Chiral thin film structures based on arrays of cobalt nanospirals obtaned by oblique deposition
- Авторлар: Trushin O.S.1, Fattakhov I.S.1, Popov A.A.1, Mazaletsky L.A.1,2, Gaidukasov R.A.1, Miakonkikh A.V.1
- 
							Мекемелер: 
							- Valiev Institute of Physics and Technology of the Russian Academy of Sciences
- Demidov Yaroslavl State University
 
- Шығарылым: Том 88, № 9 (2024)
- Беттер: 1490–1494
- Бөлім: Quantum Optics and Quantum Technologies
- URL: https://journals.rcsi.science/0367-6765/article/view/283439
- DOI: https://doi.org/10.31857/S0367676524090233
- EDN: https://elibrary.ru/OCKHWX
- ID: 283439
Дәйексөз келтіру
Толық мәтін
Аннотация
The results of experimental studies of chiral thin film structures based on arrays of cobalt nanospirals obtained by oblique angle deposition are presented. It has been shown that in the conditions of electron-beam evaporation on rotating tilted substrate arrays of nanospirals winded in the same direction are formed. By varying substrate rotation speed it is possible to change geometrical sizes of those helixes (helix pitch, helix radius). As obtained metasurface showed distinct asymmetry of optical characteristics at the reflection of right and left circular polarized light.
Негізгі сөздер
Толық мәтін
Введение
Оптические метаматериалы и технологии их получения находятся в фокусе внимания в современной научной литературе. Возможность создания искусственных материалов с уникальными оптическими характеристиками позволяет исследовать фундаментальные механизмы взаимодействия света с веществом и открывает широкие перспективы их практического применения [1–4]. Важным примером такого рода являются киральные пленочные структуры [4]. Такие структуры состоят из периодически расположенных на плоской подложке одинаковых геометрических форм (метаатомов) с типичными размерами сравнимыми с длиной волны видимого света. Существенным свойством таких форм является нарушение зеркальной симметрии, что придает такой пленочной структуре свойство киральности. Это свойство проявляется в оптических явлениях в виде различного характера взаимодействия такого материала с право- и лево- циркулярно поляризованным светом. При пропускании света через такой метаматериал наблюдается явление кругового дихроизма, кроме того при отражении от такой поверхности происходит изменение состояния поляризации и интенсивности света. Эти явления можно использовать для практических применений для создания оптических фильтров, поляризаторов и сенсоров разного типа [4].
В настоящее время для создания киральных метаматериалов используют вещества с разной природой проводимости: диэлектрики, полупроводники и металлы. Для создания таких структур применяются различные виды технологий. Наиболее совершенные по форме и одинаковые по размерам наноструктуры получают методами нанолитографии и нанопечати [2, 4]. Однако высокая стоимость таких методов препятствует широкому практическому применению получаемых материалов. В последние годы для получения киральных метаматериалов широко используется недорогой метод наклонного напыления с вращением подложки (GLAD) [3]. В рамках этого метода формирование получившие случайное преимущество в росте на начальных этапах напыления, в дальнейшем затеняют соседей, подавляя их рост. Тем самым в растущей пленке образуются поры и формируется массив отдельных нановолокон. Включение вращения подложки вокруг нормали к ее поверхности в процессе роста приводит к постепенному смещению области тени и формированию наноспиралей. При этом все наноспирали синхронно закручены в одну сторону, что придает свойство киральности всей метаповерхности. Изменяя скорость вращения подложки, можно менять геометрические размеры наноспиралей (шаг спирали, радиус спирали и др.).
Экспериментальная методика
Подходящей технологией для экспериментов по наклонному напылению является электронно-лучевое испарение. Этот метод сочетает достаточно высокий рабочий вакуум и однородный поток распыляемого материала. В настоящей работе эксперименты по напылению пленок кобальта на наклонную подложку проводили на установке электронно-лучевого испарения "Оратория-9". Условия напыления были следующие: базовый вакуум 4‧10–6 мм рт. ст.; напряжение электронного луча 8 кВ; ток 0.5 А. Пленки кобальта напылялись на подложку прямоугольной формы размером 20×15 мм, изготовленной из стандартной пластины Si(001) со слоем термического окисла толщиной 300 нм. Подложка крепилась на держатель под наклоном к потоку напыляемого материала. Кроме того, держатель обеспечивал возможность вращения подложки с варьируемыми скоростями. Все эксперименты проводились при комнатной температуре. Скорость роста пленок варьировалась в зависимости от угла наклона подложки от 0.9 до 1.5 нм/с. Время напыления было одинаковым для всех образцов и составляло 5 мин.
Полученные таким образом пленки далее подвергались различным видам анализов. Морфология и структура получаемых пленок была исследована методом сканирующей электронной микроскопии (SUPRA-40). Оптические характеристики измерялись на спектральном эллипсометре M-2000X (J. A. Woollam Co, USA) при угле падения 65о, в диапазоне длин волн 248–1000 нм.
Результаты
