что делает эту стадию маловероятной кинетически (хотя и не налагает на нее полного запрета). Кроме того, образование частиц Pd(NO)(OAc)(MeOH)3 и Pd(OAc)2(MeOH)2 (рис. 5, структура E″) оказывается невыгодным и термодинамически, поскольку приводит к повышению общей свободной энергии рассматриваемой системы (ΔG298 = +14.8 ккал/моль).
Рис. 5. Возможный маршрут превращения Pd2(NO)(OAc)3(MeOH)2 в Pd(NO)(OAc)(MeOH)3 и Pd(OAc)2(MeOH)2 в присутствии метанола
Таким образом, проведенные расчеты показывают, что нитрозилкарбоксилаты палладия Pd4(μ-NO)2(μ-RCO2)6 при взаимодействии со спиртами, вероятнее всего, диссоциируют на биядерные фрагменты, устойчивость которых обеспечивается в основном мостиковыми NO-лигандами.
КАРБОКСИЛАТНЫЕ КОМПЛЕКСЫ ПАЛЛАДИЯ КАК КАТАЛИЗАТОРЫ АЭРОБНОГО ОКИСЛЕНИЯ СПИРТОВ
Взаимодействие карбоксилатов палладия со спиртами приводит к их диссоциации и образованию сравнительно стабильных алкоксокомплексов, которые, однако, со временем распадаются через стадию β-гидридного элиминирования на альдегиды или кетоны и гидридные комплексы соответственно. Гидридные комплексы значительно менее стабильны и склонны к восстановительному элиминированию с переходом в соединения Pd(0), которые, в свою очередь, подвержены агрегации с формированием образованием вначале кластеров, а затем и наночастиц палладия, практически не активных в целевой реакции. Эти процеммы могут быть подавлены в окислительной атмосфере (воздух, кислород) при наличии редокс-сокатализатора, как в Вакер-процессе [49, 50], либо стабилизирующих лигандов, препятствующих агрегации комплексов Pd(0) в частицы компактного металла, что делает возможным впрямое реокисление восстановленного катализатора кислородом [51]. В 1990-х гг. Ларок (Larock R.C.) обнаружил [52], что в координирующемся растворителе ДМСО ацетат палладия катализирует аэробное окисление аллильного и бензильного спиртов в присутствии основания (Na2CO3). Вскоре после этого Уэмура (Uemura S.) сообщил о новом катализаторе, представляющем собой систему Pd(OAc)2/py/МС (молекулярные сита) [53]. Сигманом (Sigman M.S.) также была разработана каталитическая система Pd(OAc)2/NEt3, дающая возможность эффективно проводить окисление спиртов при 20°С [54, 55].
Катализаторы на основе Pd(OAc)2 со слабыми лигандами, такими как ДМСО или монодентатные азотистые основания, по сути своей представляют равновесные смеси соединений, отличающихся количеством лигандов, координированных металлом. Кроме того, эти системы требуют добавок, таких как внешние источники ацетат-иона (NaOAc, NBu4OAc и т.п.), основания или молекулярные сита. Соответственно, требуется тщательная оптимизация состава катализатора для достижения максимальной эффективности [56–58]. В 2000 г. Шелдон (Sheldon R.A.) показал, что комплексы ацетата палладия с сильно связывающимися лигандами типа фенантролинов являются очень активными катализаторами окисления спиртов [59, 60]. Четко определенная природа частицы Pd(Phen) делает ее более пригодной для направленной систематической модификации и позволяет провести рациональную оптимизацию эффективности катализатора [61, 62]. После этих весьма плодотворных открытий было получено большое количество соответствующих палладиевых катализаторов, например, хиральных комплексов с бидентатным N,N-лигандом (–)-спартеином, разработанных одновременно группами Сигмана (Sigman M.S.) [63] и Штольца (Stoltz B.M.) [64]. Эти катализаторы селективно окисляют энантиомеры спиртов, а также позволяют осуществить кинетическое разделение рацемических смесей. Сигман также разработал эффективные катализаторы, на основе недиссоциирующих N-гетероциклических лигандов [55, 65]. Имеются сообщения и о других каталитических системах на основе палладоциклических комплексов [66] или пинцерных лигандов [67]. Совсем недавно Вэймаут (Waymouth R.M.) описал новые катализаторы, содержащие фторированные фенантролины, которые демонстрируют высокую устойчивость в жестких окислительных условиях [68]. Несмотря на быстрое развитие данной области гомогенного катализа, структурное разнообразие палладиевых катализаторов окисления ограничено именно из-за того, что известно не так уж много лигандов, достаточно устойчивых к действию кислорода.
Механизм аэробного окисления спиртов на палладиевых катализаторах был исследован достаточно подробно [56, 57, 65, 69–74]. Хотя некоторые достаточно важные детали механизма могут меняться от одной системы к другой, все же были выделены общие черты, которые суммированы на схеме 1.
Схема 1. Обобщенный механизм окисления спиртов в присутствии комплексов палладия
Одним из ключевых интермедиатов является алкоксидный комплекс A. Изначально это соединение образуется, когда прекурсор катализатора (т.е. ацетатный комплекс) входит в каталитический цикл. Интермедиат А нестабилен и подвергается β-гидридному элимнированию с образованием продукта окисления, альдегида или кетона, и гидридного комплекса B. Следующие стадии каталитического цикла в конце концов приводят к переносу атомов водорода из молекулы спирта к молекуле кислорода. Этот процесс может протекать по двум различным маршрутам. Классический вариант включает элиминирование молекулы HX (обычно уксусной кислоты) из гидрида B, сопровождающееся восстановлением палладия до Pd(0) в виде интермедиата C. Комплекс C реагирует с О2, образуя пероксид палладия D, который в дальнейшем атакуется свободной кислотой, давая гидропероксид E [75–77]. В последнее время были получены данные, позволяющие предположить, что в некоторых случаях гидрид B может не разлагаться, а напрямую реагировать с кислородом с образованием того же гидропероксида E без участия интермедиатов, содержащих Pd(0) (пунктир на схеме 1) [78–81].
Оба маршрута подтверждены экспериментальными данными и результатами расчетов, и каждый из них может быть основным в зависимости от того, какая система рассматривается [82, 83]. В любом случае алкоксидный комплекс A возвращается в каталитический цикл в результате протонного обмена между гидропероксидом E и молекулой спирта с выделением H2O2. Пероксид водорода может быть сохранен в системе в определенных условиях, однако чаще всего он каталитически диспропорционирует на воду и кислород под действием комплексов палладия [84, 85]. Соответственно, вода является единственным побочным продуктом, образующимся в данном каталитическом цикле, что повышает его “атомарную эффективность”.
