Кинетика химических реакций в спрее
- Авторы: Федосеев В.Б.1, Федосеева Е.Н.2
-
Учреждения:
- ФГБУН Институт металлоорганической химии им. Г.А. Разуваева РАН
- ФГАОУ ВО Национальный исследовательский Нижегородский государственный университет им. Н.И. Лобачевского
- Выпуск: Том 65, № 2 (2024)
- Страницы: 107-115
- Раздел: СТАТЬИ
- URL: https://journals.rcsi.science/0453-8811/article/view/264989
- DOI: https://doi.org/10.31857/S0453881124020016
- EDN: https://elibrary.ru/DYCONV
- ID: 264989
Цитировать
Полный текст
Аннотация
С расширением области применения спрей-технологии возросло количество наблюдений, демонстрирующих существенное влияние размеров капель на кинетику химических процессов. В рамках формальной химической кинетики сформулированы уравнения, связывающие концентрации реагентов, объем капель, исходный состав раствора, состав газовой среды и скорость процессов. На примере реакций второго порядка (соединения, обмена, конденсации, полимеризации, поликонденсации) показано, что размерные кинетические эффекты возникают, когда химические процессы сопровождаются изменением равновесных с газовой средой размеров капель. Приведены результаты компьютерного моделирования реакции конденсации и процесса поликонденсации, воспроизводящие размерные эффекты. Кинетические кривые, полученные при моделировании процесса поликонденсации, сопоставлены с экспериментальными данными.
Полный текст
ВВЕДЕНИЕ
Размерные кинетические эффекты в аэрозолях представляют практический интерес для технологических процессов, в которых химический синтез происходит непосредственно в каплях. Широкое распространение получили методы спрей-пиролиза [1, 2], а также менее энергоемкие технологии, такие как аэрозольный проточный реактор (aerosol flow reactor) [3, 4], аэрозольная фотополимеризация (aerosol photopolymerization) [5, 6], реактивная распылительная сушка (reactive spray-drying) [7, 8] и другие. В спрее возникают несуществующие в макроскопических системах метастабильные термодинамические состояния [9, 10], меняются условия протекания реакций [11, 12], формируются материалы с особой структурой [1, 2, 13], составом [6, 14] и свойствами [15].
Достаточно детально в литературе рассмотрены размерные кинетические эффекты при горении топлива в распыленном состоянии [16] и гетерогенном катализе [17–19], где поверхность влияет на порядок реакции, константу скорости (энергию активации и предэкспоненциальный множитель). В [20, 21] проанализированы некоторые иные факторы (морфология и фазовый состав частиц), определяющие размерные эффекты при гетерогенно-каталитических реакциях окисления и гидрирования.
Авторы [22] утверждают, что в большинстве частиц атмосферного аэрозоля фотохимические реакции идут с большей скоростью, чем в макросистеме. В [23] описана сильная нелинейная зависимость времени жизни продуктов озонолиза в аэрозолях. При исследовании кинетики реакций в аэрозольных частицах выявлен быстрый вырожденно-разветвленный режим реакции [24] и ускорение образования сульфатов.
Обзор кинетических эффектов, наблюдаемых в микрокаплях, приведен в [25]. Быстрый синтез полипептидных частиц в процессе распылительной сушки описан в [8]. Там же и в работе [26] обращается внимание на особенности выбора растворителей и заметное снижение требований к чистоте реакционной смеси.
Размерный кинетический эффект обнаружен при полимеризации капель мономера, окруженных несмешивающейся жидкостью раствора инициатора [27]. В работе [28] численно смоделирован размерный кинетический эффект на примере реакции конденсации глицина с глюкозой. При интегрировании кинетического уравнения было показано, что скорость реакции и степень превращения в капле существенно выше, чем в макросистеме.
Цель работы – распространить формализм [28], описывающий размерные кинетические эффекты в спрее, на более широкий круг реакций, проиллюстрировав его сопоставлением модельных расчетов и эксперимента на примере реакции поликонденсации.
