Processes in the electronic system of solid solutions of bismuth and antimony telluride in the range of observation of the anomalous temperature dependence of the Hall coefficient
- Авторлар: Stepanov N.P.1,2, Ivanov M.S.3
- 
							Мекемелер: 
							- Transbaikal State University
- Baikal State University
- Irkutsk State Transport University
 
- Шығарылым: Том 88, № 9 (2024)
- Беттер: 1386–1391
- Бөлім: Condensed Matter Physics
- URL: https://journals.rcsi.science/0367-6765/article/view/283371
- DOI: https://doi.org/10.31857/S0367676524090086
- EDN: https://elibrary.ru/OEAREX
- ID: 283371
Дәйексөз келтіру
Толық мәтін
Аннотация
The temperature dependences of electrical conductivity and Hall coefficient in single crystals of bismuth and antimony telluride have been studied. In samples with a high content of antimony telluride, a decrease in Hall mobility in the region of nitrogen temperatures was found, which indicates the presence of an additional mechanism for charge carrier scattering.
Толық мәтін
Введение
Теллуриды висмута и сурьмы продолжают активно использоваться в термоэлектрическом приборостроении, в связи с чем являются объектами активного изучения. Исследователи уделяют внимание изучению их объемных характеристик, влияющих на их термоэлектрические свойства [1, 2]. В процессе исследования используются самые разнообразные подходы, связанные с изменением соотношения компонент теллурида висмута и теллурида сурьмы в составе твердого раствора, вносятся легирующие примеси как донорного, так и акцепторного типа, исследуется влияние магнитоактивных примесей. В каждом случае проводится серия измерений, в ходе которых определяется интервал температур, в котором термоэлектрическая эффективность, зависящая от коэффициента термоэдс, удельной электропроводности и теплопроводности, достигает максимальных значений.
Кроме этого, представляют интерес пленки, изготовленные из теллуридов висмута и сурьмы [3–6], а также наноматериалы [7, 8]. Исследуются их характеристики и как топологических изоляторов [9, 10].
Вышесказанное обусловливает необходимость углубленного изучения элементарных возбуждений электронной и ионной систем в этих материалах, а также проведения анализа возможности возникновения их взаимодействий, которые могут оказывать воздействие на электронную систему. Действительно, на наш взгляд, необходимо учитывать и то обстоятельство, что кристаллы (Bi2-xSbx)Te3 отличаются близкими значениями энергий элементарных возбуждений в электронном, фононом и плазмонном спектрах. Максимальное их сближение, например, при изменении температуры или внесении легирующей примеси, предопределяет возможность возникновения взаимодействий элементарных возбуждений, и как следствие, формирования сложно структурированных состояний электронной и ионной подсистем. Эти состояния могут влиять на физические свойства материалов. Например, в монокристалле Bi0.6Sb1.4Te3 p-типа проводимости были обнаружены особенности в температурной зависимости тяжелых дырок. Этот энергетический зазор играет большую роль в рассматриваемых материалах. Например, известно, что в кристаллах Bi2Te3 p-типа, в области температур, предшествующих наступлению собственной проводимости, наблюдается аномальное поведение коэффициента Холла RH [12–14]. Выражение «аномальное поведение коэффициента Холла» применительно к кристаллам (Bi2-xSbx)Te3 было использовано в широко известной работе [15] и отражает особенность, заключающуюся в увеличении коэффициента Холла с ростом температуры в собственном полупроводнике. Объясняется такое поведение коэффициента Холла сложной структурой валентной зоны и тепловыми переходами электронов между подзонами тяжелых и легких дырок. Повышение температуры приводит к уменьшению концентрации легких дырок с эффективной массой 0.09 m0, которая примерно в 26 раз меньше эффективной массы тяжелых 2.4 m0, где m0 – масса свободного электрона [16]. В связи с этим коэффициент Холла увеличивается до температур, при которых вклад тяжелых малоподвижных дырок станет доминирующим. Важно отметить, что уменьшение температуры, наоборот, ведет к увеличению концентрации легких дырок и энергии плазмона, так как плазменная частота пропорциональна корню квадратному из концентрации свободных носителей заряда. Увеличение энергии плазмона способствует сближению значений Ep и ΔE, и усилению электрон-плазмонного взаимодействия.
