Structure and lattice dynamics of rare-earth zirconates R2Zr2O7 (R = La-Lu): ab initio calculation
- 作者: Chernyshev V.A.1, Glukhov K.I.1, Zayats P.A.2
- 
							隶属关系: 
							- Ural Federal University
- M.N. Mikheev Institute of Metal Physics of the Ural Branch of the Russian Academy of Sciences
 
- 期: 卷 88, 编号 9 (2024)
- 页面: 1336–1344
- 栏目: Condensed Matter Physics
- URL: https://journals.rcsi.science/0367-6765/article/view/283347
- DOI: https://doi.org/10.31857/S0367676524090016
- EDN: https://elibrary.ru/OETUZT
- ID: 283347
如何引用文章
全文:
详细
An ab initio calculation of the structure and properties of the row of rare earth zirconates R2Zr2O7 (R = La-Lu) were performed. The crystal structure, phonon spectrum, and elastic properties of R2Zr2O7 (R = La-Lu) have been calculated. Vickers Hardness was calculated. The influence of hydrostatic pressure on the frequencies of phonon modes have been studied. The CRYSTAL17 program was used.
关键词
全文:
Введение
Интерес исследователей к редкоземельным цирконатам R2Zr2O7 (R = La-Lu) обусловлен разнообразием их свойств и потенциальными возможностями применения [1]. Наиболее исследован La2Zr2O7 – методами рентгеноструктурного анализа, инфракрасной спектроскопии (ИК), комбинационного рассеяния (КР) [2, 3]. Фононные спектры других кристаллов этого ряда значительно менее изучены. Для большинства представителей ряда R2Zr2O7 (R = La-Lu) в научной печати отсутствует информация о полученных из эксперимента упругих постоянных, а также ИК- и КР-спектрах. Ab initio расчеты, интенсивно развивающиеся в настоящее время, позволяют в рамках единого подхода описывать структурные и электронные свойства соединений [4, 5]. Представляется актуальным моделирование на уровне ab initio комплекса свойств кристаллов R2Zr2O7 (R = La-Lu). В данной работе расчеты сделаны в рамках DFT, с обменно-корреляционными функционалами уровня GGA. Для расчетов была использована программа CRYSTAL17 [6], которая позволяет моделировать периодические структуры методами DFT и Хартри–Фока в приближении МО ЛКАО.
Методика расчетов
При выборе DFT функционала был проведен ряд расчетов кристаллической и зонной структуры Gd2Zr2O7 с наиболее опробованными в настоящее время функционалами. Из негибридных функционалов был взят PBE [7]. Он относится к уровню GGA (Generalized gradient approximation – обобщенное градиентное приближение), в рамках которого обменно-корреляционный вклад зависит не только от локальной электронной плотности, но и от её градиента. Функционалы уровня GGA позволяют успешно описывать соединения c ионным и ионно-ковалентным типом связи. Функционал PBE часто используется в расчетах, проводимых в программе VASP в базисе плоских волн, и других.
Гибридные функционалы в слагаемом, отвечающем за обмен, содержат нелокальный вклад, рассчитанный в формализме Хартри–Фока (ХФ). Наиболее опробованные гибридные функционалы – B3LYP [8], WC1LYP [9], PBE0 [10]. Они имеют разную долю обмена, рассчитанного в формализме Хартри–Фока: WC1LYP – 16%, B3LYP – 20%, PBE0–25%. В работе [11] было протестировано 128 DFT функционалов различного уровня. В работе [11] было показано, что гибридный функционал PBE0, по сравнению с B3LYP и другими гибридными функционалами, дает наименьшую ошибку в воспроизведении электронной плотности и других параметров соединения относительно расчета уровня CCSD (метод связанных кластеров, учитывающий корреляцию электронов). Гибридные функционалы, особенно PBE0, позволяют рассчитывать кристаллическую структуру и фононный спектр с наименьшим отклонением от эксперимента [12].
