Влияние инновационного антибактериального препарата класса тиадиазинонов на факторы вирулентности бактерий филума Pseudomonadota, хронически инфицирующих больных муковисцидозом
- Авторы: Воронина О.Л.1, Королева Е.А.1, Кунда М.С.1, Рыжова Н.Н.1, Аксенова Е.И.1, Капотина Л.Н.1, Нелюбина С.А.1, Лазарева А.В.2, Зигангирова Н.А.1
-
Учреждения:
- Национальный исследовательский центр эпидемиологии и микробиологии имени почётного академика Н.Ф. Гамалеи
- Национальный медицинский исследовательский центр здоровья детей
- Выпуск: Том 101, № 2 (2024)
- Страницы: 173-183
- Раздел: ОРИГИНАЛЬНЫЕ ИССЛЕДОВАНИЯ
- URL: https://journals.rcsi.science/0372-9311/article/view/310836
- DOI: https://doi.org/10.36233/0372-9311-499
- EDN: https://elibrary.ru/pmwtsz
- ID: 310836
Цитировать
Аннотация
Введение. Инфекции нижних дыхательных путей бактериями филума Pseudomonadota: Pseudomonas aeruginosa, Burkholderia spp., Achromobacter spp. критичны в отношении качества и продолжительности жизни больных муковисцидозом (МВ). При хронизации инфекции эрадикация бактерий существующими антибактериальными препаратами практически невозможна. Для исследования препаратов альтернативного действия необходимы испытания, проведённые на бактериях, выделенных от пациентов с МВ и охарактеризованных с помощью геномных подходов.
Целями нашего исследования были сравнительный анализ факторов вирулентности 6 изолятов бактерий филума Pseudomonadota и проверка эффективности инновационного препарата фтортиазинон (ФТ) в подавлении патогенности бактерий in vitro.
Материалы и методы. Изоляты A. ruhlandii ST36, A. xylosoxidans ST555, B. cepacia ST2140, B. gladioli ST2141, P. aeruginosa ST859 и ST198 исследовали с помощью полногеномного секвенирования и биоинформационного анализа для поиска детерминант резистентности и вирулентности. ФТ испытали по действию на бактерии в экспериментах in vitro по цитотоксичности на клетках HeLa, подвижности и формированию биоплёнок.
Результаты. Геномные исследования подтвердили арсенал детерминант резистентности, особенно систем эффлюкса бактерий, полученных от пациентов с МВ, и разнообразие факторов вирулентности, среди которых мы выделили факторы в категориях: подвижность, сигналы систем quorum-sensing, системы секреции, экзотоксины как наиболее существенные для адаптации бактерий к условиям нижних дыхательных путей. Испытания ФТ in vitro показали его эффективность в подавлении цитотоксичности (в 2,6–4,0 раза), подвижности (в 2,0–3,6 раза) и процесса формирования биоплёнок (в 2,0–7,7 раза).
Заключение. Впервые показано эффективное действие инновационного антибактериального препарата ФТ на бактерии филума Pseudomonadota, выделенные от хронически инфицированных пациентов с МВ, с описанным потенциалом факторов вирулентности.
Полный текст
Введение
Муковисцидоз (МВ) — одно из наиболее распространённых аутосомно-рецессивных заболеваний, при котором мутации в гене трансмембранного регулятора хлорного канала обусловливают нарушения мукоцилиарного клиренса и развитие хронической колонизации респираторного тракта бактериями филума Pseudomonadota. Микроорганизмы этого филума — Pseudomonas aeruginosa, Burkholderia spp., Achromobacter spp. — характеризуются высокой природной резистентностью к антимикробным препаратам. Несмотря на применение агрессивной антибиотикотерапии, у пациентов с МВ с возрастом наблюдаются прогрессирующее снижение функции лёгких и ранняя смертность. По данным последнего издания российского регистра больных МВ, доля пациентов, хронически инфицированных перечисленными бактериями, составляет 33,6% для P. aeruginosa, 7,6% для Achromobacter spp. и 5,5% для Burkholderia spp. [1].
Проникая при аспирации в нижние дыхательные пути, бактерии перемещаются по поверхности эпителиоцитов, используя флагеллу и пили/фимбрии; эти же структуры служат адгезинами при прикреплении к клеткам для начала формирования биоплёнок [2]. Далее возможны несколько путей миграции бактерий указанных родов: транслокация через межклеточные контакты и трансэпителиальная миграция [3]. В последнем случае сначала осуществляется инвазия посредством систем секреции 3-го и 6-го типов (T3SS, T6SS). Бактерии, вышедшие из эпителиоцитов, затем преодолевают базальную мембрану и достигают клеток соединительной ткани. На этом пути их защищают экзотоксины, воздействующие на коллаген и препятствующие его противомикробной активности [4]. P. aeruginosa, Achromobacter spp. и Burkholderia spp. могут осуществлять инвазию в макрофаги, нейтрофилы и дендритные клетки, таким образом имея возможность быть защищёнными от внешних воздействий в 4 типах эукариотических клеток. Бактерии не только выживают внутри клеток, но и могут нарушать их нормальное функционирование, приводя к пироптозу/апоптозу или некрозу [5]. Смерть клеток, выход бактерий, их дальнейшее размножение вызывают воспалительный ответ, повреждающий ткани лёгкого [3]. Все перечисленные этапы жизненного цикла патогенных микроорганизмов координируют сигналы системы Quorum-Sensing (QS) [6]. Механизмы выживания помогают этим бактериям конкурировать друг с другом и с другими представителями микробиома лёгких, поэтому микробное разнообразие при таких инфекциях становится минимальным [7].
