Catalytic Methods for Producing Higher 2-Ketones: Prospects for the Wacker System in the Oxidation of α-Olefins
- Authors: Rodikova Y.A.1, Zhizhina E.G.1
-
Affiliations:
- Boreskov Institute of Catalysis SB RAS
- Issue: Vol 64, No 2 (2023)
- Pages: 121-138
- Section: ОБЗОРЫ
- URL: https://journals.rcsi.science/0453-8811/article/view/136984
- DOI: https://doi.org/10.31857/S0453881123020065
- EDN: https://elibrary.ru/GNRGKD
- ID: 136984
Cite item
Full Text
Abstract
Abstract—
Methods developed over the past 60 years for the preparation of unbranched С6–С14 2-ketones by catalytic oxidation of linear α-olefins have been analyzed and summarized. Particular attention has been paid to the consideration of the catalytic Wacker system, which is important for industrial organic synthesis, and the proposed ways for its modification. Methods for controlling the reaction selectivity have been discussed, and the role of co-catalysts, oxidizing agents, and ligands has been considered.
About the authors
Yu. A. Rodikova
Boreskov Institute of Catalysis SB RAS
Author for correspondence.
Email: rodikova@catalysis.ru
Russia, 630090, Novosibirsk, Prosp. Akad. Lavrentieva 5
E. G. Zhizhina
Boreskov Institute of Catalysis SB RAS
Email: rodikova@catalysis.ru
Russia, 630090, Novosibirsk, Prosp. Akad. Lavrentieva 5
References
- Sheldon R.A. // Green. Chem. 2007. V. 9. P. 1273.
- Eco-Friendly Synthesis of Fine Chemicals. Ed. Ballini R. RSC Publishing, 2009.
- Balakrishnan M., Arab G.E., Kunbargi O.B., Gokhale A.A., Grippo A.M., Toste F.D., Bell A.T. // Green Chem. 2016. V. 18. P. 3577.
- Пaт. 2371472 PФ, 2009.
- Реутов О.А., Курц А.Л., Бутин К.П. Органическая химия. Т. 3. Москва: Бином. Лаборатория знаний, 2010. С. 20.
- Травень В.Ф. Органическая химия: учебное пособие для вузов в 3 т. Т. 2. Москва: Бином. Лаборатория знаний, 2015, 433 с.
- Arends I.W.C.E, Sheldon R.A. Modern Oxidation Methods / Ed. Bäckvall J.-E. Weinheim: Wiley-VCH, 2004. P. 83–118.
- Anastas P.T., Warner J.C. Green Chemistry: Theory and Practice. New York: Oxford University Press, 1998.
- Tang S., Bourne R., Smith R., Poliakoff M. // Green Chem. 2008. V. 10. P. 268.
- Smidt J., Hafner W., Jira R., Sedlmeier J., Sieber R., Kojer H., Rüttinger R. // Angew. Chem. 1959. V. 71. P. 176.
- Cornell C.N., Sigman M.S. // Inorg. Chem. 2007. V. 46. P. 1903.
- Gligorich K.M., Sigman M.S. // Chem. Commun. 2009. P. 3854.
- McDonald R.I., Liu G., Stahl S.S. // Chem. Rev. 2011. V. 111. P. 2981.
- Sigman M.S., Werner E.W. // Acc. Chem. Res. 2012. V. 45. № 6. P. 874.
- Темкин О.Н. // Кинетика и катализ. 2020. Т. 61. № 5. С. 595.
- Гогин Л.Л., Жижина Е.Г. // Катализ в промышленности. 2021. Т. 21. № 1–2. С. 67.
- Pat. 1049845 DE, 1959.
- Jira R. Applied Homogeneous Catalysis with Organometallic Compounds. V. 1 / Eds. Cornils B., Herrmann W.A. Weinheim: VCH, 1996. P. 374.
- Новый справочник химика и технолога. Сырье и продукты промышленности органических и неорганических веществ. Ч. II. Санкт-Петербург: АНО НПО “Профессионал”, 2005, 2007. С. 51.
