Stereoselectivity of Acetylene Hydrochlorination over Supported PdCl2/С Catalysts
- Authors: Krasnyakova T.V.1,2, Nikitenko D.V.1, Kobets K.D.1, Krasniakova I.O.3, Gogilchin A.S.1, Bugaev A.L.3, Mitchenko S.A.1,2
- 
							Affiliations: 
							- Litvinenko Institute of Physical Organic Chemistry and Coal Chemistry
- Platov South-Russian State Polytechnic University (NPI)
- The Smart Materials Research Institute, Southern Federal University
 
- Issue: Vol 64, No 3 (2023)
- Pages: 307-316
- Section: ARTICLES
- URL: https://journals.rcsi.science/0453-8811/article/view/137004
- DOI: https://doi.org/10.31857/S045388112303005X
- ID: 137004
Cite item
Full Text
Abstract
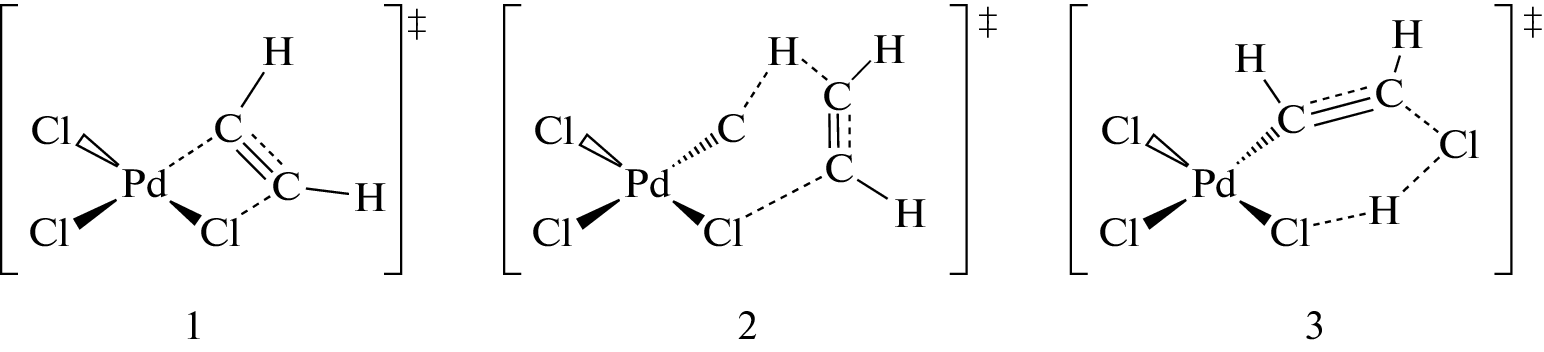
The products of catalytic hydrochlorination of acetylene-D2 over palladium chloride complexes supported on activated carbon are a mixture of vinyl chloride stereoisomers resulting from syn- and anti-addition of the hydrogen chloride molecule to the triple bond. The reaction is accompanied by isomerization of primary trans-vinyl chloride into its cis-stereoisomer, but the characteristic isomerization times exceed significantly the duration of acetylene hydrochlorination. This fact allowed us to estimate the portion of products formed exclusively during the catalytic reaction, the difference in the effective activation energies of the syn- and anti-addition routes (~21 kJ/mol), and to demonstrate a monotonic increase in the part of the syn-addition product with increasing mass loading ω of the active metal, reaching saturation at ω > 2 wt %.
Keywords
About the authors
T. V. Krasnyakova
Litvinenko Institute of Physical Organic Chemistry and Coal Chemistry; Platov South-Russian State Polytechnic University (NPI)
							Author for correspondence.
							Email: ktv_@list.ru
				                					                																			                												                								Russia, 283111, Donetsk, 70 R Luxembourg Str.; Russia, 346428, Novocherkassk, 132 Prosveshcheniya Str.						
D. V. Nikitenko
Litvinenko Institute of Physical Organic Chemistry and Coal Chemistry
														Email: ktv_@list.ru
				                					                																			                												                								Russia, 283111, Donetsk, 70 R Luxembourg Str.						
K. D. Kobets
Litvinenko Institute of Physical Organic Chemistry and Coal Chemistry
														Email: ktv_@list.ru
				                					                																			                												                								Russia, 283111, Donetsk, 70 R Luxembourg Str.						
I. O. Krasniakova
The Smart Materials Research Institute, Southern Federal University
														Email: ktv_@list.ru
				                					                																			                												                								Russia, 344090, Rostov-on-Don, 178/24 Sladkova Str.						