ТЕОРЕТИЧЕСКАЯ ИНТЕРПРЕТАЦИЯ РАЗМЕРНЫХ КИНЕТИЧЕСКИХ ЭФФЕКТОВ
В [28] причиной возникновения размерных кинетических эффектов названа зависимость концентрации летучих компонентов (растворителей, реагентов и продуктов) от радиуса капель и состава газовой среды. Она является следствием выравнивания химических потенциалов летучих компонентов в конденсированной и газовой фазах. Инвариантность химических потенциалов при фазовом равновесии отображается законом Рауля (для реальных растворов – закон Генри) и уравнениями Кельвина и Оствальда–Фрейндлиха [29].
В соответствии с уравнением Кельвина концентрация летучего компонента в капле раствора равна:
(1)
где и – давление насыщенного пара над чистым компонентом i и его парциальное давление в газовой фазе, –– коэффициент активности, Vi – мольный объем, A – поверхностное натяжение, r – радиус, R – газовая постоянная, T – температура. Для идеальных растворов , для реальных растворов является функцией концентрации и термодинамических условий.
Уравнение (1) полностью определяет равновесный размер капель идеального раствора, содержащего нелетучие и малорастворимые компоненты [30, 31]. Изменение состава и количества нелетучих компонентов при химических превращениях может вызвать испарение или конденсацию летучих компонентов, что меняет концентрации нелетучих реагентов и, в соответствии с формальной химической кинетикой, скорость химических реакций. Таким образом, уменьшение радиуса капель ускоряет, а увеличение замедляет химические процессы в капле. Это одна из основ размерных кинетических эффектов в спрее.
Другим основанием для обсуждения роли размерных эффектов в кинетике химических процессов являются термодинамические аспекты влияния размера капель аэрозоля на химическое равновесие [12]. Зависимость констант химического равновесия от размера капель предполагает соответствующее изменение скоростей прямой и обратной химических реакций.
Продемонстрируем взаимосвязь концентраций летучих и нелетучих компонентов с размером капель и составом газовой фазы на примере реакций второго порядка. Для этого скорость реакции второго порядка в капле раствора радиусом представим в виде:
(2)
здесь – константа скорости химической реакции, и – концентрация (моль/л) и число молей реагентов в капле, – объем капли, – мольные объемы компонентов. Индексами K = А, В, С, D обозначены нелетучие реагенты и продукты реакции, индекс S ниже соответствует летучему растворителю.
Концентрации реагентов в капле могут меняться не только в результате химических превращений, но и при испарении или конденсации летучих компонентов реакционной смеси, в частности растворителя и продуктов реакции. Тогда изменение объема сопровождается изменением скорости реакции (2).
Ограничим рассмотрение кинетическим режимом протекания реакции. В этом случае применимо изотермическое приближение, позволяющее пренебрегать временем установления межфазного равновесия, а капли считать однородными по составу и температуре [32]. При диффузионном режиме необходимо описание, учитывающее процессы массо- и теплопереноса внутри капель [33, 34], в частности, при полимеризации [35]. В общем случае эволюция капель аэрозоля, содержащего реакционную смесь, представляет собой совокупность кинетических, тепло- и массообменных процессов внутри и в окрестности капель [34–36].
Если капли не обмениваются нелетучими компонентами с внешней средой, равновесный с газовой фазой объем равен:
(3)
где и – суммарное число молей и объем нелетучих компонентов в капле, хi и – мольная доля и мольный объем i-того компонента. Число молей летучих (vol) компонентов в капле связано с составом газовой фазы уравнением (1).
Таким образом, в кинетическом режиме радиус капель определен текущим составом нелетучих компонентов и составом газовой фазы (1) и (3). Те же уравнения позволяют оценить отношение скоростей реакций для капель и макросистемы, из которого следует, что скорость реакций в капле раствора больше, чем в макросистеме:
здесь – порядок реакции, – мольная доля летучего растворителя в окрестности капли (1) и макросистеме (), величина С содержит константы и величины, которые не зависят от .