Редкоземельные цирконаты R2Zr2O7 имеют пространственную группу (№ 227). Ионы циркония находятся в позиции 16c (0, 0, 0), R – в 16d (0.5, 0.5, 0.5), Ионы кислорода находятся в двух позициях. Кислород в позиции 48f (x, 0.125, 0.125) в работе обозначается как O1. В позиции 8b (0.375, 0.375, 0.375) обозначается как O2. Кислород входит во все структурные единицы этого соединения. Он локализован в двух симметрийно неэквивалентных позициях. Поэтому воспроизведение структуры и свойств пирохлора в существенной степени зависит от качества базисного набора кислорода. Поэтому для кислорода был взят «ресурсоемкий» TZVP-базис. Для циркония был взят полноэлектронный базис, который авторы CRYSTAL использовали при расчете соединения, содержащего цирконий с лигандами кислорода. Эти базисы приведены на сайте программы CRYSTAL как O_pob_TZVP_2012 и Zr_all_electron_dovesi_unpub. Внутренние оболочки редкоземельных ионов были заменены на квазирелятивистские псевдопотенциалы ECPnMWB (n – количество заменяемых электронов). Так, для лантана был использован псевдопотенциал ECP46MWB, для церия – ECP47MWB и т. д. Таким образом, на псевдопотенциал заменялись оболочки по 4f включительно. Оболочки 5s25p6 описывались посредством одноэлектронных функций, для чего использовались валентные базисные наборы TZVP типа ECPnMWB-II. Псевдопотенциалы ECPnMWB с присоединенными валентными базисными наборами приведены на сайте института теоретической химии университета Штуттгарта [13].
Сначала выполнялся расчет оптимальной кристаллической структуры. Затем расчет фононов или упругих свойств для этой структуры.
При вычислении двухэлектронных интегралов точность была не менее 10–8 а. е. (Параметры TOLINTEG, были равны 8, 8, 8, 9, 30.) При интегрировании по зоне Бриллюэна в программе CRYSTAL используется метод Монкхорста–Пака, в данных расчетах была задана сетка k-точек 8×8×8. При решении системы уравнений Кона–Шэма самосогласованное поле рассчитывалось с точностью 10–10 а. е. (параметр TOLDEE =10).
Для расчета частот фононов в коде CRYSTAL используется гармоническое приближение. При расчете гессиана аналитически вычисляются первые производные, вторые производные вычисляются численно, по трехточечной формуле центральных разностей. При этом величины смещений ионов из положения равновесия были равны 0.003 Å. Интенсивность ИК и КР мод в CRYSTAL рассчитывается в приближении Плачека, через заряды Борна [14, 15].
Для нахождения компонент тензора упругих постоянных необходимо вычислить производные энергии ячейки по деформациям:
. (1)
В программе CRYSTAL первые производные в (1) находятся аналитически, а вторые производные численно – на ячейку накладывается деформация , и кристаллическая структура релаксирует при этих условиях [6, 16].
В работе был сделан выбор DFT функционала. Была проведена оптимизация кристаллической структуры цирконата гадолиния Gd2Zr2O7 с различными DFT функционалами. Были использованы наиболее опробованные гибридные функционалы – B3LYP, PBE0, WC1LYP, а также негибридный функционал PBE. Полученные из расчета постоянная решетки, а также ширина запрещенной щели приведены в табл. 1. Как видно из расчетов, постоянную решетки с наименьшим отклонением от эксперимента (0.05Å) воспроизводит гибридный функционал PBE0. Отметим, что с функционалом PBE0 удалось удачно воспроизвести кристаллическую структуру, ИК и КР моды, упругие постоянные всего ряда станнатов редкоземельных элементов R2Sn2O7 (R = La-Lu) [17].
Таблица 1. Постоянная решетки, ширина запрещенной зоны Gd2Zr2O7, рассчитанные с различными DFT-функционалами. В скобках после названия фун-кционала приведена доля ХФ-обмена, учитываемая в данном функционале
| Расчет | Параметр решетки, Å | Ширина запрещенной зоны (HOMOLUMO), эВ | 
| PBE0 (25% ХФ) | 10.5878 | 5.65 | 
| B3LYP (20% ХФ) | 10.6839 | 5.28 | 
| WC1LYP (16% ХФ) | 10.6310 | 4.80 | 
| PBE (0% ХФ) | 10.6615 | 3.34 | 
| Эксперимент | 10.5341 [1] | [18] | 
В научной печати отсутствуют экспериментальные данные по ширине запрещенной зоны редкоземельных цирконатов, нам удалось найти экспериментальные данные только для цирконата гадолиния Gd2Zr2O7 [18]. В работе [18] была определена оптическая ширина запрещенной зоны Gd2Zr2O7, которая оценивалась в рамках теории Кубелки–Мунка. При этом показатель степени в выражении, которое использовалось для оценки ширины запрещенной зоны, соответствовал прямой зоне. В нашей работе на основании расчета зонной структуры была сделана оценка «высшая занятая молекулярная орбиталь – низшая вакантная молекулярная орбиталь» (ВЗМО-НВМО, или HOMO-LUMO, Highest Occupied Molecular Orbital – Lowest Unoccupied Molecular Orbital). Такая оценка показывает, что ширину запрещенной зоны Gd2Zr2O7 наилучшим образом воспроизводит негибридный функционал PBE (табл. 1). В данной работе для всего ряда R2Zr2O7 (R = La-Lu) с функционалом PBE была рассчитана ширина запрещенной зоны. Отметим, что расчет предсказывает непрямую запрещенную зону, однако, она очень близка к прямой Г-Г, отличаясь от нее на ~0.04 Эв.