- Jira R., Laib R.J., Bolt H.M. Ulmann’s Encyclopedia of Industrial Chemistry. 1985. V. A1. P. 31.
- Трофимов Б.А., Иванов А.В. // Вестник СПбГУ. Сер. 4. 2014. Т. 1. № 59. С. 558.
- Органическая химия: Учебн. пособие. 2-е изд., испр. и доп. Новосибирск: Сиб. унив. изд-во, 2001. С. 478.
- Варгафтик М.Н., Моисеев И.И., Сыркин Я.К. // Докл. АН СССР. 1962. Т. 147. С. 399.
- Моисеев И.И., Варгафтик М.Н., Сыркин Я.К. // Докл. АН СССР. 1963. Т. 153. С. 140.
- Варгафтик М.Н., Моисеев И.И., Сыркин Я.К. // Изв. АН СССР. Сер. хим. 1963. С. 1147.
- Моисеев И.И. π-Комплексы олефинов в жидкофазном окислении. Москва: Наука, 1970. 270 с.
- Henry P.M. // J. Org. Chem. 1973. V. 38. P. 2415.
- Keith J.A., Henry P.M. // Angew. Chem. Int. Ed. 2009. V. 48. P. 9038.
- Jira R. Applied Homogeneous Catalysis with Organometallic Compounds. V. 1 / Eds. Cornils B., Herrmann W.A. Weinheim: VCH, 2002. P. 386.
- Tsuji J. Innovations in Organic Synthesis. Chichester: Wiley, 1995. 549 p.
- Smidt J., Krekeler H. // Per. Refiner. 1963. V. 42. P. 149.
- Rogers H.R., McDermott J.X., Whitesides G.M. // J. Org. Chem. 1975. V. 40. № 24. P. 3577.
- Mimoun H., Machirant M.M.P., Seree de Roch I. // J. Am. Chem. Soc. 1978. V. 100. № 17. P. 5437.
- Igersheim F., Mimoum H. // J. Chem. Soc. Chem. Commun. 1978. P. 559.
- Clement W.H., Selwitz C.M. // J. Org. Chem. 1964. V. 29. № 1. P. 241.
- Pat. 4507506 US, 1985.
- Harada A., Hu Y., Takahashi S. // Chem. Lett. 1986. P. 2083.
- Zahalka H.A., Januszkiewicz K., Alper H. // J. Mol. Catal. 1986. V. 35. P. 249.
- Alper H., Januszkiewicz K., Smith D.J.H. // Tetrahedron Lett. 1985. V. 26. № 19. P. 2263.
- Максимов А.Л., Бучнева Т.С., Караханов Э.А. // Нефтехимия. 2003. Т. 43. № 3. С. 173.
- Pat. 4152354 US, 1979.
- Pat. 4448892 US, 1984.
- Pat. 4532362 US, 1985.
- Jira R., Freiesleben W. Organometallic Reactions. V. 3. Eds.: Becker E., Tsutsui M. NY: John Wiley, 1972.
- Grate J.H., Hamm D.R., Mahajan S. // Mol. Eng. 1993. V. 3. P. 205.
- Mitsudome T., Umetani T., Nosaka N., Mori K., Mizugaki T., Ebitani K., Kaneda K. // Angew. Chem. Int. Ed. 2006. V. 45. № 3. P. 481.
- Fernandes R.A., Chaudhari D.A. // J. Org. Chem. 2014. V. 79. № 12. P. 5787.
- Fernandes R.A., Bethi V. // Tetrahedron. 2014. V. 70. P. 4760.
- Smith A.B., Cho Y.S., Friestad G.K. // Tetrahedron Lett. 1998. V. 39. P. 8765.
- Pat. 4738943 US, 1988
- Pat. 4847421 US, 1989.
- Miller D.G., Wayner D.D.M. // J. Org. Chem. 1990. V. 55. P. 2924.
- Pat. 9096519 B2 US, 2015.
- Wang Y.-F., Gao Y.-R., Mao S., Zhang Y.-L., Guo D.-D., Yan Z.-L., Guo S.-H., Wang Y.-Q. // Org. Lett. 2014. V. 16. № 6. P. 1610.