Описанный каталитический цикл оказывается весьма полезным при разработке новых катализаторов, поскольку позволяет установить роль каждого из компонентов каталитической системы. Прежде всего, основание необходимо для генерации алкоксидного палладиевого интермедиата. Некоторые системы требуют введения внешних оснований, таких как Na2CO3 в системе Ларока [52], или избытка того же азотистого основания, которое используется как лиганд, как в случае системы с (–)-спартеином, разработанной Сигманом и Штольцом [86]. Оберхаузер (Overhauser W.) недавно показал, что дикатионные комплексы [PdL4]2+ (L – пиридин, 4-этилпиридин) являются эффективными катализаторами для селективного окисления диолов в присутствии карбоната калия [87]. В некоторых других случаях ацетатные и другие лиганды могут выступать в качестве внутримолекулярных оснований, хотя, например, считается, что карбоксилатные лиганды, присутствующие в большинстве современных катализаторов окисления спиртов, играют двойную роль как внутримолекулярные основания, облегчающие депротонирование спиртов, и, что еще более существенно, как переносчики гидрид-иона, образующегося при распаде алкоксида до пероксидного интермедиата (превращение B в D на схеме 1) [85]. Другая важная особенность этого каталитического процесса – способность интермедиата A к образованию координационной вакансии в цис-положении к алкоксидному лиганду, что облегчает β-гидридное элиминирование [56–58, 71–73, 88–91]. Это не является строго необходимым для продолжения каталитического цикла, поскольку алкоксидные комплексы палладия в целом настолько склонны к β-гидридному элиминированию, что оно протекает даже в тех случаях, когда четырехкоординационное окружение обеспечено пинцерным лигандом [92, 93]. Однако присутствие одного или более легко диссоциирующих лигандов – характерная черта большинства каталитических систем окисления на основе палладия, и можно предположить, что это важно для ускорения этой реакции. Наконец, присутствие одного или более достаточно хороших стабилизирующих лигандов абсолютно необходимо для предотвращения агрегации восстановленных соединений палладия в каталитически неактивный компактный металл. Яркими примерами эффективных катализаторов, сочетающих эти особенности (внутримолекулярное основание, лабильные лиганды и по крайней мере один сильный стабилизирующий лиганд), являются карбен-карбоксилатные комплексы, полученные Сигманом [64, 94], а также димерные фенантролиновые комплексы с мостиковыми карбоксилатными или гидроксо-лигандами, описанные Вэймаутом [68, 95].
КОМПЛЕКСЫ ПАЛЛАДИЯ N-ГЕТЕРОЦИКЛОКАРБОНОВЫХ И СУЛЬФОНОВЫХ КИСЛОТ КАК КАТАЛИЗАТОРЫ АЭРОБНОГО ОКИСЛЕНИЯ СПИРТОВ
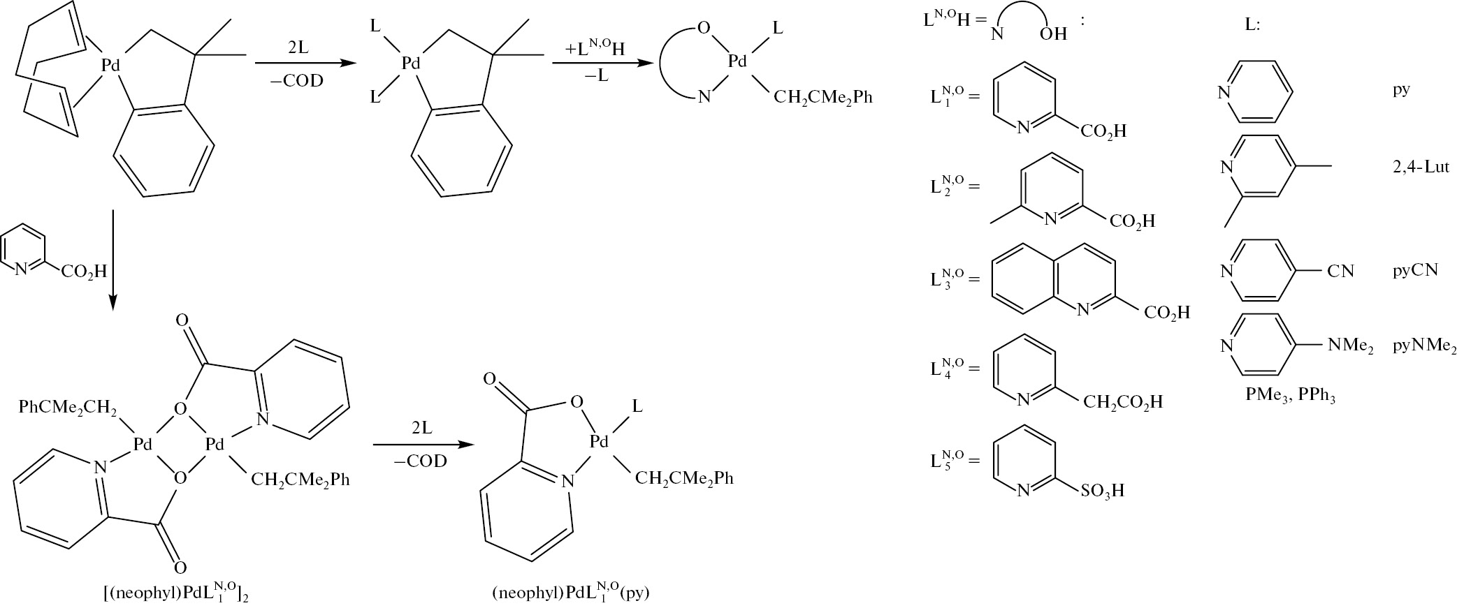
В качестве следующего шага при рациональной разработке палладиевых катализаторов для аэробного окисления спиртов в нашей работе [96] мы выбрали в качестве ключевых лигандов анионы гетероциклических карбоновых кислот, способные выполнять все описанные выше ключевые функции. Такие лиганды могут одновременно как стабилизировать палладиевый центр на различных стадиях каталитического цикла, так и действовать аналогично ацетату, выполняя роль внутримолекулярного основания. Кроме того, остается возможность как для координации алкоксидной группы, так и для образования свободной координационной позиции в цис-положении к последней, что создает подходящее координационной окружение для β-гидридного элиминирования.
Был получен ряд комплексов, содержащих анионы пиридин-2-карбоновых кислот, а также анион пиридин-2-сульфокислоты, различные вспомогательные лиганды – производные пиридина и фосфины – и неофильную группу (схема 2).
Схема 2. Синтез неофильных комплексов палладия, содержащих остатки N-гетероциклокарбоновых и сульфоновых кислот и N- и P-донорные лиганды
1-Фенилэтанол использовали как реперный субстрат для проведения скрининга катализаторов и реакционных условий. Во всех условиях наблюдается конверсия 1-фенилэтанола в ацетофенон в присутствии всех катализаторов, никаких побочных продуктов идентифицировано не было. Комплексы не активны при комнатной температуре и атмосферном давлении, однако эффективно катализируют процесс при 80–100°С под давлением кислорода в 3–4 атм в растворе в толуоле. В этих условиях 1 мол. % пиколинатного комплекса позволяет осуществить количественное окисление спирта за 12 ч. Эта активность невелика по сравнению с фенантролиновыми комплексами Шелдона [60, 61] или комплексами с гетероциклическими карбенами Сигмана [65], но она явно выше таковой ацетатных комплексов палладия с пиридином [53] или триэтиламином [54], которые требуют использования более 3 мол. % для завершения окисления фенилэтанола. Хотя конверсия субстрата оказывается неполной при загрузках катализатора менее 1 мол. %, однако его относительная активность растет по мере разбавления. Так, 20-кратное разбавление, от 1 до 0.05 мол. %, приводит лишь к 3-кратному падению конверсии. Как следствие, число оборотов катализатора (turnover number, TON) возрастает до ~650, что сравнимо с достигаемым для фенантролиновых комплексов [61, 62].