Сначала рассмотрим реакцию соединения с образованием нелетучего продукта . Степень превращения () и числа молей компонентов для стехиометрической смеси () в процессе превращения равны:
здесь – исходное число молей реагента.
Равновесный с газовой фазой объем капли равен
(4)
где .
Для идеальных растворов трансцендентному уравнению (4) удовлетворяет единственное значение . Соответственно скорость реакции в кинетическом режиме будет функцией тех же параметров ().
Образование летучего продукта, являющегося растворителем , меняет объем капли несколько иначе. В этом случае равновесный объем капли сильнее зависит от степени превращения () для стехиометрической смеси ():
(5)
здесь
Количество летучего компонента определяется количеством нелетучих реагентов: при процесс идет с постоянным ускорением, а капля в конечном итоге полностью испарится. Образование отличных от растворителя летучих продуктов также способствует ускорению реакции, но может заканчиваться образованием монодисперсного аэрозоля [30].
Аналогичные закономерности характерны и для реакций обмена. Рассмотрим реакции с нелетучими реагентами типа (а) и (б). В случае (а) и реагенты, и продукты нелетучие. В случае (б) летучий растворитель одновременно является продуктом реакции (нейтрализации, конденсации, этерификации и др.). Для стехиометрической смеси () степень превращения и количества компонентов равны , , , для растворителя в случае (а) и в случае (б)
Равновесный объем капли зависит от типа реакции. Для (а) имеем:
(6)
где
Для (б) имеем:
(7)
где
Если , размерный кинетический эффект должен наблюдаться только для реакций типа (б), так как в случае (а) объем капли не изменяется (6). Тем не менее, эффект возникнет и при реакциях типа (а), если меняется поверхностное натяжение реакционной смеси. Например, рост поверхностного натяжения в соответствии с (1) способствует уменьшению , объема капли и ускорению химических процессов (2).
Если в реакциях участвует летучий реагент, размерные кинетические эффекты усложняются. Это можно показать на примере реакций второго порядка, в которых реагентом является растворитель. В кинетическом уравнении (2) появляется дополнительный множитель, возрастающий при уменьшении радиуса:
(8)
Схему (8) можно расширить, рассматривая более сложные ситуации. Например, для смесей, в состав которых входит несколько летучих (vol) компонентов, множитель принимает вид (3), а при наличии не участвующих в реакции нелетучих (nvol) компонентов содержание летучих компонентов в капле описывается соотношением . Объем капли этого многокомпонентного раствора равен:
(9)
Скорость реакции между летучими реагентами X и Y в капле имеет вид:
(10)
где n – суммарное число молей в капле.
При (все компоненты реакционной смеси являются летучими) уравнение (1) определяет равновесный с газовой средой состав и радиус капли в соответствии с тождеством
В этом случае скорость реакции в кинетическом приближении зависит только от состава газовой фазы и свойств компонентов:
(11)
здесь – мольный объем раствора.
Возникает ситуация, когда капля непрерывно поглощает реагенты из газовой фазы и испаряет продукты. Если реакция идет и в газовой, и в конденсированной фазе, то присутствие аэрозоля должно способствовать ускорению химических процессов, так как в конденсированной фазе объемная концентрация реагентов выше.
Образование нелетучих продуктов увеличивает все переменные величины, входящие в уравнение (10). В этом случае кинетика процесса зависит от свойств компонентов (мольный объем, поверхностная активность, парциальное давление).
Приведенный формализм можно распространить на реакции разного порядка и многостадийные процессы. В соответствии с (4)–(11) размерные кинетические эффекты связаны с составом реакционной смеси и объемом капли. Оба эти фактора являются существенными при полимеризации или поликонденсации. Естественно ожидать, что размерные кинетические эффекты имеют большое значение и для этих процессов. Рассмотрим их более детально.