Целью данной работы является изучение закономерностей в изменении температурных зависимостей электропроводности и коэффициента Холла RH(T) твердых растворов (Bi2-xSbx)Te3, при изменении x от 0 до 2. При этом, повышенное внимание уделялось кристаллам, в которых по данным оптических [17] и магнитных [11] исследований наблюдается сближение Ep и ΔE.
Описание эксперимента
Объектом исследования являются монокристаллы твердых растворов (Bi2-xSbx)Te3 (0 < x < 2). Кристаллы были выращены методом Чохральского в институте металлургии и материаловедения им. А. А. Байкова РАН. Образцы для гальваномагнитных исследований вырезались из слитков, имеющих массу от 100 до 200 г при помощи электроискровой резки. Далее химическим травлением удалялся нарушенный при резке поверхностный слой кристалла толщиной до 0.1 мм. Образцы вырезались с учетом кристаллографических направлений и имели форму параллелепипедов. Физические характеристики образцов представлены в табл. 1.
Таблица 1. Физические характеристики образцов
| Номер | Образец | Геометрические размеры, мм (Д×Т×Ш) | σ, 104, См/см | RH, см3/Кл | 𝜇H, см2⁄В ∙ с | ||||||
| 78 K | 288 K | при | 78 K | 288 K | при | 78 K | 288 K | при | |||
| 1 | Bi2Te3 | 10.5×2.2×1.6 | 0.37 | 0.06 | 0.08 | 0.65 | 0.79 | 0.91 (Т = 225 K) | 2423 | 360.7 | 761.7 | 
| 2 | Bi1.5Sb0.5Te3 | 12.0×2.2×2.7 | 0.59 | 0.08 | 0.10 | 0.32 | 0.63 | 0.72 (Т = 286 K) | 1865 | 515.9 | 590.5 | 
| 3 | Bi1.2Sb0.8Te3 | 13.8×1.8×1.7 | 0.79 | 0.14 | – | 0.26 | 0.45 | – | 2070.6 | 626.6 | – | 
| 4 | Bi0.8Sb1.2Te3 | 13.8×2.0×1.7 | 1.31 | 0.27 | – | 0.07 | 0.14 | – | 898.9 | 388.2 | – | 
| 5 | Bi0.4Sb1.6Te3 | 12.9×1.6×1.8 | 1.76 | 0.45 | – | 0.11 | 0.05 | – | 1883.9 | 245.5 | – | 
| 6 | Bi0.01Sb1.99Te3 | 14.6×2.2×1.7 | 1.91 | 0.59 | – | 0.06 | 0.06 | – | 1200.6 | 368.1 | – | 
| 7 | Bi1.8Sb0.2Te3 | 12.1×1.8×1.9 | 44.70 | 0.11 | 0.12 | 0.52 | 0.64 | 0.72 (Т = 250 K) | 2310 65.2 | 691.9 | 884.6 | 
Измерение удельного сопротивления и коэффициента Холла проводилось в диапазоне температур от 78 до 300 K в лаборатории физики полуметаллов РГПУ им. А. И. Герцена (г. Санкт-Петербург) на установке, которая в течении длительного времени используется для проведения исследования термоэлектрических материалов на основе висмута и сурьмы. Установка осуществляет измерения комплекса характеристик, влияющих на термоэлектрическую эффективность материала в автоматическом режиме под управлением программно-аппаратного комплекса, который также выполняет усреднение и первичную обработку данных. При этом, погрешность стабилизации температуры в точке измерений не превышает 2 K. Измерение удельного сопротивления осуществлялось на постоянном токе двухзондовым методом с использованием электродов, припаянных к боковой поверхности образца. Холловская разность потенциалов измерялась в постоянном магнитном поле с индукцией 0.65 Тл и током через образец 10 мА.
Для образца с содержанием 70% теллурида сурьмы Bi0.6Sb1.4Te3 также были получены температурные зависимости коэффициента Холла и удельного сопротивления с использованием двухчастотного метода с переменным магнитным полем амплитудой 0.15 Тл (50 Гц) и переменным током (72 Гц) в интервале температур от 80 до 600 K на оборудовании лаборатории термоэлектрических исследований ФТИ им. А. Ф. Иоффе [18].
