Decomposition and O3-Catalytic Oxidation of n-С4Н10
- Authors: Bokarev D.A.1, Paramoshin I.V.1, Kanaev S.A.1, Stakheev A.Y.1
-
Affiliations:
- N.D. Zelinsky Institute of Organic Chemistry RAS
- Issue: Vol 64, No 5 (2023)
- Pages: 661-664
- Section: ARTICLES
- URL: https://journals.rcsi.science/0453-8811/article/view/140955
- DOI: https://doi.org/10.31857/S0453881123050027
- EDN: https://elibrary.ru/MUHVDC
- ID: 140955
Cite item
Full Text
Abstract
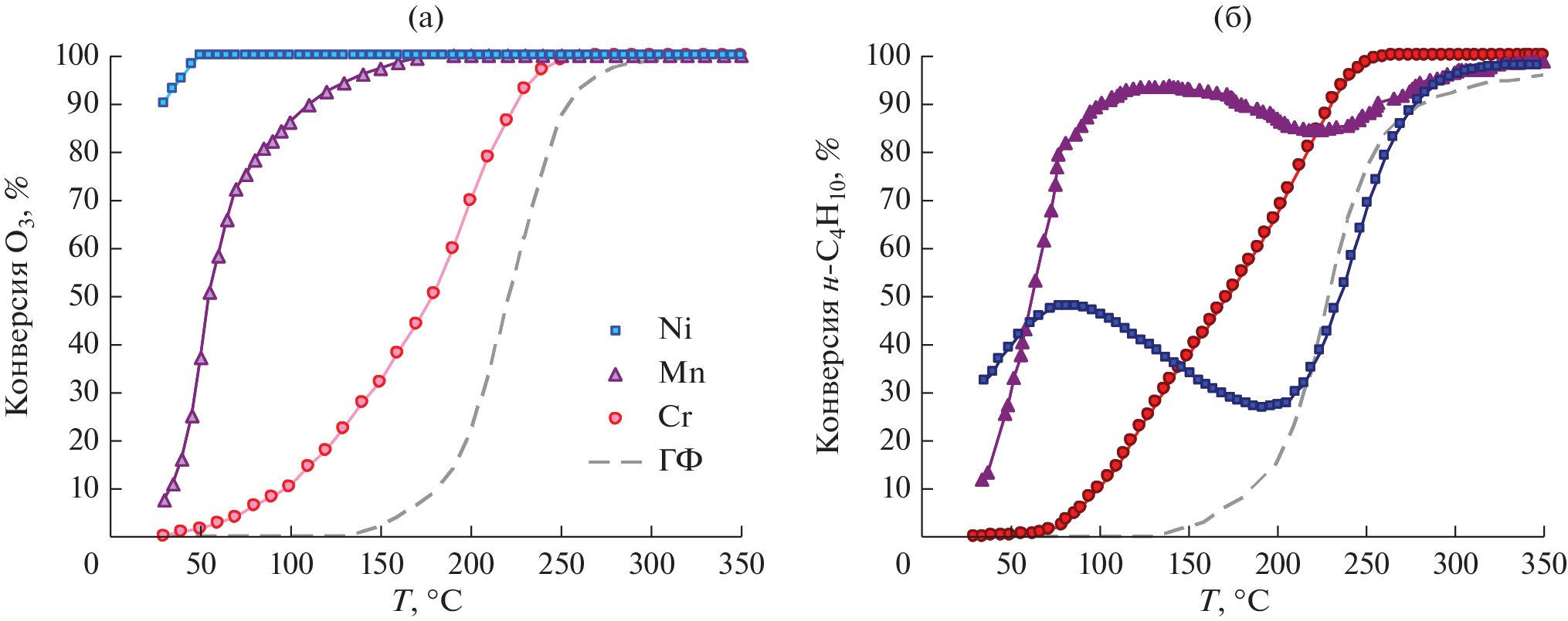
The activity of transition metal oxides (V, Cr, Mn, Fe, Co, Ni, Cu, Zn) deposited on γ-Al2O3 in the ozone decomposition reaction has been studied. The catalytic characteristics of samples with high (NiO/Al2O3), low (Cr2O3/Al2O3) and intermediate (MnOx/Al2O3) activity in ozone decomposition were studied in the process of ozone-catalytic oxidation (OZCO) of butane. The obtained results allow us to conclude that the optimal activity of transition metal oxide in the decomposition of O3 is of key importance in the OZCO process. At a low rate of ozone decomposition, the oxidation of hydrocarbons is limited by the rate of formation of atomic oxygen, in the case of too high - the conversion of hydrocarbons is reduced due to the “inappropriate” process of recombination of atomic oxygen. The best catalytic characteristics in the oxidation of h C4H10 have been established for a catalyst based on Mn oxide, which has optimal activity in the decomposition of O3.
About the authors
D. A. Bokarev
N.D. Zelinsky Institute of Organic Chemistry RAS
Email: st@ioc.ac.ru
Russia, 119991, Moscow,
Leninsky prospekt, 47
I. V. Paramoshin
N.D. Zelinsky Institute of Organic Chemistry RAS
Email: st@ioc.ac.ru
Russia, 119991, Moscow,
Leninsky prospekt, 47
S. A. Kanaev
N.D. Zelinsky Institute of Organic Chemistry RAS
Email: st@ioc.ac.ru
Russia, 119991, Moscow,
Leninsky prospekt, 47
A. Y. Stakheev
N.D. Zelinsky Institute of Organic Chemistry RAS
Author for correspondence.
Email: st@ioc.ac.ru
Russia, 119991, Moscow,
Leninsky prospekt, 47
References
- Liu B., Ji J., Zhang B., Huang W., Gan Y., Leung D.Y.C., Huang H. // J. Hazard. Mater. 2022. V. 422. P. 126847.
- Mytareva A.I., Mashkovsky I.S., Kanaev S.A., Bokarev D.A., Baeva G.N., Kazakov A.V., Stakheev A.Y. // Catalysts. 2021. V. 11. P. 506.
- Lin F., Wang Z., Zhang Z., He Y., Zhu Y., Shao J., Yuan D., Chen G., Cen K. // Chem. Eng. J. 2020. V. 382. P. 123030.
- Einaga H., Maeda N., Nagai Y. // Catal. Sci. Technol. 2015. V. 5. P. 3147.
Supplementary files