Рост цепи полимера описывается реакцией при полимеризации и при поликонденсации (символами M и P обозначены мономер и полимер). Пусть процесс протекает в летучем растворителе S, который при поликонденсации является участником реакции. Степень превращения (конверсия мономера) определяет текущее количество мономера , полимера и растворителя здесь – исходное число молей мономера, – средняя степень полимеризации.
Равновесный объем капли при полимеризации и поликонденсации равен
(12)
(13)
здесь и – контракция при полимеризации и поликонденсации соответственно.
Средняя степень полимеризации может быть описана разными способами. В тривиальном случае можно принять условие . Например, при те же уравнения соответствуют реакции димеризации. Нами использована оценка, основанная на комбинаторной теории разбиений , где – число Авогадро [37, 38]. В этом приближении растет с увеличением конверсии, и ее максимальное значение определено исходным размером капли. Очевидно, что комбинаторное приближение окажется некорректным при действии факторов, влияющих на (инициатор, ингибитор и др.).
Приведенное формальное описание дает обоснование существованию размерных кинетических эффектов. Их практическую значимость подтверждают количественные оценки с их сопоставлением с экспериментом. Пример численного моделирования размерных кинетических эффектов дан в [28]. Аналогичную оценку воспроизведем для более сложного процесса – реакции поликонденсации.
РЕЗУЛЬТАТЫ МОДЕЛИРОВАНИЯ РАЗМЕРНЫХ ЭФФЕКТОВ
В качестве примера рассмотрим реакцию поликонденсации молочной кислоты, идущую с образованием полилактида (ПЛА). Согласно [39], реакции образования лактидов и полилактида из S-молочной кислоты характеризуются небольшими положительными значениями энергии Гиббса. В отличие от реакции конденсации глицина с глюкозой, рассмотренной в [28], поликонденсация молочной кислоты обратима. Процесс может идти самопроизвольно, но при этом в макросистеме равновесие сдвинуто в сторону гидролиза. Экспериментально исследованные особенности ее течения в спрее [40] позволяют сопоставить результаты расчета и опыта.
В условиях спрея конверсия молочной кислоты моделируется уравнением
(14)
здесь и – константы скорости поликонденсации и гидролиза, – эффективная константа скорости димеризации мономера, которая косвенно учитывает обратимость димеризации, .
Реакция димеризации добавлена, чтобы избежать нулевой скорости полимеризации в момент , когда и . Но для того, чтобы образование димера не лимитировало конверсию мономера, константа скорости этой реакции принята малой (). При этом димер отождествляется с полимером, инициируя начало поликонденсации.
Выражая скорость через степень превращения, получим
На рис. 1 показаны кинетические кривые, полученные как результат моделирования процесса поликонденсации водного раствора молочной кислоты (xS = 0.56, влажность – 30%, температура – 298 К) при условии k = kh для капель разного размера. Точность и устойчивость интегрирования определяются шагом kdt, позволяющим при расчетах использовать безразмерное время и произвольные значения констант скорости реакции.
Рис. 1. Результаты моделирования динамики поликонденсации молочной кислоты в каплях с радиусом, мкм: 27 (1), 58 (2), 125 (3), 270 (4), 582 (5). Стрелка указывает положение максимума на кривой 5.
Для сравнения на рис. 2 приведена экспериментально выявленная динамика контракции капель водного раствора молочной кислоты [40]. Контракция является результатом испарения низкомолекулярного продукта (воды) и поликонденсации молочной кислоты. Капли создавали распылением водного раствора молочной кислоты (80 мас. % или x0 = 0.56 , x1 = 0.44, влажность – 33 ± 2%, температура – 23–25°С) на предметное стекло. Каких-либо дополнительных реагентов и воздействий не применяли. Кривые контракции восстанавливали из последовательности цифровых изображений ансамбля капель, записанных цифровым микроскопом (Levenguk D670T).
Рис. 2. Изменение скорости контракции при высыхании сидячих капель раствора молочной кислоты в процессе поликонденсации с радиусом, мкм: 2 (1), 10 (2), 14 (3), 30 (4).