Описание экспериментальных результатов
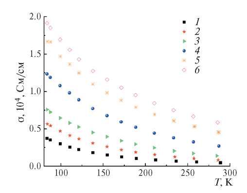
На рис. 1 представлены температурные зависимости удельной электропроводности σ(Т) кристаллов (Bi2-xSbx)Te3 (0 < x < 2). Из рис. 1 видно, что при увеличении содержания теллурида сурьмы происходит рост абсолютных значений σ, при сохранении вида зависимости от температуры. Также видно, что с уменьшением температуры увеличивается скорость роста электропроводности. Для образца Bi2Te3 (кривая 1 на рис. 1) значение удельной электропроводности изменяется в 6.17 раза в интервале температур от 78 до 300 K, в то время как для образца Bi0.01Sb1.99Te3 (кривая 6 на рис. 1) значение удельной электропроводности изменяется только в 3.28 раза в этом же интервале температур.
Рис. 1. Температурные зависимости удельной электропроводности кристаллов: 1 – Bi2Te3; 2 – Bi1.5Sb0.5Te3; 3 – Bi1.2Sb0.8Te3; 4 – Bi0.8Sb1.2Te3; 5 – Bi0.4Sb1.6Te3; 6 – Bi0.01Sb1.99Te3.
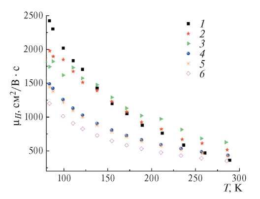
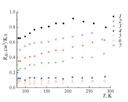
На рис. 2 приведены температурные зависимости коэффициента Холла RH для (Bi2-xSbx)Te3. Видно, что при температуре 78 K RH уменьшается с увеличением x от 0 до 2. Из данных рис. 1 и 2, можно видеть, что при 78 K значение RH уменьшается в 10 раз при изменении x от 0 до 2, в то время как электропроводность увеличивается всего в 5 раз. Таким образом, увеличение концентрации теллурида сурьмы в составе твердого раствора (Bi2-xSbx)Te3 приводит к уменьшению холловской подвижности свободных носителей заряда, что видно из рис. 3.
Рис. 2. Температурные зависимости коэффициента Холла кристаллов: 1 – Bi2Te3; 2 – Bi1.5Sb0.5Te3; 3 – Bi1.2Sb0.8Te3; 4 – Bi0.8Sb1.2Te3; 5 – Bi0.4Sb1.6Te3; 6 – Bi0.01Sb1.99Te3; 7 – Bi1.8Sb0.2Te3.
Рис. 3. Температурные зависимости холловской подвижности кристаллов: 1 – Bi2Te3; 2 – Bi1.5Sb0.5Te3; 3 – Bi1.2Sb0.8Te3; 4 – Bi0.8Sb1.2Te3; 5 – Bi0.4Sb1.6Te3; 6 – Bi0.01Sb1.99Te3.
Из рис. 2 также можно видеть, что коэффициент Холла RH монотонно увеличивается во всех исследованных кристаллах при увеличении температуры. Однако в кристалле Bi2Te3 его увеличение заканчивается при 225 K, а в кристалле Bi1.8Sb0.2Te3 – при 250 K (кривая 7 на рис. 2). Для остальных образцов в исследованном интервале температур максимумы в зависимости RH(Т) не наблюдаются.
Обсуждение экспериментальных результатов
Из рис. 2 видно, что в кристаллах, содержащих более 25% теллурида сурьмы увеличение RH с ростом температуры, наблюдается во всем исследованном интервале температур. Известно, что в Sb2Te3 максимальное значение RH наблюдается при 600 K [14]. В связи с этим требуется объяснить, почему с увеличением содержания теллурида сурьмы в твердом растворе (Bi2-xSbx)Te3 температура, при которой достигается максимум коэффициента Холла, возрастает. Вероятно, это может быть обусловлено тем, что по мере увеличения x в (Bi2-xSbx)Te3 химический потенциал смещается вглубь валентной зоны. Данные, представленные на рис. 1 и 2, косвенно подтверждают, что химический потенциал смещается в глубину валентной зоны с повышением концентрации теллурида сурьмы, поскольку при температуре 78 К увеличивается концентрация носителей и электропроводность. При этом увеличивается и энергетический зазор между уровнем химического потенциала и подзоной тяжелых дырок [19]. Таким образом, при увеличении концентрации теллурида сурьмы требуется все более высокая тепловая энергия для осуществления процесса перехода электронов из подзоны тяжелых дырок в подзону легких. Следовательно, увеличение коэффициента Холла с ростом температуры будет продолжаться до более высоких значений.