Для эрадикации столь успешных патогенов требуются новые подходы, один из которых был использован при разработке инновационного антибактериального препарата класса тиадиазинонов (фтортиазинон, ФТ) в НИЦЭМ им. Н.Ф. Гамалеи. Эффекторы T3SS [8], а также, предположительно, высококонсервативные АТФазы аппарата флагелл и T3SS стали мишенью для воздействия ФТ, подавляющего патогенность бактерий, но не убивающего их [8, 9], что обеспечивает отсутствие развития устойчивости к такому препарату. Эффективность ФТ in vitro и на моделях животных показана в отношении ряда грамотрицательных бактерий: Salmonella enterica, P. aeruginosa, Escherichia coli, Acinetobacter baumannii и Klebsiella pneumoniae [10]. Препарат ингибировал облигатный внутриклеточный патоген Chlamydia trachomatis [11], доказывая возможность проникновения ФТ в эукариотические клетки.
Ранее при изучении изолятов P. aeruginosa, выделенных из мокроты и трахеального аспирата больных МВ, мы показали, что условия тестирования цитотоксичности, подобранные для культур, выделенных при внутрибольничных инфекциях [9], были оптимальны только для изолятов генотипов ST235 и ST313 [12], характерных для нозокомиальных P. aeruginosa, относящихся к ExoU-линии, получившей название по эффектору T3SS [13]. Остальные изоляты отличались медленным ростом in vitro в силу изменения физиологии клетки при хронической инфекции лёгких. Адаптация условий экспериментов к особенностям Pseudomonadota пациентов с МВ была одной из задач исследования.
Учитывая разнообразие факторов вирулентности бактерий, используемых при адаптации и персистенции в респираторном тракте пациентов с МВ, мы изучили геномные характеристики изолятов, выбранных для оценки действия ФТ, и сравнили факторы в категориях: подвижность, сигналы систем QS, системы секреции, экзотоксины у выбранных представителей P. aeruginosa, Burkholderia spp., Achromobacter spp.
Целями нашего исследования стали сравнительный анализ факторов вирулентности 6 изолятов бактерий филума Pseudomonadota, инфицировавших нижние дыхательные пути пациентов с МВ, и проверка эффективности инновационного препарата ФТ в подавлении патогенности бактерий in vitro.
Материалы и методы
Материалы
Из мокроты хронически инфицированных пациентов с МВ выделили 6 культур бактерий филума Pseudomonadota (табл. 1). Исследование проводилось на условиях получения добровольного информированного согласия пациентов или их законных представителей. Протокол исследования одобрен Комитетом по биомедицинской этике НИЦЭМ им. Н.Ф. Гамалеи (протокол № 59 от 08.09.2023).
ФТ — инновационный антибактериальный препарат класса тиадиазинонов C19H17F2N3O4S: N-(2,4-дифторфенил)-4(3-этокси-4-гидроксибензил)-5-оксо-5,6-дигидро-4H-[1, 3, 4]-тиадиазин-2-карбоксамид1. Из субстанции готовили стоковый раствор ФТ с концентрацией 5,0 мM в 0,3 М CH3COONa, pH 7,0 ± 0,2.
Цитотоксичность изучали на клетках карциномы шейки матки HeLa (ATCC CCL2, 22603).
Культивирование бактерий
Бактерии выращивали 18 ч при 37ºC в бульоне LB до концентрации 109 микробных клеток/мл (оптическая плотность при λ = 600 нм).
Геномный анализ
Для выделения ДНК из изолятов использовали протокол [14], дополнив этапом очистки от полисахаридов с помощью CTAB (cetyltrimethylammonium bromide).
Библиотеки ДНК готовили по протоколам «Nextera DNA Flex Library Prep» («Illumina») и «KAPA HyperPlus Kit» («Roche»). Секвенирование выполняли на приборе «NextSeq 500/550» («Illumina»), используя картридж «Mid Output 300 cycles».
Геномы собирали с помощью «CLC Genomic Workbench v. 21.0.1» («Qiagen») и «SPAdes v. 3.13.0»2. Для аннотации применяли Rapid Annotations Subsystems Technology (RAST) [15] и NCBI Prokaryotic Genome Annotation Pipeline [16]. Результаты депонировали в GenBank (биопроект PRJNA561493) под номерами, указанными в табл. 1.
Геномы анализировали с помощью ресурсов BV-BRC3 [17]. Факторы вирулентности исследовали с помощью VFDB4 [18] и BlastKOALA5 [19]. Поиск плазмид осуществляли с помощью PlasmidFinder 2.16. Для выявления детерминант резистентности использовали CARD7 [20], BV-BRC [17] и BlastKOALA [19].
Исследование влияния ФТ in vitro
Цитотоксичность бактерий определяли согласно методике [9], с модификациями. Монослой клеток HeLa, выращенный в среде IMDM (Iscove's Modified Dulbecco's Medium) с добавлением 10% FBS (fetal bovine serum) и 2 мМ L-глутамина в 96-луночных планшетах, промывали и добавляли IMDM, содержащую 1% FBS. Клетки HeLa заражали бактериальными культурами при начальной множественности инфекции (MOI), равной 5. Планшеты инкубировали 18 ч в присутствии ФТ (60 мкг/мл). В качестве контроля использовали 0,3М CH3COONa, pH 7,0 ± 0,2. Клетки осаждали центрифугированием 20 мин при 1500 rpm. В супернатантах определяли активность высвобождающейся лактатдегидрогеназы (ЛДГ) с помощью набора «CytoTox 96 Non-Radioactive Cytotoxicity Assay Kit» («Promega») согласно протоколу производителя. Процент высвобождения ЛДГ рассчитывали относительно неинфицированного контроля (0% высвобождения ЛДГ) и клеток HeLa, лизированных тритоном X-100 (100% высвобождения ЛДГ).