В работе были рассчитаны упругие постоянные с функционалом PBE0. Фононный спектр в Г-точке был рассчитан с функционалом PBE0 для кристаллов La2Zr2O7 и Sm2Zr2O7, для которых есть ряд экспериментальных данных. Влияние гидростатического давления на частоты фононов было исследовано на примере цирконата самария Sm2Zr2O7, расчет был проведен с функционалом PBE0.
Результаты расчетов
В табл. 2 и 3 приведены постоянная решетки и межионные расстояния Sm2Zr2O7, а также заряды на связях при гидростатическом давлении. В отличие от редкоземельных станнатов R2Sn2O7 (R = La-Lu), где заряд на связи Sn-O был на порядок больше, чем на связи R-O, т. е. связь Sn-O была существенно более ковалентной, чем R-O, в цирконатах расчет предсказывает другую картину. В цироконатах R2Zr2O7 заряд на связи Zr-O даже меньше, чем на связи R-O. В них нельзя выделить более «ковалентную» структурную единицу. С давлением заряды на связях Sm-O и Zr-O увеличиваются (табл. 3). Заряд на связи Sm-O2 оказывается на порядок больше, чем на связях Sm-O1 и Zr-O. При приложении гидростатического сжатия до 12 ГПа постоянная решетки Sm2Zr2O7 уменьшается на ~0.2Å, межионные расстояния как Sm-O, так и Zr-O на ~0.05Å. В отличие от станнатов R2Sn2O7, где связи R-O уменьшаются, а более ковалентная связь Sn-O практически не реагирует на приложение такого давления.
Таблица 2. Кристаллическая структура Sm2Zr2O7. Постоянная решетки и межионные расстояния, Å. Расчет с функционалом PBE0
| Давление, ГПа | Постоянная решетки | Координата кислорода O1 (48 f ) | Zr-O1 × 6 | Sm-O1 × 6 | Sm-O2 × 2 | 
| 0 | 10.6654 | 0.337 | 2.1009 | 2.5653 | 2.3091 | 
| 3 | 10.6085 | 0.337 | 2.0923 | 2.5475 | 2.2968 | 
| 6 | 10.5555 | 0.338 | 2.0843 | 2.5311 | 2.2853 | 
| 9 | 10.5049 | 0.338 | 2.0767 | 2.5153 | 2.2744 | 
| 12 | 10.4568 | 0.339 | 2.0695 | 2.5004 | 2.2640 | 
Таблица 3. Sm2Zr2O7. Заряды ионов, |e|. Заряды на связях, |e|. В приближении Малликена
| Давление, ГПа | Sm | Zr | O1 | O2 | Sm-O1 | Sm-O2 | 
| 0 | +2.233 | +3.009 | –1.475 | –1.636 | 0.031 | 0.065 | 
| 3 | +2.270 | +3.007 | –1.480 | –1.673 | 0.027 | 0.082 | 
| 6 | +2.294 | +3.004 | –1.484 | –1.695 | 0.023 | 0.094 | 
| 9 | +2.316 | +3.002 | –1.486 | –1.719 | 0.018 | 0.107 | 
| 12 | +2.336 | +2.999 | –1.489 | –1.736 | 0.014 | 0.118 | 
В научной печати отсутствуют работы, где упругие постоянные цирконатов R2Zr2O7(R = La-Lu) были бы определены из эксперимента. Для нескольких цирконатов есть экспериментальные данные по модулям сдвига, Юнга, по твердости. В работе [19] были определены модуль Юнга и твердость цирконата лантана, в работах [20, 21] – модуль Юнга, коэффициент Пуассона b твердость цирконатов неодима, самария и гадолиния. Поэтому представляется актуальным рассчитать упругие постоянные, модули упругости, твердость всего ряда редкоземельных цирконатов (табл. 4).