Обращает на себя внимание уменьшение подвижности носителей заряда в области низких температур, наблюдающееся при переходе к кристаллам с высоким содержанием теллурида сурьмы. В связи с этим исследовались температурные зависимости холловской подвижности носителей заряда, представленные на рис. 3, рассчитанные на основе данных рис. 1 и 2. В случае сложного строения валентной зоны, состоящей из подзон легких и тяжелых дырок, электропроводность определяется выражением
σ = 𝑝1𝑒m1 + 𝑝2𝑒m2 (1)
где 𝑝1 и m1 – концентрация и подвижность легких дырок соответственно, 𝑝2 и m2 – тяжелых. Учитывая, что подвижность тяжелых дырок существенно меньше, так как их эффективная масса примерно в 26 раз больше эффективной массы легких, вторым слагаемым в выражении (1) можно пренебречь. Это тем более справедливо в области азотных температур, при которых концентрация тяжелых дырок мала.
Как видно из рис. 3, подвижность свободных носителей заряда уменьшается как с увеличением содержания теллурида сурьмы, так и с повышением температуры. Отметим, что увеличение содержания теллурида сурьмы значительно снижает подвижность именно при 78 K, в то время как при 300 K подвижность в теллуриде сурьмы и теллуриде висмута мало отличается.
Уменьшение подвижности с ростом температуры, наиболее вероятно, обусловлено рассеянием носителей заряда акустическими фононами. Подробный анализ подвижности и механизмов рассеивания носителей заряда в кристаллах (Bi2-xSbx)Te3 выполнен в работе [19]. Показано, что несмотря на всю сложность разделения вкладов различных механизмов рассеяния, которое может осуществляться одновременно несколькими процессами, тем не менее, исследования температурной и концентрационной зависимостей подвижности и термоэдс, а также термомагнитных явлений, позволяют сделать выводы о том, что в Bi2Te3 и его аналогах, даже в сильно легированных образцах, при Т > 77 K доля рассеяния носителей заряда на кулоновском потенциале ионизованных примесей не велика, по сравнению с акустическим рассеянием [19]. На преобладающую роль акустического механизма рассеяния носителей в твердых растворах (Bi2-xSbx)Te3 указывается и в работе [20].
На рисунках 4а и 4б представлены экспериментальные результаты и расчет температурной зависимости подвижности, учитывающий уменьшение статического времени релаксации t вследствие рассеяния вырожденных носителей заряда на акустических фононах. Исходим из того, что благодаря достаточно высоким значениям концентрации свободных носителей заряда, электронная система исследуемых материалов находится в вырожденном состоянии практически во всем исследованном интервале температур. Так, в соответствии с данными рис. 2, в теллуриде висмута концентрация носителей изменяется от 0.96 · 1019 см–3 при температуре 78 K до 0.78 · 1019 см–3 при Т = 300 K. В теллуриде сурьмы эти значения равны 9.95 · 1019 см–3 и 7.55 · 1019 см–3 соответственно.
В модели сферической зоны, в случае квадратичной зависимости энергии e носителей заряда от волнового вектора k и изотропного времени релаксации выражение для дрейфовой подвижности имеет вид
, (2)
где /k0T, – химический потенциал свободных носителей заряда, отсчитываемый положительно вверх от дна зоны проводимости для электронов и вниз от вершины валентной зоны для дырок, интеграл Ферми , для газа свободных носителей в случаи классической статистики, имеем 𝐹s( ∗) ≈ Г(𝑠 + 1)∗, здесь гамма-функция c постоянная Больцмана; – дрейфовая подвижность носителей при отсутствии вырождения [19].