Скрининг показал, что комплекс (neophyl)PdLN,O1(py) является наилучшим катализатором для окисления 1-фенилэтанола, а модификация структуры N-O-лиганда ведет к аналогичным или более низким выходам. Комплекс (neophyl)PdLN,O5(py) значительно менее активен. Также пиридин оказался наилучшим вспомогательным лигандом среди всех опробованных. Введение как донорных, так и акцепторных заместителей в пара-положение кольца снижает активность.
Для изученных катализаторов была предложена простая кинетическая модель, составленная в предположении, что реакция имеет нулевой порядок реакции по субстрату и первый порядок по катализатору, разложение которого также описывается реакцией первого порядка:
Окисление спирта:
.
Разложение катализатора:
.
Интегральное уравнение:
.
Данные о зависимости конверсии 1-фенилэтанола в ацетофенон от времени хорошо согласуются с этой моделью, и экстраполяция данных, полученных для отрезка от 0–3 до 12 ч, также дает результат, совпадающий с экспериментальным. Кинетическая модель позволяет отделить влияние дезактивации катализатора (kразл) от собственно его активности (kр). Например, более низкая конверсия, достигаемая при использовании (neophyl)PdLN,O1(pyNMe2) (табл. 1, строка 3) по сравнению с (neophyl)PdLN,O1(py) (табл. 1, строка 1), является результатом различия в их активности, оцененной по частоте оборотов реакции (TOF), в то время как их полувремена жизни практически одинаковы. Напротив, обедненный электронной плотностью 4-цианопиридин резко понижает стабильность комплекса в реакционных условиях (табл. 1, строка 2), однако определить влияние этого лиганда на собственно активность затруднительно, поскольку оценка TOF может быть существенно занижена из-за короткого времени жизни катализатора.
Таблица 1. Значения констант скорости разложения катализатора (kразл) и окисления бензилового спирта (kр) для некоторых изученных комплексов
Перечисленные в табл. 1 комплексы были также исследованы в окислении ряда других спиртов. В частности, в качестве субстратов применяли бензиловый спирт, (–)-ментол, (E)-1,3-дифенилпроп-2-ен-1-ол (ДФП), (E)-гекс-2-ен-1-ол (2-гексенол), деканол-1. Конверсия бензилового спирта и ментола и селективность их превращения имеют очень высокие значения по сравнению с таковыми для 1-фенилэтанола. Кроме того, для указанных спиртов наблюдаются такие же зависимости этих показателей от природы используемых катализаторов, что и для 1-фенилэтанола: наилучшие результаты получены в присутствии комплексов (neophyl)PdLN,O1(py) и (neophyl)PdLN,O2(py) (табл. 1, строки 1 и 4), наихудшие – в присутствии комплекса (neophyl)PdLN,O1(pyCN) (табл. 1, строка 2).
Окисление других спиртов не является полностью селективным. Хроматомасс-спектрометрический анализ показывает образование небольших количеств неидентифицированных продуктов в случае ДФП и карбоновых кислот в случае первичных спиртов (деканола-1 и 2-гексенола). По сравнению со вторичными спиртами, окисление первичных спиртов протекает труднее, и его селективность ниже. Наименее удовлетворительные результаты зафиксированы для деканола-1, когда основным продуктом оказывается декановая кислота. Некоторые интересные особенности наблюдались при окислении аллильных спиртов (ДФП и 2-гексенола). Так, комплекс (neophyl)PdLN,O1(pyCN) показал неожиданно высокую активность в окислении ДФП, в то время как в присутствии (neophyl)PdLN,O1(py) конверсия этого спирта была довольно низкой, а наилучшие результаты получены при использовании (neophyl)PdLN,O2(py) и (neophyl)PdLN,O4(py). Необычное поведение этих субстратов может быть обусловлено взаимодействием образующихся α,β-ненасыщенных карбонильных соединений с комплексами и с формированием других активных частиц. Замещение слабых лигандов, таких как CNPy, может ощутимо улучшать стабильность катализатора, что и объясняет неожиданно высокую активность в системе комплекс (neophyl)PdLN,O1(pyCN)/ДФП.
Хотя можно предположить, что в целом механизм, приведенный на схеме 1, актуален для пиридинкарбоксилатных алкильных комплексов палладия, некоторые особенности поведения этой системы нуждаются в пояснениях. Один из вопросов заключается в том, как алкильный прекурсор входит в каталитический цикл. По-видимому, активация этого прекурсора требует замещения алкильной группы алкоксидным лигандом. Два различных механизма – протонирование алкильной группы или гомолиз связи Pd–C, представленные на схеме 3, могут объяснять этот процесс.
Схема 3. Предполагаемые механизмы активации и дезактивации пиридинкарбоксилатных комплексов палладия
Мы установили, что пиридинкарбоксилатный комплекс разлагается при нагревании в растворах CH3OH и CD3OD в инертной атмосфере с образованием темного осадка. Процесс разложения длится несколько часов при 50°С, однако завершается за несколько минут при 100°С. Наблюдаемое количество третбутилбензола – основного продукта протолиза неофильной группы – не превышает 15% от теоретически возможного, при этом обнаруживаются существенные количества изомерных бутенилбензолов – продуктов распада неофильных радикалов [97]. Таким образом, в разложении комплекса гомолиз связи Pd–C играет бóльшую роль, чем протолиз. Также можно предположить, что присутствие кислорода должно ускорять превращение прекурсора катализатора. Например, гомолиз связи Pd–C может облегчаться, если комплекс палладия будет предварительно окислен за счет переноса электрона на кислород [98]. Однако остаточное количество (neophyl)PdLN,O1(py) в растворе в CD3OD после перемешивания в течение 50 мин при 50°С в реакторе под давлением кислорода в 4 атм практически совпадает с таковым в ЯМР-эксперименте в ампуле, полученном за то же время при той же температуре, но в инертной атмосфере (~50%), т.е. кислород практически не влияет на скорость реакции. Хроматомасс-спектрометрический анализ продуктов показал, что под давлением кислорода образуются те же продукты, что при нагревании (neophyl)PdLN,O1(py) в инертной атмосфере, за исключением небольших количеств соединений, идентифицированных как альдегиды или спирты – продукты автоокисления неофила или перегруппировки неофил-радикала с захватом радикала кислорода. Это означает, что активация катализатора не включает стадию внедрения O2 по связи Pd–C, так как в этом случае формировались бы только окисленные органические продукты [99]. Учитывая эти наблюдения, логично предположить, что активация катализатора начинается с гомолиза связи Pd–C с образованием комплекса палладия(I) H, который дальше вступает в реакцию с кислородом, приводящую к супероксидному интермедиату J или соответствующему пероксидному соединения. Так, Озеров и Томас сообщали о реакции пинцерного комплекса Pd(I) с кислородом с получением образованием супероксидных или пероксидных соединений [100]. Супероксидный/пероксидный интермедиат может реагировать со спиртом с образованием целевого комплекса A′. Эта стадия может включать протонный обмен со спиртом с выделением свободного гидропероксид-радикала, хотя возможны и другие маршруты трансформации гидропероксидного интермедиата в алкоксидный комплекс.