Для расчета твердости HV мы использовали формулу (2). Она была предложена в [22], поскольку для поликристаллических образцов наблюдались корреляции между твердостью и отношением модулей сдвига (G) и объемного сжатия (B)
. (2)
Параметры формулы – показатели степеней – были получены в работе [22] из условия воспроизведения экспериментальных значений твердости более чем 40 соединений с ионным и ковалентным типом связи. Эта формула также успешно была использована для описания твердости ряда хлоратов и перхлоратов [23]. Для редкоземельных станнатов R2Sn2O7(R = La-Lu) формула (2) достаточно хорошо описывает твердость по Виккерсу. В начале ряда редкоземельных станнатов расчет твердости по формуле (2) совпадает с экспериментом в пределах погрешности. По мере лантаноидного сжатия формула (2) начинает давать несколько заниженные значения твердости, расхождение с экспериментом достигает к концу ряда редкоземельных станнатов ~15% [17]. Исходя из имеющихся экспериментальных данных по твердости для нескольких редкоземельных цирконатов (табл. 4), формула (2) обеспечивает согласие с экспериментом в пределах 10%. Рассчитанные упругие модули, а также твердость R2Zr2O7(R = La-Lu) согласуются с полученными на эксперименте (табл. 4). Расчет предсказывает, что твердость редкоземельных цирконатов R2Zr2O7 практически не изменяется в ряду R = La-Lu. Тогда как твердость редкоземельных станнатов R2Sn2O7, значительно увеличивалась к концу ряда R = La-Lu с лантаноидным сжатием [17]. В соответствии с этим расчеты предсказывают, что связь Sn-O в существенной степени более ковалентна, чем связь Zr-O.
Таблица 4. Результаты расчета упругих постоянных и упругих модулей (ГПа) кристаллов R2Zr2O7 (R = La-Lu). Отношение Пуассона υ. Твердость HV. В скобках приведен эксперимент [19–21].
| Частота, см–1 | Тип | ИК | КР | Эксперемент | |||
| Активна/ Неактивна | Интенсивность, км/моль | Активна/ Неактивна | Интенсивность, отн. ед. | Ионы | |||
| 48 | F2u | I | 0 | I | SmS | ||
| 89 | Eu | I | 0 | I | SmS, ZrW | ||
| 94 | F1u | A | 425 | I | 104 | Sm, ZrS, O1, O2W | |
| 125 | F1u | A | 1819 | I | 135 | Sm, ZrW, O1, O2 | |
| 126 | Eu | I | 0 | I | Zr, O1S | ||
| 129 | F2u | I | 0 | I | ZrS, O1 | ||
| 196 | F1u | A | 6505 | I | SmW, Zr, O1S | ||
| 227 | F1u | A | 0.04 | I | 228 | O1S, O2 | |
| 231 | A2u | I | 0 | I | Sm, ZrW, O1W | ||
| 251 | F1g | I | 0 | I | O1S | ||
| 292 | F2u | I | 0 | I | O1S | ||
| 306 | A2u | I | 0 | I | SmW, Zr | ||
| 309 | F2g | I | 0 | A | 1000 | ~300 | O1S, O2W | 
| 331 | Eg | I | 0 | A | 206 | O1S | |
| 333 | F1u | A | 13936 | I | 378 | Zr, O1, O2S | |
| 392 | A2u | I | 0 | I | O1S | ||
| 396 | F1u | A | 1264 | I | 419 | ZrW, O1, O2S | |
| 407 | Eu | I | 0 | I | Zr, O1 | ||
| 415 | F2g | I | 0 | A | 31 | ~400 | O1, O2S | 
| 514 | Ag | I | 0 | A | 64 | ~520 | O1 | 
| 519 | F1u | A | 3280 | I | 530 | O1S, O2W | |
| 537 | F2g | I | 0 | A | 61 | ~600 | O1, O2S | 
| 581 | F1g | I | 0 | I | O1S | ||
| 589 | F2u | I | 0 | I | O1S | ||
| 779 | F2g | I | 0 | A | 23 | O1 | |
Изменение упругих постоянных цирконатов R2Zr2O7 в ряду La-Lu показано на рис. 1. Расчет предсказывает, что C11 увеличивается, а C12 и сдвиговая постоянная C44 уменьшаются.