В случае вырожденного электронного газа:
(3)
где е – абсолютная величина заряда электрона; m* – эффективная масса носителей заряда; , здесь λ – длина свободного пробега носителей заряда, ϑT – тепловая скорость носителей заряда, 𝜈 – количество актов рассеивания. Для вырожденного электронного газа подвижность обратно пропорциональна температуре [21]
, (4)
где 𝐴 – постоянная, слабо зависящая от температуры.
Для учета вклада 𝐴 на температурной зависимости подвижности обычно совмещают одну расчетную точку с экспериментальной [19]. Это позволяет оценить, насколько экспериментально наблюдаемый температурный ход подвижности соответствует 1/T. Такой подход был использован и в данной работе.
Как видно из рис. 4а, на котором представлена температурная зависимость холловской подвижности кристалла теллурида висмута, ход экспериментальной кривой в области низких температур может быть достаточно хорошо объяснен уменьшением статического времени релаксации, обусловленном усилением рассеяния вырожденных носителей заряда на акустических колебаниях ионного остова. Однако при температуре выше 150 K наблюдается расхождение экспериментальной и расчетной кривых, что наиболее вероятно связано с увеличением концентрации тяжелых дырок с низкой подвижностью, происходящем при увеличении температуры, вследствие перехода электронов из подзоны тяжелых дырок в подзону легких.
Рис. 4. Температурная зависимость холловской подвижности с учетом рассеяния на акустических фононах для кристалла Bi2Te3 (а) и кристалла Bi0.6Sb1.4Te3 (б): кривая 1 – теоретический расчет τ ~ T–1; кривая 2 – экспериментальная зависимость.
Аналогичная картина в области высоких температур наблюдается и для кристалла Bi0.6Sb1.4Te3, данные для которого представлены на рис. 4б. Поскольку из температурных зависимостей, представленных на рис. 1 и 2 видно, что процессы, происходящие в электронной системе теллурида сурьмы во многом схожи с процессами, происходящими в теллуриде висмута, то и в данном случае уменьшение подвижности в области высоких температур вероятно связано с увеличением концентрации тяжелых, малоподвижных дырок. Однако, как видно из рис. 4б, экспериментально наблюдаемые значения подвижности носителей заряда кристалла Bi0.6Sb1.4Te3 меньше расчетного, характерного для рассеяния на акустических фононах, и в области температур меньших 150 K. При этом температурная зависимость подвижности ведет себя сложным образом.
Отметим, что именно в кристалле Bi0.6Sb1.4Te3 в диапазоне 100–150 K зафиксировано резкое уменьшение величины диамагнитной восприимчивости [11], а также деформация плазменного края [17], обусловленная сближением значений Ep и ΔE. В этом случае, возрастает вероятность рассеяния электронов на плазмонах. Теоретический расчет скорости рекомбинации носителей заряда, приведенный в работе [22] показывает, что когда выполняется условие Ep ≈ ΔE, то плазменный канал рекомбинации электронов и дырок резко усиливается и скорость плазмонной рекомбинации может на порядок превышать скорость излучательной. Таким образом, имеются основания полагать, что уменьшение подвижности носителей заряда при низких температурах, наблюдаемое на рис. 4б, может быть вызвано влиянием электрон-плазмонного взаимодействия.
Заключение
В заключение отметим, что экспериментальные данные, полученные в ходе исследования температурных зависимостей удельной электропроводности и коэффициента Холла, позволили обнаружить особенности в поведении холловской подвижности кристалла Bi0.6Sb1.4Te3, именно в том диапазоне температур, в котором наблюдается сближение энергий плазмона и электронного перехода [17], а также резкое изменение величины магнитной восприимчивости [12]. Учет влияния электрон-плазмонного взаимодействия на свойства кристаллов (Bi2-xSbx)Te3 позволяет детализировать процессы в их электронной системе.
Авторлар туралы
N. Stepanov
Transbaikal State University; Baikal State University
							Хат алмасуға жауапты Автор.
							Email: np-stepanov@mail.ru
				                					                																			                												                	Ресей, 							Chita; Irkutsk						
M. Ivanov
Irkutsk State Transport University
														Email: np-stepanov@mail.ru
				                					                																			                								
Transbaikal Institute of Railway Transport
Ресей, ChitaӘдебиет тізімі
- Meroz O., Elkabets N., Gelbstein Y. // ACS Appl. Energy Mater. 2020. V. 3. P. 2090.
