Оптическая динамика суперкристалла квантовых излучателей V-типа: влияние дефазировки электронных состояний
- Авторы: Байрамдурдыев Д.Я.1, Маликов Р.Ф.1
-
Учреждения:
- Башкирский государственный педагогический университет им. М. Акмуллы
- Выпуск: Том 88, № 6 (2024)
- Страницы: 869-875
- Раздел: Квантовая оптика и когерентная спектроскопия
- URL: https://journals.rcsi.science/0367-6765/article/view/276161
- DOI: https://doi.org/10.31857/S0367676524060049
- EDN: https://elibrary.ru/PHLAMH
- ID: 276161
Цитировать
Полный текст
Аннотация
Проведено теоретическое исследование оптического отклика двумерного суперкристалла (монослоя) квантовых излучателей с дублетом в возбужденном состоянии на действие непрерывного внешнего поля с учетом дефазировки электронных состояний системы. Вторичное поле, действующее на V-излучатель со стороны других V-излучателей системы, формирует их нелинейность и обеспечивает внутреннюю положительную обратную связь, что приводит к бистабильности, периодическим и апериодическим автоколебаниям и в том числе хаотическому поведению. При наличии дефазировки мультистабильность оптического отклика сохраняется. Фазовая релаксация приводит к изменению сценария динамики системы от хаоса к периодическим осцилляциям амплитуды поля, т. е. к бифуркации «хаос — предельный цикл» и уменьшению отражательной способности монослоя в линейном и нелинейном режимах.
Полный текст
ВВЕДЕНИЕ
После открытия графена [1, 2] были синтезированы двумерные (2D) метаматериалы с экстраординарными оптическими и транспортными свойствами, такие как дихалькогениды переходных металлов [3—6], гексагональный нитрид бора, черный фосфор и другие неорганические квази-двумерные системы [7—10], а также ван-дер-ваальсовские гетероструктуры смешанной размерности [11], искусственные 2D-суперкристаллы на основе полупроводниковых квантовых точек (ПКТ) [12—14], органические 2D-полимеры [15] и 2D-наноструктуры, составленные из молекул, в определенной последовательности (ДНК, пептиды и т. д.) [16]. Двумерные сверхрешетки на основе графена и периодические решетки ПКТ, представляют особый интерес с точки зрения электронных и оптических приложений [17, 18], поскольку они могут генерировать уединенные электромагнитные волны и поглощать свет в широком диапозоне длин волн, от инфракрасного до ультрафиолетового. Современные методы нанотехнологий позволяют создавать такие метаматериалы [19].
Одним из ключевых компонентов плотных двумерных оптических систем является дальнодействующее взаимодействие между излучателями; это приводит ко многим многообещающим эффектам [20—22].
В данной работе мы исследуем нелинейный оптический отклик двумерного суперкристалла, состоящего из трехуровневых квантовых излучателей с дублетом в возбужденном состоянии при наличии дефазировки электронных состояний и это важно для выяснения условий экспериментального наблюдения исследуемого явления. Моделирование влияния фазовой релаксации для явлений сверхизлучения и фемтосекундного и некогерентного фотонного эхо проводилось в работах [23, 24].
Примером модели квантового излучателя V-типа могут быть полупроводниковые квантовые точки с вырожденной валентной зоной в магнитном поле [25], а также асимметричные полупроводниковые квантовые точки, в которых анизотропное обменное взаимодействие электрона и дырки являются причиной дублетного расщепления одноэкситонного состояния (см., например, [26]). В силу высокой плотности квантовых излучателей (КИ) и больших сил осциллятора оптических переходов, диполь-дипольное взаимодействие КИ является определяющим в формировании оптического отклика суперкристалла, обеспечивая положительную обратную связь. В совокупности с нелинейностью КИ это приводит к мультистабильности, автоколебаниям и динамическому хаосу в оптическом отклике этих нанообъектов [20—22].
