Features of the temperature dependence of the spectra of spin waves in a thin Pd-Fe film of gradient composition
- Authors: Yanilkin I.V.1,2, Gumarov A.I.1,2, Gabbasov B.F.1,2, Yusupov R.V.1, Tagirov L.R.1,2
-
Affiliations:
- Kazan Federal University
- Federal Research Center Kazan Scientific Center of Russian Academy of Sciences
- Issue: Vol 88, No 7 (2024)
- Pages: 1116-1121
- Section: Spin physics, spin chemistry and spin technologies
- URL: https://journals.rcsi.science/0367-6765/article/view/279557
- DOI: https://doi.org/10.31857/S0367676524070181
- EDN: https://elibrary.ru/PAHZMG
- ID: 279557
Cite item
Full Text
Abstract
An epitaxial film of a Pd-Fe alloy with a thickness of 202 nm was synthesized with an iron concentration varying in depth from 2 to 10 at. %. The temperature dependence of the spin-wave resonance spectra was measured in the film. Modeling of the spectra of standing spin waves was carried out. From the correlation of the theoretical spectra with the experimental data, the temperature dependences of the normalized exchange stiffness, the ratio of effective magnetization to saturation magnetization, and the surface spin pinning coefficients were obtained.
Full Text
Введение
Неоднородные по толщине ферромагнитные пленки являются перспективными материалами для магноники [1—6] с точки зрения возможности инженерии спектра спиновых волн [7—12], а также распространения невзаимных спиновых волн [13] в таких материалах. Как было показано, характер спектра стоячих спиновых волн (ССВ), т. е. соотношение интенсивностей мод и положение резонансов, может задаваться изначально посредством рассчитанного профиля намагниченности. Сплав палладий-железо — удобный материал для создания неоднородных пленок, поскольку намагниченность в нем практически линейно зависит от концентрации железа при концентрациях ниже 10 ат. % [14—15]. В работах [16, 17] показано, что такие пленки можно делать очень гладкими и эпитаксиальными, кроме того, магнитные свойства пленок будут стабильными во времени [15]. В неоднородном образце, областям с различной намагниченностью будут соответствовать различные температуры Кюри. С этой точки зрения, температурная эволюция профилей намагниченности в неоднородной пленке, а, следовательно, и спектров стоячих спиновых волн может быть неочевидной. В данной работе мы исследовали особенности температурной зависимости спектра стоячих спиновых волн в тонкой эпитаксиальной пленке Pd-Fe с профилем концентрации железа по толщине, линейно изменяющимся от 2 до 10 ат. %.
Экспериментальная часть
Для получения пленки сплава Pd-Fe, металлы Pd и Fe высокой чистоты (99.95 %) испарялись из эффузионных ячеек в виде молекулярных пучков и осаждались на вращающуюся подложку монокристалла MgO (001). Для получения пленки неоднородной по толщине, скорость напыления палладия поддерживалась постоянной, а скорость напыления железа варьировалась контролируемым образом. В результате получилась эпитаксиальная пленка, толщиной 202 нм, в которой концентрация железа изменялась линейно от 2 ат. % (вблизи подложки) до 10 ат. % (вблизи поверхности). Температура возникновения спонтанного магнитного момента пленки составляла 235 К. Детали методики напыления, а также структурные исследования схожих пленок подробно описаны в работах [18, 19]. Магниторезонансные характеристики пленки изучались методом спин-волнового резонанса (СВР) на спектрометре Bruker ESP300 непрерывного действия X-диапазона СВЧ в диапазоне полей 0—1.4 Тл и температурном интервале 10—300 K. Измерение температурной зависимости намагниченности насыщения и петель магнитного гистерезиса проводилось на установке Quantum Design PPMS-9 методом вибрационной магнитометрии. Толщина пленки измерялась профилометром Bruker DektakXT.