Появление темной суспензии после нагревания (neophyl)PdLN,O1(py) в отсутствие кислорода отличает эти эксперименты от каталитических. В последних наблюдается образование светло-коричневой суспензии с небольшим количеством бледно-серого осадка. Для идентификации осадка был проведен эксперимент по окислению 1-фенилэтанола с увеличенной загрузкой катализатора, после чего осадок был отделен центрифугированием. Осадок идентифицирован как биспиколинат палладия(II) (комплекс G на схеме 3) на основании данных масс-спектрометрии с электрораспылением и сопоставления ИК-спектра осадка со спектром образца комплекса G, полученного описанным в литературе способом [101]. Таким образом, деактивация катализатора включает процесс диспропорционирования, в результате которого часть палладия связывается каталитически неактивный комплекс G и, вероятно, комплексы Pd(0). Выпадения палладиевой черни при этом не наблюдается.
Нестабильность комплекса (neophyl)PdLN,O1(py) в условиях каталитических экспериментов контрастирует с многочасовыми полувременами жизни большинства катализаторов, генерируемых из пиридинкарбоксилатных комплексов. Это означает, что процесс, ведущий к активации катализатора, является быстрым по сравнению с каталитическим циклом в целом. Так, влияние лигандов на каталитическую активность предположительно может быть интерпретировано на основании фундаментальных стадий ранее описанного цикла (схема 1), адаптированного для пиридинкарбоксилатных систем, как показано на схеме 4. Нулевой порядок по спирту говорит о том, что образование алкоксидного комплекса A′, т.е. обмен между гидроперокидом E′ и свободным спиртом (E′ → A′), также является быстрым относительно последующих стадий и не оказывает влияния на скорость каталитического цикла (kc).
Схема 4. Предполагаемый механизм окисления спиртов на пиридинкарбоксилатных катализаторах
Одним из основных отличий между схемами 1 и 4 является то, что анионный лиганд, обозначенный как X на схеме 1 (обычно X = ацетат), становится структурным компонентом катализатора в схеме 4, следовательно, лиганд L оказывается единственным лигандом, способным покинуть координационную сферу атома металла. Как уже упоминалось ранее, β-гидридное элиминирование может протекать в плоскоквадратных комплексах палладия, таких как A′, однако его вероятность существенно возрастает, если координационная вакансия существует в цис-положении к алкоксо-группе. Поскольку β-гидридное элиминирование из алкоксидного комплекса – ключевая стадия окисления спирта, то активность катализатора будет зависеть от способности монодентатного лиганда L к диссоциации от металла. Низкая активность комплекса (neophyl)PdLN,O1(PMe3), вероятно, обусловлена чрезмерно прочным связыванием небольшого по размеру и сильно оснóвного триметилфосфинового лиганда. С другой стороны, способность к диссоциации – не единственное свойство L, имеющее существенное значение. В противном случае комплекс [(neophyl)PdLN,O1]2, вовсе не содержащий лиганда L, должен демонстрировать максимальную активность, в то время как на самом деле она невелика. Хотя PPh3 является одновременно и достаточно лабильным, и хорошо стабилизирующим лигандом, комплекс (neophyl)PdLN,O1(PPh3) имеет примерно ту же активность, что и (neophyl)PdLN,O1(py). Возможно, это связано со склонностью трифенилфосфина окисляться под действием кислорода, что фактически делает катализатор “безлигандным”. Скорее всего, стабильность каталитической системы может быть обеспечена только достаточно хорошим монодентатным лигандом. Пиридины схожи с PPh3 в отношении способности одновременно хорошо диссоциировать от металла и стабилизировать катализатор, но они также устойчивы к действию кислорода. На самом деле, данные по kр и kразл для различных пиридинов могут быть объяснены с точки зрения способности диссоциировать и в то же время стабилизировать катализатор. Например, низкая стабильность катализатора, генерируемого из (neophyl)PdLN,O1(pyCN), без сомнения обусловлена пониженной способностью к стабилизации активной формы у электронообедненного 4-цианопиридина. Хотя лабильность этого лиганда должна приводить к более высокой активности соответствующего комплекса, его короткое время жизни в условиях процесса не дает возможности провести достаточно точные измерения kc. С другой стороны, более высокая стабильность (neohpyl)PdLN,O1(pyNMe2) частично компенсируется пониженной собственной активностью, предположительно, из-за трудности диссоциации сильно оснóвного 4-диметиламинопиридина. Сам пиридин имеет свойства, промежуточные между свойствами 4-цианопиридина и 4-(диметиламино)пиридина, и обеспечивает лучший баланс между лабильностью и стабилизирующей способностью. Именно это, вероятно, является причиной того, что (neophyl)PdLN,O1(py) оказывается наиболее эффективным катализатором.
Вторым существенным аспектом схемы на схеме 4, требующим комментариев, является цис/транс-изомерия интермедиатов и ее связь с требованием к геометрии некоторых элементарных стадий каталитического цикла. Можно полагать, что предпочтительное строение A′ будет аналогично (neophyl)PdLN,O1(py) по тем же причинам. Следовательно, в A′ самый сильный донор – алкоксид –находится в транс-положении по отношению к самому слабому – карбоксилату. Такая конфигурация облегчает диссоциацию монодентатного лиганда L из A′, поскольку пиридин обладает более сильным транс-эффектом, чем карбоксилатная группа. Однако, β-гидридное элиминирование из M ведет к гидриду P (после обратного захвата лиганда L), в котором гидрид и пиридиновый фрагмент занимают транс-положения. Эта конфигурация существенно выше по энергии, чем цис-, но она является единственно возможной для восстановительного O–H-сочетания. Можно было бы предположить, что это геометрическое согласование не будет иметь значения, если механизм включает прямое оксигенирование гидрида P в пероксид E′ (пунктир на схеме 4). Однако высокая энергия интермедиата P также дает вклад в эффективность каталитического цикла, понижая энергетический барьер для реакции гидрида с кислородом. С учетом сказанного не играет роли, каков механизм оксигенирования – внутримолекулярный перенос протона в пероксиде D′ или прямая реакция P с кислородом. В любом случае гидропероксидный интермедиат E′ образуется в конфигурации, противоположной конфигурации A′ (т.е. с цис-расположением карбоксилатного фрагмента и пиридинового лиганда). Таким образом, последний шаг цикла, помимо обмена пероксида водорода на алкоксид, включает также цис/транс-изомеризацию.