В результате проведенных ранее исследований было установлено, что оптимальные условия для наноструктурирования пленок кобальта реализуются при углах наклона подложки θ > 80о [5]. Оптимальными, в данном контексте, являются условия напыления, обеспечивающие наиболее четко выраженное наноструктурирование, когда пленка состоит из отдельных нановолокон, разделенных порами. В этих условиях формируется массив наноколонн c углом наклона около 60о. Каждая наноколонна имеет поперечные размеры менее 30 нм и длину около 400 нм.
Картина роста сильно изменится, если оставить тот же угол наклона подложки, но начать менять ее ориентацию по отношению к падающему на нее потоку вещества. Для этого было включено вращение подложки. Картины роста пленок при различных скоростях вращения подложки и угле наклона θ = 85о можно проследить на SEM изображениях, представленных на рис. 1. Как видно из анализа этих рисунков при включении вращения подложки в процессе роста пленки формируется массив наноспиралей (геликонов). При изменении скорости вращения изменяется шаг спирали и ее радиус. Таким образом, данные эксперименты показывают возможность эффективно управлять текстурой роста путем изменения условий напыления.
Рис. 1. Микроскопические изображения наноструктурированных пленок Co/Si, полученных при разных скоростях вращения подложки: 0.3 об/мин – поперечный срез (а) и вид сверху (б), 0.6 об/мин – поперечный срез (в), 1.6 об/мин – поперечный срез (г).
Как мы видели ранее, при включении вращения подложки в процессе роста пленки происходит формирование массива наноспиралей. Все эти наноспирали закручены в одну и ту же сторону, что определяется направлением вращения образца. Такая морфология роста приводит к нарушению симметрии в плоскости пленки по отношению к зеркальным отражениям. Это свойство получило название киральность. Исходя из общих соображений симметрии можно ожидать, что киральность поверхности может проявится в оптических явлениях отражения, так как световая волна может обладать круговой поляризацией. В определенных условиях свет обладающий, например, правой циркулярной поляризацией будет по-разному взаимодействовать с наноспиралями закрученными направо и налево. Поэтому разумно предположить, что этот эффект проявит себя при отражении циркулярно-поляризованного света от киральной поверхности. При этом можно ожидать, что геометрические размеры наноспирали (величина шага и ее радиус) должны влиять на поляризационные свойства структуры. Для проверки этих предположений были проведены эллипсометрические исследования полученных образцов. Использован спектральный эллипсометр M-2000X (J. A. Woollam Co, USA). Такие эллипсометры широко используются для in situ контроля роста пленок [7].
Для каждого образца были проведены комплексные измерения векторов Стокса в диапазоне длин волн 248–1000 нм при угле падения (и отражения) равном 65о. В результате были рассчитаны элементы матрицы Мюллера [6]. По этим данным проводился анализ поляризационных свойств полученных структур. Вышеизложенные предположения вполне подтверждаются полученными экспериментальными данными [8].
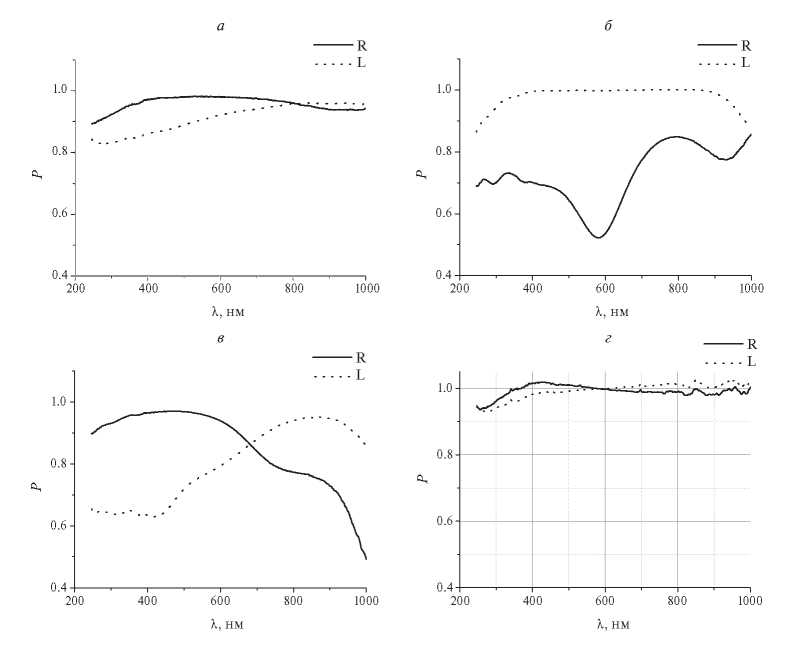
На рис. 2 представлены зависимости степени поляризации отраженного излучения для двух видов падающей циркулярно-поляризованной волны (правой и левой) от длины волны для образцов, полученных при разных скоростях вращения.
Рис. 2. Зависимости степени поляризации отраженной волны от длины волны используемого излучения для двух видов падающих циркулярно-поляризованных волн (правой-R и левой-L) для образцов с разными скоростями вращения: 0.2 (а), 0.3 (б), 0.6 (в) и 1.6 об/мин (г).
Как видно из анализа рис. 2 степень поляризации по-разному изменяется при изменении длины волны для правой и левой поляризации для образца, полученного на скорости вращения (0.3–0.6 об/мин). По-видимому, этот факт можно понять, сравнив длину волны и геометрические размеры наноспирали (шаг спирали и ее радиус). Для таких образцов происходит существенная деполяризация (снижение степени поляризации на 30%) одного из видов циркулярной волны. Это может происходить за счет сбоя фазы при отражении или поглощения света металлическими наноструктурами. С другой стороны, для образцов, полученных при очень малых скоростях (0.2 об/мин) и больших скоростях вращения (1.6 об/мин)зависимости степени поляризации от длины волны для двух видов поляризации мало отличаются. Таким образом, варьируя скорость вращения образца в процессе роста можно изменять поляризационные свойства получаемой пленки.
Заключение
Таким образом, установлено, что при угле наклона подложки 85° и вращении подложки формируется массив наноспиралей. Варьируя скорость вращения подложки, можно получать наноспирали с разными геометрическими размерами (шаг закручивания, радиус спирали). Необходимо отметить, что все наноспирали закручены в одну и ту же сторону, что придает пленке свойства киральности. Это, в частности, приводит к асимметрии оптических характеристик при отражении право- и лево- циркулярно-поляризованного света. Данная морфология может быть перспективной для применения в области наносенсорики, а также для создания оптически активных поверхностей.
Работа выполнена в рамках тем государственного задания № FFNN-2022-0018 и № FFNN-2022-0019 Министерства науки и высшего образования России на оборудовании центра коллективного пользования научным оборудованием «Диагностика микро- и наноструктур».
Авторлар туралы
O. Trushin
Valiev Institute of Physics and Technology of the Russian Academy of Sciences
							Хат алмасуға жауапты Автор.
							Email: ostrushin@mail.ru
				                					                																			                								
