Influence of an external magnetic field on the current density in a photon crystal from impurity carbon nanotubes under the action of a laser pulse
- Authors: Dvuzhilova Y.V.1, Dvuzhilov I.S.1, Kistenev Y.V.2
-
Affiliations:
- Volgograd State University
- National Research Tomsk State University
- Issue: Vol 88, No 12 (2024)
- Pages: 1887-1891
- Section: Nanooptics, photonics and coherent spectroscopy
- URL: https://journals.rcsi.science/0367-6765/article/view/286478
- DOI: https://doi.org/10.31857/S0367676524120071
- EDN: https://elibrary.ru/EWREQU
- ID: 286478
Cite item
Abstract
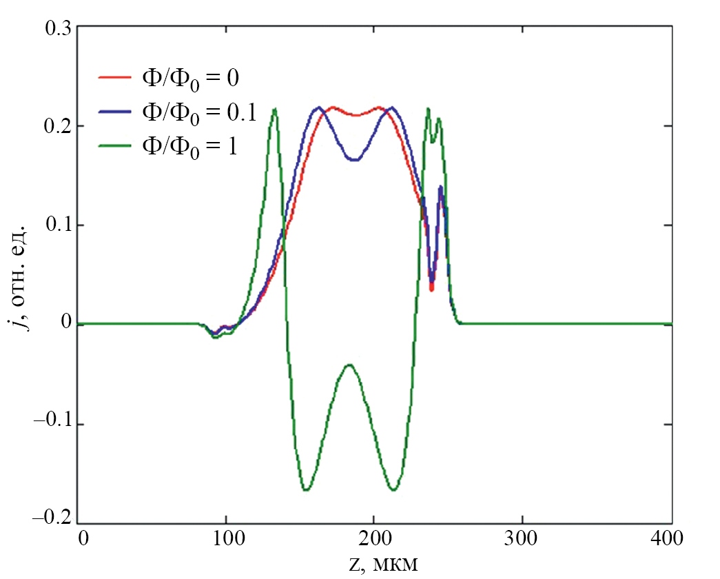
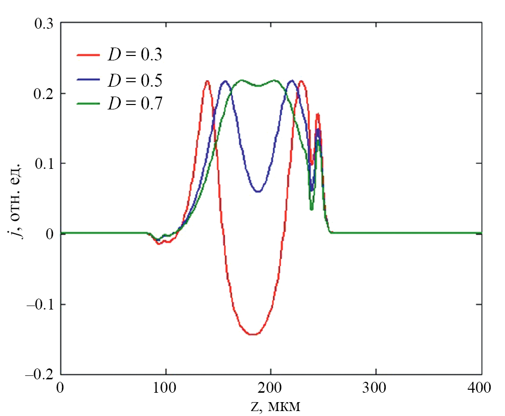
We developed a theoretical model of the interaction of a photonic crystal made of semiconductor carbon nanotubes and a three-dimensional extremely short laser pulse in the presence of an external magnetic field. Based on numerical simulations, pictures of the time evolution of current density in a medium containing multi-level impurity are shown. The dependences of the shape of the current density on the values of the external magnetic field and on the hopping integrals between impurity levels have been established.
Full Text
About the authors
Yu. V. Dvuzhilova
Volgograd State University
Email: dvuzhilov.ilya@volsu.ru
Russian Federation, Volgograd
I. S. Dvuzhilov
Volgograd State University
Author for correspondence.
Email: dvuzhilov.ilya@volsu.ru
Russian Federation, Volgograd
Yu. V. Kistenev
National Research Tomsk State University
Email: dvuzhilov.ilya@volsu.ru
Russian Federation, Tomsk
References
- Yablonovitch E. // Phys. Rev. Lett. 1987. V. 58. P. 2059.
- John S. // Phys. Rev. Lett. 1987. V. 58. P. 2486.
- Johri M., Ahmed Y.A., Bezboruah T. // Current Sci. 2007. V. 92. P. 1361.
- Hu E.T., Yue G.Q., Zhang R.J. et al. // Renew. Energy. 2015. V. 77. P. 442.
- Mantsevich V.N., Maslova N.S. // Письма в ЖЭТФ. 2010. V. 91. No. 3. P. 150.
- Mantsevich V.N., Maslova N.S. // Solid State Commun. 2010. V. 150. P. 2072.
- Dvuzhilova Yu.V., Dvuzhilov I.S., Konobeeva N.N. et al. // Roman. Rep. Phys. 2023. V. 75. P. 406.
- Fibich G., Ilan. B. // Opt. Letters. 2004. V. 29. No. 8. P. 887.
- Кившарь Ю.С., Агравал Г.П. Оптические солитоны. От световодов к фотонным кристаллам. М.: Физматлит, 2005. 648 с.
- Сазонов С., Халяпин В. Предельно короткие импульсы в анизотропных средах. London: LAMBERT Academic Publishing, 2011. 112 p.
- Архипов Р.М., Архипов М.В., Шимко А.А. и др. // Письма в ЖЭТФ. 2019. Т. 110. № 1. С. 9, Arkhipov R.M., Arkhipov M.V., Shimko A.A. et al. // JETP Lett. 2019. V. 110. No. 1. P. 15.
- Двужилова Ю.В., Двужилов И.С., Конобеева Н.Н. и др. // Изв. РАН. Сер. физ. 2023. Т. 87. № 12. С. 1754, Dvuzhilova Yu.V., Dvuzhilov I.S., Konobeeva N.N. et al. // Bull. Russ. Acad. Sci. Phys. 2023. V. 87. No. 12. P. 1833.
- Cortijo A., Guinea F., Vozmediano M.A.H. // J. Phys. A. Math. Theor. 2012. V. 45. Art. No. 383001.
- Dresselhaus M.S., Dresselhaus G., Eklund P.C. Science of fullerenes and carbon nanotubes. San Diego: Academic Press, 1996. 965 p.
- Zhukov A.V., Bouffanais R., Konobeeva N.N. et al. // Europhys. Lett. 2014. V. 106. P. 37005.
- Konobeeva N.N., Belonenko M.B. // Mod. Phys. Lett. B. 2017. V. 31. No. 2. Art. No. 1750005.
- Zhukov A.V., Bouffanais R., Fedorov E.G. et al. // J. Appl. Phys. 2013. V. 114. P. 143106.
- Волощенко Ю.И., Рыжов Ю.Н., Сотин В.Е. // ЖТФ. 1981. Т. 51. С. 902.
- Белоненко М.Б., Невзорова Ю.В., Двужилов И.С. // Опт. и спектроск. 2017. Т. 123. № 1. С. 116, Belonenko M.B., Nevzorova Yu.V., Dvuzhilov I.S. // Opt. Spectrosc. 2017. V. 123. No. 1. P. 111.
- Bakhvalov N.S. Numerical methods: analysis, algebra, ordinary differential equations. Moscow: Mir, 1997.
- Zhukov A.V., Bouffanais R., Malomed B.A. et al. // Phys. Rev. A. 2016. V. 94. Art. No. 053823.
Supplementary files