Положение максимума скорости поликонденсации при моделировании определено произведением . При использовании комбинаторного приближения , максимум скорости достигается при α = 1/3. При этом максимальная скорость υmax и время ее достижения имеют вид и .
Поскольку характерное время процесса в спрее (без катализатора при температуре 25°С) [40] сопоставимо с продолжительностью синтеза ПЛА в макросистеме [41–43], для грубой оценки времени достижения максимума скорости процесса было использовано приведенное в [41] значение k ≈ 10–5 моль л–1с–1. В пересчете к температуре 298 К эта величина будет на 3–4 порядка ниже.
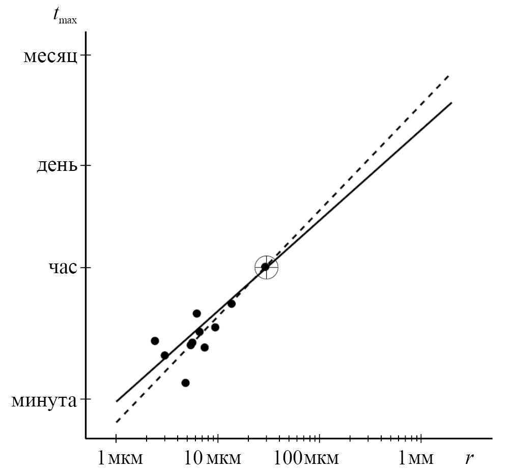
Экспериментальная и теоретическая зависимости (рис. 3) вполне сопоставимы, если принять во внимание, что диаметр микронных капель определяется в опыте с большой погрешностью, а связь между скоростью поликонденсации и контракцией – нелинейная. Различие показателей степени может означать, что комбинаторная оценка завышает степень полимеризации. В r = 30 мкм максимум скорости достигается через 1 ч (рис. 2). При этом обе зависимости прогнозируют, что в миллиметровых каплях максимальная скорость будет достигнута через несколько суток. Для более крупных капель это время бессмысленно велико, следовательно, скорость процесса стремится к нулю.
Рис. 3. Теоретическая и экспериментальная (пунктир) оценки времени достижения максимума скорости поликонденсации в зависимости от радиуса капли. Теоретическая зависимость нормирована по капле радиусом 30 мкм (окружность).
ЗАКЛЮЧЕНИЕ
Формальное рассмотрение реакций второго порядка разного типа позволяет утверждать, что в общем случае размерные кинетические эффекты должны проявляться при химических и фазовых превращениях в аэрозолях. Их результатом может быть и ускорение, и замедление процессов. Это определяется составом конденсированной и газовой фаз, свойствами реагентов и типом реакции.
Приведенные результаты моделирования и эксперимент отчетливо демонстрируют ускорение поликонденсации при уменьшении размеров капель и согласуются с теоретической интерпретацией размерных кинетических эффектов.
Теоретическое описание выявляет ряд факторов, существенно влияющих на кинетику химических процессов в аэрозолях, а именно: изменение объема и числа молей нелетучих компонентов при реакции, а также свойства реагентов и продуктов реакции, оказывающие воздействие на фазовое равновесие жидкость–газ (1) (мольный объем, поверхностная активность, парциальное давление в газовой фазе). Для процессов полимеризации важным фактором является зависимость степени полимеризации от размера капель и конверсии. Именно поэтому чаще всего ускорение химических процессов в аэрозолях обнаруживается при исследованиях полимеризации и фотополимеризации.
Размерный кинетический эффект, вне зависимости от этих факторов, должен проявляться на стадии формирования спрея, когда устанавливается равновесие между раствором и газовой средой [28, 30].
Для быстро протекающих реакций большая удельная поверхность позволяет эффективно удалять низкомолекулярные продукты и выделяющееся в реакции тепло и стабилизировать химические процессы. При этом переход реакции в диффузионный режим может приводить к возникновению дополнительных размерных эффектов, связанных с неоднородным распределением реагентов в капле [27].
