Анализ мод Шмидта для сверхширокополосных бифотонов, генерируемых в фотонно-кристаллическом волокне
- Авторы: Смирнов М.А.1, Смирнова А.М.1, Хайруллин А.Ф.1, Ермишев О.А.1, Моисеев С.А.1
-
Учреждения:
- Федеральное государственное бюджетное образовательное учреждение высшего образования «Казанский национальный исследовательский технический университет имени А.Н. Туполева-КАИ»
- Выпуск: Том 88, № 12 (2024)
- Страницы: 1946-1950
- Раздел: Нанооптика, фотоника и когерентная спектроскопия
- URL: https://journals.rcsi.science/0367-6765/article/view/286540
- DOI: https://doi.org/10.31857/S0367676524120165
- EDN: https://elibrary.ru/EVKVAO
- ID: 286540
Цитировать
Аннотация
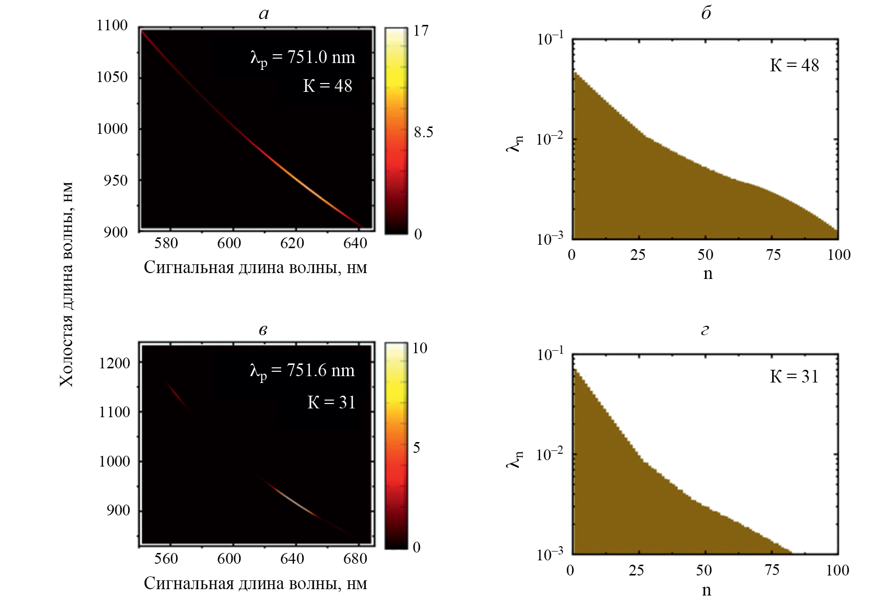
Выполнена оценка степени квантовой запутанности на основе анализа числа мод Шмидта сверхширокополосных бифотонных состояний, генерируемых в фотонно-кристаллическом волокне. Показано, что данные состояния могут иметь высокую степень квантовой запутанности даже в условии накачки источника широкополосными фемтосекундными лазерными импульсами.
Полный текст
Об авторах
М. А. Смирнов
Федеральное государственное бюджетное образовательное учреждение высшего образования «Казанский национальный исследовательский технический университет имени А.Н. Туполева-КАИ»
Автор, ответственный за переписку.
Email: maxim@kazanqc.org
Казанский квантовый центр
Россия, КазаньА. М. Смирнова
Федеральное государственное бюджетное образовательное учреждение высшего образования «Казанский национальный исследовательский технический университет имени А.Н. Туполева-КАИ»
Email: maxim@kazanqc.org
Казанский квантовый центр
Россия, КазаньА. Ф. Хайруллин
Федеральное государственное бюджетное образовательное учреждение высшего образования «Казанский национальный исследовательский технический университет имени А.Н. Туполева-КАИ»
Email: maxim@kazanqc.org
Казанский квантовый центр
Россия, КазаньО. А. Ермишев
Федеральное государственное бюджетное образовательное учреждение высшего образования «Казанский национальный исследовательский технический университет имени А.Н. Туполева-КАИ»
Email: maxim@kazanqc.org
Казанский квантовый центр
Россия, КазаньС. А. Моисеев
Федеральное государственное бюджетное образовательное учреждение высшего образования «Казанский национальный исследовательский технический университет имени А.Н. Туполева-КАИ»
Email: maxim@kazanqc.org
Казанский квантовый центр
Россия, КазаньСписок литературы
- Клышко Д.Н. // УФН. 1989. Т. 158. № 6. С. 327, Klyshko D.N. // Sov. Phys. Usp. 1989. V. 32. P. 555.
- Moreau P.-A., Tonelli E., Gregori T., Padgett M.J. // Nature Rev. Phys. 2019. V. 1. No. 6. P. 367.
- Vallés A., Jimenez G., Salazar-Serrano L.J., Torres J.P. // Phys. Rev. A. 2018. V. 97. No. 2. Art. No. 023824.