Способность ФТ ингибировать плавательную подвижность изолятов оценивали на чашках Петри с 0,3% полужидким агаром [21]. Бактериальные культуры инкубировали с ФТ (100 мкг/мл) 3 ч при 37ºС, затем по 2 мкл суспензии вносили в толщу полужидкого агара, содержащего ФТ (100 мкг/мл), и инкубировали 48 ч при 37ºC. Степень подвижности бактерий определяли по диаметру радиальной миграции в агаре.
Для исследования влияния ФТ на образование бактериальной биоплёнки использовали следующий подход. На абиотической поверхности формировали статические биоплёнки по протоколу [22] с изменениями в условиях инкубации. ФТ (100 мкг/мл) добавляли в ночные бактериальные культуры с концентрацией 107 микробных клеток/мл (OD600) и инкубировали в лунках планшета 48 ч без замены среды, затем добавляли по 125 мкл 0,1% раствора кристаллического фиолетового (CV) для окрашивания биоплёнок. Связавшийся с биоплёнками краситель экстрагировали 100 мкл 96% этанола и определяли оптическую плотность при λ = 540 нм на приборе «Multiskan EX» («Thermo Labsystems»). Качественные исследования биоплёнок выполняли под микроскопом «Nikon Eclipse 50i» («Nikon») при 20× увеличении.
Каждый эксперимент с ФТ повторяли 3 раза.
Статистическую обработку результатов анализа и визуализацию выполняли с помощью «Prism-GraphPad» («GraphPad Software»). Критерием статистической достоверности различия получаемых данных считали величину ошибки р < 0,05.
Результаты
Геномный анализ
Шесть изолятов филума Pseudomonadota представляли 3 рода. A. ruhlandii и A. xylosoxidans, выбранные для исследования, относились представителям рода, наиболее распространённым у пациентов с МВ в России. Выбор B. cepacia и B. gladioli определялся появлением новых видов Burkholderia spp., инфицирующих больных МВ на фоне сокращения распространения B. cenocepacia эпидемического генотипа ST709 [23]. P. aeruginosa разных генотипов, относящихся к ExoS-линии, согласно Е.А. Ozer и соавт. [13], взяли в исследование как более распространённые при инфекциях пациентов с МВ по сравнению с ExoU-фенотипом [12, 24].
Геномы изолятов были представлены 1 хромосомой у Achromobacter и Pseudomonas и 3 хромосомами у Burkholderia. Конъюгативная плазмида 48 Kb присутствовала только в геноме A. ruhlandii (IncP1), но не включала детерминант резистентности. Размер геномов Burkholderia на треть превышал геномы Achromobacter и Pseudomonas (табл. 1). Во всех геномах 92–98% выявленных генов кодировали белки.
Таблица 1. Изоляты филума Pseudomonadota, использованные в исследовании
Table 1. Isolates of the Pseudomonadota phylum used in the study
Вид Specie | Изолят Isolate | Assembly accession Accession number | Сиквенс-тип Sequence type | Размер генома, Mb Genome size, Mb | Гены Genes | Рамки, кодирующие белки Protein-coding |
P. aeruginosa | GIMC5045:PA33P25 | JAVMRC000000000 | ST859 | 6,4 | 5973 | 5841 |
P. aeruginosa | GIMC5047:PA33P30 | JAVMRD000000000 | ST198 | 6,4 | 6023 | 5842 |
B. cepacia | SCCH90:Bcn202840 | JAQOTY000000000 | ST2140 | 8,4 | 7704 | 7512 |
B. gladioli | SCCH61:Bgd92-3601 | JAQOTZ000000000 | ST2141 | 8,2 | 9105 | 8385 |
A. ruhlandii | SCCH137:Ach2231057 | JAQZZN000000000 | ST36 | 6,3 | 5884 | 5679 |
A. xylosoxidans | SCCH131:Ach223717 | JAPZVF000000000 | ST555 | 6,4 | 5912 | 5806 |
При оценке потенциала резистентности исследуемых изолятов обратило на себя внимание количество эффлюксных систем, кодируемых геномами: по 12 у P. aeruginosa, по 16 — у Achromobacter spp., 27 — у B. cepacia, 38 — у B. gladioli, что создаёт дополнительные возможности для противодействия применяемой антибиотикотерапии.
Исследуя факторы вирулентности изолятов, мы сосредоточились на 4 основных группах, необходимых для адаптации бактерий к условиям нижних дыхательных путей: системы секреции, подвижности, токсины и сигналы системы QS.
Системы секреции (табл. 2) Sec, SRT, Tat и T2SS представлены в геномах изолятов всеми компонентами. T3SS обнаружены у всех изолятов, кроме B. cepacia; T6SS — у 5 изолятов, а у A. ruhlandii содержит только гены секретируемого субстрата Hcp и белка внутренней мембраны IcmF, наконец, полная T1SS есть у B. gladioli, а у остальных изолятов представлена только белком внешней мембраны TolC.
Таблица 2. Классы бактериальных систем секреции, представленные в геномах исследованных изолятов
Table 2. Classes of bacterial secretion systems represented in the genomes of the studied isolates
Классы бактериальных систем секреции белков Classes of bacterial protein secretion systems | P. aeruginosa GIMC5045:PA33P25 | P. aeruginosa GIMC5047:PA33P30 | B. cepacia SCCH90:Bcn202840 | B. gladioli SCCH61:Bgd92-3601 | A. ruhlandii SCCH137:Ach2231057 | A. xylosoxidans SCCH131:Ach223717 |
Sec | + | + | + | + | + | + |
SRT | + | + | + | + | + | + |
Tat | + | + | + | + | + | + |
T1SS | + (TolC) | + (TolC) | + (TolC) | + (TolC, HlyB, HlyD) | + (TolC) | + (TolC) |
T2SS | + | + | + | + | + | + |
T3SS | + | + | + | + | + | |
T4SS | + VirD4 | + VirB5, VirB6 | ||||
T6SS | + | + | + | + | + Hcp, IcmF | + |
Примечание. VirD4 — АТФаза; VirB5 — поверхностный или белок пилей; VirB6, IcmF — белки внутренней мембраны; Hcp — секретируемый субстрат.
