Formation and dynamics of droplets in a magnetic fluid in microchannels in an inhomogeneous magnetic field of ring magnet
- Authors: Kalyuzhnaya D.A.1, Sokolov E.A.1, Zhukov G.A.1, Ryapolov P.A.1
-
Affiliations:
- Southwest State University
- Issue: Vol 88, No 10 (2024)
- Pages: 1607-1613
- Section: Microfluidics and ferrohydrodynamics of magnetic colloids
- URL: https://journals.rcsi.science/0367-6765/article/view/283398
- DOI: https://doi.org/10.31857/S0367676524100162
- EDN: https://elibrary.ru/DSKQEX
- ID: 283398
Cite item
Full Text
Abstract
We studied the dynamics of non-magnetic droplets in magnetic liquids in microchannels with a “flow focusing” configuration under the action of an inhomogeneous magnetic field of an annular magnet. Two types of multiphase systems were studied: non-magnetic emulsions “oil in water”, “water in oil”, as well as “water in oil in water” and magnetic direct emulsions in which the magnetic liquid was used as a continuous phase. The dependences of the sizes of the generated non-magnetic inclusions on the flow rate of the continuous magnetic phase and the displacement of the magnetic field source relative to the dispersed phase supply connector horizontally along the channel axis are obtained.
Full Text
ВВЕДЕНИЕ
Микрофлюидика — это растущая область исследований, которая относится к манипулированию жидкостями на микромасштабном уровне [1]. Микрофлюидные устройства в настоящее время играют важную роль во многих биологических, химических и инженерных областях. Они позволяют точно контролировать потоки жидкостей, газов, частиц в микрометровом или даже в нанометровом масштабе. В зависимости от задачи микрофлюидные устройства изготавливаются из различных материалов [2].
Развитие капельной микрофлюидики, которая рассматривает процессы образования, контроля и динамики эмульсий различных систем, открывает новые возможности для получения, а также изучения свойств и поведения эмульсий [3—5]. Преимущество данной науки состоит в том, что размер капель в микроканалах можно регулировать изменением скорости потока фаз или конфигурации канала [6].
Эмульсии, образующиеся обычными методами [7, 8], в большинстве случаев состоят из полидисперсных капель. Микрофлюидика предлагает альтернативный способ производства эмульсий, путем точного изготовления одной капли за раз. В результате этого процесса образуются монодисперсные эмульсии. Одной из самых привлекательных особенностей микрофлюидных технологий является то, что они позволяют создавать эмульсии двойного, тройного и даже более высокого порядка, где размером и количеством инкапсулированных капель можно управлять с большой точностью [9].
Использование магнитной жидкости открывает возможность для активной генерации капель с помощью влияния внешнего магнитного поля [10]. Феррожидкость представляет собой коллоидную систему, состоящую из ферро- или ферримагнитных однодоменных частиц, покрытых поверхностно-активными веществами (ПАВ) и диспергированных в жидкости-носителе [11]. Магнитные коллоиды в эмульсиях могут выступать как в качестве дисперсной фазы [12], так и непрерывной [13].
На данный момент встречаются работы, в которых исследуются немагнитные объекты, погруженные в магнитную среду. Чаще всего для этого используют твердые тела, например сферы, не обладающие магнитными свойствами [14, 15].
Манипулирование жидкими немагнитными объектами рассматривается в работе [16], где изучается влияние однородного магнитного поля на гидродинамику и неустойчивость немагнитных включений (пузырьков и капель), всплывающих в зазоре, заполненном магнитной жидкостью. В работе [17] во внешнем магнитном поле исследовалось поведение немагнитной капли масла в магнитной жидкости в микрокювете. Авторы работы [18] продемонстрировали магнитофоретический контроль капель воды в объемной феррожидкости на основе углеводородного масла, который основан на использовании единого магнитного поля, приводящего все капли в движение. Манипулирование каплями воды в магнитной жидкости в присутствии неоднородного магнитного поля в микрофлюидном устройстве также описывается в работе [19], где показано влияние магнитного поля, диаметра капель и скорости потока МЖ на перемещение капель и их слияние с совместно текущим водным потоком.