Рис. 1. Изменение упругих постоянных R2Zr2O7 в ряду R = La-Lu.
Согласно расчетам, ширина запрещенной щели редкоземельных цирконатов R2Zr2O7 уменьшается по мере лантаноидного сжатия, от La к Lu. Для цирконата лантана La2Zr2O7 расчет предсказывает 4.1 Эв, для цирконата европия Eu2Zr2O7 – 3.5 Эв, для цирконата лютеция Lu2Zr2O7 – 2.8 Эв. Экспериментальные данные по ширине запрещенной щели имеются в печати только для Gd2Zr2O7, для других представителей ряда они отсутствуют.
Кристалл R2Zr2O7 имеет набор мод: Г = A1g + + Eg + 2F1g + 4F2g + 3A2u + 3Eu + 8F1u + 4F2u. Моды A1g, Eg, 4F2g активны в комбинационном рассеянии, моды F1u – в ИК, одна из них трансляционная. Остальные моды «молчащие», они не активны ни в ИК, ни в КР. Расчет фононного был выполнен на примере Sm2Zr2O7. Результаты расчета в сравнении с имеющимися экспериментальными данными [24, 25] приведены в табл. 5. На рис. 2 представлены рассчитанный и полученный на эксперименте [25] КР спектр цирконата лантана La2Zr2O7. В программе CRYSTAL при моделировании спектров на основе полученных из расчета частот и интенсивностей ИК и КР мод используются лоренцианы, причем фактор затухания (damping factor) берется одинаковым для всех пиков, что ограничивает возможности моделирования. Поэтому мы приводим здесь сравнение только для КР спектра цирконата лантана, который, в отличие от КР-спектров других цирконатов, измеренных в работе [25], имеет узкие пики.
Рис. 2. КР спектр La2Zr2O7, расчет и эксперимент [25]. Расчет выполнен для поликристалла, так же как и эксперимент.
Таблица 5. Частоты фононов в Г-точке. Sm2Zr2O7
| Частота, см–1 | Тип | ИК | КР | Эксперимент. | |||
| Активна/ Неактивна | Интенсивность, км/моль | Активна/ Неактивна | Интенсивность, отн. ед. | Ионы | |||
| 48 | F2u | I | 0 | I | SmS | ||
| 89 | Eu | I | 0 | I | SmS, ZrW | ||
| 94 | F1u | A | 425 | I | 104 | Sm, ZrS, O1, O2W | |
| 125 | F1u | A | 1819 | I | 135 | Sm, ZrW, O1, O2 | |
| 126 | Eu | I | 0 | I | Zr, O1S | ||
| 129 | F2u | I | 0 | I | ZrS, O1 | ||
| 196 | F1u | A | 6505 | I | SmW, Zr, O1S | ||
| 227 | F1u | A | 0.04 | I | 228 | O1S, O2 | |
| 231 | A2u | I | 0 | I | Sm, ZrW, O1W | ||
| 251 | F1g | I | 0 | I | O1S | ||
| 292 | F2u | I | 0 | I | O1S | ||
| 306 | A2u | I | 0 | I | SmW, Zr | ||
| 309 | F2g | I | 0 | A | 1000 | ~300 | O1S, O2W | 
| 331 | Eg | I | 0 | A | 206 | O1S | |
| 333 | F1u | A | 139 36 | I | 378 | Zr, O1, O2S | |
| 392 | A2u | I | 0 | I | O1S | ||
| 396 | F1u | A | 1264 | I | 419 | ZrW, O1, O2S | |
| 407 | Eu | I | 0 | I | Zr, O1 | ||
| 415 | F2g | I | 0 | A | 31 | ~400 | O1, O2S | 
| 514 | Ag | I | 0 | A | 64 | ~520 | O1 | 
| 519 | F1u | A | 3280 | I | 530 | O1S, O2W | |
| 537 | F2g | I | 0 | A | 61 | ~600 | O1, O2S | 
| 581 | F1g | I | 0 | I | O1S | ||
| 589 | F2u | I | 0 | I | O1S | ||
| 779 | F2g | I | 0 | A | 23 | O1 | |
Примечание. Верхние индексы S и W в последнем столбце означают сильное и слабое участие иона в моде соответственно.