Note. VirD4 — ATPase; VirB5 — surface/pilus protein; VirB6, IcmF — inner membrane protein; Hcp — secreted substrate.
Основной аппарат подвижности — аппарат флагелл — есть в геномах всех изолятов. Выявленные пили/фимбрии различались между изолятами по составу. Как видно из табл. 3, пили, отвечающие за подёргивающую подвижность и хемосенсорику, обнаружены только в геномах P. aeruginosa. Пили IV типа есть у псевдомонад и Burkholderia spp., но отличаются перечнем компонентов, а у Achromobacter представлены только пептидазой препилина pilD. Пили IVb типа есть у всех изолятов. Шаперон-ушер пили, которые кодируют 2 разных оперона: fimACD и cupE1-6, есть у P. aeruginosa и B. cepacia с полным комплектом компонентов. У B. gladioli в опероне fimACD отсутствует ген шаперона и не обнаружен оперон cupE. В геномах Achromobacter присутствует полный оперон cupE1-6, а в опероне fimACD отсутствует ген, кодирующий пилин.
Таблица 3. Системы пилей в геномах исследованных изолятов
Table 3. Pilus systems in the genomes of the studied isolates
Система пилей Pilus systems | P. aeruginosa GIMC5045:PA33P25 | P. aeruginosa GIMC5047:PA33P30 | B. cepacia SCCH90:Bcn202840 | B. gladioli SCCH61:Bgd92-3601 | A. ruhlandii SCCH137:Ach2231057 | A. xylosoxidans SCCH131:Ach223717 |
Пили, отвечающие за подергивающуюся подвижность | Twitching motility pili | pilGHIJKRSTUKRS | pilGHIJKRSTUKRS | – | – | – | – |
Хемосенсорные пили | Chemosensory pili | chpABCDE | chpABCDE | – | – | – | – |
Пили IV типа | Type IV pili | pilABCDFQPONMZVWXY1Y2E | pilABCDFQPNMZVWXY1Y2E | pilABCDEQW | pilABCDEW | pilD | pilD |
Пили IVb типа | Type IVb pili | flp, cpaABCEF | flp, cpaABCEF | flp, cpaABCEF | flp, cpaABCEF | flp, cpaABCEF | flp, cpaABCEF |
Пили, в сборке которых участвуют белки-помощники: шаперон и ушер Chaperone-Usher Pathway (CUP) pili | fimACD, cupE | fimACD, cupE | fimACD, cupE | fimAD | fimCD, cupE | fimCD, cupE |
Белки положительной фототаксической подвижности | Positive phototactic motility proteins | – | – | – | – | pixH | – |
Примечание. pilD — пептидаза препилина; pixH — регулятор ответа.
Note. pilD — prepilin peptidase; pixH — response regulator.
Система QS как важнейшее средство коммуникации бактерий в проанализированных геномах представлена во всём многообразии. QS типа AI-1 (AutoInductor), сигнальными молекулами которой являются производные гомосеринлактона, обнаружили в геномах P. aeruginosa (по 2) и Burkholderia (по 1). В этих геномах присутствует также регулируемый AI-1 оперон биосинтеза рамнолипидов. Рамнолипиды включены в систему QS, используются бактериальными клетками для снижения поверхностного натяжения, важны для подвижности, биоплёнкообразования, поглощения гидрофобных субстратов [25].
Вторая система получила название DSF от сигнальных молекул, которые являются диффузионными сигнальными факторами. Для буркхолдерий это BDSF — cys-2-додеценовая кислота. Другое название — rpfF/R/B/G — по генам. В геномах ахромобактеров по 2 системы DSF, у B. cepacia — 1 DSF. В геномах P. aeruginosa и B. gladioli есть только гены rpfB.
Третья система — PQS (pseudomonas quinolone signal), сигнальной молекулой которой является 2-гептил-3-гидроксил-4-хинолон (C16H21NO2), в полной комплектации: pqsABCDHE, phnAB — есть только у P. aeruginosa. В геноме B. cepacia присутствует pqsE — ген белка, отвечающего на хинолоновый сигнал, и phnAB, кодирующие белки синтеза антренилата — предшественника PQS [26]. У Achromobacter и B. gladioli есть только phnAB.
Токсины, которые способны продуцировать исследованные изоляты, можно разделить на 4 группы. Первая — токсины T3SS, действующие внутри эукариотической клетки. В геноме P. aeruginosa GIMC5045:PA33P25 они представлены 5 генами: toxA, exoS, exoT, exoY, zot. Ген toxA кодирует АДФ-рибозилтрансферазу. Ген zot — гомолог холерного токсина, действующего на зонулу окклюденс (основной из белков плотных контактов эпителия кишечника), у второго изолята P. aeruginosa есть 4 гена этой группы. Ген эффектора T3SS нашли и в геномах Achromobacter — axoU. Во второй группе находятся гены токсинов, повреждающих мембрану клеток эукариот. Гены фосфолипазы С и гемолизина III есть во всех геномах, ген tlyC (токсина, формирующего поры) отсутствует у Achromobacter, в геноме B. cepacia есть еще один ген этой группы — tlh, кодирующий термолабильный гемолизин. В третьей группе неспецифических токсинов только у P. aeruginosa присутствуют гены hcnABC (синтазы цианистого водорода). Четвертая группа токсинов, повреждающих внеклеточный матрикс, выявлена только у B. cepacia и представлена геном colA микробной коллагеназы.