В настоящий момент ведутся исследования множественных эмульсий на основе магнитных жидкостей, получаемых в микроканалах, благодаря которым открывается возможность адресной доставки лекарств с помощью бесконтактного магнитного манипулирования [20].
Целью настоящей работы является исследование динамики немагнитных и магнитных эмульсий в стеклянных микроканалах.
Для этого были самостоятельно изготовлены стеклянные микрофлюидные чипы с конфигурацией «фокусировка потока» для производства одинарных и двойных многофазных систем. Получены немагнитные прямые, обратные и двойные («вода в масле в воде») эмульсии и магнитные прямые эмульсии. Исследованы зависимости размеров формирующихся капель минерального масла в магнитной жидкости, выступающей в качестве непрерывной среды, от расхода МЖ а также впервые рассмотрено влияние горизонтального смещения кольцевого магнита относительно разъема подачи дисперсной фазы на объем формирующихся капель.
Проведенные исследования открывают возможность организации бесконтактного контроля размера капель, который может быть использован в газовых счетчиках и дозаторах в микрофлюидике.
МЕТОДИКА ЭКСПЕРИМЕНТА
Исследование капельных течений в микрофлюидных чипах проведено на экспериментальной установке, внешний вид и блок-схема которой представлена на рис. 1а и 1б, соответственно.
Рис. 1. Экспериментальная установка: внешний вид (а); блок-схема (б): 1 — микрофлюидное устройство, 2 — кольцевой постоянный магнит, 3,4 — шприцевой насос, 5 — цифровой микроскоп, 6 — осветитель, 7 — компьютер, 8 — мехатронный привод.
Микрофлюидный чип 1 помещается соосно кольцевому постоянному магниту 2, который состоит из сплава неодима, бора и железа (NdFeB). Двухканальный шприцевой насос 3,4 осуществляет подачу в устройство непрерывной и дисперсной фазы. Управление системой подачи жидкости/газа, а также съемка на цифровой микроскоп (Микмед 5.0) 5 в проходящем свете осветителя 6 происходит при помощи компьютера 7. Полученные результаты, предающиеся на компьютер, обрабатываются в программе NI LabView для вычисления площади включения, которая пересчитывается в объем путем ее умножения на толщину микроканала. Движение магнита 2 по горизонтали относительно разъема подачи дисперсной фазы канала обеспечивалось мехатронным приводом 8.
В работе использовались микрофлюидные чипы для производства одиночных (рис. 2а) и двойных эмульсий (рис. 2б) с конфигурацией «фокусировка потока», изготовленных по технологии сэндвич-структур «стекло-Parafilm®-стекло» [21]. Толщина микроканала представленных устройств составляет 0.13 мм.
Рис. 2. Конфигурация микрофлюидных устройств: чип для одиночных эмульсий (а): 1 — коннектор для подачи непрерывной фазы, 2 — коннектор для подачи дисперсной фазы, 3 — выходной коннектор; чип для двойных эмульсий (б): 1 — коннектор для подачи внешней фазы. Зеленым цветом выделена область магнитной левитации при нулевом положении кольцевого магнита, 2 — коннектор для подачи средней фазы, 3 — коннектор для подачи внутренней фазы, 4 — выходной коннектор.
В проведенных исследованиях использовались два кольцевых постоянных неодимовых магнита с различной геометрией (Магнит1: внешний диаметр — 60 мм, внутренний диаметр — 24 мм и высота — 10 мм, максимальное значение напряженности магнитного поля 214 кА/м и Магнит2: внешний диаметр — 50 мм внутренний диаметр — 25 мм и высота — 5 мм, максимальное значение напряженности магнитного поля 85 кА/м). Моделирование области «магнитного вакуума» для используемых кольцевых магнитов изображено на рис. 3.