ФИНАНСИРОВАНИЕ
Работа выполнена в соответствии с государственным заданием ИМХ РАН с использованием оборудования центра коллективного пользования “Аналитический центр ИМХ РАН” при поддержке гранта “Обеспечение развития материально-технической инфраструктуры центров коллективного пользования научным оборудованием” (Уникальный идентификатор RF-2296.61321X0017, номер соглашения 075-15-2021-670).
КОНФЛИКТ ИНТЕРЕСОВ
Авторы заявляют об отсутствии конфликта интересов, требующего раскрытия в данной статье
Об авторах
В. Б. Федосеев
ФГБУН Институт металлоорганической химии им. Г.А. Разуваева РАН
Автор, ответственный за переписку.
Email: vbfedoseev@yandex.ru
Россия, ул. Тропинина, 49, Нижний Новгород, 603137
Е. Н. Федосеева
ФГАОУ ВО Национальный исследовательский Нижегородский государственный университет им. Н.И. Лобачевского
Email: vbfedoseev@yandex.ru
Россия, просп. Гагарина, 23, корп. 5, Нижний Новгород, 603022
Список литературы
- Leng J., Wang Z., Wang J., Wu H.H., Yan G., Li X., Guo H., Liu Y., Zhang Q., Guo Z. // Chem. Soc. Rev. Royal Society of Chemistry. 2019. V. 48. № 11. P. 3015. https://doi.org/10.1039/c8cs00904j
- Łatka L., Pawłowski L., Winnicki M., Sokołowski P., Małachowska A., Kozerski S. // Appl. Sci. 2020. V. 10. № 15. https://doi.org/10.3390/app10155153
- Raula J., Eerikäinen H., Lähde A., Kauppinen E.I. // Nanoparticulate Drug Delivery System. 2007. № 7. P. 111. https://doi.org/10.1201/9781420008449-8
- Bernard F., Fedioun I., Peyroux F., Quilgars A., Daële V., Mellouki A. // J. Aerosol Sci. 2012. V. 43. № 1. P. 14. https://doi.org/10.1016/j.jaerosci.2011.08.005
- Akgün E., Hubbuch J., Wörner M. // Macromol. Mater. Eng. 2014. V. 299. № 11. P. 1316. https://doi.org/10.1002/mame.201400032
- Suvarli N., Perner-Nochta I., Hubbuch J., Wörner M. // Polymers (Basel). 2021. V. 13. № 24. P. 4363. https://doi.org/10.3390/polym13244363
- Reinhold M., Horst C., Hoffmann U. // Chem. Eng. Sci. 2001. V. 56. № 4. P. 1657. https://doi.org/10.1016/S0009-2509(00)00394-8
- Glavas L., Odelius K., Albertsson A.C. // Biomacromol. Am. Chem. Soc. 2016. V. 17. № 9. P. 2930. https://doi.org/10.1021/acs.biomac.6b00747
- Murray B.J., Bertram A.K. // Phys. Chem. Chem. Phys. 2006. V. 8. № 1. P. 186. https://doi.org/10.1039/b513480c
- Федосеев В.Б., Федосеева Е.Н. // Письма в ЖЭТФ. 2013. Т. 97. № 7. С. 473. 10.7868/S0370274X13070072 (Fedoseev V.B., Fedoseeva E.N. // JETP Lett. 2013. V. 97. № 7. P. 408). https://doi.org/10.1134/S0021364013070059
- Lee J.K., Walker K.L., Han H.S., Kang J., Prinz F.B., Waymouth R.M., Nam H.G., Zare R.N. // Proc. Natl. Acad. Sci. 2019. V. 116. № 39. P. 19294. https://doi.org/10.1073/pnas.1911883116
