Спектрально-люминесцентные свойства кристаллов щелочноземельных фторидов, имплантированных ионами серебра
- Авторы: Паперный В.Л.1, Черных А.А.1, Ищенко А.С.2, Мурзин С.В.2, Мясникова А.С.3, Шендрик Р.Ю.3, Мартынович Е.Ф.1,2, Дресвянский В.П.1,2
-
Учреждения:
- Федеральное государственное бюджетное образовательное учреждение высшего образования «Иркутский государственный университет»
- Иркутский филиал федерального государственного бюджетного учреждения науки «Института лазерной физики Сибирского отделения Российской академии наук»
- Федеральное государственное бюджетное учреждение науки «Институт геохимии имени А.П. Виноградова Сибирского отделения Российской академии наук»
- Выпуск: Том 88, № 7 (2024)
- Страницы: 1045-1049
- Раздел: Люминесценция и лазерная физика
- URL: https://journals.rcsi.science/0367-6765/article/view/279461
- DOI: https://doi.org/10.31857/S0367676524070079
- EDN: https://elibrary.ru/PBTKYB
- ID: 279461
Цитировать
Полный текст
Аннотация
Исследованы спектрально-кинетические характеристики люминесценции кристаллов BaF2 и SrF2, имплантированными высокоэнергичными (~ 100 кэВ) ионами Ag. Спектры люминесценции обоих кристаллов имеют схожую структуру, в которой выделяются три компонента. Положения максимумов компонент зависят от материала матрицы и длины волны возбуждения и лежат в диапазонах длин волн 500—550, 600—670 и 760—770 нм. На кинетических кривых затухания люминесценции также выделяются три компонента с характерными временами затухания ≤ 1 нс, около 4 нс и 13—15 нс.
Ключевые слова
Полный текст
Введение
Кристаллы BaF2 и SrF2 находят широкое применение в качестве оптических материалов благодаря их перспективным физическим и механическим характеристикам: большой ширине запрещенной зоны, малой энергии фононов, малому коэффициенту преломления, высокой лучевой стойкости и механической прочности. В частности, кристаллы фторида бария привлекают большое внимание в качестве сцинтилляторов для детектирования частиц и излучения в физике высоких энергий, ядерной физике и лучевой терапии [1, 2]. Важным параметром сцинтиллятора является время затухания люминесценции, возбуждаемой под воздействием регистрируемых частиц, которое определяет его временное разрешение. Отметим, что среди неорганических сцинтилляторов минимальное время затухания (< 1 нс) имеет коротковолновый компонент люминесценции BaF2, однако его максимум излучения лежит на длине волны около 220 нм [3], что затрудняет согласование с фотоумножителем. Более того, использование данной люминесценции сильно ограничено также его низкой интенсивностью. Тем не менее в работах [4—6] приведены данные об усилении люминесценции из-за процессов безызлучательной передачи энергии от наночастиц благородных металлов, имплантированных в матрицу кристаллов.
Физические, структурные и оптические свойства наночастиц серебра интенсивно изучались в течение последних десятилетий. Такой интерес связан прежде всего с резонансным коллективным колебанием свободных электронов, возбуждаемых падающим светом, называемым поверхностным плазмонным резонансом. Однако в экспериментах обычно уделялось недостаточно внимания люминесценции наночастиц серебра. Это объясняется тем, что большинство эмиссионных процессов наночастиц имеют очень низкую эффективность [7].
Для синтеза наночастиц серебра, которые обладают сильными свойствами поглощения и рассеяния в видимом спектре, используются различные подходы. Ионная имплантация является одним из хорошо известных методов модификации материалов, причем, в отличие от химических методов, ионная имплантация позволяет защитить наночастицы, например серебра, с помощью матрицы-хозяина, что предотвращает их окисление и неконтролируемое распространение во внешнюю среду.
Ранее было показано [8, 9], что введение металлических наночастиц в диэлектрическую матрицу существенно изменяет ее оптические характеристики. В частности, в матрице щелочно-галоидных кристаллов появляются связанные с наночастицами центры люминесценции с субнаносекундным временем затухания.
В настоящей работе исследованы спектрально-временные свойства люминесценции наночастиц серебра, синтезированных методом высокоэнергичной ионной имплантации в кристаллах BaF2 и SrF2 с целью возможного улучшения их детекторных характеристик.