Структура хелатного N–O-лиганда также оказывает существенное влияние на собственную активность и скорость разложения катализатора. Сопоставление активностей (neophyl)PdLN,O1(py) и (neophyl)PdLN,O2(py) показывает (табл. 1), что последний немного более активен, хотя эта разница компенсируется ускоренным разложением. Это напоминает стимулирующий эффект метильных заместителей в Шелдоновских Pd-phen-катализаторах [61] и легкое окисление этих заместителей с образование каталитически неактивных карбоксилатных комплексов, обнаруженных Вэймаутом [35]. Хотя конечное состояние катализатора после окисления спирта не исследовалось в случае с (neophyl)PdLN,O2(py), окисление метильных заместителей с образование каталитически неактивного пиридин-2,6-дикарбоксилатного комплекса может рассматриваться в качестве весьма вероятного в данном случае. Комплекс (neophyl)PdLN,O4(py) ведет себя противоположным комплексу (neophyl)PdLN,O2(py) образом. Для (neophyl)PdLN,O4(py) получаемые значения TOF ниже, чем для (neophyl)PdLN,O1(py) или (neophyl)PdLN,O2(py), но генерируемый в первом случае катализатор гораздо более стабилен. Повышение стабильности катализатора может быть обусловлено более сильными основными свойствами и более высокой способностью к координации пиридинацетатного лиганда по сравнению с пиридинкарбоксилатными производными. Учитывая это, низкая активность пиридинсульфонатного комплекса (neophyl)PdLN,O5(py), вероятно, является следствием высокой скорости разложения, поскольку способность к координации сульфонатной группы заметно ниже, чем карбоксилатной.
НИТРОЗИЛКАРБОКСИЛАТЫ ПАЛЛАДИЯ КАК КАТАЛИЗАТОРЫ АЭРОБНОГО ОКИСЛЕНИЯ СПИРТОВ
В продолжение наших исследований карбоксилатных комплексов палладия как катализаторов аэробного окисления спиртов были изучены 4-ядерные нитрозилкарбоксилатные комплексы Pd4(μ-NO)2(μ-RCO2)6 (R = CH2Cl, CH3, tertBu и CH2=C(Me)) [48]. Условия проведения процесса были аналогичными выбранным ранее для неофильных комплексов палладия, содержащих анионы N-гетероциклокарбоновых кислот, которые описаны в предыдущем разделе [96].
В окислении того же ряда спиртов (бензиловый спирт, (–)-ментол, (E)-1,3-дифенилпроп-2-ен-1-ол (ДФП), (E)-гекс-2-ен-1-ол (2-гексенол), деканол-1) все комплексы показывают высокую селективность, превышающую 90%, при этом наименьшую активность демонстрирует нитрозилметакрилат палладия – по всей видимости, вследствие высокой скорости распада катализатора, что подтверждается образованием значительного количества палладиевой черни. Активность трех других комплексов сопоставима и в целом может рассматриваться как средняя. Интересно отметить, что пиридин, вообще говоря, является более слабым основанием (pKa 8.77) нежели свободные карбоксилат-ионы (pKa ≥9), поэтому повышение конверсии при добавлении пиридина указывает на то, что большая часть карбоксилатных групп остается в координированном состоянии, поскольку именно координация положительно заряженными атомами металла понижает оснóвность карбоксилат-ионов. Следовательно:
– каталитически активные комплексы палладия содержат карбоксилатные группы;
– внутримолекулярное депротонирование спиртов координированными карбоксилатными группами не является эффективным.
Подтверждением первому предположению служит сопоставление активности нитрозилацетата и нитрозилпивалата. Оснóвные свойства пивалат- и ацетат-ионов очень близки (pKa пивалевой и уксусной кислот составляют 5.03 и 4.75 соответственно), в то время как стерические отличаются весьма значительно. При этом активность нитрозилпивалата чуть ниже активности нитрозилацетата в случае всех субстратов за исключением бензилового спирта. В наибольшей степени этот эффект выражен для ДФП и (–)-ментола – т.е. наиболее стерически нагруженных субстратов. Хорошо известно, что пивалатные комплексы обычно менее активны по сравнению с соответствующими ацетатными, но в то же время более стабильны, и можно полагать, что именно повышенная стабильность приводит к некоторому увеличению конверсии в присутствии нитрозилпивалата для бензилового спирта. Снижение конверсии в случае большинства спиртов указывает на сохранение карбоксилатных ионов в составе каталитически активных частиц, а выраженность эффекта для стерически затрудненных спиртов позволяет заключить, что карбоксилат- и алкоголят-ионы координируются одним атомом Pd в цис-положении.
Все перечисленные предположения об особенностях механизма окисления спиртов в присутствии нитрозилкарбоксилатов палладия подтверждаются результатами квантово-химического моделирования (раздел 2). Исходя из того, что комплекс Е на рис. 4 является основной каталитически активной формой, было проведено моделирование дальнейшего процесса окисления спирта в его координационной сфере. Механизм аэробного окисления спиртов на палладиевых катализаторах обсуждался выше, однако проведенные расчеты показали, что в случае полиядерных нитрозильных комплексов палладия механизм, по всей видимости, должен быть отличаться. На рис. 6 приведены оптимизированные структуры соответствующих комплексов и энергетические характеристики (активационные барьеры) их взаимных переходов.
Рис. 6. Возможный маршрут окисления метанола в координационной сфере комплекса E по данным PBE/L11 расчетов
Согласно полученным данным, гидридный комплекс палладия образуется в результате протекания следующих реакций: перенос протона с координированной молекулы спирта на ацетатный лиганд (E → F), изменение координации молекулы спирта (F → G), отрыв атома водорода от CH3OH c образованием CH2=O (G → H), замещение CH2=O в координационной сфере палладия на еще одну молекулу CH3OH (H → I) и, наконец, удаление CH2=O из реагирующей системы (I → K). Как видно из рис. 6, общий активационный барьер достигает 32.3 ккал/моль относительно исходной структуры E. Кроме того, общее изменение энергии Гиббса при превращении E → I составляет +11.44 ккал/моль. Таким образом, изученный маршрут представляется маловероятным, и отрыву молекулы формальдегида, по всей видимости, предшествуют стадии присоединения молекулы кислорода и образование молекулы H2O2. Изучение данного маршрута является предметом дальнейших исследований.
СИСТЕМЫ PD(RCO2)2/PY – НОВЫЙ ВЗГЛЯД
Системы Pd(OAc)2/L, где L – N-донорный лиганд, раньше всех начали применяться в аэробном окислении спиртов и довольно часто используются в качестве реперных. При этом, однако, о свойствах аналогичных систем на основе других бинарных карбоксилатов практически ничего не известно. Более того, внимательный анализ данных о простейшей системе Pd(OAc)2/py показывает, что и она изучена весьма ограниченным образом. Совсем недавно нами было начато детальное исследование кинетики и механизма окисления спиртов системами Pd(RCO2)2/L, где L – N-донорный лиганд. В частности, мы изучили кинетику окисления бензилового спирта в присутствии ацетата палладия Pd(OAc)2 или монохлорацетата палладия Pd(CH2ClCO2)2 в атмосфере чистого кислорода (1 бар) при температуре 80°С с добавлением пиридина в широком диапазоне соотношений Pd/py (от 2 : 1 до 1 : 10). Результаты представлены в табл. 2. Окисление бензилового спирта протекает селективно, единственным идентифицированным продуктом оказался, как и следовало ожидать, бензальдегид. Обработка полученных зависимостей концентрации спирта от времени реакции в рамках предложенной ранее модели (см. раздел 4) показала хорошее согласование экспериментальных и расчетных данных (рис. 7). В табл. 3 приведены результаты расчетов констант скорости разложения катализаторов (kразл) и собственно окисления спирта (kр).
