Orientational relaxation of ferromagnetic anisotropic colloidal particles in a magnetic fluid
- Authors: Filippova Y.А.1,2, Yakusheva О.A.1, Papugaeva A.V.1
-
Affiliations:
- Moscow State Pedagogical University
- Lomonosov Moscow State University
- Issue: Vol 88, No 12 (2024)
- Pages: 1991-1996
- Section: Nanooptics, photonics and coherent spectroscopy
- URL: https://journals.rcsi.science/0367-6765/article/view/286567
- DOI: https://doi.org/10.31857/S0367676524120235
- EDN: https://elibrary.ru/EUUNRY
- ID: 286567
Cite item
Abstract
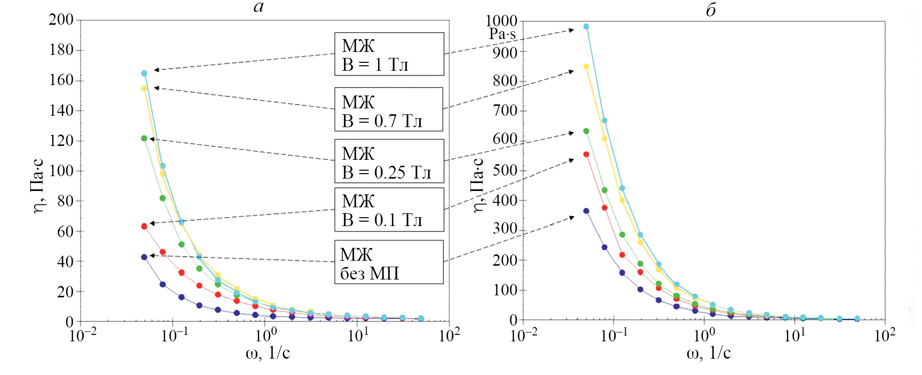
Permalloy rod-shaped anisotropic nanoparticles were used to study orientational relaxation in polymethylsiloxane magnetic fluid. A magnetorheological effect was obtained at different magnitudes and frequencies of exposure to a magnetic field, and the time of structural relaxation after removal of the field was assessed.
Full Text
About the authors
Y. А. Filippova
Moscow State Pedagogical University; Lomonosov Moscow State University
Author for correspondence.
Email: yufi26@list.ru
Russian Federation, Moscow; Moscow
О. A. Yakusheva
Moscow State Pedagogical University
Email: yufi26@list.ru
Russian Federation, Moscow
A. V. Papugaeva
Moscow State Pedagogical University
Email: yufi26@list.ru
Russian Federation, Moscow
References
- Такетоми С., Тикатзуми С. Магнитные жидкости. М.: Мир, 1993. 272 c.
- Sütterlin S., Bölke D., Ehresmann M. et al. // CEAS Space J. 2024. doi: 10.1007/s12567-024-00539-x.
- Sabzi Dizajyekan B., Jafary A., Vafaie-Sefti V. et al. // Sci. Reports. 2024. V. 14. No. 1. Art. No.1296.
- Немцева М.П., Филиппов Д.В., Федорова А.А. Реологические свойства коллоидных систем. Иваново: ИГХТУ, 2016. 80 с.
- López-López M. T., Kuzhir P., Bossis G. // J. Rheology. 2009. V. 53. No. 1. P. 115.
- Ерин К.В., Вивчарь В.И., Шевченко Е.И. // Изв. РАН. Сер. физ. 2023. Т. 87. № 3. C. 315, Yerin C.V., Vivchar V.I., Shevchenko E.I. // Bull. Russ. Acad. Sci. Phys. 2023. V. 87. No. 3. P. 272.
- Zubarev A.Y., Iskakova L.Y. // J. Magn. Magn. Mater. 2023. V. 588. P. 171448.
- Испирян А.Г. // Наука. Инновации. Технологии. 2018. № . 2. P. 49.
- Филиппова Ю.А., Папугаева А.В., Панов Д.В. и др. // Изв. РАН. Сер. физ. 2023. Т. 87. № 12. C. 1813, Filippova Y.A., Papugaeva A.V., Panov D.V. et al. // Bull. Russ. Acad. Sci. Phys. 2023. V. 87. No. 12. P. 1885.
- Шлиомис М.И. // УФН. 974. Т. 112. № . 3. С. 427.
- Филиппова Ю.А., Бижецкий А.С., Папугаева А.В. и др. // Изв. РАН. Сер. физ. 2023. Т. 87. № 10. C. 1452, Filippova Y.A., Bizhetskiy A.S., Popugaeva A.V. et al. // Bull. Russ. Acad. Sci. Phys. 2015. V. 87. No. 10. P. 1483.
Supplementary files