Методика эксперимента
Облучение образцов кристаллов проводилось на ионном имплантере MEVVA [10]. Образцы размещались в вакуумной камере при давлении остаточного газа ~ 10–2 Па и облучались импульсным пучком ионов Ag длительностью 200 мкс с плотностью тока около 5 мA·cм–2 при ускоряющем напряжении 50 кВ, что для ионов Ag2+, составляющих основную часть ионного пучка, соответствует энергии 100 кэВ.
Спектрально-кинетические характеристики люминесценции облученных образцов исследовались с помощью конфокального сканирующего флуоресцентного микроскопа MicroTime 200 (PicoQuant Gmbh Company). Для возбуждения фотолюминесценции использовались высокостабильные лазеры с излучением на длине волны 405 и 375 нм близкой интенсивности, работающие в импульсном режиме с частотой повторения импульсов 10 МГц при длительности импульса порядка 50 пс. Спектры фотолюминесценции регистрировались спектрометром Ocean Optics 65000, совмещенным с микроскопом MicroTime 200, через фильтр с граничной длиной волны спектра пропускания 430 или 400 нм соответственно, отсекающий рассеянное образцом возбуждающее излучение. Обработка кривых затухания фотолюминесценции проводилась с помощью специализированного программного продукта SymPhoTime, входящего в состав информационного обеспечения микроскопа MicroTime 200. Алгоритм обработки основан на анализе гистограмм, регистрируемых при реализации метода время-коррелированного счета одиночных фотонов и обеспечивающего временное разрешение около 16 пс.
Основные результаты и их обсуждение
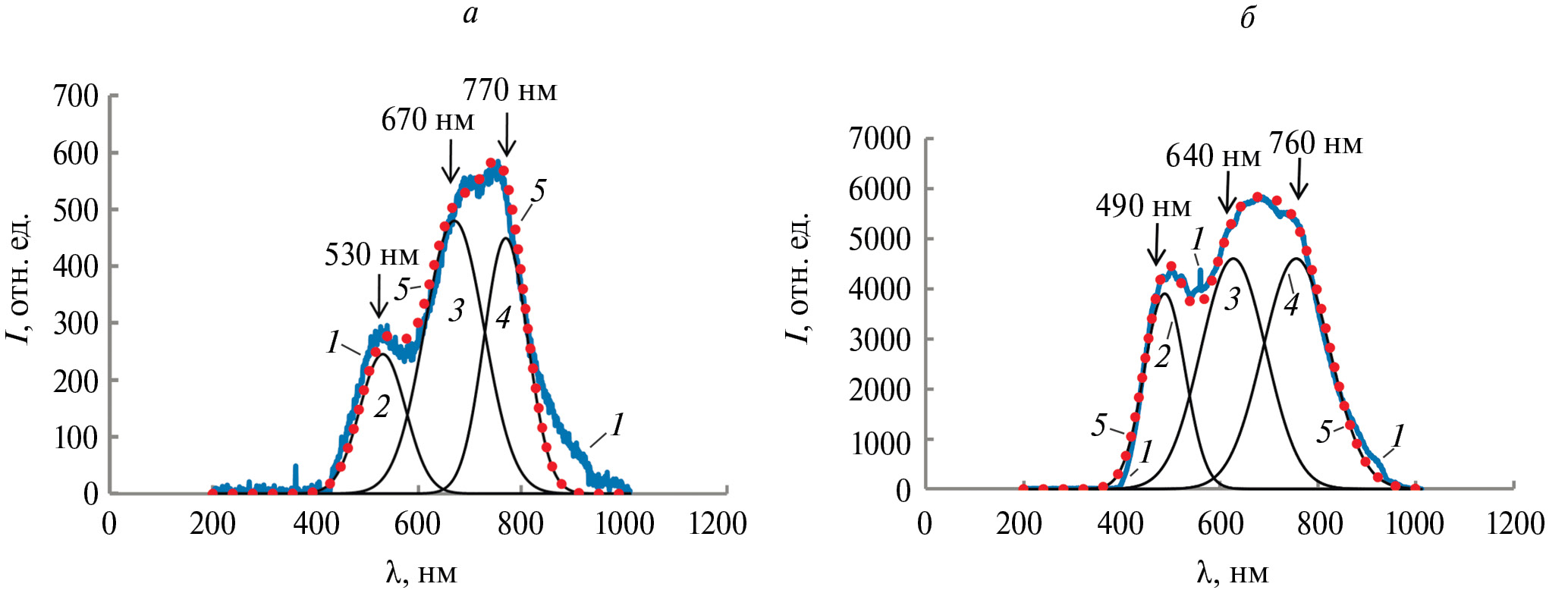
На рис. 1 приведены спектры люминесценции облученных ионами Ag с дозой 5·1014 ион/см2 образцов BaF2. Из рисунка видно, что спектры можно с достаточной степенью точности аппроксимировать тремя модельными гауссовскими контурами с максимумами, положение которых зависит от материала матрицы и длины волны возбуждающего излучения и лежит в диапазонах длин волн 500—550, 600—670 и 760—770 нм. Расчеты показали, что изменение положения максимума какого-либо модельного спектра, в среднем, на ± 5 нм от величины, указанной на рис. 1, приводит к заметному отклонению суммарного модельного контура от экспериментального контура. Поэтому указанную величину естественно принять за точность определения положения максимума модельных контуров. В качестве иллюстрации процедуры аппроксимации, на врезке рис. 1а приведена формула, описывающая один из модельных гауссовских контуров.