- Chaudhari D.A., Fernandes R.A. // J. Org. Chem. 2016. V. 81. № 5. P. 2113.
- Ho Y.A., Paffenholz E., Kim H.J., Orgis B., Rueping M., Fabry D.C. // ChemCatChem. 2019. V. 11. № 7. P. 1889.
- Michel B.W., Sigman M.S. // Aldrichimica Acta. 2011. V. 44. № 3. P. 55.
- Roussel M., Mimoun H. // J. Org. Chem. 1980. V. 45. № 26. P. 5387.
- Mimoum H., Charpentier R., Mitschler A., Fischer J., Weiss R. // J. Am. Chem. Soc. 1980. V. 102. P. 1047.
- Michel B.W., Camelio A.M., Cornell C.N., Sigman M.S. // J. Am. Chem. Soc. 2009. V. 131. P. 6076.
- Cao Q., Bailie D.S., Fu R., Muldoon M.J. // Green Chem. 2015. V. 17. P. 2750.
- Andrews M.A., Kelly K.P. // J. Am. Chem. Soc. 1981. V. 103. P. 2894.
- Hosokawa T., Nomura T., Murahashi S.-I. // J. Organomet. Chem. 1998. V. 551. P. 387.
- ten Brink G.-J., Arends I.W.C., Papadogianakis G., Sheldon R.A. // Chem. Commun. 1998. P. 2359.
- ten Brink G.-J., Arends I.W.C., Papadogianakis G., Sheldon R.A. // Appl. Catal. A: Gen. 2000. V. 194–195. P. 435.
- Rao Y.V.S., Rani S.S., Choudary B.M. // J. Mol. Catal. 1992. V. 75. P. 141.
- Kulkarni M.G., Shaikh Y.B., Borhade A.S., Chavhan S.W., Dhondge A.P., Gaikwad D.D., Desai M.P., Birhade D.R., Dhatrak N.R. // Tetrahedron Lett. 2013. V. 54. P. 2293.
- Zhang Z., Kumamoto Y., Hashiguchi T., Mamba T., Murayama H., Yamamoto E., Ishida T., Honma T., Tokunaga M. // ChemSusChem. 2017. V. 10. № 17. P. 3482.
- Gao X., Li Z., Yan W., Peng X. // J. Saudi. Chem. Soc. 2020. V. 24. P. 663.
- Поп М.С. Гетерополи- и изополиоксометаллаты: пер. с англ. Новосибирск: Наука. Сиб. отделение, 1990. 232 с.
- Максимов Г.М. // Успехи химии. 1995. Т. 64. № 5. С. 480.
- Kozhevnikov I.V. // Chem. Rev. 1998. V. 98. № 1–2. P. 171.
- Neumann R. // Inorg. Chem. 2010. V. 49. № 8. P. 3594.
- Zhizhina E.G., Odyakov V.F. // ChemCatChem. 2012. V. 4. № 9. P. 1405.
- Albert J., Lüders D., Bösmann A., Guldi D.M., Wasserscheid P. // Green Chem. 2014. V. 16. № 1. P. 226.
