The galactic cosmic ray intensity fluctuations during perturbations of the solar wind in early November 2021
- Authors: Zverev A.S.1, Grigoryev V.G.1, Gololobov P.Y.1, Starodubtsev S.A.1
-
Affiliations:
- Shafer Institute of Cosmophysical Research and Aeronomy of the Siberian Branch of the Russian Academy of Sciences
- Issue: Vol 88, No 2 (2024)
- Pages: 323-326
- Section: Physics of Cosmic Rays
- URL: https://journals.rcsi.science/0367-6765/article/view/266140
- DOI: https://doi.org/10.31857/S0367676524020289
- EDN: https://elibrary.ru/RPTLHW
- ID: 266140
Cite item
Full Text
Abstract
In order to develop methods for predicting negative manifestations of space weather, the dynamics of fluctuations in the intensity of galactic cosmic rays during geophysical disturbances in early November 2021 is studied. The obtained results point to the possibility of real-time short-term space weather forecasting based on the measurement data of the Russian national ground-based network of cosmic ray stations.
Full Text
ВВЕДЕНИЕ
Один из возможных методов прогноза космической погоды состоит в использовании явления флуктуаций интенсивности галактических космических лучей (КЛ), наблюдаемых во время крупномасштабных возмущений солнечного ветра (СВ). Флуктуации КЛ – это короткопериодные вариации интенсивности КЛ с характерным периодом Т < 3 ч, которые возникают эпизодически во время возмущений космической погоды. Их первые систематические исследования начались в Якутске в начале 1970-х [1] и уже через несколько лет был поставлен вопрос о возможности прогноза крупномасштабных возмущений СВ по измерениям флуктуаций КЛ с помощью нейтронных мониторов [2] и о их природе. В 1974 г. в работе [3] рассматривался вопрос о модуляции малой, анизотропной части КЛ альфвеновскими волнами, в которой была установлена теоретическая связь между наблюдаемыми спектрами флуктуаций КЛ и межпланетного магнитного поля (ММП). Однако, в последующем выяснилось, что установленное в [2] соотношение справедливо только для флуктуаций КЛ и ММП с периодами T > 3 ч. И только, почти через 15 лет, в работе [4] рассматривался вопрос о модуляции значительно большей по величине изотропной части функции распределения КЛ быстрыми магнитозвуковыми волнами. В результате в ней была установлена магнитозвуковая природа флуктуаций галактических КЛ и получено выражение для связи между спектрами флуктуаций КЛ и ММП:
,
где PКЛ(v) и PB(v) – спектры мощности флуктуаций КЛ и модуля ММП, v – частота, j0 – средняя интенсивность КЛ, B0 – значение среднего ММП, γ = 2.7– показатель энергетического спектра КЛ, Ca – альфвеновская скорость, CW – скорость МГД-волны, V – скорость солнечного ветра, φ – азимутальный угол ММП, k – поперечный коэффициент диффузии КЛ. При этом авторы пришли к выводу, что поскольку быстрые магнитозвуковые волны имеют большой декремент затухания, то они должны быть генерированы локально вблизи окрестности Земли, например, потоками солнечных или штормовых частиц сверхтепловых энергий характеризующиеся значительными градиентами и нарастающей величиной потоков [5–8].
РЕЗУЛЬТАТЫ И ОБСУЖДЕНИЕ
В этой работе мы использовали 5-минутные, поправленные на вариации давления, данные регистрации нейтронных мониторов в Якутске (24-NM-64) и Бухте Тикси (18-NM-64) [9], данные прямых наблюдений параметров межпланетной среды на космических аппаратах (КА) ACE и WIND [10, 11], а также 1-часовые данные о Dst-индексе геомагнитной активности [12].