МОДЕЛЬ И ТЕОРЕТИЧЕСКОЕ ОПИСАНИЕ
Рассмотрим монослой квантовых излучателей в виде 2D-решетки, с периодом a. Будем считать, что излучатели, составляющие монослой, имеют энергетическую структуру уровней в виде дублета в возбужденном и основном состояниях. Схема энергетических уровней и переходов изолированных квантовых излучателей V-типа представлена на рис. 1.
Рис. 1. Схема энергетических уровней и переходов квантового V-излучателя
Оптические переходы разрешены только между верхними состояниями дублета |3> и |2> и нижним состоянием |1> (V-схема оптических переходов). Эти переходы (сплошные стрелки) характеризуются векторами дипольных моментов переходов и , которые параллельны друг другу, а значения их вещественны, так что d31 = µd21 ≡ µd. Верхние дублетные состояния |3> и |2> спонтанно затухают (волнистые стрелки) в основное состояние |1> со скоростями γ31 и γ21 соответственно, которые подчиняются соотношению γ21 = μ2γ31. Предполагается, что частота дублетного расщепления ω32 мала по сравнению с частотами оптического перехода ω31 = ω3 –ω1 и ω21 = ω2 –ω1. На монослой падает нормально поляризованная вдоль дипольных моментов переходов плоская волна с частотой ω0, квазирезонансная оптическим переходам в V-квантовых излучателях. Безызлучательная релаксация в дублете задана константой γ32 и на графике показана пунктирной стрелкой.
Оптическая динамика суперкристалла квантовых V — излучателей с учетом дефазировки электронных состояний описывается системой уравнений для элементов матрицы плотности и поля:
(1)
При выводе уравнений использовано пространственно-однородное приближение, когда элементы матрицы плотности излучателей и поля не зависят от положения излучателя в суперкристалле. Здесь точка над означает производную по времени, Δ31 и Δ21 — величины отстройки частоты внешнего поля от частот резонансных переходов, Г — параметр, отвечающий за дефазировку энергетических состояний квантовых излучателей, зависющую от температуры термостата, Ω — амплитуда Раби действующего поля, которое представляет собой сумму внешнего поля Ω0 и поля всех остальных квантовых излучателей в месте расположения данного (второе слагаемое) [22]. Таким образом, учитывается полное (запаздывающее) диполь-дипольное КИ-КИ взаимодействие. В силу того, что дипольный момент КИ зависит от степени возбуждения последнего, КИ-КИ взаимодействие также оказывается функцией текущего состояния КИ. Ближнезонная часть КИ-КИ взаимодействия приводит к динамическому сдвигу частот переходов |1> ↔ |3> и |1> ↔ |2>, зависящему от разности населенностей уровней. Дальнезонная же его часть обуславливает коллективную радиационную релаксацию КИ, также зависящую от разности населенностей. Эти два эффекта описываются константами ΔL (сдвиг) и γR (релаксация), причем для монослоя ΔL >> γR. Выражения для констант γR и ΔL зависят от соотношения между размером решетки N·a (N — латеральное число узлов, a — постоянная решетки) и длиной волны излучения , c — скорость света. Для простой квадратной решетки с размером N·a << λ (точечная система) величины γR и ΔL даются формулами [20]
, (2)
, (3)
где . В противоположном случае N · a >> λ (протяженная система) [20]
, (4)
, (5)
Как следует из уравнений (2) и (4), константа γR для точечной системы зависит от полного числа V-КИ в решетке, N2, в то время как в случае протяженной системы величина γR пропорциональна числу V-КИ внутри площади размером λ2. Здесь γR — сверхизлучательная константа Дике [27—29], отвечающая за коллективную релаксацию V-КИ в монослое.
Параметр ΔL не зависит от размера системы, в [20] он описывает диполь-дипольное взаимодействие излучателя со всеми остальными в ближней зоне. Последнее взаимодействие вводит в систему сильную обратную связь, для реалистичных систем ΔL ≥ 1000γ31, что приводит к дополнительной сильной нелинейности. Также, как и для точечной системы, для плотной протяженной системы (N · a >> λ) выполняется условие: ΔL >> γR.