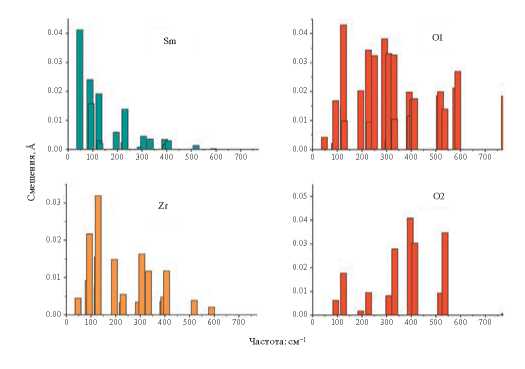
Из проведенного DFT расчета были определены вектора смещений ионов в каждой моде. Это позволило оценить степень участия каждого иона в каждой моде (табл. 6, столбец «Ионы», рис. 3.). Редкоземельный ион участвует в низкочастотных модах, его участие проявляется в диапазоне частот до ~ 250 см–1. Для циркония этот диапазон больше – до ~ 400 см–1. Ионы кислорода участвуют во всем диапазоне частот (рис. 3).
Рис. 3. Sm2Zr2O7. Смещения Sm, Zr, O1 и O2 в фононных модах.
Таблица 6. КР-моды Sm2Zr2O7. Расчет PBE0
| Давление, ГПа | F2g | Eg | F2g | Ag | F2g | F2g | 
| 0 | 309 | 331 | 415 | 514 | 537 | 779 | 
| 3 | 318 | 340 | 423 | 522 | 547 | 791 | 
| 6 | 328 | 350 | 431 | 530 | 556 | 804 | 
| 9 | 337 | 359 | 440 | 538 | 565 | 816 | 
| 12 | 346 | 368 | 448 | 545 | 574 | 828 | 
| k, см–1∙ ГПа–1 | 3.1 | 3.1 | 2.8 | 2.6 | 3.1 | 4.1 | 
Согласно расчетам, максимальные смещения ~ 0.04 Å у редкоземельного иона в моде F2u (48 см–1), а также у ионов кислорода: в модах F2u (292 см–1) и F1u (396 см–1). В табл. 6, в столбце «Ионы» сделаны обозначения. Если смещение иона в данной моде больше или равно 0.02 Å, оно обозначено как S (Strong), если смещение 0.005–0.01 Å, оно обозначено W (Weak), если менее <0.005 Å, то ион не упоминается в этом столбце.
КР моды обусловлены только смещениями ионов кислорода. Причем, в модах Eg (331 см–1) и Аg (514 см–1) участвуют только ионы кислорода, находящиеся в позиции 48f (O1). Согласно расчетам (табл. 5), самой интенсивной КР модой является мода F2g (309 см–1), в которой преобладает участие ионов кислорода, находящиеся в позиции 48f. Максимально интенсивная ИК-мода и максимально интенсивная КР мода показаны на рис. 4. Таким образом, смещении наиболее интенсивного пика в КР спектре может сигнализировать об изменении координаты x кислорода в позиции 48f (О1).
Рис. 4. Максимально интенсивная КР мода (а) и максимально интенсивная ИК мода (б) кристалла Sm2Zr2O7.
В наиболее интенсивной ИК-моде F1u (333 см–1) преобладает участие ионов кислорода, находящиеся в позиции 8b (О2).
В высокочастотной ИК моде F1u (519 см–1) преобладает участие ионов кислорода, находящихся в позиции 48f (O1). В высокочастотной КР моде F2g (779 см–1) также преимущественно участвуют ионы кислорода, находящиеся в позиции 48f (О1), но интенсивность этой моды ничтожно мала (табл. 5).
Согласно расчетам, происходит сильное смешивание колебаний структурных единиц. В ИК-активных модах участвуют все ионы R, Zr, O1 и O2, но степень участия некоторых может быть незначительна. Можно отметить преобладающее участие редкоземельного иона в низкочастотной «молчащей» моде Eu (89 см–1), и циркония в «молчащей» моде F2u (129 см–1).