Влияние ФТ in vitro
Влияние ФТ на цитотоксичность изолятов, выделенных от пациентов с МВ, начали исследовать с подбора времени контакта бактериальных клеток с клетками HeLa, учитывая медленный рост таких бактерий в культуре. Если при времени контакта 4 ч в дозах 10 и 50 MOI цитотоксичность изолятов составила 16–26 и 27–43% соответственно, то после 20 ч контакта токсичность поднялась до 70–100%. Оптимальными для изучения влияния ФТ определили дозу 5 MOI и время контакта 18 ч. Под влиянием ФТ произошло снижение цитотоксичности для всех изолятов: для изолятов P. aeruginosa — в 3,6 и 4,0 раза, для B. cepacia — в 2,6, для B. gladioli — в 3,2, для A. xylosoxidans — в 3,0, для A. ruhlandii — в 3,7 (рис. 1).
Рис. 1. Влияние ФТ на цитотоксичность бактериальных клеток в отношении клеток HeLa.
Fig. 1. Effect of FT on the cytotoxicity of bacterial cells against HeLa cells.
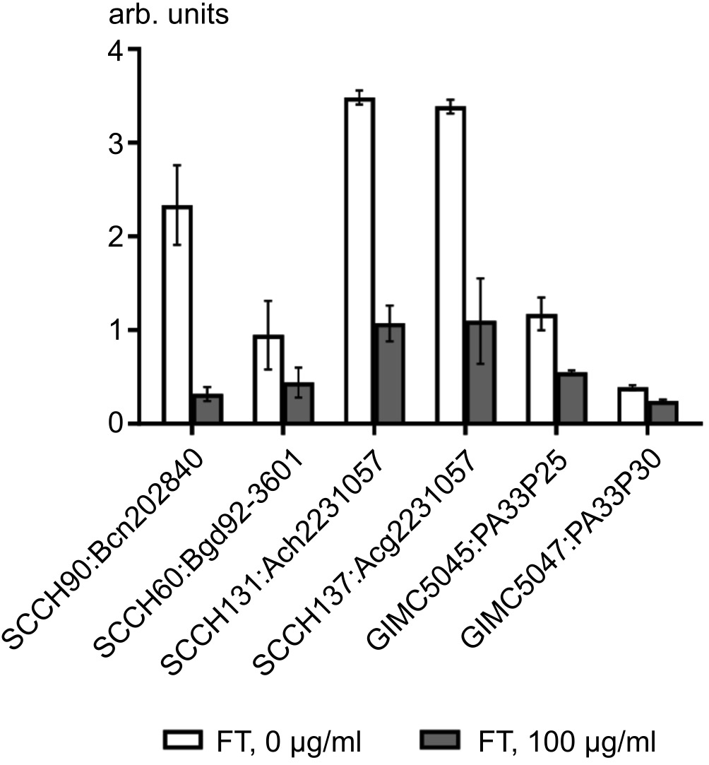
Подвижность изолятов P. aeruginosa в контроле была ниже, чем других бактерий (рис. 2). Под влиянием ФТ статистически значимо (p < 0,05) сократилась зона перемещения бактерий: для P. aeruginosa — в 2,2 и 2,8 раза, для B. cepacia — в 2,7, для B. gladioli — в 2,0, для A. xylosoxidans — в 2,0, для A. ruhlandii — в 3,6 (рис. 3).
Рис. 2. Влияние ФТ на плавательную подвижность бактериальных клеток.
Fig. 2. Effect of FT on swimming mobility of bacterial cells.
Рис. 3. Изменения диаметра зон плавательной подвижности бактерий.
Fig. 3. Сhanges in the diameter of bacterial swimming mobility zones.
Процесс формирования биоплёнок различался у изолятов 3 родов. Для Burkholderia и Achromobacter характерно было достаточно быстрое развитие плотных структур биоплёнки по всей площади лунки, а для Pseudomonas образование биоплёнки происходило медленнее и в основном было сосредоточено по краям лунки, где формировалось плотное кольцо (рис. 4). Влияние ФТ сильнее всего было выражено в отношении B. cepacia. Биомасса биоплёнки снизилась в 7,7 раза в присутствии антибактериального препарата. Для остальных изолятов снижение биомассы было ниже, но значительно: для A. xylosoxidans и A. ruhlandii — в 3 раза, для B. gladioli — в 2,3, для P. aeruginosa — в 2,4 и 2,0 (рис. 5).
Рис. 4. Влияние ФТ на формирование бактериальных биоплёнок. Приведены микрофотографии фрагментов образованной биоплёнки (самые плотные фрагменты).
Fig. 4. Effect of FT on the formation of bacterial biofilms. Microphotographs of the formed biofilm fragments (the densest fragments) are shown.
Рис. 5. Оценка накопления биомассы биоплёнок по степени окрашенности кристаллическим фиолетовым по оптической плотности при λ = 540 нм.
Fig. 5. Evaluation of biofilm biomass accumulation by the degree of crystal violet staining based on optical density (λ = 540 nm).