СТАЦИОНАРНЫЙ РЕЖИМ И ДИНАМИКА
Очень важное значение имеет исследование стационарных режимов динамических систем. Анализ стационарного режима представленного в виде графика зависимости полного поля |Ω(t)| от падающего поля |Ω0| позволяет оценить проявление мультистабильности, соответственно оптического гистерезиса, устойчивость и неустойчивость и возможные сценарии поведения динамической системы. Стационарные уравнения можно получить из системы уравнений (1), полагая в них нулю производные по времени. Отметим, что стационарность решения не означает его устойчивость, стационарное решение может быть как устойчивым, так и неустойчивым. Стационарные решения рассматриваемой задачи ( = 0, α, β = 1, 2, 3) с учетом фазовой релаксации Г находятся из следующей системы нелинейных алгебраических уравнений:
(6)
(7)
Для получения системы уравнений (6) были использованы обозначения , и подстановки , , . Систему (6) относительно неизвестных можно представить в матрично-векторной форме
, (8)
где и , М — матрица может быть получена из уравнений (6).
Находя обратную матрицу, можем найти решение этого уравнения
. (9)
В численных расчетах использовалось следующий набор параметров [18]: γ31 ≈ 3·109 с-1, отношение μ = d32/d31 = (γ32/γ31)1/2 для простоты принимается равным единице. Величины γR и ΔL зависят от отношения λ/a. Принимая λ ≈ 100—200 нм и a ≈ 10—20 нм, получаем следующие оценки: γR ≈ 1012 с-1 и ΔL ≈ 1013 с-1.
Соответственно, положим γR = 100γ31 и ΔL = 1000 γ31. В дальнейшем скорость спонтанного излучения γ31 будем использовать в качестве единицы измерения всех величин, имеющих размерность частоты, в то время как γ31–1 используется в качестве единицы измерения времени. Оставшиеся два параметра — это расщепление дублета Δ32 и скорость релаксации γ32 в канале дублета 3 → 2. Оптический отклик системы очень чувствителен к этим двум параметрам, которые могут быть настроены в эксперименте, например, с помощью магнитного поля или температуры, по этой причине они считаются переменными величинами. Канал релаксации 3 → 2 обеспечивает дополнительную настраиваемую степень свободы, которая может использоваться для настройки оптического отклика монослоя V-излучателей.
На рис. 2 приведены стационарные решения при изменении фазовой релаксации. Следует отметить, что кроме нестабильных ветвей с отрицательным наклоном, существуют нестабильностые участки на ветвях с положительным наклоном, которые исчезают при наличии фазовой релаксации.
Рис. 2. Стационарные решения при учете фазовой релаксации
Далее исследовали влияние фазовой релаксации на динамику и спектр оптического отклика суперкристалла. На рис. 3 показаны графики величины поля от значений входного поля для следующих параметрах монослоя и поля γR = 100γ31, ΔL = 1000γ31, γ32 = 0.05γ31 при различных значениях константы фазовой релаксации Г.
Рис. 3. Динамика и спектр оптического отклика суперкристалла при наличии фазовой релаксации
Величина расщепления равна Δ32 = 40γ31, Возбуждение излучателей проводится в центр дублета электронного перехода ∆31 = ∆32 / 2. Значение поля ReΩ0 = 40γ31.
При таком возбуждении мы наблюдаем оптические отклики суперкристалла, представленного на рис. 3: слева — динамика абсолютной величины |Ω| амплитуды Раби поля в монослое, в центре спектр излучения, справа фазовая диаграмма (ReΩ, ImΩ) при различных значениях фазовой релаксации Г.