Рис. 1. Спектр люминесценции кристалла BaF2 при возбуждении излучением с длиной волны 405 нм (а) и 375 нм (б). Экспериментальный контур — синяя кривая (1), гауссовские контуры модельных компонент — черные кривые (2, 3, 4), суммарный модельный контур — красные точки (5).
Сравнение рис. 1а и рис. 1б показывает, что при одинаковой дозе имплантированных ионов и уменьшении длины волны возбуждающего излучения с 405 до 375 нм интенсивность люминесценции возрастает в 5—6 раз. Учитывая, что в данной области спектра отсутствует люминесценция исходной матрицы BaF2, можно заключить, что в данном случае регистрируются полосы люминесценции наночастиц Ag. Заметим также, что амплитуда спектров относительно слабо, в пределах 20 %, изменяется при увеличении дозы облучения с 2·1014 до 5·1015 ион/см2.
На рис. 2 приведены спектры люминесценции кристаллов SrF2 при возбуждении излучением с указанными длинами волн и такой же дозой облучения. Из сравнения со спектрами на рис. 1 следует, что эти спектры имеют сходную структуру с близкими положениями максимумов соответствующих полос и аналогичным, но более существенным (10—15 раз), увеличением амплитуды при уменьшении длины волны возбуждающего излучения. Отметим, однако, что в этом случае изменилось отношение амплитуды длинноволновой (с максимумом на длине волны ~ 770 нм) к амплитуде коротковолновой (с максимумом на длине волны ~ 520 нм) полос: в кристалле SrF2 это отношение существенно больше.
Рис. 2. Спектр люминесценции кристалла SrF2 при возбуждении излучением с длиной волны 405 нм (а) и 375 нм (б). Экспериментальный контур — синяя кривая (1), гауссовские контуры модельных компонент — черные кривые (2, 3, 4), суммарный модельный контур — красные точки (5).
На кинетической кривой затухания люминесценции образца SrF2 после ионной имплантации дозой 5·1015 ион/см2 (рис. 3) выделяются три компонента с постоянными затухания 0.45, 5.4 и 15.2 нс. Аналогичный вид имеет кривая затухания образца BaF2, а результаты измерений постоянной затухания для обоих образцов при различных дозах облучения приведены в табл. 1. Из таблицы следует, что в обоих случаях с ростом дозы постоянная затухания быстрого компонента существенно, в 2—3 раза, уменьшается до величины < 1 нс, в то время как постоянные затухания медленных компонент изменяются сравнительно слабо, в пределах 50 % относительно средних величин, равных 3.7, 12.2 нс для кристалла SrF2 и 4.5, 12.7 нс — для кристалла BaF2.