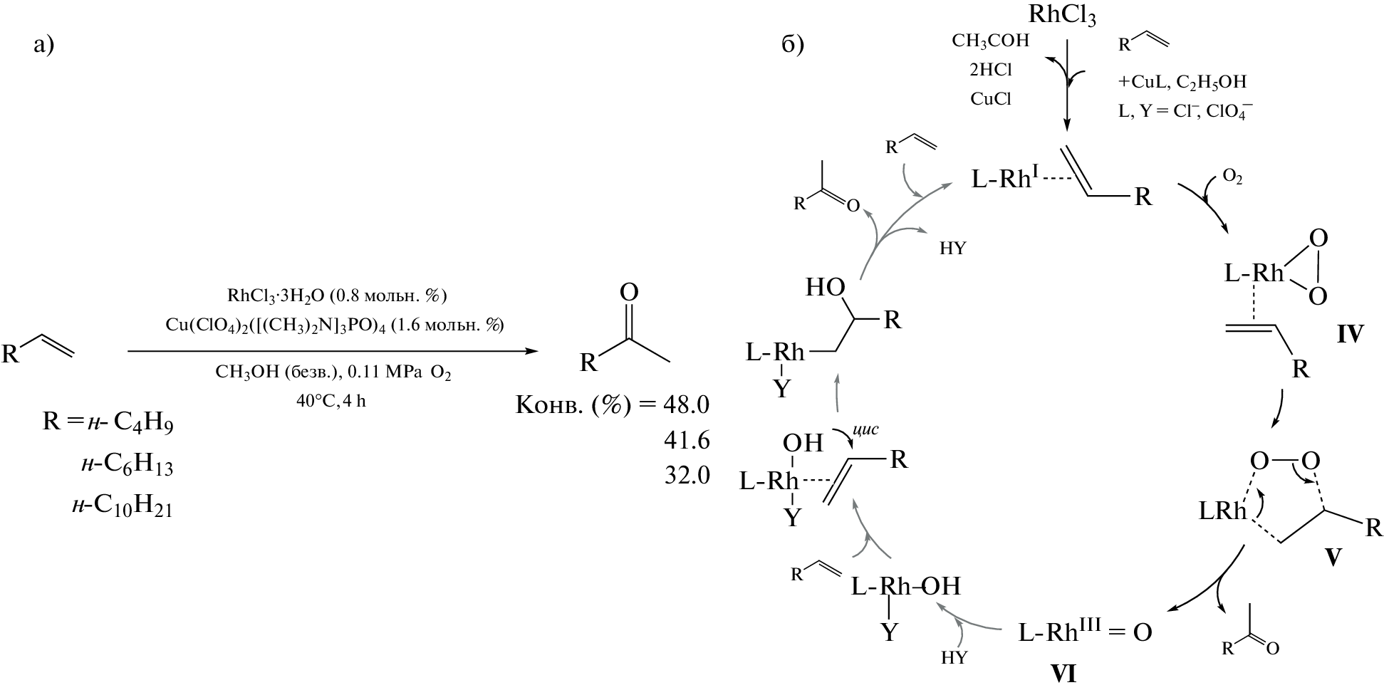
- Gromov N.V., Taran O.P., Delidovich I.V., Pestunov A.V., Rodikova Yu.A., Yatsenko D.A., Zhizhina E.G., Parmon V.N. // Catal. Today. 2016. V. 278. № 1. P. 74.
- Rodikova Y., Zhizhina E. // React. Kinet. Mech. Catal. 2020. V. 130. № 1. P. 403.
- Gromov N.V., Medvedeva T.B., Sorokina K.N., Samoylova Y.V., Rodikova Y.A., Parmon V.N. // ACS Sustain. Chem. Eng. 2020. V.8. № 51. P.18947.
- Pat. 4720474 US, 1988.
- Pat. 4723041 US, 1988.
- Pat. 4853357 US, 1989.
- Tilloy S., Bertoux F., Mortreux A., Monflier E. // Catal. Today. 1999. V. 48. P. 245.
- Monflier E., Blouet E., Barbaux Y., Mortreux A. // Angew. Chem. Int. Ed. 1994. V. 33. № 20. P. 2100.
- Monflier E., Tilloy S., Blouet E., Barbaux Y., Mortreux A. // J. Mol. Catal. A: Chem. 1996. V. 109. P. 27.
- Monflier E., Tilloy S., Fremy G., Barbauxa Y., Mortreux A. // Tetrahedron Lett. 1995. V. 36. № 3. P. 387.
- Yokota T., Sakakura A., Tani M., Sakaguchi S., Ishii Y. // Tetrahedron Lett. 2002. V. 43. P. 8887.
- Ettedgui J., Neumann R. // J. Am. Chem. Soc. 2009. V. 131. № 1. P. 4.
- Пат. 1031045 СССР, 1995.
- Пaт. 2230612 C1 PФ, 2004.
Supplementary files