Обсуждение
Инфекции респираторного тракта P. aeruginosa, Achromobacter spp. и Burkholderia spp. являются самыми частыми и наиболее опасными для пациентов с МВ. Множественная природная резистентность B. cepacia complex уже стала постулатом, предупреждение о ней прописано в рекомендациях о тестировании антибиотикочуствительности EUCAST8. Антибиотикограмма для Achromobacter spp. также является определённым вызовом для лабораторий, поскольку пороговые значения EUCAST даже в рекомендациях 2024 г. даны только для 3 субстанций. Для P. aeruginosa проблема заключается в том, что чувствительные in vitro изоляты не поддаются эрадикации выбранными препаратами. Проведённые нами геномные исследования показали, что потенциалом, обеспечивающим резистентность P. aeruginosa и других исследованных бактерий, могут быть системы эффлюкса, представленные в геномах в большом количестве. Не следует забывать и о биоплёнках, формирование которых успешно координируют сигналы QS, наличие и разнообразие которых мы подтвердили для всех изученных геномов. Эксперименты in vitro показали, что все 6 изолятов формировали плотные биоплёнки. Именно эти структуры помогают бактериям избегать действия антибиотиков в лёгких человека. Однако инновационный препарат ФТ был эффективен в отношении всех проверенных изолятов.
Цитотоксичность представителей трех родов является серьёзной проблемой для тканей лёгких больных МВ. Спектр экзотоксинов, которые могут производить изученные изоляты, достаточно широк. Следует отметить, что в исследовании протеомов P. aeruginosa, Achromobacter spp. и Burkholderia spp. нас ждёт ещё много неожиданностей и открытий, поскольку в настоящее время можно аннотировать чуть больше половины тех продуктов трансляции, которые кодируют секвенированные нами геномы. При этом лидером в аннотации является P. aeruginosa (57,8%), а последнее место остается за B. gladioli — 38,2%. В базах данных ресурсов для аннотирования отсутствуют, например, последовательности генов, кодирующих эффектор T3SS Achromobacter spp., поэтому мы провели дополнительный поиск гена axoU, обнаружив его в обоих геномах ахромобактеров, названным геном гипотетического белка. Для B. gladioli поиск эффекторов T3SS продолжается. S.K. Yadav и соавт. нашли ортолог эффектора T3SS у штамма B. gladioli NGJ1, показав наличие сигнала секреции на N-конце полипептида, аннотируемого как белок профага, и продемонстрировали его кальцийзависимую секрецию, опосредованную T3SS [27]. В составе профага рамка такого белка есть и в секвенированном нами геноме. В экспериментах in vitro все 6 протестированных изолятов проявили цитотоксичность в отношении клеток HeLa. Цитотоксичность B. cepacia была на уровне самого эффективного изолята P. aeruginosa при отсутствии T3SS, как показали наши геномные исследования. Следует отметить, что первая публикация, упомянувшая отсутствие T3SS у B. cepacia, относится к 2001 г. [28]. Возможно, еще одна наномашина, T6SS, участвует в доставке токсинов B. cepacia, тем более что у других бактерий T6SS и T3SS работают в координации [29].
Геномные исследования продемонстрировали арсенал факторов, отвечающих за подвижность исследованных бактерий филума Pseudomonadota. Основным из них для плавательной подвижности является флагелла, гены аппарата которой есть во всех 6 геномах. Такой вид подвижности мы наблюдали у протестированных изолятов, в большей степени выраженную у B. gladioli и Achromobacter в условиях эксперимента.
Заключение
Таким образом, геномные исследования и анализ изолятов in vitro позволили описать факторы вирулентности 6 бактерий, выделенных от хронически инфицированных пациентов, и продемонстрировать возможность их реализации всеми изолятами для важных в развитии и хронизации инфекции процессов: цитотоксичности, подвижности и формирования биоплёнки.
Инновационный антибактериальный препарат ФТ подавлял три процесса у всех изолятов in vitro. Эффективность ФТ в отношении изолятов, выделенных от пациентов с МВ, показана впервые. Проведённые эксперименты послужат заделом для дальнейших доклинических испытаний препарата в отношении новой нозологии, в том числе для опытов на моделях животных. Продолжающиеся всесторонние исследования самого ФТ продемонстрировали накопление препарата, введённого крысам внутрижелудочно, в различных органах животных, в том числе в лёгких [10]. Таким образом, доказательная база действенности ФТ in vivo и in vitro постоянно расширяется, что вселяет надежду в возможность появления нового помощника в предотвращении и лечении инфекций дыхательных путей у пациентов с МВ.
1 Клинические исследования: РКИ № 389 от 03.08.2018 (завершено); РКИ 169 от 14.03.2022 (продолжается). Заявление на регистрацию в МЗ РФ (входящий № 4253550 от 30.05.2023). Статус на рассмотрении.