В работе также было исследовано влияние гидростатического сжатия на фононный спектр Sm2Zr2O7. Частоты фонов Sm2Zr2O7 в Г-точке при гидростатическом сжатии приведены в табл. 6–8. Для каждой моды зависимость частоты от давления была аппроксимирована прямой Y = kx + b. В табл. 6–8 для каждой моды приведен угловой коэффициент k этой зависимости. Согласно расчетам, на гидростатическое сжатие сильнее всего реагируют высокочастотные моды, в которых принимает существенное участие кислород. Это мода F2g с частотой 779 см–1 и моды F1u с частотами 333, 396, 519 см–1. Для них k ≈ 4 см–1∙ ГПа–1. Менее всего с давлением изменяется низкочастотная ИК-мода F1u (94 см–1), в которой участвуют редкоземельный ион и цирконий. Для этой моды k ≈ 1 см–1∙ ГПа–1.
Таблица 7. ИК-моды Sm2Zr2O7. Расчет PBE0
| Давление, ГПа | F1u | F1u | F1u | F1u | F1u | F1u | F1u | 
| 0 | 94 | 125 | 196 | 227 | 333 | 396 | 519 | 
| 3 | 99 | 129 | 200 | 232 | 344 | 408 | 530 | 
| 6 | 102 | 134 | 204 | 237 | 354 | 419 | 540 | 
| 9 | 103 | 139 | 208 | 243 | 365 | 430 | 551 | 
| 12 | 103 | 143 | 212 | 249 | 375 | 441 | 563 | 
| k, см–1∙ ГПа–1 | 0.7 | 1.5 | 1.3 | 1.8 | 3.5 | 3.7 | 3.6 | 
Таблица 8. «Молчащие» моды Sm2Zr2O7. Расчет PBE0
| Давление, ГПа | F2u | Eu | Eu | F2u | A2u | F1g | F2u | A2u | A2u | Eu | F1g | F2u | 
| 0 | 48 | 89 | 126 | 129 | 231 | 251 | 292 | 306 | 392 | 407 | 581 | 589 | 
| 3 | 58 | 94 | 132 | 133 | 238 | 259 | 301 | 311 | 396 | 415 | 595 | 604 | 
| 6 | 66 | 95 | 140 | 137 | 245 | 266 | 309 | 315 | 400 | 422 | 608 | 618 | 
| 9 | 72 | 95 | 149 | 140 | 251 | 273 | 317 | 319 | 405 | 430 | 622 | 633 | 
| 12 | 77 | 93 | 158 | 143 | 257 | 280 | 325 | 322 | 410 | 438 | 635 | 647 | 
| k, см–1∙ ГПа–1 | 2.4 | 0.3 | 2.7 | 1.2 | 2.2 | 2.4 | 2.7 | 1.3 | 1.5 | 2.6 | 4.5 | 4.8 | 
В целом для КР мод, обусловленных только ионами кислорода, угловой коэффициент k ≈ 3–4 см–1∙ ГПа–1; для ИК мод, в которых в той или иной степени принимают участие все ионы, k ≈ 1–2 см–1∙ ГПа–1; для мод с частотами до 300 см–1 и k ≈ 4 см–1∙ ГПа–1 – для мод с частотами больше 300 см–1.
Заключение
В результате выполненного исследования из ab initio расчета в рамках МО ЛКАО подхода были рассчитаны упругие постоянные всего ряда редкоземельных цирконатов R2Zr2O7 (R = La-Lu). Определены ИК, КР, а также «молчащие» моды Sm2Zr2O7. Оценена степень участия ионов R, Zr и O в каждой моде. Выявлены моды с преимущественным или абсолютным участием кислорода в позиции 48f, которая характеризуется координатой x. К таким модам относится наиболее интенсивная КР-мода F2g (309 см–1). Смещение пика, соответствующего этой моде, может указывать на изменение координаты x кислорода в позиции 48f, и говорить о возможной перестройке решетки. Показано, что на гидростатическое сжатие сильнее всего (k ≈ 4 см–1∙ ГПа–1) реагирует высокочастотная КР мода F2g, а также три высокочастотных ИК моды с частотами более 300 см–1, обусловленные движением ионов кислорода.
Работа выполнена при поддержке Министерства образования и науки РФ (проект № FEUZ-2023-0017) и в рамках темы государственного задания («Квант», № 122021000038-7). Расчеты проведены на кластере «Уран» ИММ УрО РАН.
作者简介
V. Chernyshev
Ural Federal University
							编辑信件的主要联系方式.