Таблица 2. Выход бензальдегида в реакции окисления бензилового спирта в присутствии Pd(RCO2)2/py*
R | Содержание катализатора в расчете на Pd, мол. % | Pd/py | Выход, % |
Me | 5.0 | 2 : 1 | 88.6 |
Me | 5.0 | 1 : 1 | >98 |
Me | 2.5 | 1 : 1 | 85.2 |
Me | 1.0 | 1 : 1 | 61.6 |
CH2Cl | 5.0 | 1 : 1 | 83.6 |
Me | 5.0 | 1 : 2 | >98 |
CH2Cl | 5.0 | 1 : 2 | 53.0 |
Me | 5.0 | 1 : 3 | 88.5 |
CH2Cl | 5.0 | 1 : 3 | 6.1 |
Me | 5.0 | 1 : 4 | 85.8 |
Me | 5.0 | 1 : 5 | 74.2 |
Me | 5.0 | 1 : 10 | 59.8 |
*Условия процесса: T = 80°C, p(O2) = 1 атм, 4 ч.
Рис. 7. Экспериментальные и теоретические зависимости концентрации бензальдегида от времени в присутствии Pd(OAc)2/py, T = 80°C, p(O2) = 1 атм.
Таблица 3. Константы скорости разложения катализаторов (kразл) и окисления бензилового спирта (kр) в присутствии Pd(RCO2)2/py*
R | Содержание катализатора в расчете на Pd, мол. % | Pd/py | kр (TOF), ч–1 | kразл (t1/2) ч |
Me | 5.0 | 2 : 1 | 48.4 | 2.8 |
Me | 5.0 | 1 : 1 | 95.5 | 5.0 |
Me | 2.5 | 1 : 1 | 91.5 | 2.8 |
Me | 1.0 | 1 : 1 | 72.5 | 1.2 |
CH2Cl | 5.0 | 1 : 1 | 40.2 | 2.5 |
Me | 5.0 | 1 : 2 | 80.6 | 4.2 |
CH2Cl | 5.0 | 1 : 2 | 6.0 | 0.5 |
Me | 5.0 | 1 : 3 | 21.0 | 1.2 |
CH2Cl | 5.0 | 1 : 3 | 0.5 | 0.2 |
Me | 5.0 | 1 : 4 | 12.6 | 0.7 |
Me | 5.0 | 1 : 5 | 9.8 | 0.6 |
Me | 5.0 | 1 : 10 | 6.0 | 0.4 |
Нетрудно видеть, что обе константы достигают максимальных значений при соотношении Pd/py = 1 : 1 как в случае ацетата, так и монохлорацетата палладия. Ацетат палладия демонстрирует вдвое большую активность при соотношении Pd/py = 1 : 1 по сравнению с монохлорацетатом, при этом с ростом содержания пиридина активность монохлорацетата палладия падает быстрее, и уже при соотношении Pd/py = 1 : 3 становится исчезающе низкой. В то же время активность монохлорацетата палладия при соотношении Pd/py = 1 : 1 выше, чем ацетата палладия при соотношениях 1 : 3 и более, однако она в значительной мере нивелируется высокой скоростью разложения катализатора.
Интересно отметить, что, в то время как определенная константа скорости реакции практически не зависит от концентрации металла, как и следовало ожидать, константа скорости разложения (дезактивации) катализатора изменяется пропорционально концентрации палладия. Это, по всей видимости, связано с тем, что процесс разложения протекает с участием палладия в неактивной форме – в частности, в присутствии уже сформировавшихся частиц компактного металла.
ЗАКЛЮЧЕНИЕ
Селективное аэробное окисление спиртов представляет собой один из ключевых процессов современного органического синтеза. Системы на основе карбоксилатных комплексов палладия – наиболее распространенные и перспективные катализаторы для процессов такого рода. Несмотря на интенсивное изучение их поведения и наличие определенного консенсуса по механизму, в этой области по-прежнему остается широкое поле для исследований. В частности, нельзя считать до конца проясненными вопросы о способах активации палладиевых комплексов и путях их вхождения в каталитический цикл, о влиянии заместителей в карбоксилатных лигандах, о точном составе каталитически активных форм и о путях их деградации и выхода из каталитического цикла. До сих пор не решена задача окисления широкого круга функционализированных спиртов, содержащих хорошо координируемые металлом группы. Многие исследователи, и в их числе Олег Наумович Темкин, внесли существенный вклад в определение особенностей механизма и кинетики взаимодействия карбоксилатных комплексов палладия со спиртами. Однако, несомненно, эта работа далека от завершения и требует применения наиболее современных подходов, таких как анализ фазовых траекторий реакций [102] и др.
ФИНАНСИРОВАНИЕ
Авторы выражают благодарность Российскому научному фонду за финансовую поддержку исследований карбоксилатных комплексов палладия и их применения в тонком органическом синтезе (проект № 23-73-00123).
КОНФЛИКТ ИНТЕРЕСОВ
Авторы заявляют об отсутствии конфликта интересов, требующего раскрытия в данной статье.
Об авторах
О. Н. Шишилов
МИРЭА – Российский технологический университет
Автор, ответственный за переписку.
Email: oshishilov@gmail.com
Россия, Москва
В. А. Полякова
МИРЭА – Российский технологический университет
Email: oshishilov@gmail.com
Россия, Москва
Н. С. Ахмадуллина
Институт металлургии и материаловедения им. А.А. Байкова РАН
Email: oshishilov@gmail.com
Россия, Москва
Р. С. Шамсиев
МИРЭА – Российский технологический университет
Email: oshishilov@gmail.com
Россия, Москва
В. Р. Флид
МИРЭА – Российский технологический университет
Email: oshishilov@gmail.com
Россия, Москва
Список литературы
- Stahl S.S. // Angew. Chem. Int. Ed. 2004. V. 43. P. 3400.
- Zeni G., Larock R.C. // Chem. Rev. 2004. V. 104. P. 2285.
- Sigman M.S., Jensen D.R. // Acc. Chem. Res. 2006. V. 39. P. 221.
- Beccalli E.M., Broggini G., Martinelli M., Sottocornola S. // Chem. Rev. 2007. V. 107. P. 5318.
- Minatti A., Muñiz K. // Chem. Soc. Rev. 2007. V. 36. P. 1142.
- Karimi B., Zamani A. // J. Iran. Chem. Soc. 2008. V. 5. P. S1.
- Chen X., Engle K.M., Wang D.-H., Yu J.-Q. // Angew. Chem. Int. Ed. 2009. V. 49. P. 5094.
- Yeung C.S., Dong V.M. // Chem. Rev. 2011. V. 111. P. 1215.
- Liu C., Zhang H., Shi W., Lei A. // Chem. Rev. 2011. V. 111. P. 1780.
- McDonald R.I., Liu G., Stahl S.S. // Chem. Rev. 2011. V. 111. P. 2981.
- Liron F., Oble J., Lorion M.M., Poli G. // Eur. J. Org. Chem. 2014. P. 5863.