Результаты и их обсуждение
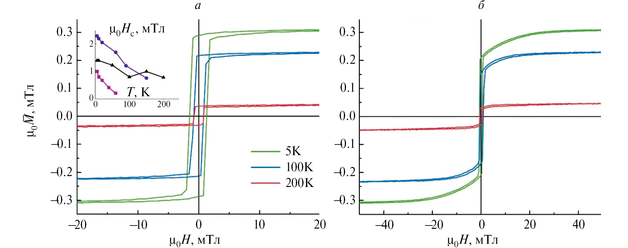
На рисунке 1 показаны петли магнитного гистерезиса, измеренные в плоскости пленки вдоль легкого <110> и тяжелого <100> направлений намагничивания при различной температуре. Величина коэрцитивного поля Hc в зависимости от температуры изменялась в диапазоне 1.4—0.8 мТл для направления легкого намагничивания (рис. 1а, вставка) и в диапазоне 1.0—0.5 мТл для тяжелого. Для сравнения мы привели температурные зависимости Hc для двух однородных эпитаксиальных пленок Pd100−xFex с различной концентрацией железа: x = 2 и 8 ат. % (рис. 1а, вставка). Как видно из рисунка, в неоднородном образце (черные треугольники) величина коэрцитивного поля гораздо слабее зависит от температуры, чем в однородных образцах. Причина этого, возможно, заключается в дополнительном пиннинге спинов на поверхности границы ферромагнетик/парамагнетик, которая появляется при переходе низко-концентрированной области пленки Pd-Fe в парамагнитную фазу с повышением температуры. Подробное изучение влияния профиля намагниченности неоднородной по толщине пленки на величину коэрцитивного поля проведено в работах [20—22].
Рис. 1. Петли магнитного гистерезиса для неоднородной пленки Pd-Fe, полученные при различных температурах в магнитном поле, приложенном вдоль направлений [110] (а) и [100] (б). Вставка — зависимость величины коэрцитивного поля (магнитное поле вдоль [110]) от температуры как для неоднородной пленки Pd-Fe (черные треугольники), так и для двух однородных эпитаксиальных пленок с различной концентрацией железа: Pd98Fe2 (розовые квадраты) и Pd92Fe8 (сиреневые кружки).
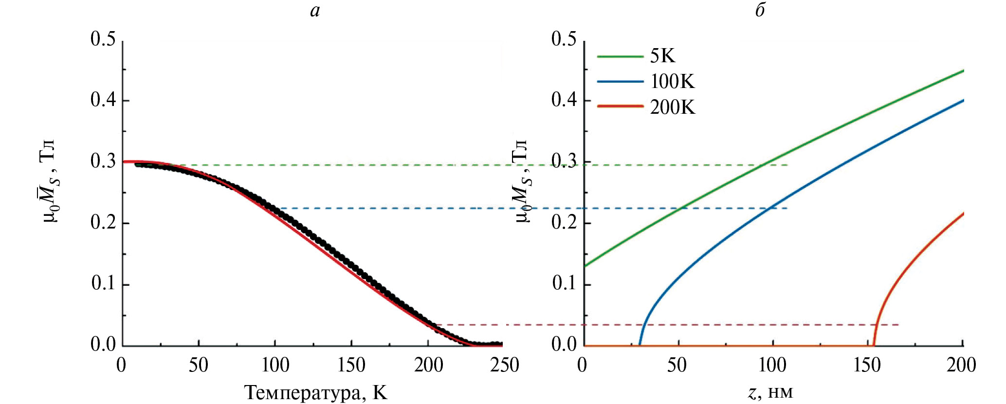
Важнейшим фактором при формировании стоячих спиновых волн в пленке является профиль локальной намагниченности. Для того, чтобы его рассчитать для различных температур (рис. 2б), использовался экспериментальный факт, что характер зависимости удельной намагниченности M/Ms от удельной температуры T/TC является универсальным для однородных эпитаксиальных пленок Pd100−xFex (для 1 < x < 8 %) и описывается формулой Кузьмина [15, 23]. Косвенной проверкой верности расчетов является совпадение рассчитанной из модели средней намагниченности и измеренной экспериментально (рис. 2а). Как видно из рисунка, низко-концентрированная область пленки становится парамагнитной при температуре немного ниже 100 К (рис. 2б). В то же время при температуре 200 К, несмотря на малую среднюю намагниченность пленки Тл, локальная намагниченность у поверхности остается все еще достаточно большой Тл. Полученные расчетные профили намагниченности далее использовались в расчетах спин-волнового резонанса.
Рис. 2. Зависимость средней намагниченности пленки (а) и профиля локальной намагниченности внутри пленки (б) от температуры. Точки — эксперимент, линии — модель.