2 St. Petersburg genome assembler, Russia.
URL: http://cab.spbu.ru/software/spades
3 Bacterial and Viral Bioinformatics Resource Center.
URL: https://www.bv-brc.org
4 Virulence Factor Database. URL: http://www.mgc.ac.cn/VFs
5 KEGG Orthology and Links Annotation.
URL: https://www.kegg.jp/blastkoala
6 PlasmidFinder 2.1.
URL: https://cge.food.dtu.dk/services/PlasmidFinder
7 Comprehensive Antibiotic Resistance Database.
URL: https://card.mcmaster.ca
8 Antimicrobial susceptibility testing of Burkholderia cepacia complex (BCC). 2013. URL: https://www.eucast.org/fileadmin/src/media/PDFs/EUCAST_files/General_documents/BCC_susceptibility_testing_130719.pdf
Об авторах
Ольга Львовна Воронина
Национальный исследовательский центр эпидемиологии и микробиологии имени почётного академика Н.Ф. Гамалеи
Email: olv550@gmail.com
ORCID iD: 0000-0001-7206-3594
к.б.н., доцент, зав. лаб. анализа геномов
Россия, МоскваЕкатерина Андреевна Королева
Национальный исследовательский центр эпидемиологии и микробиологии имени почётного академика Н.Ф. Гамалеи
Email: olv550@gmail.com
ORCID iD: 0000-0001-9702-2940
к.б.н., с.н.с. лаб. хламидиозов
Россия, МоскваМарина Сергеевна Кунда
Национальный исследовательский центр эпидемиологии и микробиологии имени почётного академика Н.Ф. Гамалеи
Email: olv550@gmail.com
ORCID iD: 0000-0003-1945-0397
к.б.н., с.н.с. лаб. анализа геномов
Россия, МоскваНаталья Николаевна Рыжова
Национальный исследовательский центр эпидемиологии и микробиологии имени почётного академика Н.Ф. Гамалеи
Email: olv550@gmail.com
ORCID iD: 0000-0001-5361-870X
к.б.н., с.н.с. лаб. анализа геномов
Россия, МоскваЕкатерина Ивановна Аксенова
Национальный исследовательский центр эпидемиологии и микробиологии имени почётного академика Н.Ф. Гамалеи
Email: olv550@gmail.com
ORCID iD: 0000-0003-2704-6730
к.б.н., с.н.с. лаб. анализа геномов
Россия, МоскваЛидия Николаевна Капотина
Национальный исследовательский центр эпидемиологии и микробиологии имени почётного академика Н.Ф. Гамалеи
Email: olv550@gmail.com
ORCID iD: 0000-0003-0159-5053
к.б.н., с.н.с. лаб. хламидиозов
Россия, МоскваСтанислава Андреевна Нелюбина
Национальный исследовательский центр эпидемиологии и микробиологии имени почётного академика Н.Ф. Гамалеи
Email: olv550@gmail.com
ORCID iD: 0000-0002-5157-1415
м.н.с. лаб. хламидиозов
Россия, МоскваАнна Валерьевна Лазарева
Национальный медицинский исследовательский центр здоровья детей
Email: olv550@gmail.com
ORCID iD: 0000-0003-3896-2590
д.м.н., г.н.с. лаб. молекулярной микробиологии, зав. лаб. микробиологии
Россия, МоскваНаиля Ахатовна Зигангирова
Национальный исследовательский центр эпидемиологии и микробиологии имени почётного академика Н.Ф. Гамалеи
Автор, ответственный за переписку.
Email: olv550@gmail.com
ORCID iD: 0000-0003-3188-1608
д.б.н., профессор, г.н.с., зав. лаб. хламидиозов
Россия, МоскваСписок литературы
- Регистр пациентов с муковисцидозом в Российской Федерации. 2021 год. СПб.;2023.
- Kazmierczak B.I., Mostov K., Engel J.N. Interaction of bacterial pathogens with polarized epithelium. Annu. Rev. Microbiol. 2001;55:407–35. doi: https://doi.org/10.1146/annurev.micro.55.1.407
- Saldías M.S., Valvano M.A. Interactions of Burkholderia cenocepacia and other Burkholderia cepacia complex bacteria with epithelial and phagocytic cells. Microbiology (Reading). 2009;155(Pt. 9):2809–17. doi: https://doi.org/10.1099/mic.0.031344-0
- Abdillahi S.M., Bober M., Nordin S., et al. Collagen VI is upregulated in COPD and serves both as an adhesive target and a bactericidal barrier for Moraxella catarrhalis. J. Innate Immun. 2015;7(5):506–17. DOI: https://doi.org/10.1159/000381213
- Li S.S., Saleh M., Xiang R.F., et al. Natural killer cells kill Burkholderia cepacia complex via a contact-dependent and cytolytic mechanism. Int. Immunol. 2019;31(6):385–96. doi: https://doi.org/10.1093/intimm/dxz016
- Subramani R., Jayaprakashvel M. Chapter 3. Bacterial quorum sensing: biofilm formation, survival behaviour and antibiotic resistance. In: Bramhachari P.V., ed. Implication of Quorum Sensing and Biofilm Formation in Medicine, Agriculture and Food Industry. Singapore;2019:21–37. doi: https://doi.org/10.1007/978-981-32-9409-7_3
- Pickrum A.M., DeLeon O., Dirck A., et al. Achromobacter xylosoxidans cellular pathology is correlated with activation of a type III secretion system. Infect. Immun. 2020;88(7):e00136-20. DOI: https://doi.org/10.1128/iai.00136-20
- Zigangirova N.A., Nesterenko L.N., Sheremet A.B., et al. Fluorothiazinon, a small-molecular inhibitor of T3SS, suppresses salmonella oral infection in mice. J. Antibiot. (Tokyo). 2021;74(4):244–54. doi: https://doi.org/10.1038/s41429-020-00396-w
- Sheremet A.B., Zigangirova N.A., Zayakin E.S., et al. Small molecule inhibitor of type three secretion system belonging to a class 2,4-disubstituted-4H-[1,3,4]-thiadiazine-5-ones improves survival and decreases bacterial loads in an airway Pseudomonas aeruginosa infection in mice. Biomed. Res. Int. 2018;2018:5810767. doi: https://doi.org/10.1155/2018/5810767
- Savitskii M.V., Moskaleva N.E., Brito A., et al. Dose proportional pharmacokinetics, organ distribution, bioavailability and excretion of the antivirulence drug Fluorothiazinon in rats and rabbits. J. Antibiot. (Tokyo). 2024. doi: https://doi.org/10.1038/s41429-024-00719-1