Yaroslavl Branch
Ресей, YaroslavlI. Fattakhov
Valiev Institute of Physics and Technology of the Russian Academy of Sciences
														Email: ostrushin@mail.ru
				                					                																			                								
Yaroslavl Branch
Ресей, YaroslavlA. Popov
Valiev Institute of Physics and Technology of the Russian Academy of Sciences
														Email: ostrushin@mail.ru
				                					                																			                								
Yaroslavl Branch
Ресей, YaroslavlL. Mazaletsky
Valiev Institute of Physics and Technology of the Russian Academy of Sciences; Demidov Yaroslavl State University
														Email: ostrushin@mail.ru
				                					                																			                								
Yaroslavl Branch
Ресей, Yaroslavl; YaroslavlR. Gaidukasov
Valiev Institute of Physics and Technology of the Russian Academy of Sciences
														Email: ostrushin@mail.ru
				                					                																			                												                	Ресей, 							Moscow						
A. Miakonkikh
Valiev Institute of Physics and Technology of the Russian Academy of Sciences
														Email: ostrushin@mail.ru
				                					                																			                												                	Ресей, 							Moscow						
Әдебиет тізімі
- Gansel J.K., Thiel M., Rill M.S. et al. // Science. 2009. V. 325. P. 1513.
- Gibbs J. G., Mark A.G., Eslami S. et al. // Appl. Phys. Lett. 2013. V. 103. Art. No. 213101.
- Lee S.H., Singh D.P., Sung J.H. et al. // Sci. Reports. 2016. V. 6. P. 19580.
- Kim J., Rana A.S., Kim Y. et al. // Sensors. 2021. V. 21. P. 4381.
- Трушин О.С., Попов А.А., Пестова А Н. и др. // Изв. РАН. Сер. физ. 2022. Т. 86. № 5. С. 650. Trushin O.S., Popov A.A., Pestova A.N. et al. // Bull. Russ. Acad. Sci. Phys. 2022. V. 86. No. 5. P. 542.
- Fujiwara H. Spectroscopic ellipsometry principles and applications. John Wiley & Sons Ltd. 2007.
- Мяконьких А.В., Смирнова Е.А., Клементе И.Э. // Микроэлектроника. 2021. Т. 50. № 4. С. 264. // Miakonkikh A.V., Smirnova E.A., Klemente I.E. // Russ. Microelectron. 2021. V. 50. Nо. 4. P. 230.
- Трушин О.С., Фаттахов И.C., Попов А.А. и др. // ФТТ. 2023. Т. 65. № 6. С. 996. // Trushin O.S., Fattakhov I.S., Popov A.A. et al. // Phys. Solid State 2023. V. 65. No. 6. P. 953.
- Faryad M., Lakhtakia A. // Adv. Opt. Photon. 2014. V. 6. P. 225.
- Schaferling M. Chiral nanophotonics. SSOS. V. 205. Springer International Publishing, 2017.
Қосымша файлдар
 
				
			 
						 
					 
						 
						 
						 
									
 
  
  
  Мақаланы E-mail арқылы жіберу
			Мақаланы E-mail арқылы жіберу 