- Федосеев В.Б., Федосеева Е.Н. // Конденсированные среды и межфазные границы. 2022. № 24(1). С. 101. 10.17308/kcmf.2022.24/9060 (Fedoseev V.V., Fedoseeva E.N. // Condensed Matter and Interphases. 2022. V. 24. № 1. P. 101). https://doi.org/10.17308/kcmf.2022.24/9060
- Chen P., Ye N., He C., Tang L., Li S., Sun L., Li Y. // Appl. Sci. 2019. V. 9. № 2. P. 228. https://doi.org/10.3390/app9020228
- Partch R.E., Nakamura K., Wolfe K.J., Matijević E.// J. Colloid Interface Sci. 1985. V. 105. № 2. P. 560. https://doi.org/10.1016/0021-9797(85)90331-5
- Arias V., Odelius K., Albertsson A.C. // Macromol. Rapid Commun. 2014. V. 35. № 22. P. 1949. https://doi.org/10.1002/marc.201400374
- Petranović Z., Edelbauer W., Vujanović M., Duić N. // Fuel. 2017. V. 191. P. 25. https://doi.org/10.1016/j.fuel.2016.11.051
- Roelofs F., Vogelsberger W., Buntkowsky G. // Zeitschrift fur Phys. Chemie. 2008. V. 222. № 8–9. P. 1131. https://doi.org/10.1524/zpch.2008.5393
- Cui Z., Xue Y., Xiao L., Wang, T. // J. Comput. Theor. Nanosci. 2013. V. 10. № 3. P. 569. https://doi.org/10.1166/jctn.2013.2735
- Xue Y., Wang X., Cui Z. // Prog. React. Kinet. Mech. 2011. V. 36. № 4. P. 329. https://doi.org/10.3184/146867811X13103063934186
- Стрижак П.Е., Трипольский, А.И., Космамбетова Г.Р., Диденко О.З., Гурник Т.Н. // Кинетика и катализ. 2011. Т. 52. № 1. С. 131. (Strizhak P.E., Trypolskyi A.I., Kosmambetova G.R., Didenko O.Z., Gurnyk T.N. // Kinet. Catal. 2011. V. 52. № 1. P. 128. https://doi.org/10.1134/S0023158411010186)
- Шишулин А.В., Федосеев В.Б. // Кинетика и катализ. 2019. Т. 60. № 3. С. 334. 10.1134/S0453881119030134 (Shishulin A.V., Fedoseev V.B. // Kinet. Catal. 2019. V. 60. № 3. P. 315. https://doi.org/10.1134/S0023158419030121)
- Corral Arroyo P., David G., Alpert P.A., Parmentier E.A., Ammann M., Signorell R. // Science (New York). 2022. V. 376. № 6590. P. 293. https://doi.org/10.1126/science.abm7915
- Qiu J., Ishizuka S., Tonokura K., Colussi A.J., Enami S. // J. Phys. Chem. Lett. 2019. V. 10. № 19. P. 5748. https://doi.org/10.1021/acs.jpclett.9b01953
- Ермаков А.Н. // Кинетика и катализ. 2023. Т. 64. № 1. С. 86. 10.31857/S045388112301001X (Yermakov А.N. // Kinetics and Catalysis. 2023. V. 64. № 1. P. 74. https://doi.org/10.1134/S0023158423010019)
- Wei Z., Li, Y., Cooks R.G., Yan X. // Annu. Rev. Phys. Chem. 2020. V. 71. P. 31. https://doi.org/10.1146/annurev-physchem-121319-110654
- Raula J., Eerikäinen H., Kauppinen E.I. // Int. J. Pharm. 2004. V. 284. № 1–2. P. 13. https://doi.org/10.1016/j.ijpharm.2004.07.003
- Roshchin D.E., Patlazhan S.A., Berlin A.A. // Eur. Polym. J. 2023. P. 112002. https://doi.org/10.1016/j.eurpolymj.2023.112002