Таблица 1. Времена затухания компонент люминесценции в образцах BaF2 и SrF2 при различных дозах облучения
Имплантированная доза, ион/см2 | Время затухания (нс) компонент с максимумами на длине волны | |||||
SrF2 | BaF2 | |||||
530 нм | 670 нм | 770 нм | 550 нм | 620 нм | 770 нм | |
5·1015 | 0.45 | 3.4 | 15.2 | 0.72 | 4.1 | 13.7 |
1.2·1015 | 1.0 | 3.3 | 10.5 | 0.9 | 4.5 | 12.6 |
2·1014 | 1.24 | 4.2 | 14.0 | 1.4 | 4.9 | 11.8 |
Рис. 3. Кинетика люминесценции кластеров серебра в кристалле SrF2; символ Lifet. означает величину времени затухания компонента (нс), символ Ampl. — амплитуду (отн. ед.) этих компонент; Backgr. — фон.
В работах [11, 12] показано, что положение пика плазмонного резонанса зависит от матрицы кристалла. Кроме того, по известной теории рассеяния Ми было смоделировано поглощение плазмонного резонанса для наночастицы серебра [12] и показано, что пик поглощения будет сдвигаться в длинноволновую область при увеличении размера наночастиц.
По аналогии с этим процессом, можно предположить, что в наблюдаемые нами три пика люминесценции связаны именно с разными размерами полученных наночастиц. Более того, можно предположить, что и разное время свечения также связано с размерами наночастиц. При формировании наночастицы серебра вокруг последней будет формироваться приповерхносный слой главным образом из ионов фтора, но нельзя исключать и внедрение в этот слой катионов подложки. Формирование такого слоя должно влиять на оптические свойства наночастицы, как влияют, например, растворители [13]. Поэтому и наблюдаются различия в спектрах люминесценции наночастиц в кристаллах SrF2 и BaF2.
Заключение
Таким образом, показано, что облучение кристаллов BaF2 и SrF2 потоком высокоэнергичных ионов серебра приводит к формированию приповерхностного слоя, состоящего из (суб)наноразмерных металлических кластеров. При возбуждении импульсным световым пучком с длиной волны 375 или 405 нм наблюдается люминесценция этих кластеров, спектр которой в обоих случаях состоит из трех полос с максимумами в области 530, 650 и 770 нм, однако с разным соотношением между максимумами полос, которое зависит от материала матрицы. С уменьшением длины волны возбуждающего излучения от 375 до 405 нм амплитуда спектров существенно (до 15 раз) возрастает. На кинетических кривых затухания люминесценции также выделяются три компонента разной длительности, причем с ростом ионной дозы облучения уменьшается длительность быстрого компонента до минимальной величины 0.45 нс (для образца SrF2), в то время как длительности медленных компонент изменяются слабо и лежат в области 4 и 12 нс для кристаллов. По нашему мнению, последний факт обусловлен концентрационным тушением излучения, а слабая зависимость амплитуды спектров от дозы имплантированных ионов связана с насыщением люминесценции при высоких дозах облучения и, соответственно, большой концентрацией излучающих кластеров.
Заметим, что и структура спектра, и кинетика люминесценции кластеров Ag в данном случае существенно отличаются от ранее измеренных характеристик люминесценции в аморфной матрице оксифторидного стекла, а также кристаллов LiF [9, 14], что указывает на существенное влияние вида матрицы на это явление.
Наблюдаемая нами малая по сравнению с необлученным кристаллом длительность люминесценции (0.45 нс против 0.88 нс для BaF2 [3]), а также удобный для сопряжения с фотоэлектронным умножителем ее спектр, лежащий в видимой и ближней ИК-области, указывают на перспективность использования данного материала в качестве быстрого сцинтиллятора для различных задач. Однако этот вопрос требует дальнейшего исследования.
Об авторах
В. Л. Паперный
Федеральное государственное бюджетное образовательное учреждение высшего образования «Иркутский государственный университет»
Автор, ответственный за переписку.