Рис. 3. Пространственное распределение изолиний модуля напряженности неоднородного магнитного поля в Декартовой системе координат, центром которой является центр симметрии магнита: для Магнита1 (а); для Магнита2 (б).
В работе для получения прямых и обратных одиночных эмульсий использовали минеральное масло, с плотностью ρ = 841 кг/м3 и вязкостью η = 17 мПа·с, и 5 %-ный водный раствор пищевого красителя Е133 синего цвета. Двойная эмульсия типа «вода/масло/вода» состояла из внешней фазы — 5 %-ного водного раствора красного красителя Е129 с добавлением поверхностно-активного вещества (ПАВ) Tween 80 5 %, средней фазы — минерального масла с добавлением ПАВ Span 80 3 %; и внутренней фазы — 5 %-ного водного раствора синего красителя Е133. Также часть микроканала обрабатывалась гидрофобным покрытием FTORSIC CF.
Далее в работе использовались образцы феррожидкостей на водной основе, произведенных в Юго-Западном государственном университете (ЮЗГУ). В качестве дисперсной фазы использовался магнетит Fe3O4. Стабилизатором являлась олеиновая кислота C17H33COOH. Размер частиц магнитной жидкости с учетов ПАВ составляла ≈12 нм. Измерения физических параметров исследуемых образцов МЖ проводили по методикам и на установках, разработанных в лаборатории наномасштабной акустики ЮЗГУ. Характеристики исследуемых образцов МЖ указаны в табл. 1.
Таблица 1. Физические характеристики исследуемых образцов МЖ.
Параметры МЖ | МЖ-1 | МЖ-2 |
Жидкость-носитель | вода | |
Плотность ρ, кг/м3 | 1082.0 | 1056.0 |
Объемная концентрация φ,% | 2.12 | 1.47 |
Вязкость η, мПа·с | 2.15 | 1.65 |
Намагниченность насыщения Мs, кА/м | 11.0 | 6.98 |
РЕЗУЛЬТАТЫ ЭКСПЕРИМЕНТА
Стенки стеклянного микрофлюидного устройства обладают хорошим смачиванием, капельное течение отмечается при приготовлении прямой эмульсии «масло в воде» (рис. 4а). В обратном случае наблюдается струйное течение воды в масле (рис. 4б) [22]. На рис. 4в изображена попытка получения двойной эмульсии. Однако в данном случае не удалось осуществить формирование среднего слоя капли в итоге получилось струйное течения масла в воде с каплями воды внутри.
Рис. 4. Эмульсии в микроканалах: одиночная прямая эмульсия (а); одиночная обратная эмульсия (б); двойная эмульсия «вода/масло/вода» [22] (в).
В микроканале с конфигурацией, изображенной на рис. 2а, получены капли минерального масла в образцах магнитной жидкости МЖ-1 и МЖ-2 на основе воды — прямая магнитожидкостная эмульсия. В образцы магнитных коллоидов добавлялось ПАВ Tween 80 с массовой долей 5 %.
Контроль размера капель осуществлялся посредством изменения скорости потока непрерывной фазы (q1 = 0.74, 1.10, 1.47 и 1.84 мкл/с, скорость потока дисперсной фазы оставалась постоянной q2 = 0.04 мкл/с) и магнитного «зума» кольцевых магнитов, перемещающихся горизонтально относительно разъема подачи дисперсной фазы на расстоянии +1, 0, −1, −2, −3, −4 и −5 мм. Нулевое положение магнита соответствует зоне введения дисперсной фазы в область магнитного вакуума (область, отмеченная зеленым цветом на рис. 2а).
Рис. 5 иллюстрирует образование капель минерального масла в МЖ-1 при разных скоростях расхода непрерывной магнитной в магнитном поле Магнита1, находящегося в нулевом положении. Видно, что с увеличением расхода магнитной жидкости размер немагнитных включений постепенно уменьшается. Капли масла имеют форму эллипса из-за действия внешнего магнитного поля на магнитную жидкость. Аналогичные результаты были получены при использовании Магнита2.