							Email: vladimir.chernyshev@urfu.ru
				                					                																			                												                	俄罗斯联邦, 							Ekaterinburg						
K. Glukhov
Ural Federal University
														Email: vladimir.chernyshev@urfu.ru
				                					                																			                												                	俄罗斯联邦, 							Ekaterinburg						
P. Zayats
M.N. Mikheev Institute of Metal Physics of the Ural Branch of the Russian Academy of Sciences
														Email: vladimir.chernyshev@urfu.ru
				                					                																			                												                	俄罗斯联邦, 							Ekaterinburg						
参考
- Pokhrel M., Alcoutlabi M., Mao Y. // J. Alloys Compounds. 2017. V. 693. P. 719.
- Tong Y., Wang Y., Yu Z. et al. // Mater. Lett. 2008. V. 62. P. 889.
- Klee W.E., Weitz G. // J. Inorg. Nucl. Chem. 1969. V. 31. P. 2367.
- Обамби М.А., Загребин М.А., Бучельников В.Д. // Изв. РАН. Сер. физ. 2023. Т. 87. № 4. С. 481; Obambi M.A., Zagrebin M.A., Buchelnikov V.D. // Bull. Russ. Acad. Sci. Phys. 2023. V. 87. No. 4. P. 416.
- Байбулова Г.Ш., Лачинов А.Н., Гадиев Р.М. и др. // Изв. РАН. Сер. физ. 2020. Т. 84. № 5. С. 688.
- Dovesi R., Erba A., Orlando R. et al. // WIREs Comput. Mol. Sci. 2018. V. 8. No. 4. Art. No. e1360.
- Perdew J.P., Burke K., Ernzerhof M. // Phys. Rev. Lett. 1996. V. 77. P. 3865.
- Becke A.D. // J. Chem. Phys. 1993. V. 98. P. 5648.
- Demichelis R., Civalleri B., Ferrabone M., Dovesi R. // Int. J. Quantum Chem. 2010. V. 110. P. 406.
- Adamo C., Barone V. // J. Chem. Phys. 1999. V. 110. P. 6158.
- Medvedev M.G., Bushmarinov I.S., Sun J. et al. // Science. 2017. V. 355. No. 6320. P. 49.
- Pierre M.L., Orlando R., Maschio L. et al. // J. Comput. Chem. 2011. V. 32. No. 9. P. 1775.
- https://www.tc.uni-koeln.de/PP/clickpse.en.html
- Maschio L., Kirtman B., Orlando R., Rerat M. // J. Chem. Phys. 2012. V. 137. No. 20. Art. No. 204113.
- Maschio L., Kirtman B., Rerat M. et al. // J. Chem. Phys. 2013. V. 139. No. 16. Art. No. 164102.
- Perger W.F., Criswell J., Civalleri B., Dovesi R. // Comput. Phys. Commun. 2009. V. 180. P. 1753.
- Чернышев В.А. // ФТТ. 2021. Т. 63. № 7. С. 952; Chernyshev V.A. // Phys. Solid State. 2021. V. 63. No. 7. P. 953.
- Kumar A., Singh D.K., Manam J. // J. Mater. Sci. Mater. Electron. 2019. V. 30. P. 2360.
- Vassen R., Cao X., Tietz F. et al. // J. Amer. Ceram. Soc. 2000. V. 83. P. 2023.
- van Dijk M.P., de Vries K.J., Burggraaf A.J. // Solid State Ionics. 1983. V. 9–10. P. 913.
- Wu J., Wei X., Padture N.P. et al. // J. Amer. Ceram. Soc. 2002. V. 85. P. 3031.
- Tian Y., Xu B., Zhao Z. // Int. J. Refract. Met. Hard Mater. 2012. V. 33. P. 93.
- Корабельников Д.В., Журавлев Ю.Н. // ФТТ. 2016. Т. 58. № 6. С. 1129; Korabel’nikov D.V., Zhuravlev Y.N. // Phys. Solid State. 2016. V. 58. No. 6. P. 1166.
- Zhang H., Sun K., Xu Q. et al. // J. Rare Earths. 2009. V. 27. No. 2. P. 222.
- Shimamura K., Arima T., Idemitsu K., Inagaki Y. // Int. J. Thermophys. 2007. V. 28. P. 1074.
补充文件
 
				
			 
						 
						 
						 
						 
					 
				
 
  
  
  电邮这篇文章
			电邮这篇文章 