Исходя из установленной в работе [4] природы флуктуаций галактических КЛ, можно построить физическую картину их возникновения в окрестности фронтов межпланетных ударных волн (МУВ), с приходом которых на орбиту Земли часто наблюдается геомагнитные бури и понижения Форбуша. Поскольку МУВ движутся со сверхзвуковой скоростью, то перед их фронтами часто наблюдаются потоки штормовых частиц с энергией ~1 МэВ, которые характеризуются значительными градиентами и интенсивностью. Эти КЛ могут генерировать как альфвеновские, так и быстрые магнитозвуковые МГД-волны [4–7]. Последние, в свою очередь, способны модулировать поток галактических КЛ высоких энергий (более 1 ГэВ), приводя к возникновению их флуктуаций. В силу больших пробегов эти КЛ достигают орбиты Земли на 1–2 сут. раньше, чем сама МУВ, что и регистрируется наземными детекторами как предвестник геофизических проявлений космической погоды.
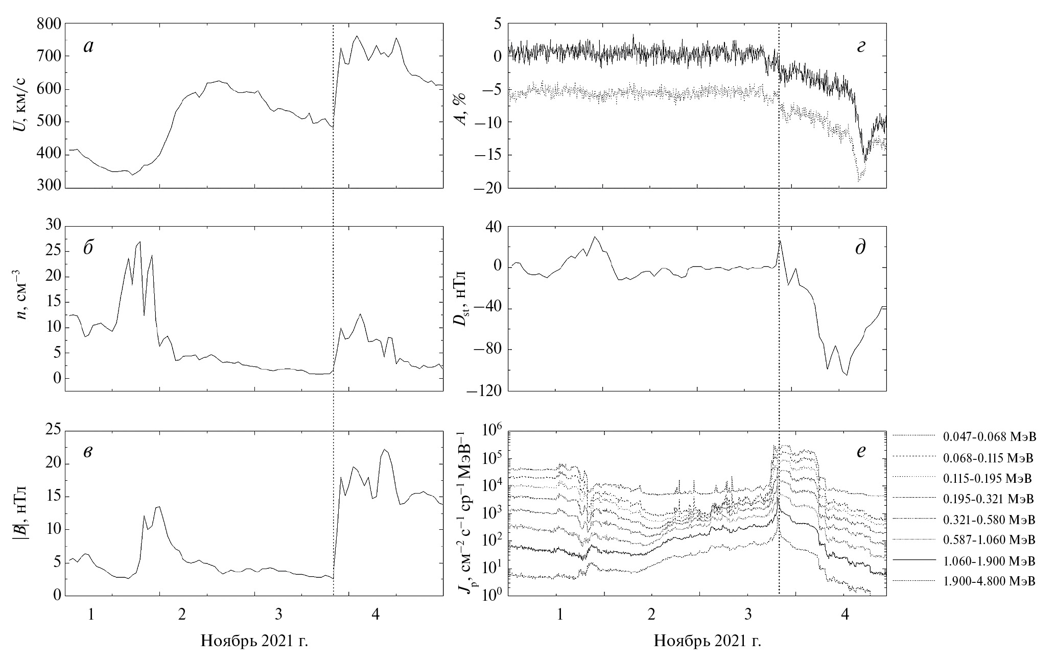
В 19:54 UT 3 ноября 2021 г. находящемся вблизи точки либрации L1 КА WIND была зарегистрирована МУВ (рис. 1а-1в). Она вызвала на Земле форбуш-понижение (рис. 1г) и умеренную геомагнитную бурю (рис. 1д). На рис. 1г наличие флуктуаций интенсивности КЛ перед форбуш-понижением и геомагнитной бурей не очевидно, т.к. они имеют малую амплитуду и их просто не видно на уровне фона. Поэтому для их выделения нужно применять методы спектрального анализа. Для их выявления мы выбирали реализацию исходных данных длиной в 1 сут., чтобы станции, имеющие разные приемные конусы, могли полностью «обозреть» доступную им часть небесной сферы. Далее, после приведения данных к квазистационарному виду с помощью цифровой фильтрации, мы использовали стандартный метод Блэкмена–Тьюки с использованием корреляционного окна Тьюки [13]. Таким образом, мы рассчитывали их автоспектры, кросс-спектры, а также коэффициенты когерентности с числом степеней свободы DoF ≈ 27. Подобным же образом рассчитывались и спектральные характеристики данных измерений параметров солнечного ветра на КА WIND.