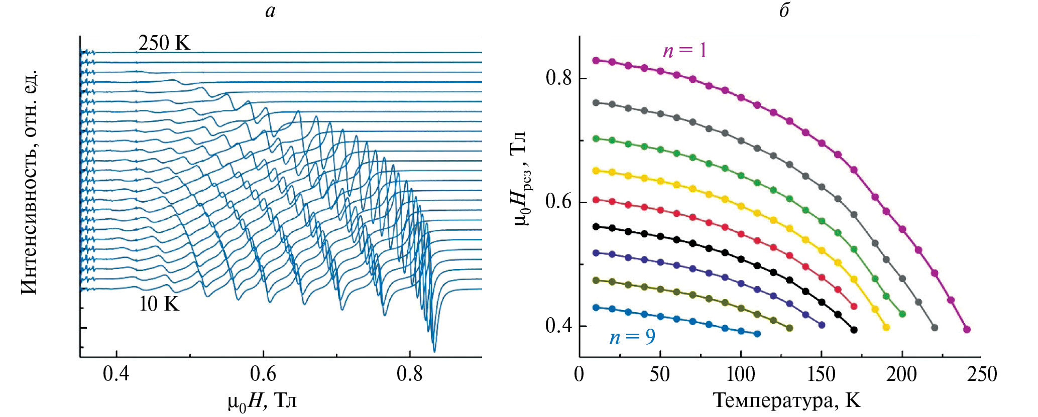
На рис. 3а показана температурная зависимость спектра стоячих спиновых волн в синтезированной градиентной пленке сплава Pd-Fe. Как видно из рисунка, с увеличением температуры величины резонансных полей наблюдаемых мод сдвигаются в сторону меньших значений, при этом количество мод ССВ сокращается (рис. 3б). Такая эволюция спектра ССВ качественно объясняется тем, что с увеличением температуры намагниченность пленки уменьшается, более того, низкоконцентрированная область Pd-Fe становится парамагнитной и, следовательно, уменьшается эффективная толщина ферромагнитной пленки (рис. 2б).
Рис. 3. Температурная зависимость спектра спин-волнового резонанса (а) и величин резонансного поля (б) стоячих спиновых волн в градиентной пленке сплава Pd-Fe. Температура изменяется от 10 до 250 К с шагом 10 К.
Для детального понимания поведения спектра необходимо провести расчет распределения интенсивности прецессии мод стоячих спиновых волн. Предполагается, что магнитные свойства пленки изменяются по нормали z к пленке, а магнитное поле прикладывается вдоль нормали. Тогда СВР в ферромагнитной пленке с неоднородной по толщине намагниченностью описываются уравнением для резонансной круговой проекции намагниченности m(z, t) [7, 18]:
(1)
Здесь — нормированный коэффициент обменной жесткости, а
(2)
где fres — частота возбуждения, γ — гиромагнитное отношение, — отношение эффективной намагниченности к намагниченности насыщения, которое больше 1 для легкоплоскостных ферромагнетиков и меньше 1 в обратном случае. Для упрощения считаем, что нормированный коэффициент обменной жесткости (обозначим его как усредненный параметр D) не зависит от координаты z, а определяется только температурой.
Уравнение (1) имеет структуру уравнения Шрёдингера с граничными условиями где параметр αs = Ks / As являющийся коэффициентом поверхностного пиннинга, представляет собой отношение поверхностной энергии к константе обменной жесткости на поверхности. В случае спиновые граничные условия свободны, а в случае спиновые граничные условия фиксированы, или закреплены. Параметр отдельно определялся как для поверхности , так и для интерфейса . Причем в качестве интерфейса при низких температурах выступала граница пленка/подложка (z = 0 нм), а при более высоких интерфейсом была граница ферромагнетик/парамагнетик в сплаве Pd-Fe (рис. 4, нижняя панель), которая с увеличением температуры смещалась от границы с подложкой к поверхности пленки.
Рис. 4. Верхняя панель — спектры спин-волнового резонанса градиентной пленки сплава Pd-Fe при различных температурах. Точки — эксперимент, красные линии — модель. Нижняя панель — соответствующие распределения амплитуды прецессии m(z) по толщине пленки. Красная штрихпунктирная линия — зависимость потенциала V от координаты z.
По аналогии с уравнением Шрёдингера V(z) играет роль потенциальной ямы и определяется локальной намагниченностью материала. Тогда в рамках такого подхода находится n-й «энергетический уровень» стоячих спиновых волн в потенциальной яме V(z) (см. рис. 4, красные пунктирные линии). Подробные детали расчета приведены в работах [12, 18]. Для каждой температуры подбирались параметры . Примеры результатов расчета спектров СВР показаны на рисунке 4. Как видно, модельные спектры показывают хорошее совпадение с экспериментальными данными.