- Zheng Y., Xie H., Zhang Q. et al. // ACS Appl. Mater. Interfaces. 2020. V. 12. P. 36186.
- Zhang J., Feng X., Xu Y. et al. // Phys. Rev. B. 2015. V. 91. Art. No. 075431.
- Лукьянова Л.Н., Бойков Ю.А., Усов О.А. и др. // ФТП. 2017.Т.51. № 7. С. 880; Lukyanova L.N., Boikov Y.A., Usov O.A. et al. // Semiconductors. 2017. V. 51. No. 7. Р. 843.
- Tang X., Li Z., Liu W. et al. // Interdisc. Mater. 2022. V. 1. No. 1. P. 88.
- Павлов Д.П., Чибирев А.О., Салихов Т.М., Мамин Р.Ф. // Изв. РАН. Сер. физ. 2023. Т. 87. № 9. С. 1296; Pavlov D.P., Chibirev A.O., Salikhov T.M., Mamin R.F. // Bull. Russ. Acad. Sci. Phys. 2023. V. 87. No. 9. P. 1332.
- Bulat L.P., Drabkin I.A., Osvenskii V.B. et al. // J. Electron. Mater. 2015. V. 44. P. 1846.
- Жежу М., Васильев А.Е., Иванов О.Н. // Изв. РАН. Сер. физ. 2023. Т. 87. № 6. С. 786; Zhezhu M., Vasil’ev A.E., Ivanov O.N. // Bull. Russ. Acad. Sci. Phys. 2023. V. 87. No. 6. P. 692.
- Xu Y., Gan Z., Zhang S.C. // Phys. Rev. Lett. 2014. V. 112. No. 22. P. 226801.
- Чистяков В.В., Доможирова А.Н., Хуанг Дж.Ч.Э. и др. // Изв. РАН. Сер. физ. 2019. Т. 83. № 7. С. 921; Chistyakov V.V., Domozhirova A.N., Huang J.C. et al. // Bull. Russ. Acad. Sci. Phys. 2019. V. 83. No. 7. P. 838.
- Степанов Н.П., Иванов М.С. // ФТП. 2022. Т. 56. № 12. С. 1103; Stepanov N.P., Ivanov M.S. // Semiconductors. 2022. V. 56. No. 12. Р. 879.
- Yates B. // J. Electr. Control. 1959. V.6. P. 26.
- Житинская М.К., Немов С.А., Свечникова Т.Е. // ФТТ. 1998. Т. 40. № 8. С. 1428; Zhitinskaya M.K., Nemov S.A., Svechnikova T.E. // Phys. Solid State. 1998. V. 40. No. 8. P. 1297.
- Mase S. // J. Phys. Soc. 1957. V. 13. P. 434.
- Степанов Н.П., Гильфанов А.К., Трубицына Е.Н. // ФТП. 2019. Т. 53. № 6. С. 774; Stepanov N.P., Gilfanov A.K., Trubitsyna E.N. // Semiconductors. 2019. V. 53. No. 6. Р. 765.
- Сологуб В.В., Голецкая А.Д., Парфеньев Р.В. // ФТТ. 1972. Т. 14. № 3. С. 915.
- Степанов Н.П. // Опт. и спектроск. 2023. Т. 131. № 9. С. 1219.
- Vedernikov M.V., Konstantinov P.P., Burkov A.T. // Proc. 8th Int. Conf. Thermoelectric energy conversion (Nancy, 1989). Р. 45.
- Гольцман Б.М., Кудинов В.А., Смирнов И.А. Полупроводниковые термоэлектрические материалы на основе Вi2Te3. М.: Наука, 1972. 320 с.
- Testardi L.R., Bierly J.N., Danahoe F.J. // J. Phys. Chem. Sol. 1962. V. 23. P. 1209.
- Ансельм А.И. Введение в теорию полупроводников. СПб.: Лань, 2008. 618 с.
- Tussing P., Rosental W., Hang A. // Phys. Stat. Sol. B. 1972. V. 52. No. 2. Р. 451.
Қосымша файлдар
 
				
			 
						 
					 
						 
						 
						 
									
 
  
  
  Мақаланы E-mail арқылы жіберу
			Мақаланы E-mail арқылы жіберу 