Рис. 1. Скорость (а) и плотность (б) СВ, модуль ММП (в), амплитуда вариаций интенсивности КЛ, по данным станций Бухта Тикси (сплошная кривая) и Якутск (пунктир) (г), Dst-индекс геомагнитной активности (д), а также потоки протонов в 8 дифференциальных энергетических каналах, по данным эксперимента EPAM на КА АСЕ (е), зарегистрированные 1‒4 ноября 2021 г. Пунктиром отмечен приход МУВ. Из амплитуды вариаций интенсивности КЛ на станции Якутск вычтено 5% от среднего фона за невозмущенный период времени 1 ноября 2021 г. Показана легенда для потоков протонов, измеренных на КА АСЕ
Для примера, на рис. 2а показаны кросс-спектры флуктуаций интенсивности галактических КЛ за разные интервалы времени. Из него видно, что примерно за 4 часа перед началом геофизических эффектов в кросс-спектрах мощности на частоте 4·10–4 Гц явно выделяются флуктуации галактических КЛ с периодом Т = 42 мин, которых не было ранее. Нужно заметить, что спектры флуктуаций КЛ испытывают закономерные и весьма значительные изменения в зависимости от уровня солнечной активности [14]. Поэтому имеет смысл анализировать коэффициенты когерентности, значения которых по определению изменяются в пределах от 0 до 1. Это иллюстрирует рис. 2б, на котором еще более явственно выявляются флуктуации КЛ на той же частоте. Согласно выводам ряда теоретических работ [5–7], частицы низких энергий могут генерировать в плазме СВ различные типы МГД-волн. Из рис. 1е видно, что перед фронтом МУВ пришедшей на орбиту Земли в конце 3 ноября 2021 г. потоки штормовых частиц действительно наблюдались. Тогда можно ожидать, что эти волны должны проявиться в спектрах мощности модуля ММП. А поскольку известно, что для разных типов МГД-волн характерна корреляция между собой определенных параметров среды, то не составляет большого труда определить вклад каждого их 3-х типов МГД-волн в наблюдаемый спектр флуктуаций ММП. Проведенные нами расчеты показывают, что на частоте 4 · 10–4 Гц наблюдается высокая когерентность (больше 80%) между модулем ММП B и плотностью плазмы n, что является прямым указанием на существование в это время в СВ быстрых магнитозвуковых волн. Применение приведенного выше соотношения к наблюдаемым спектрам флуктуаций интенсивности галактических КЛ и модуля ММП, с учетом того, что соответствующая частоте 4·10–4 Гц мощность модуля ММП составляет значение ≈ 6 нТл2/Гц, показывает, что возникновение наблюдаемых флуктуаций галактических КЛ обусловлено наличием в это время в межпланетной среде именно быстрых магнитозвуковых волн и их модулирующем воздействии на изотропную часть функции распределения КЛ. Это приводит нас к выводу о правильности описанной выше картины возникновения флуктуаций КЛ.
Рис. 2. Кросс-спектры флуктуаций КЛ, определенные по данным станций Якутск и Бухта Тикси (а), коэффициенты когерентности флуктуаций КЛ (б) и коэффициенты когерентности между величиной модуля ММП и плотностью плазмы СВ (в). Пунктир соответствует времени за более чем 1 сут до прихода МУВ (с 1 ноября 10:41 UT по 2 ноября 10:40 UT), сплошные линии – интервалу времени 2 ноября 15:31 UT ‒ 3 ноября 15:31 UT перед приходом МУВ на КА WIND3 ноября 19:54 UT
ЗАКЛЮЧЕНИЕ
Установлено, что непосредственно перед приходом межпланетной ударной волны 3 ноября 2021 г. на орбиту Земли на инерционном участке спектров турбулентности солнечного ветра в области частот ~10–4 – 1.67 · 10–3 Гц наблюдались быстрые магнитозвуковые волны значительной амплитуды, которые привели к возникновению флуктуаций галактических КЛ. Эти волны были генерированы потоками штормовых частиц сверхтепловых энергий (Eр ~ 1 МэВ) перед ударным фронтом. Полученные результаты указывают на возможность разработки и реализации в режиме реального времени на основе наземных измерений интенсивности КЛ метода прогноза значительных геофизических проявлений космической погоды.