В отсутствие фазовой релаксации (верхний ряд) динамика отклика представляет нерегулярные осциляции поля, их спектры представляют собой непрерывный набор частот излучения, фазовая траектория в диаграмме хаотична. Мы наблюдаем хаотичный режим излучения. Фазовая релаксация регуляризует колебания поля (средний ряд), динамическая система переходит в аттрактор режима периодических осцилляций, с дискретным множеством эквидистантных наборов частоты излучения. При дальнейшем увеличении фазовой релаксации амплитуда периодических колебаний аттрактора и набор частот излучения убывает, а расстояние между частотами излучения (эквидистантность) увеличивается (нижний ряд). При увеличении дефазировки электронных состояний Г происходит изменение режима движения системы от хаотического к предельному циклу, т. е. система испытывает бифуркацию. «хаос — предельный цикл».
ОТРАЖЕНИЕ
Отраженное и прошедшее поля задаются выражениями:
, (10а)
, (10б)
Коэффициент отражения R и пропускания T определяются следующим образом:
. (11)
Рассмотрим линейный режим отражения (|Ω0| << 1, ρ11 ≈ 1). С этой целью удержим в уравнениях для ρ31 и ρ21 лишь линейные по Ω0 слагаемые. Подставляя в коэффициент отражения R светового потока линейное решение уравнений для ρ31 и ρ21, получаем аналитическое выражение для коэффициента отражения R.
На рис. 4 приведен график зависимости коэфициента отражения с учетом дефазировки состояний (для слабого внешнего поля) как функция отстройки от резонанса Δ31. Виден пик отражения (R ≈ 1) в области Δ31 ≈ 2ΔL).
Рис. 4. Влияние дефазировки на линейный коэффициент отражения R, являющийся функцией отстройки от резонанса Δ31. Значение дублетного расщепления Δ32 = 200
Здесь показана полевая зависимость коэффициента отражения R для набора значений отстройки от резонанса Δ31. Как видно, поведение R существенно зависит от Δ31.
Ωrefl = γR(ρ31 + μρ21) — Раби амплитуда отраженного поля, в области резонанса, перенормированного полем в ближней зоне, т. е. Δ31 = ΔL = 1000γ31.
Полное отражение монохроматического излучения от суперкристалла можно объяснить тем, что вторичное поле, создаваемое диполями монослоя противофазно падающему полю, поэтому проходящее поле гасится и мы имеем полное отражение. Это отражение является уникальным свойством для монослоя, в этом смысле оно сходно с отражением от металлического зеркала, где отражение идет на слое порядка длины. Отличие заключается в том, отражение от металлического зеркала не зависит от увеличения интенсивности падающего поля. Для монослоя бистабильное зеркало начинает пропускать илучение, если мощность внешнего излучения больше интенсивности вторичного поля.
Из графика следует, что R имеет максимум при Δ31 = 2400γ31, причем, в этой точке R близок к единице, т. е. монослой практически полностью отражает падающее поле. Тот факт, что это происходит не при перенормированном ближним полем резонансе Δ31 = 1200γ31, как можно было ожидать, имеет простое объяснение: система с V-конфигурацией оптических переходов представляет собой два осциллятора, связанных ближним полем, что и является причиной сдвига частоты, при которой R имеет максимум.
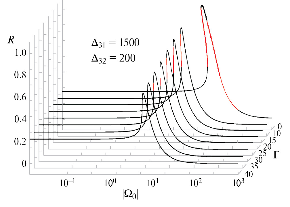
На рис. 5 представлены графики зависимости коэффициента нелинейного отражения R от величины входного поля при различных значениях дефазировки (фазовой релаксации) энергетических состояний вблизи истинного резонанса, которая учитывается величиной отстройки. Более того, в некотором диапазоне изменения Δ31 коэффициент отражения R является трехзначной функцией |Ω0|, что означает бистабильность.
Рис. 5. Нелинейный коэффициент отражения R суперкристалла от интенсивности при разных значениях Г дефазировки энергетических состояний. Темные (красные) линии отвечают устойчивым (неустойчивым) участкам коэффициента отражения R
Влияние дефазировки энергетических состояний Г приводит исчезновению бистабильности и к уменьшению отражательной способности суперкристалла.