A. S. Gogilchin
Litvinenko Institute of Physical Organic Chemistry and Coal Chemistry
														Email: ktv_@list.ru
				                					                																			                												                								Russia, 283111, Donetsk, 70 R Luxembourg Str.						
A. L. Bugaev
The Smart Materials Research Institute, Southern Federal University
														Email: ktv_@list.ru
				                					                																			                												                								Russia, 344090, Rostov-on-Don, 178/24 Sladkova Str.						
S. A. Mitchenko
Litvinenko Institute of Physical Organic Chemistry and Coal Chemistry; Platov South-Russian State Polytechnic University (NPI)
														Email: ktv_@list.ru
				                					                																			                												                								Russia, 283111, Donetsk, 70 R Luxembourg Str.; Russia, 346428, Novocherkassk, 132 Prosveshcheniya Str.						
References
- Meng X., Ding Q., Wang Q., Duan L. // Energy Environ. Focus. 2014. V. 3. № 1. P. 37.
- Темкин О.Н. // Кинетика и катализ. 2019. Т. 60. № 6. С. 683.
- Краснякова Т.В., Никитенко Д.В., Митченко С.А. // Кинетика и катализ. 2020. Т. 61. № 1. С. 63.
- Zhong J., Xu Y., Liu Z. // Green Chem. 2018. V. 20. № 11. P. 2412.
- Ciacci L., Passarini F., Vassura I. // Resour. Conserv. Recycl. 2017. V. 123. P. 108.
- Davies C.J., Miedziak P.J., Brett G.L., Hutchings G.J. // Chin. J. Catal. 2016. V. 37. № 10. P. 1600.
- Voronin V.V., Ledovskaya M.S., Bogachenkov A.S., Rodygin K.S., Ananikov V.P. // Molecules. 2018. V. 23. № 10. P. 2442.
- Тёмкин О.Н., Шестаков Т.К., Трегер Ю.А. Ацетилен: химия, механизмы реакций и технология. Москва: Химия, 1991. 429 с.
- Minamata Convention on Mercury. url: http://www.mercuryconvention.org/
- Johnston P., Carthey N., Hutchings G.J. // J. Am. Chem. Soc. 2015. V. 137. № 46. P. 14548.
- Wang X., Fan D., Lan G., Cheng Z., Sun X., Qiu Y., Han W., Tang H., Liu H., Zhu Y., Hu X., Li Y. // Inorg. Chem. Front. 2022. V. 9. № 3. P. 458.
- Kaiser S.K., Fako E., Manzocchi G., Krumeich F., Hauert R., Clark A.H., Safonova O.V., López N., Pérez-Ramírez J. // Nat. Catal. 2020 V. 3. P. 376.
- Song L., Liu L., Zhu M., Dai B. // Chin. J. Chem. Eng. 2022. V. 45. P. 32.
- Kaiser S.K., Lin R., Mitchell S., Fako E., Krumeich F., Hauert R., Safonova O.V., Kondratenko V.A., Kondratenko E.V., Collins S.M., Midgley P.A., López N., Pérez-Ramírez J. // Chem. Sci. 2019. V. 10. № 2. P. 359.
- Shang Y., Duan X., Wang S., Yue Q., Gao B., Xu X. // Chin. Chem. Lett. 2022. V. 33. № 2. P. 663.
- Li F., Zhang H., Zhang M., Li L., Yao L., Peng W., Zhang J. // ACS Sust. Chem. Eng. 2022. V. 10. № 1. P. 194.