Полученные температурные зависимости параметров показаны на рисунке 5. Как видно из рисунка, нормированный коэффициент обменной жесткости практически линейно уменьшается до 0 с ростом температуры (рис. 5а). Параметр β больше 1 и слабо изменялся с температурой (рис. 5б). Это также подтверждается измерением петель магнитного гистерезиса (не показаны в данной работе) в магнитном поле, приложенном вдоль нормали к пленке. Коэффициенты поверхностного пиннинга для поверхности и интерфейса имеют малые значения (слабый пинниг), однако проявляют существенно разные температурные зависимости (рис. 5в). Пиннинг на поверхности слабо изменяется во всем диапазоне температур. В противоположность этому, при низких температурах примерно совпадает с , а при температуре около 70—80 К испытывает резкий скачок (рис. 5в), что связано с появлением парамагнитной фазы вблизи поверхности подложки. На интерфейсе ферромагнетик/парамагнетик пиннинг спинов оказывается бóльшим по величине, чем на поверхности. Это согласуется с выводом о дополнительном пиннинге доменных стенок на границе ферромагнетик/парамагнетик, который был сделан выше по результатам измерения зависимости величины коэрцитивного поля от температуры.
Рис. 5. Температурные зависимости нормированной обменной жесткости (а), отношения эффективной намагниченности к намагниченности насыщения (б) и коэффициентов пиннинга на поверхности и интерфейсе ферромагнетик/парамагнетик (в).
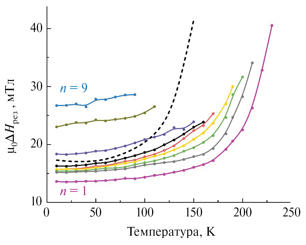
Зависимость ширины линии резонансов стоячих спиновых волн от температуры приведена на рис. 6. Для сравнения также показана зависимость ширины резонанса для однородной пленки Pd94Fe6 с температурой Кюри 175 К (пунктирная кривая). Как видно из рисунка, ширина резонанса моды n = 1 имеет схожую температурную зависимость с таковой в однородном образце. А ширина резонанса моды n = 9 практически не зависит от температуры. Подробное исследование данных особенностей находится за пределами интересов данной работы.
Рис. 6. Зависимость ширины на полувысоте резонансов мод ССВ неоднородной пленки Pd-Fe (сплошные линии) и однородной пленки Pd94Fe6 (штрихпунктирная линия) от температуры.
Заключение
Исследование особенностей температурной зависимости спектра спиновых волн в тонкой пленке сплава Pd-Fe градиентного состава показало, что во всем измеренном диапазоне температур резонансный спектр стоячих спиновых волн описывается классическим теоретическим представлением. Для корректной аппроксимации экспериментальных данных необходимо учитывать два зависящих от температуры параметра: 1) усредненную по толщине нормированную обменную жесткость (T) и 2) коэффициенты поверхностного пиннинга спинов . При этом при низких температурах совпадает с , а при температуре около 70—80 К имеется резкий скачок, что связано с появлением парамагнитной фазы вблизи интерфейса пленка/подложка.
Работа выполнена при финансовой поддержке Российского научного фонда (проект №. 22-22-00629; https://rscf.ru/en/project/22-22-00629/).
About the authors
I. V. Yanilkin
Kazan Federal University; Federal Research Center Kazan Scientific Center of Russian Academy of Sciences
Author for correspondence.
Email: yanilkin-igor@yandex.ru
Institute of Physics, Zavoisky Physical-Technical Institute
Russian Federation, Kazan; KazanA. I. Gumarov
Kazan Federal University; Federal Research Center Kazan Scientific Center of Russian Academy of Sciences
Email: yanilkin-igor@yandex.ru
Institute of Physics, Zavoisky Physical-Technical Institute
Russian Federation, Kazan; KazanB. F. Gabbasov
Kazan Federal University; Federal Research Center Kazan Scientific Center of Russian Academy of Sciences
Email: yanilkin-igor@yandex.ru
Institute of Physics, Zavoisky Physical-Technical Institute
Russian Federation, Kazan; KazanR. V. Yusupov
Kazan Federal University
Email: yanilkin-igor@yandex.ru
Institute of Physics
Russian Federation, KazanL. R. Tagirov
Kazan Federal University; Federal Research Center Kazan Scientific Center of Russian Academy of Sciences
Email: yanilkin-igor@yandex.ru
Institute of Physics, Zavoisky Physical-Technical Institute
Russian Federation, Kazan; KazanReferences
- Chumak A.V., Kabos P., Wu M. et al. // IEEE Trans. Magn. 2022. V. 58. No. 6. P. 1.