- Zigangirova N.A., Kost E.A., Didenko L.V., et al. A small-molecule compound belonging to a class of 2,4-disubstituted 1,3,4-thiadiazine-5-ones inhibits intracellular growth and persistence of Chlamydia trachomatis. J. Med. Microbiol. 2016;65(1):91–8. DOI: https://doi.org/10.1099/jmm.0.000189
- Воронина О.Л., Рыжова Н.Н., Кунда М.С. и др. Pseudomonas aeruginosa. Ассистенты и конкуренты в микробиоме инфицированных легких больных муковисцидозом. Медицинский вестник Северного Кавказа. 2020;15(2):186–91. Voronina O.L., Ryzhova N.N., Kunda M.S., et al. Pseudomonas aeruginosa. Assistants and competitors in the microbiome of infected of cystic fibrosis patients’ lungs. Medical News of North Caucasus. 2020;15(2):186–91. doi: https://doi.org/10.14300/mnnc.2020.15045 EDN: https://elibrary.ru/izwatj
- Ozer E.A., Nnah E., Didelot X., et al. The population structure of Pseudomonas aeruginosa is characterized by genetic isolation of exoU+ and exoS+ lineages. Genome Biol. Evol. 2019;11(1):1780–96. DOI: https://doi.org/10.1093/gbe/evz119
- Wilson K. Preparation of genomic DNA from bacteria. Curr. Protoc. Mol. Biol. 2001;Chapter 2:Unit 2.4. doi: 10.1002/0471142727.mb0204s56
- Brettin T., Davis J.J., Disz T., et al. RASTtk: a modular and extensible implementation of the RAST algorithm for building custom annotation pipelines and annotating batches of genomes. Sci. Rep. 2015;5:8365. DOI: https://doi.org/10.1038/srep08365
- Li W., O'Neill K.R., Haft D.H., et al. RefSeq: expanding the Prokaryotic Genome Annotation Pipeline reach with protein family model curation. Nucleic Acids Res. 2021;49(D1):D1020–8. DOI: https://doi.org/10.1093/nar/gkaa1105
- Olson R.D., Assaf R., Brettin T., et al. Introducing the Bacterial and Viral Bioinformatics Resource Center (BV-BRC): a resource combining PATRIC, IRD and ViPR. Nucleic Acids Res. 2023;51(D1):D678–89. doi: https://doi.org/10.1093/nar/gkac1003
- Chen L., Yang J., Yu J., et al. VFDB: a reference database for bacterial virulence factors. Nucleic Acids Res. 2005;33(Database issue):D325-8. DOI: https://doi.org/10.1093/nar/gki008
- Kanehisa M., Sato Y., Morishima K. BlastKOALA and GhostKOALA: KEGG tools for functional characterization of genome and metagenome sequences. J. Mol. Biol. 2016;428(4):726–31. DOI: https://doi.org/10.1016/j.jmb.2015.11.006
- Alcock B.P., Huynh W., Chalil R., et al. CARD 2023: expanded curation, support for machine learning, and resistome prediction at the Comprehensive Antibiotic Resistance Database. Nucleic Acids Res. 2023;51(D1):D690–9. doi: https://doi.org/10.1093/nar/gkac920
- Koroleva E.A., Soloveva A.V., Morgunova E.Y., et al. Fluorothiazinon inhibits the virulence factors of uropathogenic Escherichia coli involved in the development of urinary tract infection. J. Antibiot. (Tokyo). 2023;76(5):279–90. doi: https://doi.org/10.1038/s41429-023-00602-5
- Merritt J.H., Kadouri D.E., O'Toole G.A. Growing and analyzing static biofilms. Curr. Protoc. Microbiol. 2005;Chapter 1: Unit 1B.1. doi: https://doi.org/10.1002/9780471729259.mc01b01s00
- Воронина О.Л., Рыжова Н.Н., Кунда М.С. и др. Основные тенденции в изменении разнообразия буркхолдерий, инфицирующих российских больных муковисцидозом. Сибирское медицинское обозрение. 2019;(2):80–8. Voronina O.L., Ryzhova N.N., Kunda M.S., et al. Major tendencies in burkholderia diversity changes, infecting Russian patients with cystic fibrosis. Siberian Medical Review. 2019;(2):80–8. doi: https://doi.org/10.20333/2500136-2019-2-80-88 EDN: https://elibrary.ru/aqqxee
- Martínez-Alemán S., Bustamante A.E., Jimenez-Valdes R.J., et al. Pseudomonas aeruginosa isolates from cystic fibrosis patients induce neutrophil extracellular traps with different morphologies that could correlate with their disease severity. Int. J. Med. Microbiol. 2020;310(7):151451. doi: https://doi.org/10.1016/j.ijmm.2020.151451
- Wittgens A., Kovacic F., Müller M.M., et al. Novel insights into biosynthesis and uptake of rhamnolipids and their precursors. Appl. Microbiol. Biotechnol. 2017;101(7):2865–78. doi: https://doi.org/10.1007/s00253-016-8041-3
- Choi Y., Park H.Y., Park S.J., et al. Growth phase-differential quorum sensing regulation of anthranilate metabolism in Pseudomonas aeruginosa. Mol. Cells. 2011;32(1):57–65. doi: https://doi.org/10.1007/s10059-011-2322-6
- Yadav S.K., Das J., Kumar R., Jha G. Calcium regulates the mycophagous ability of Burkholderia gladioli strain NGJ1 in a type III secretion system-dependent manner. BMC Microbiol. 2020;20(1):216. doi: https://doi.org/10.1186/s12866-020-01897-2
- Parsons Y.N., Glendinning K.J., Thornton V., et al. A putative type III secretion gene cluster is widely distributed in the Burkholderia cepacia complex but absent from genomovar I. FEMS Microbiol. Lett. 2001;203(1):103–8. doi: https://doi.org/10.1111/j.1574-6968.2001.tb10827.x
- Le Goff M., Vastel M., Lebrun R., et al. Characterization of the Achromobacter xylosoxidans type VI secretion system and its implication in cystic fibrosis. Front. Cell. Infect. Microbiol. 2022;12:859181. doi: https://doi.org/10.3389/fcimb.2022.859181
Дополнительные файлы