Для анализа устойчивости мы использовали метод показателей Ляпунова. Другим свойством нашего монослоя, является его большая (почти стопроцентная) способность отражения в определенной полосе частот, т. е. в данной полосе частот монослой работает как идеальное нанометровое зеркало, причем отражение может резко меняться при небольшом изменении амплитуды поля (бистабильность).
ЗАКЛЮЧЕНИЕ
Таким образом, проведено теоретическое исследование оптического отклика суперкристалла квантовых точек V-типа с учетом дефазировки электронных состояний. Учтено дипольно-дипольное взаимодействие излучателей. Данное взаимодействие, в силу его зависимости от текущего квантового состояния излучателя, обеспечивает положительную обратную связь, которая вместе с нелинейностью самих излучателей приводит к мультистабильности, периодическим и апериодическим автоколебаниям и динамическому хаосу в оптическом отклике монослоя. Динамические системы суперкристаллов состоящие из ПКТ V-типа, могут быть проанализированы методами нелинейной динамики [30, 31, 33].
В определенной полосе частот монослой полностью отражает падающее поле, т. е. является идеальным зеркалом в нанометровом диапазоне, которое, кроме того, бистабильно.
Исследование влияния фазовой релаксации на оптическую динамику показывает, что мультистабильность оптического отклика сохраняется. Фазовая релаксация приводит к изменению сценария динамики системы от хаоса к периодическим осцилляциям амплитуды поля, т. е. к бифуркации «хаос — предельный цикл». Дефазировка также уменьшает отражательную способность монослоя в линейном и нелинейном режимах.
Суперкристаллы квантовых точек V-типа, являются перспективными обьектами для применений в нанофотонике [10, 32]. В качестве реализации подобной системы может рассматриваться суперкристалл из ПКТ с вырожденной валентной зоной, в частности ПКТ CdSe и CdTe, помещенный в магнитное поле [25, 26].
Авторы выражают глубокую благодарность и признательность В. А. Малышеву за обсуждение работы и консультации.
Об авторах
Д. Я. Байрамдурдыев
Башкирский государственный педагогический университет им. М. Акмуллы
Email: rfmalikov@mail.ru
Россия, Уфа
Р. Ф. Маликов
Башкирский государственный педагогический университет им. М. Акмуллы
Автор, ответственный за переписку.
Email: rfmalikov@mail.ru
Россия, Уфа
Список литературы
- Novoselov K.S., Geim A.K., Morozov S.V. et al. // Science. 2004. V. 306. P. 666.
- Neto A.H.C., Guinea F., Peres N.M.R. et al. // Rev. Mod. Phys. 2009. V. 81. P. 109.
- Manzeli S., Ovchinnikov D., Pasquier D. et al. // Nat. Rev. Mater. 2017. V. 2. P. 17033.
- Чернозатонский Л.А., Артюх А.А. // УФН 2018. Т. 188. С. 3; Chernozatonskii L.A., Artyukh A.A. // Phys. Usp. 2018. V. 61. P. 2.
- Back P., Zeytinoglu S., Ijaz A. et al. // Phys. Rev. Lett. 2018. V. 120. Art. No. 037401.
- Scuri G., Zhou Y., High A. A. et al. // Phys. Rev. Lett. 2018. V. 120. Art. No. 037402.
- Bonaccorso F., Lombardo A., Hasan T. et al. // Mater. Today. 2012. V. 15. P. 564.
- Bhimanapati G.R., Lin Z., Meunier V. et al. // ACS Nano. 2015. V. 9. Art. No. 11509.
- Tan C., Cao X., Wu X.J. et al. // Chem. Rev. 2017. V. 117. P. 6225.
- Solntsev A.S., Agarwal G.S., Kivshar Y.S. // Nature Photon. 2021. V. 15. P. 327.