В работе использованы данные измерений станций КЛ Бухта Тикси и Якутск, входящих в состав уникальной научной установки «Российская национальная наземная сеть станций космических лучей». Авторы благодарят команды АСЕ и WIND за предоставление данных прямых измерений параметров межпланетной среды в открытом доступе. Работа выполнены при поддержке Российского научного фонда (проект № 22-22-20045).
About the authors
A. S. Zverev
Shafer Institute of Cosmophysical Research and Aeronomy of the Siberian Branch of the Russian Academy of Sciences
Author for correspondence.
Email: ZverevAS@ikfia.ysn.ru
Russian Federation, Yakutsk
V. G. Grigoryev
Shafer Institute of Cosmophysical Research and Aeronomy of the Siberian Branch of the Russian Academy of Sciences
Email: ZverevAS@ikfia.ysn.ru
Russian Federation, Yakutsk
P. Yu. Gololobov
Shafer Institute of Cosmophysical Research and Aeronomy of the Siberian Branch of the Russian Academy of Sciences
Email: ZverevAS@ikfia.ysn.ru
Russian Federation, Yakutsk
S. A. Starodubtsev
Shafer Institute of Cosmophysical Research and Aeronomy of the Siberian Branch of the Russian Academy of Sciences
Email: ZverevAS@ikfia.ysn.ru
Russian Federation, Yakutsk
References
- Крымский Г.Ф., Кузьмин А.И., Козлов В.И. и др. // Изв. АН СССР. Сер. физ. 1973. Т. 37. С. 1205.
- Козлов В.И. // Бюлл. НТИ. Проблемы космофизики и аэрономии. Якутск: ЯФ СО АН СССР, 1976. С. 9.
- Owens A.J. // J. Geophys. Res. 1974. V. 79. P. 895.
- Бережко Е.Г., Стародубцев С.А. // Изв. АН СССР. Сер. физ. 1988. Т. 52. С. 2361.
- Бережко Е.Г. // Письма в Астрон. журн. 1986. Т. 12. С. 842.
- Бережко Е.Г. // Письма в Астрон. журн. 1990. Т. 16. С. 1123.
- Танеев С.Н., Стародубцев С.А., Бережко Е.Г. // ЖЭТФ. 2018. Т. 153. № 5. С. 765; Taneev S.N., Starodubtsev S.A., Berezhko E.G. // JETP. 2018. V. 126. No. 5. P. 636.
- Стародубцев С.А., Григорьев А.В., Григорьев В.Г. и др. // Изв. РАН. Сер. физ. 2007. Т. 71. № 7. С. 1022; Starodubtsev S.A., Grigoryev A.V., Grigoryev V.G. et al. // Bull. Russ. Acad. Sci. Phys. 2007. V. 71. No. 7. P. 991.
- http://www.ysn.ru/ipm.
- http://www.srl.caltech.edu/ACE/ASC/index.html.
- https://omniweb.gsfc.nasa.gov/form/sc_merge_min1.html.
- https://wdc.kugi.kyoto-u.ac.jp.
- Отнес Р., Эноксон Л. Прикладной анализ временных рядов. М.: Мир, 1982. 430 с.
- Starodubtsev S.A., Usoskin I.G., Mursula K. // Solar Phys. 2004. V. 224. P. 335.
Supplementary files