- Федосеев В.Б. // Письма в журнал технической физики. 2023. Т. 49. № 8. С. 32. 10.21883/PJTF.2023.08.55135.19469 (Fedoseev V.B. // Tech. Phys. Lett. 2023. V. 49. № 4. P. 71). https://doi.org/10.21883/TPL.2023.04.55884.19469
- Русанов А.И. // Коллоидный журнал. 2012. Т. 74. № 2. С. 148. (Rusanov, A.I. // Colloid J. 2012. V. 74. № 2. P. 136). https://doi.org/10.1134/S1061933X1202010X
- Федосеев В.Б., Федосеева Е.Н. // Инженерно-физический журнал. 2020. Т. 93. № 5. С. 1154. (Fedoseev V.B., Fedoseeva E.N. // J. Eng. Phys. Thermophys. 2020. V. 93. № 5. P. 1116). https://doi.org/10.1007/s10891-020-02212-6
- Федосеев В.Б., Федосеева Е.Н. // Инженерно-физический журнал. 2019. Т. 92. № 5. С. 2229. (Fedoseev, V.B., Fedoseeva E.N. // J. Eng. Phys. Thermophys. 2019. V. 92. № 5. P. 1191). https://doi.org/10.1007/s10891-019-02033-2
- Франк-Каменецкий Д.А. Основы макрокинетики. Диффузия и теплопередача в химической кинетике. Долгопрудный: Издательский Дом “Интеллект”, 2008. 408 с.
- Marin A., Karpitschka S., Noguera-Marín D., Cabrerizo-Vílchez M.A., Rossi M., Kähler C.J., Rodríguez Valverde M.A. // Phys. Rev. Fluids. 2019. V. 4. № 4. P. 041601. https://doi.org/10.1103/PhysRevFluids.4.041601
- Zaveri R.A., Easter R.C., Shilling J.E., Seinfeld, J.H. // Atmos. Chem. Phys. 2014. V. 14. № 10. P. 5153. https://doi.org/10.5194/acp-14-5153-2014
- Säckel W., Nieken U. // Macromol. Symp. 2013. V. 333. № 1. P. 297. https://doi.org/10.1002/masy.201300058
- Fisenko S.P., Wang W., Wuled Lenggoro I., Okyuama K. // Chem. Eng. Sci. 2006. V. 61. № 18. P. 6029. https://doi.org/10.1016/j.ces.2006.05.028
- Федосеев В.Б. // Вестник ННГУ. 2000. № 1. С. 146.
- Эндрюс Г. Теория разбиений. Москва: Наука, 1982. 256 с.
- Емельяненко В.Н., Веревкин С.П., Шик К., Степурко Е.Н., Роганов Г.Н., Георгиева М.К. // Журнал физической химии. 2010. Т. 84. № 9. С. 1638. (Emel'yanenko V.N., Verevkin S.P., Schick C., Stepurko E.N., Roganov G.N., Georgieva M.K. // Russ. J. Phys. Chem. A. 2010. V. 84. № 9. P. 1491). https://doi.org/10.1134/S0036024410090074
- Федосеев В.Б., Федосеева Е.Н. // Инженерно-физический журнал. 2023. Т. 96, № 5. С. 1204. (Fedoseev V.B., Fedoseeva E.N. // J. Eng. Phys. Thermophys. 2023. V. 96. № 5. P. 1196). https://doi.org/10.1007/s10891-023-02785-y
- Harshe Y.M., Storti G., Morbidelli M., Gelosa S., Moscatelli D. // Macromol. React. Eng. 2007. V. 1. № 6. P. 611. https://doi.org/10.1002/mren.200700019
- Kim K.W., Woo S.I. // Macromol. Chem. Phys. 2002. V. 203. № 15. P. 2245. https://doi.org/10.1002/1521-3935(200211)203:15<2245::AID-MACP2245>3.0.CO;2-3
- Ren J. // Biodegradable Poly(Lactic Acid): Synthesis, Modification, Processing and Applications. Berlin, Heidelberg: Springer Berlin Heidelberg, 2010. P. 15.
Дополнительные файлы