- Jariwala D., Marks T.J., Hersam M.C. // Nature Mater. 2017. V. 16. P. 170.
- Evers W.H., Goris B., Bals S. et al. // Nano Lett. 2013. V. 13. P. 2317.
- Baranov A.V., Ushakova E.V., Golubkov V.V. et al. // Langmuir. 2015. V. 31. P. 506.
- Ushakova E.V., Cherevkov S.A., Litvin A.P. et al. // J. Phys. Chem. 2016. V. 120. P. 25061.
- Liu W., Luo X., Bao Y. et al. // Nature Chem. 2017. V. 9. P. 563.
- Mu P., Zhou G., Chen C.L. // Nano-Struct. NanoObjects. 2018. V. 15. P. 153.
- Бабина О.Ю., Глазов С.Ю., Федулов И.Н. // Изв. РАН. Сер. физ. 2023. Т. 87. № 1. С. 30; Babina O.Yu., Glazov S.Yu., Fedulov I.N. // Bull. Russ. Acad. Sci. Phys. 2023. V. 87. No. 1. P. 22.
- Самарцев В.В., Митрофанова Т.Г., Хасанов О.Х. // Изв. РАН. Сер. физ. 2021. Т. 85. № 2. С. 302; Samartsev V.V., Mitrofanova T.G., Khasanov O.Kh. // Bull. Russ. Acad. Sci. Phys. 2021. V. 85. No. 2. P. 216.
- Zheludev N.I. // Science. 2010. V. 328. P. 582.
- Ryzhov I.V., Malikov R.F., Malyshev A.V., Malyshev V.A. // Phys. Rev. A. 2019. V. 100. No. 3. Art. No. 033820.
- Ryzhov I.V., Malikov R.F., Malyshev A.V., Malyshev V.A. // J. Optics. 2021. V. 23. Art. No. 115102.
- Байрамдурдыев Д.Я., Маликов Р.Ф., Рыжов И.В., Малышев В.А. // ЖЭТФ. 2020. Т. 158. № 2(8). С. 269; Bairamdurdyev D.Ya., Malikov R.F., Ryzhov I.V., Malyshev V.A. // JETP. 2020. V. 131. No. 2. P. 244.
- Маликов Р.Ф. Математическое моделирование кооперативных когерентных эффектов в спектроскопии: монография. Уфа: Изд-во «Гилем», 2006. — 206 с.
- Федянин В.В., Каримуллин К.Р. // Изв. РАН. Сер. физ. 2020. Т. 84. № 3. С. 361.
- Efros Al.L., Rosen M., Kuno M. et al. // Phys. Rev. B. 1996. V. 54. No. 7. P. 4843.
- Stufler S., Machnikowski P., Ester P. et al. // Phys. Rev. B. 2006. V. 73. Art. No. 125304.
- Dicke R.H. // Phys. Rev. 1954. V. 93. P. 99.
- Маликов Р.Ф., Трифонов Е.Д., Зайцев А.И. // ЖЭТФ. 1979. T. 76. С. 65; Malikov R.F., Trifonov E.D., Zaitsev A.I. // Sov. Phys. JETP. 1979. V. 49. P. 33.
- Benedict M.G., Ermolaev A.M., Malyshev V.A. et al. Super-radiance: multiatomic coherent emission. Bristol: IOP Publ., 1996.
- Andronov A.A., Vitt A.A., Khaikin S.E. Theory of oscillators. New York: Pergamon Press, 1966.
- Guckenheimer J., Holmes P. Nonlinear oscillations, dynamical systems and bifurcations of vector fields. Berlin: Springer, 1986.
- Ding F., Bozhevolnyi S.I. // Mater. Today. 2023. V. 71. P. 63.
- Тимощенко Е.В. Моделирование нелинейной динамики материального отклика плотных оптических слоев на резонансное излучение: монография. Могилев: МГУ им. А. А. Кулешова, 2023. 236 с.
Дополнительные файлы