Рис. 5. Динамика капель минерального масла в образце магнитной жидкости МЖ-1 при различных скоростях подачи непрерывной фазы q1 под действием магнитного поля кольцевого Магнита1, находящегося в нулевом положении относительно разъема подачи дисперсной фазы в микроканал.
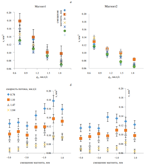
На рис. 6 представлены зависимости объема капель минерального масла от скорости подачи образца магнитной жидкости МЖ-1 и горизонтального смещения кольцевых магнитов вдоль оси микроканала.
Рис. 6. Зависимости объема капель масла в микрофлюидном чипе: от скорости потока магнитной жидкости МЖ-1 (а); от перемещения магнитов (б).
Из графиков на рис. 6а наблюдается уменьшение размера дисперсий при увеличении скорости потока магнитной жидкости. Это объясняется тем, что на более ранний отрыв капли, а, следовательно, и уменьшение ее объема влияет увеличение давления струй МЖ на поток масла [23].
Из рис. 6б следует, что максимального объема отрывающихся капель можно добиться при нулевом положении Магнита1, так как зона смешения фаз соответствует области максимального значения напряженности магнитного поля, где на процесс формирования включения действует максимальная пондеромоторная сила, которая придает капле дополнительное ускорение и за время сужения и отрыва капли образуется включение большего объема. При смещении из нулевого положения Магнита1 относительно разъема подачи дисперсной фазы горизонтально зона смешивания также смещается в область с меньшим градиентом и значением напряженности магнитного поля, что влияет на уменьшение размера капель.
Наибольший объем дисперсий масла для Магнита2 достигается при его положении –1 мм. В данном случае область с максимальным значением напряженности магнитного поля располагается на 1 мм ближе к зоне введения дисперсной фазы, чем в случае использования Магнита1. Последующее перемещение магнита влево или вправо снижает размер немагнитных включений.
Для менее концентрированного образца магнитной жидкости МЖ-2 удалось добиться капельного потока при только максимальной скорости потока 1.84 мкл/с. Графики зависимости объема капель от смещения магнитов показаны на рис. 7.
Рис. 7. Зависимости объема капель минерального масла от перемещения магнитов для образца магнитной жидкости МЖ-2.
В данном случае наибольший объем капель масла образовывался при максимальном удалении магнитов от коннектора подачи дисперсной фазы в микрофлюидное устройство. По мере его приближения наблюдалось постепенное уменьшение размеров немагнитных включений. Отличие зависимостей, показанных на рис. 6б от зависимостей на рис. 7 объясняется тем, что на рис. 7 представлены результаты с использованием малоконцентрированного образца МЖ-2 (см. таблицу 1). Поэтому перемещение магнита и вклад пондеромоторных сил оказывает меньшее влияние по сравнению с влиянием гидродинамических сил.
ЗАКЛЮЧЕНИЕ
Изучены многофазные немагнитные и магнитные системы в микроканалах с конфигурацией «фокусировка потока», которая является оптимальной для изучения микропотоков различных несмешивающихся веществ.
Показано образование одиночных прямых и обратных эмульсий, а также двойных эмульсий типа «В/М/В» в стеклянных микрофлюидных чипах, стенки которого обладают хорошей смачиваемостью.
Получены зависимости размеров формирующихся капель масла в образцах магнитных жидкостей на основе воды от скорости потока непрерывной магнитной фазы и смещения магнита относительно разъема подачи дисперсной фазы горизонтально вдоль оси канала.
Размеры генерируемых капель уменьшаются по мере увеличения скорости потока магнитной жидкости для всех комбинаций магнитного поля и концентраций образцов МЖ. Горизонтальное смещение магнитов вдоль оси микроканала также влияет на размеры немагнитных включений. Представленные результаты объясняются возникновением неустойчивостей межфазной границы «масло-магнитная жидкость» под воздействием неоднородного магнитного поля.
Исследование выполнено за счет гранта Российского научного фонда № 24-22-00309 (https://rscf.ru/project/24-22-00309/).