- Wang D., Weinstein A.B., White P.B., Stahl S.S. // Chem. Rev. 2018. V. 118. P. 2636.
- Курохтина А.А., Ларина Е.В., Лагода Н.А., Шмидт А.Ф. // Кинетика и катализ. 2022. Т. 63. № 5. С. 614.
- Тёмкин О.Н. // Кинетика и катализ. 2023. Т. 64. № 5. С. 528.
- Костюкович А.Ю., Патиль Е.Д., Бурыкина Ю.В., Анаников В.П. // Кинетика и катализ. 2023. Т. 64. № 1. С. 53.
- Hudlicky M. Oxidations in Organic Chemistry. American Chemical Society, Washington DC, 1990.
- Tojo G., Fernández M. Oxidation of Alcohol to Aldehydes and Ketones: A Guide to Common Practice. New York: Springer, 2006.
- Sheldon R.A. // Chem. Soc. Rev. 2012. V. 41. P. 1437.
- Modern Oxidation Methods. Ed. Bäckvall J.E. Winheim: Wiley-VCH, 2004.
- Punniyamurthy T., Velusamy S., Iqbal J. // Chem. Rev. 2005. V. 105. P. 2329.
- Schultz M.J., Sigman M.S. // Tetrahedron. 2006. V. 62. P. 8227.
- Berzelius J.J. // Pogg. Ann. 1828. V. 13. P. 435.
- Tsuji J. Paladium Reagents and Catalysts. New Perspectives for the 21st Centruy. Chichester. U.K.: J. Wiley & Sons, 2004.
- Jira R. // Angew. Chem. Int. Ed. 2009. V. 48. P. 9034.
- Keith J.A., Henry P.M. // Angew. Chem. Int. Ed. 2009. V. 48. P. 9038.
- Stahl S.S. // Science. 2005. V. 309. P. 1824.
- Stephenson T.A., Morehouse S.M., Powell A.R., Heffer J.P., Wilkinson G. // J. Chem. Soc. 1965. P. 3632.
- Бацанов А.С., Тимко Г.А., Стручков Ю.Т., Гэрбэлэу Н.В., Индричан К.М., Попович Г.А. // Коорд. химия. 1989. Т. 15. № 5. С. 688.
- Bancroft D.P., Cotton F.A., Falvello L.R., Schwotzer W. // Polyhedron. V. 7. № 8. P. 615.
- Козицына Н.Ю., Мартенс М.В., Столяров И.П., Нефедов С.Е., Варгафтик М.Н., Еременко И.Л., Моисеев И.И. // Журн. неорг. химии. 1999. Т. 44. № 11. С. 1915.
- Ефименко И.А., Подобедов Р.Е., Чураков А.В., Кузьмина Л.Г., Гарбузова И.А., Локшин Б.В., Максимов А.Л., Флид В.Р. // Коорд. химия. 2011. Т. 37. № 8. С. 625.
- Stromnova T.A., Monakhov K.Yu., Campora J., Palma P., Carmona E., Alvarez E. // Inorg. Chim. Acta. 2007. V. 360. P. 4111.
- Willcox D., Chappell B.G.N., Hogg K.F., Calleja J., Smalley A.P., Gaunt M.J. // Science. 2016. V. 354. P. 851.
- Moiseev I.I., Stromnova T.A., Vargaftik M.N., Mazo G. Ja., Kuz'mina L.G., Struchkov Yu.T. // J. Chem. Soc., Chem. Commun. 1978. V. 1. P. 27.
- Stromnova T.A., Shishilov O.N., Dayneko M.V., Monakhov K.Yu., Churakov A.V., Kuz’mina L.G., Howard J.A.K. // J. Organomet. Chem. 2006. V. 691. P. 3730.
- Shishilov O.N., Ankudinova P.V., Nikitenko E.V., Churakov A.V., Garbuzova I.A., Akhmadullina N.S., Minaeva N.A., Demina L.I., Efimenko I.A. // J. Organomet. Chem. 2014. V. 767. P. 112.
- Kirik S.D., Mulagaleev R.F., Blokhin A.I. // Acta Crystallogr., Sect. C: Cryst. Struct. Commun. 2004. V. C60. P. m449.
- Marson A., van Oort A.B., Mul W.P. // Eur. J. Inorg. Chem. 2002. P. 3028.
- Bakhmutov V.I., Berry J.F., Cotton F.A., Ibragimov S., Murillo C.A. // Dalton Trans. 2005. Р. 1989.
- Bianchini C., Meli A., Oberhauser W. // Organometallics. 2003. V. 22. P. 4281.
- Zagorodnikov V.P., Ryabov A.D., Yatsimirskii A.K. // Kinet. Сatal. 1981. V. 22. P. 132.
- Khabibulin V.R., Kulik A.V., Oshanina I.V., Bruk L.G., Temkin O.N., Nosova V.M., Ustynyuk Yu.A., Bel’skii V.K., Stash A.I., Lysenko K.A., Antipin M.Yu. // Kinet. Catal. 2007. V. 48. P. 228.
- Nosova V.M., Ustynyuk Yu.A., Bruk L.G., Temkin O.N., Kisin A.V., Storozhenko P.A. // Inorg. Chem. 2011. V. 50. P. 9300.
- Bedford R.B., Bowen J.G., Davidson R.B., Haddow M.F., Seymour-Julen A.E., Sparkes H.A., Webster R.L. // Angew. Chem. Int. Ed. 2015. V. 54. № 22. P. 6591.
- Stromnova T.A., Paschenko D.V., Boganova L.I., Daineko M.V., Katser S.B., Churakov A.V., Kuz’mina L.G., Howard J.A.K. // Inorg. Chim. Acta. 2003. V. 350. P. 283.
- Shishilov O.N., Stromnova T.A., Efimenko I.A., Churakov A.V., Howard J.A.K., Minaeva N.A. // J. Organomet. Chem. 2011. P. 2023.
- Shishilov O.N., Akhmadullina N.S., Rezinkova Ya.N., Podobedov R.E., Churakov A.V., Efimenko I.A. // Dalton Trans. 2013. V. 42. P. 3712.
- Shishilov O.N., Shamsiev R.S., Akhmadullina N.S., Naumova V.A., Flid V.R. // J. Mol. Struct. 2018. V. 1173. P. 974.
- Jira R. // Angew. Chem. Int. Ed. 2009. V. 48. № 48. P. 9034.
- Keith J.A., Henry P.M. // Angew. Chem. Int. Ed. 2009. V. 48. P. 9038.
- Gilgorich K.M., Sigman M.S. // Chem. Commun. 2009. P. 3854.
- Peterson K.P., Larock R.C. // J. Org. Chem. 1998. V. 63. № 10. P. 3185.
- Nishimura T., Onoue T., Ohe K., Uemura S. // J. Org. Chem. 1999. V. 64. № 18. P. 6750.
- Schultz M.J., Park C.C., Sigman M.S. // Chem. Commun. 2002. P. 3034.
- Schultz M.J., Hamilton S.S., Jensen D.R., Sigman M.S. // J. Org. Chem. 2005. V. 70. № 9. P. 3343.