- Jia Y., Nian Y., Zhang J., Han Y. // Mol. Catal. 2021. V. 513. 111826.
- Melander L., Saunders W.H. Reaction Rates of Isotopic Molecules. New York: Jr. Wiley, 1980. 391 p.
- Митченко С.А., Краснякова Т.В., Жихарев И.В. // Теоретическая и экспериментальная химия. 2008. Т. 44. № 5. С. 306.
- Митченко С.А., Краснякова Т.В., Жихарев И.В. // Кинетика и катализ. 2009. Т. 50. № 5. С. 764.
- Митченко С.А., Краснякова Т.В., Жихарев И.В. // Теоретическая и экспериментальная химия. 2010. Т. 46. № 1. С. 32.
- Krasnyakova T.V., Zhikharev I.V., Mitchenko R.S., Burkhovetski V.I., Korduban A.M., Kryshchuk T.V., Mitchenko S.A. // J. Catal. 2012. V. 288. P. 33.
- Митченко С.А., Краснякова Т.В. // Кинетика и катализ. 2014. Т. 55. № 6. С. 741.
- Mitchenko S.A., Khomutov E.V., Shubin A.A., Shul’ga Y.M. // J. Mol. Catal. A: Chem. 2004. V. 212. P. 345.
- Краснякова Т.В., Никитенко Д.В., Хомутова Е.В., Митченко С.А. // Кинетика и катализ. 2017. Т. 58. № 5. С. 551.
- Рапопорт Ф.М., Ильинская А.А. Лабораторные методы получения чистых газов. Mосква: Госхимиздат, 1963. 362 с.
- Митченко Р.С., Шубин А.А., Краснякова Т.В. // Теоретическая и экспериментальная химия. 2006. Т. 42. № 5. С. 306.
- Mitchenko S.A., Krasnyakova T.V., Mitchenko R.S., Korduban A.N. // J. Mol. Catal. A: Chem. 2007. V. 275. № 1–2. P. 101.
- He H., Zhao J., Li X. J., Wang B., Yue Y., Sheng G., Wang Q., Yu L., Hu Z.T., Li X. // RSC Adv. 2019. V. 9. № 37. P. 21557.
- Wang B., Yue Y., Jin C., Lu J., Wang S., Yu L., Guo L., Li R., Hu Z.T., Pan Z., Zhao J., Li X. // Appl. Catal. B: Env. 2020. V. 272. 118944.
- Wang L., Shen B., Zhao J., Bi X. // Can. J. Chem. Eng. 2017. V. 95. № 6. P. 1069.
- Zhang J., He Z., Lib W., Han Y. // RSC Adv. 2012. № 2. P. 4814.
- Митченко С.А. // Теоретическая и экспериментальная химия. 2007. Т. 43. № 4. С. 199.
- Conte M., Carley A.F., Heiren C., Willock D.J., Johnston P., Herzing A.A., Kiely C.J., Hutchings G.J. // J. Catal. 2007. V. 250. P. 231.
- Simonov P.A., Filimonova S.V., Kryukova G.N., Moroz E.M., Likholobov V.A., Kuretzky T., Boehm H.P. // Carbon. 1999. V. 37. № 4. P. 591.
- Simonov P.A., Moroz E.M., Chuvilin A.L., Kolomiichuk V.N., Boronin A.I., Likholobov V.A. // Stud. Surf. Sci. Catal. 1995. V. 91. P. 977.
- Moroz E.M., Simonov P.A., Bogdanov S.V., Chuvilin A.L. // Mater. Sci. Forum. 2000. V. 321–324. P. 1074.
- Ryndin Y.A., Alekseev O.S., Simonov P.A., Likholobov V.A. // J. Mol. Catal. 1989. V. 55. № 1. P. 109.
- Симонов П.А., Троицкий С.Ю., Лихолобов В.А. // Кинетика и катализ. 2000. Т. 41. № 2. С. 281.
- Simonov P.A., Romanenko A.V., Prosvirin I.P., Moroz E.M., Boronin A.I., Chuvilin A.L., Likholobov V.A. // Carbon. 1997. V. 35. № 1. P. 73.
Supplementary files
 
				
			 
					 
						 
						 
						 
						 
				
 
  
  
  Email this article
			Email this article 