About the authors
D. A. Kalyuzhnaya
Southwest State University
Email: r-piter@yandex.ru
Russian Federation, Kursk
E. A. Sokolov
Southwest State University
Email: r-piter@yandex.ru
Russian Federation, Kursk
G. A. Zhukov
Southwest State University
Email: r-piter@yandex.ru
Russian Federation, Kursk
P. A. Ryapolov
Southwest State University
Author for correspondence.
Email: r-piter@yandex.ru
Russian Federation, Kursk
References
- Han W., Chen X. // J. Brazil. Soc. Mech. Sci. Eng. 2021. V. 43. No. 5. P. 247.
- Ren K., Zhou J., Wu H. // Acc. Chem. Res. 2013. V. 46. No. 11. P. 2396.
- Bremond N., Bibette J. // Soft Matter. 2012. V. 8. No. 41. P. 10549.
- Seemann R. Brinkmann M., Pfohl T. et al. // Rep. Progr. Phys. 2011. V. 75. No. 1. Art. No. 016601.
- Baret J.C. // Lab on a Chip. 2012. V. 12. No. 3. P. 422.
- Shui L., Eijkel J.C.T., Van den Berg A. // Adv. Coll. Interface Sci. 2007. V. 133. No. 1. P. 35.
- Nakashima T., Shimizu M., Kukizaki M. // Adv. Drug Deliv. Rev. 2000. V. 45. No. 1. P. 47.
- Mason T.G., Bibette J. // Langmuir. 1997. V. 13. No. 17. P. 4600.
- Zhao Z., Wang Z., Li G. et al. // Adv. Funct. Mater. 2021. V. 31. No. 31. Art. No. 2103339.
- Zhang Y., Nguyen N.T. // Lab on a Chip. 2017. V. 17. No. 6. P. 994.
- Розенцвейг Р.Е. Феррогидродинамика. М.: Мир. 1989. 240 c.
- Liang D., Ma P., Zhu C. et al. // IEC Res. 2019. V. 58. No. 41. P. 19226.
- Dunne P., Adachi T., Dev A.A. et al. // Nature. 2020. V. 581. No. 7806. P. 58.
- Toussaint R., Akselvoll J., Helgesen G. et al. // Phys. Rev. 2004. V. 69. Art. No. 011407.
- De Gans B., Duin N., Van den Ende D. et al. // J. Chem. Phys. 2000. V. 113. P. 2032.
- Bashtovoi V., Kovalev M., Reks A. // J. Magn. Magn. Mater. 2005. V. 289. P. 350.
- Диканский Ю.И., Закинян А.Р. // ЖТФ. 2010. Т. 80. № 8. С. 8; Dikansky Yu.I., Zakinyan A.R. // Tech. Phys. 2010. V. 55. No. 8. P. 1082.
- Katsikis G., Breant A., Rinberg A. et al. // Soft Matter. 2018. V. 14. No. 5. P. 681.
- Banerjee U., Mandal C., Jain S.K. // Proc. 46th National Conf. FMFP (Coimbatore, 2019). P. 1.
- Huang X., Saadat M., Bijarchi M.A. et al. // Chem. Eng. Sci. 2023. V. 270. Art. No. 118519.
- Соколов Е.А., Калюжная Д.А., Васильева А.О., и др. // Изв. ЮЗГУ Сер. тех. и технол. 2022. Т. 12. № 1. С. 118.
- Kalyuzhnaya D., Sokolov E., Vasilyeva A. et al. // Fluids. 2023. V. 8. No. 2. Art. No. 42.
- Ряполов П.А., Соколов Е.А., Шельдешова Е.В. и др. // Изв. РАН. Сер. физ. 2023. Т. 87. № 3. С. 343; Ryapolov P.A., Sokolov E.A., Shel’deshova E.V. et al. // Bull. Russ. Acad. Sci. Phys. 2023. V. 87. No. 3. P. 295.
Supplementary files