- Schlawin F., Dorfman K.E., Mukamel S. // Acc. Chem. Res. 2018. V. 51. No. 9. P. 2207.
- Бантыш Б.И., Катамадзе К.Г., Богданов Ю.И. и др. // Письма в ЖЭТФ. 2022. Т. 116. № 1—2 (7). С. 33, Bantysh B.I., Katamadze K.G., Bogdanov Yu.I. et al. // JETP Lett. 2022. V. 116. No. 1. P. 29.
- Миннегалиев М.М., Герасимов К.И., Моисеев С.А. // Письма в ЖЭТФ. 2023. Т. 117. № 11. С. 867, Minnegaliev M.M., Gerasimov K.I., Moiseev S.A. // JETP Lett. 2023. V. 117. No. 11. P. 865.
- Melnik K.S., Moiseev E.S. // Phys. Rev. A. 2023. V. 107. No. 5. Art. No. 052607.
- Федоров А.К., Киктенко Е.О., Хабарова К.Ю., Колачевский Н.Н. // УФН. 2023. Т. 193. № . 11. С. 1162, Fedorov A.K., Kiktenko E.O., Khabarova K.Yu., Kolachevsky N.N. // Phys. Usp. 2023. V. 66. No. 11. P. 1095.
- Cozzolino D., da Lio B., Bacco D., Oxenlowe L.K. // Adv. Quantum Technol. 2019. V. 2. No. 12. Art. No. 1900038.
- Erhard M., Krenn M., Zeilinger A. // Natute Rev. Phys. 2020. V. 2. No. 7. P. 365.
- Bechmann-Pasquinucci H., Peres A. // Phys. Rev. Lett. 2000. V. 85. No. 15. P. 3313.
- Couteau C., Barz S., Durt T. et al. // Nature. Rev. Phys. 2023. V. 5. No. 6. P. 326.
- Катамадзе К.Г., Пащенко А.В., Романова А.В., Кулик С.П. // Письма в ЖЭТФ. 2022. Т. 115. № 10. С. 613, Katamadze K.G., Pashchenko A.V., Romanova A.V., Kulik S.P. // JETP Lett. 2022. V. 115. No. 10. P. 581.
- Petrovnin K.V., Smirnov M.A., Fedotov I.V. et al. // Laser Phys. Lett. 2019. V. 16. No. 7. Art. No. 075401.
- Хайруллин А.Ф., Смирнова А.М., Арсланов Н.М. и др. // Письма в ЖЭТФ. 2024. Т. 119. № 5. С. 336, Khairullin A.F., Smirnova A.M., Arslanov N.M. et al. // JETP Lett. 2024. V. 119. No. 5. P. 345.
- Hammer J., Chekhova M.V., Häupl D.R. et al. // Phys. Rev. Res. 2020. V. 2. No. 1. P. 012079.
- Smirnov M.A., Petrovnin K.V., Fedotov I.V. et al. // Laser Phys. Lett. 2019. V. 16. No. 11. Art. No. 115402.
- Garay-Palmett K., Kim D.V., Zhang Y. et al. // JOSA B. 2023. V. 40. No. 3. P. 469.
- Ермишев О.А., Смирнов М.А., Хайруллин А.Ф., Арсланов Н.М.// Изв. РАН. Сер. физ. 2022. Т. 86. № 12. С. 1764, Ermishev O.A., Smirnov M.A., Khairullin A.F., Arslanov N.M. // Bull. Russ. Acad. Sci. Phys. 2022. V. 86. No. 12. P. 1502.
- Lopez-Huidobro S., Lippl M., Joly N.Y., Chekhova M.V. // Opt. Letters. 2021. V. 46. No. 16. P. 4033.
- Smirnov M.A., Fedotov I.V., Smirnova A.M. et al. // Opt. Letters. 2024. V. 49. No. 14. P. 3838.
- Агравал Г. Нелинейная волоконная оптика. М.: Мир, 1996.
- Law C.K., Walmsley I.A., Eberly J.H. // Phys. Rev. Lett. 2000. V. 84. No. 23. P. 5304.
- Migdall A., Polyakov S.V., Fan J., Bienfang J.C. Single-photon generation and detection: physics and applications. Experimental Methods in the Physical Sciences. V. 45. Acad. Press, 2013. 616 p.
- Желтиков А.М., Скалли М.О. // УФН. 2020. Т. 190. № 7. С. 749, Zheltikov A.M., Scully M.O. // Phys. Usp. 2020. V. 63. No. 7. P. 698.
- Petrov N.L., Voronin A.A., Fedotov A.B., Zheltikov A.M. // Phys. Rev. A. 2019. V. 100. No. 3. Art. No. 033837.
Дополнительные файлы