- Barman A., Gubbiotti G., Ladak S. et al. // J. Phys. Cond. Matter. 2021. V. 33. Art. No. 413001.
- Rezende S.M. Fundamentals of magnonics. Springer Nature Switzerland AG, 2020.
- Губанов В.А., Кругляк В.В., Садовников А.В. // Изв. РАН. Сер. физ. 2023. Т. 87. № 3. С. 417; Gubanov V.A., Kruglyak V.V., Sadovnikov A.V. // Bull. Russ. Acad. Sci. Phys. 2023. V. 87. No. 3. P. 362.
- Хутиева А.Б., Акимова В.Р., Бегинин Е.Н. и др. // Изв. РАН. Сер. физ. 2023. Т. 87. № 6. С. 792; Khutieva A.B., Akimova V.R., Beginin E.N. et al. // Bull. Russ. Acad. Sci. Phys. 2023. V. 87. No. 6. P. 697.
- Хутиева А.Б., Садовников А.В., Аннненков А.Ю. и др. // Изв. РАН. Сер. физ. 2021. Т. 85. № 11. С. 1542; Khutieva A.B., Sadovnikov A.V., Annenkov A.Yu. et al. // Bull. Russ. Acad. Sci. Phys. 2021. V. 85. No. 11. P. 1205.
- Ignatchenko V.A., Tsikalov D.S. // J. Appl. Phys. 2020. V. 127. No. 12. Art. No. 123903.
- Ignatchenko V.A., Tsikalov D.S. // J. Magn. Magn. Mater. 2020. V. 510. Art. No. 166643.
- Исхаков Р.С., Чеканова Л.А., Важенина И.Г. // Изв. РАН. Сер. физ. 2013. Т. 77. № 10. С. 1469; Iskhakov R.S., Chekanova L.A., Vazhenina I.G. // Bull. Russ. Acad. Sci. Phys. 2013. V. 77. No. 10. P. 1265.
- Важенина И.Г., Чеканова Л.А., Исхаков Р.С. // Изв. РАН. Сер. физ. 2019. Т. 83. № 6. С. 786; Vazhenina I.G., Chekanova L.A., Iskhakov R.S. // Bull. Russ. Acad. Sci. Phys. 2019. V. 83. No. 6. P. 713.
- Исхаков Р.С., Столяр С.В., Чеканова Л.А. и др. // ФТТ. 2020. Т. 62. № 10. С. 1658; Iskhakov R.S., Chekanova L.A., Vazhenina I.G. et al. // Phys. Solid State. 2020. V. 62. No. 10. P. 1861.
- Yanilkin I.V., Gumarov A.I., Golovchanskiy I.A., et al. // Nanomaterials. 2023. V. 12. No. 24. Art. No. 4361.
- Gallardo R.A., Alvarado-Seguel P., Schneider T. et al. // New J. Phys. 2019. V. 21. No. 3. Art. No. 033026.
- Ododo J.C. // J. Physics F. 1983. V. 13. No. 6. P. 1291.
- Esmaeili A., Yanilkin I.V., Gumarov A.I. et al. // Sci. China Mater. 2021. V. 64. No. 5. P. 1246.
- Esmaeili A., Yanilkin I.V., Gumarov A.I. et al. // Thin Solid Films. 2019. V. 669. P. 338.
- Yanilkin I., Mohammed W., Gumarov A. et al. // Nanomaterials. 2020. V. 11. No. 1. Art. No. 64.
- Golovchanskiy I.A., Yanilkin I.V., Gumarov A.I. et al. // Phys. Rev. Mater. 2022. V. 6. No. 6. Art. No. 064406.
- Янилкин И.В., Гумаров А.И., Головчанский И.А. и др. // ЖТФ. 2023. Т. 93. № 2. С. 214; Yanilkin I.V., Gumarov A.I., Golovchanskiy I.A. et al. // Tech. Phys. 2023. V. 68. No. 2. P. 202.
- Fallarino L., Riego P., Kirby B.J. et al. // Materials. 2018. V. 11. No. 2. P. 251.
- Fallarino L., Quintana M., Rojo E. L. et al. // Phys. Rev. Appl. 2021. V. 16. No. 3. Art. No. 034038.
- Quintana M., Meléndez A., Valderrama C. M. et al. // Phys. Rev. Appl. 2022. V. 18. No. 5. Art. No. 054024.
- Kuz’min M.D. // Phys. Rev. B. 2008. V. 77. No. 18. Art. No. 184431.
Supplementary files