Email: paperny@math.isu.runnet.ru
Россия, Иркутск
А. А. Черных
Федеральное государственное бюджетное образовательное учреждение высшего образования «Иркутский государственный университет»
Email: paperny@math.isu.runnet.ru
Россия, Иркутск
А. С. Ищенко
Иркутский филиал федерального государственного бюджетного учреждения науки «Института лазерной физики Сибирского отделения Российской академии наук»
Email: paperny@math.isu.runnet.ru
Россия, Иркутск
С. В. Мурзин
Иркутский филиал федерального государственного бюджетного учреждения науки «Института лазерной физики Сибирского отделения Российской академии наук»
Email: paperny@math.isu.runnet.ru
Россия, Иркутск
А. С. Мясникова
Федеральное государственное бюджетное учреждение науки «Институт геохимии имени А.П. Виноградова Сибирского отделения Российской академии наук»
Email: paperny@math.isu.runnet.ru
Россия, Иркутск
Р. Ю. Шендрик
Федеральное государственное бюджетное учреждение науки «Институт геохимии имени А.П. Виноградова Сибирского отделения Российской академии наук»
Email: paperny@math.isu.runnet.ru
Россия, Иркутск
Е. Ф. Мартынович
Федеральное государственное бюджетное образовательное учреждение высшего образования «Иркутский государственный университет»; Иркутский филиал федерального государственного бюджетного учреждения науки «Института лазерной физики Сибирского отделения Российской академии наук»
Email: paperny@math.isu.runnet.ru
Россия, Иркутск; Иркутск
В. П. Дресвянский
Федеральное государственное бюджетное образовательное учреждение высшего образования «Иркутский государственный университет»; Иркутский филиал федерального государственного бюджетного учреждения науки «Института лазерной физики Сибирского отделения Российской академии наук»
Email: paperny@math.isu.runnet.ru
Россия, Иркутск; Иркутск
Список литературы
- Мясникова А.С., Васильковский А.О., Богданов А.И. и др. // Изв. РАН. Сер. физ. 2017. Т. 81. № 9. С. 1205; Myasnikova A.S., Vasilkovskiy A.O., Bogdanov A.I. et al. // Bull. Russ. Acad. Sci. Phys. 2017. V. 81. No. 9. P. 1086.
- Сизова Т.Ю., Веслополова В.Ю., Шендрик Р.Ю. и др. // Изв. РАН. Сер. физ. 2017. Т. 81. № 9. С. 1210; Sizova T.Yu., Veslopolova V. Yu., Shendrik R. Yu. et al. // Bull. Russ. Acad. Sci. Phys. 2017. V. 81. No. 9. P. 1090.
- Melcher C.L., Manente R.A., Schweitzer J.S. // IEEE Trans. Nucl. Sci. 1989. V. 36. No. 1. P. 1188.
- Malta O.L., Santa-Cruz P.A., De Sá G.F., Auzel F. // J. Luminescence. 1985. V. 33. No. 3. P. 261.
- Wan N., Xu J., Lin T. et al. // Appl. Phys. Lett. 2008. V. 92. No. 20. Art. No. 201109.
- Yeshchenko O.A., Dmitruk I.M., Alexeenko A.A. et al. // Phys. Rev. B. 2009. V. 79. No. 23. Art. No. 235438.
- Zhang A., Zhang J., Fang Y. // J. Luminescence. 2008. V. 128. No. 10. P. 1635.
- Shipilova O.I., Gorbunov S.P., Paperny V.L. et al. // Surf. Coat. Technol. 2020. V. 393. Art. No. 125742.
- Дресвянский В.П., Ищенко А.С., Мартынович Е.Ф. и др. // Изв. РАН. Сер. физ. 2022. Т. 86. № 10. С. 1374; Dresvyanskiy V.P., Ischenko A.S., Martynovich E.F. et al. // Bull. Russ. Acad. Sci. Phys. 2022. V. 86. No. 10. P. 1133.
- Shipilova O.I., Chernich A.A., Paperny V.L. // Phys. Plasmas. 2017. V. 24. No. 10. Art. No. 103108.
- Nie W., Jiang S., Li R. et al. // Appl. Surf. Sci. 2020. V. 530. P. 147018.
- Yang H., Wang Y., Chen X. et al. // Nature Commun. 2016. V. 7. Art. No. 12809.
- Jiang Z., Yuan W., Pan H. // Spectrochim. Acta A. 2005. V. 61. No. 11-12. P. 2488.
- Velázquez J.J., Tikhomirov V.K., Chibotaru L.F. et al. // Opt. Express. 2012. V. 20. No. 12. P. 13582.
Дополнительные файлы