- Steinhoff B.A., Fix S.R., Stahl S.S. // J. Am. Chem. Soc. 2002. V. 124. № 5. P. 766.
- Steinhoff B.A., Guzei I.A., Stahl S.S. // J. Am. Chem. Soc. 2004. V. 126. № 36. P. 11268.
- Schultz M.J., Adler R.S., Zierkiewicz W., Privalov T., Sigman M.S. // J. Am. Chem. Soc. 2005. V. 127. P. 8499.
- ten Brink G.-J., Papadogianakis G., Arends I.W.C.E., Sheldon R.A. // Appl. Catal. A: Gen. 2000. V. 194–195. P. 435.
- ten Brink G.-J., Arends I.W.C.E., Sheldon R.A. // Science. 2001. V. 287. № 5458. P. 1636.
- ten Brink G.-J., Arends I.W.C.E., Hoogenraad M., Verspui G., Sheldon R.A. // Adv. Synth. Catal. 2003. V. 345. P. 1341.
- ten Brink G.-J., Arends I.W.C.E., Hoogenraad M., Verspui G., Sheldon R.A. // Adv. Synth. Catal. 2003. V. 345. P. 497.
- Jensen D.R., Pugsley J.S., Sigman M.S. // J. Am. Chem. Soc. 2001. V. 123. № 30. P. 7475.
- Ferreira E.M., Stoltz B.M. // J. Am. Chem. Soc. 2001. V. 123. № 31. P. 7725.
- Jensen D.R., Schulz M.J., Mueller J.A., Sigman M.S. // Angew. Chem. Int. Ed. 2003. V. 42. № 32. P. 3810.
- Paavola S., Zatterberg K., Privalov T., Csöregh I., Moberg C. // Adv. Synth. Catal. 2004. V. 346. № 2–3. P. 237.
- Urgoitia G., SanMartin R., Herrero M.T., Domínguez E. // Green Chem. 2011. V. 13. P. 2161.
- Pearson D.M., Conley N.R., Waymouth R.M. // Organometallics. 2011. V. 30. № 6. P. 1445.
- ten Brink G.-J., Arends I.W.C.E., Sheldon R.A. // Adv. Synth. Catal. 2002. V. 344. № 3–4. P. 355.
- Steinhoff B.A., Stahl S.S. // J. Am. Chem. Soc. 2006. V. 128. № 13. P. 4348.
- Trend R.M., Stoltz B.M. // J. Am. Chem. Soc. 2004. V. 126. № 14. P. 4482.
- Trend R.M., Stoltz B.M. // J. Am. Chem. Soc. 2008. V. 130. № 47. P. 15957.
- Ebner D.C., Bagdanoff J.T., Ferreira E.M., McFadden R.M., Caspi D.C., Trend R.M., Stoltz B.M. // Chem. Eur. J. 2009. V. 15. № 47. P. 12978.
- Privalov T., Linde C., Zatterberg K., Moberg C. // Organometallics. 2005. V. 24. № 5. P. 885.
- Stahl S.S., Thorman J.L., Nelson R.C., Kozee M.A. // J. Am. Chem. Soc. 2001. V. 123. № 29. P. 7188.
- Konnick M.M., Guzel I.A., Stahl S.S. // J. Am. Chem. Soc. 2004. V. 126. № 33. P. 10212.
- Popp B.V., Wendlandt J.E., Landis C.R., Stahl S.S. // J. Am. Chem. Soc. 2007. V. 129. № 3. P. 601.
- Keith J.M., Nielsen R.J., Oxgaard J., Goddard W.A. // J. Am. Chem. Soc. 2005. V. 127. № 38. P. 13172.
- Denney M.C., Smythe N.A., Cetto K.L., Kemp R.A., Goldberg K.I. // J. Am. Chem. Soc. 2006. V. 128. № 8. P. 2058.
- Keith J.M., Muller R.P., Kemp R.A., Goldberg K.I., Goddard W.A., Oxgaard J. // Inorg. Chem. 2006. V. 45. № 24. P. 9631.
- Keith J.M., Goddard W.A. // J. Am. Chem. Soc. 2009. V. 131. № 4. P. 1416.
- Popp B.V., Stahl S.S. // J. Am. Chem. Soc. 2007. V. 129. № 14. P. 4410.
- Popp B.V., Stahl S.S. // Chem. Eur. J. 2009. V. 15. № 12. P. 2915.
- Bianchi D., Bortolo R., D'Aloisio R., Ricci M. // Angew. Chem. Int. Ed. 1999. V. 38. № 5. P. 706.
- Steinhoff B.A., King A.E., Stahl S.S. // J. Org. Chem. 2006. V. 71. № 5. P. 1861.
- Mueller J.A., Jensen D.R., Sigman M.S. // J. Am. Chem. Soc. 2002. V. 124. № 28. P. 8202.
- Bettucci L., Bianchini C., Filippi J., Lavacchi A., Overhauser W. // Eur. J. Inorg. Chem. 2011. № 11. P. 1797.
- Zhao J., Hasslink H., Hartwi J.F. // J. Am. Chem. Soc. 2001. V. 123. № 30. P. 7220.
- Macgregor S.A., Vadivelhu P. // Organometallics. 2007. V. 26. № 15. P. 3651.
- Zhao H., Ariafard A., Lin Z. // Organometallics. 2006. V. 25. № 4. P. 812.
- Theofanis P.L., Goddard R.A. // Organometallics. 2011. V. 30. № 18. P. 4941.
- Farfard C.M., Ozerov O.V. // Inorg. Chim. Acta. 2007. V. 360. P. 286.
- Melero C., Martínez-Prieto L.M., Palma P., del Río D., Álvarez E., Cámpora J. // Chem. Commun. 2010. V. 46. P. 8851.
- Schultz M.J., Hamilton S.S., Jensen D.R., Sigman M.S. // J. Org. Chem. 2005. V. 70. P. 3343.
- Conley N.R., Labios L.A., Pearson D.M., McCrory C.L.C., Waymouth R.M. // Organometallics. 2007. V. 56. № 23. P. 5447.
- Melero C., Shishilov O.N., Alvarez E., Palma P., Campora J. // Dalton Trans. 2012. V. 41. P. 14087.
- Urry W.H., Kharasch M.S. // J. Am. Chem. Soc. 1944. V. 66. № 9. P. 1438.
- Studer A., Bossart M. // Tetrahedron. 2001. V. 57. P. 9649.
- Boisvert L., Denney M.C., Kloek Hanson S., Goldberg K. // J. Am. Chem. Soc. 2009. V. 131. № 43. P. 15802.
- Huacuja R., Graham D.J., Farfard C.M., Chen C.-H., Foxman B.M., Herbert D.E., Allinger G., Thomas C.M., Ozerov O.V. // J. Am. Chem. Soc. 2011. V. 133. № 11. P. 3820.
- Traubmann S., Alt H.G. // J. Mol. Catal. A: Chem. 2008. V. 289. P. 44.
- Шмидт А.Ф., Курохтина А.А., Ларина Е.В., Лагода Н.А. // Тонкие химические технологии. 2023. Т. 18. № 4. С. 328.
Дополнительные файлы



















