Studying the optical properties of assembled silver and gold nanoparticles for the purpose of creating SERS sensors
- Authors: Subekin A.Y.1, Pylaev T.E.2,3, Kukushkin V.I.4, Rudakova E.V.5, Khlebtsov B.N.2
-
Affiliations:
- Moscow Institute of Physics and Technology
- Saratov Scientific Center of the Russian Academy of Sciences
- Razumovsky Saratov State Medical University of the Ministry of Health of the Russian Federation
- Osipyan Institute of Solid-State Physics of the Russian Academy of Sciences
- Federal Research Center for Problems of Chemical Physics and Medicinal Chemistry of the Russian Academy of Sciences
- Issue: Vol 88, No 2 (2024)
- Pages: 211-218
- Section: New Materials and Technologies for Security Systems
- URL: https://journals.rcsi.science/0367-6765/article/view/266107
- DOI: https://doi.org/10.31857/S0367676524020086
- EDN: https://elibrary.ru/RTEMQM
- ID: 266107
Cite item
Full Text
Abstract
The optical properties of silver and gold sols with different sizes of nanoparticles and the method of their chemical deposition on the surface of silicon, silicon oxide, glass and aluminum foil were studied in order to obtain SERS substrates – promising platforms for the development of aptamer sensors and immunochemical analysis of various pathogens. It has been established that for operation on lasers with exciting radiation wavelengths of 532, 638 and 785 nm, it is possible to create universal SERS substrates based on colloidal solutions obtained by the liquid-phase chemical method with an average silver particle size of 40 nm and by the Leopold-Lendl method with an average size of 20 nm.
Full Text
ВВЕДЕНИЕ
В настоящее время существует необходимость разработки экспресс-систем для высокочувствительного детектирования различных патогенных биологических агентов [1]. Возможность наработки патогенов в достаточно простых «домашних» условиях делает их весьма привлекательными для использования в качестве оружия массового поражения. В связи с этим в ряде стран на законодательном уровне опубликованы списки веществ, требующих постоянного мониторинга и совершенствования систем их обнаружения [2–4]. Помимо предупреждения угрозы биотерроризма также есть необходимость своевременной диагностики различных заболеваний для оказания необходимой терапии и, в случае опасной инфекции (например, COVID-19), принятия срочных мер для предотвращения ее распространения [5].
Перспективными подходами, способными обеспечить высокую чувствительность и специфичность определения различных патогенов, являются аптасенсорные платформы и иммунохимический анализ на основе спектроскопии гигантского комбинационного рассеяния света (ГКР). Они работают по принципу специфического взаимодействия аптамера или антитела с детектируемой мишенью (антигеном). Получающиеся в результате такого взаимодействия комплексы детектируются на ГКР-подложке, с которой, как правило, связан аптамер или антитело [6, 7].
В настоящее время уже существуют многочисленные типы упомянутых выше сенсоров, которые позволяют определять различные патогены с высокой чувствительностью [8–10]. Вместе с тем, не теряет актуальности задача по ГКР – детекции мономолекулярного взаимодействия детектирующей молекулы и антигена, которая продиктована необходимостью определения сверхмалых доз целого ряда патогенов [11, 12]. Одним из возможных решений данной задачи является непрерывный поиск и анализ способов получения подложки, способной дать максимально высокую интенсивность ГКР.
В данной работе мы исследовали способ химического осаждения различных коллоидных растворов серебра и золота на поверхности подложек из стекла, оксида кремния, монокристаллического кремния (далее кремний) и алюминиевой фольги (далее фольга). Наш выбор обоснован следующими соображениями:
- известно множество простых и доступных способов химического синтеза коллоидных растворов серебра и золота, которые позволяют получить наночастицы нужного размера [13–15];
- хорошо изучена химия поверхности перечисленных выше материалов, что позволяет легко подобрать ее модификатор для эффективной хемосорбции наночастиц [16, 17];
- фольга, кремний и оксид кремния имеют низкий фоновый оптический отклик, который можно легко учесть при получении ГКР-спектров [18].
МАТЕРИАЛЫ И МЕТОДЫ
Материалы
В работе использовали коммерческие реагенты без дополнительной очистки: 25% водный раствор цетилтриметиламмония хлорида (ЦТАХ), цетилтриметиламмония бромид (ЦТАБ), L-аскорбиновая кислота (AA), нитрат серебра (AgNO3), гидроксиламина гидрохлорид (NH2OH·HCl), натрия гидроксид, боргидрид натрия (NaBH4), 4-аминотиофенол (4-ABT) и 3-аминопропилтриэтоксисилан (АПТЭС) (Sigma-Aldrich, США); тригидрат тетрахлораурата водорода (HAuCl4) (ALFA Aesar, США); 37%-водный раствор перекиси водорода (H2O2водн) и 30%-водный раствор аммиака (NH3водн) (Ленреактив, Россия). Во всех экспериментах использовалась деионизованная вода, полученная из системы Milli-Q Integral 5.
В качестве материала подложек использовали монокристаллический кремний, полученный по методу Чохральского (ООО «Телеком-СТВ», Россия), оксидированный кремний с толщиной слоя оксидной пленки 300 нм (Nova Electronic Materials, США), оптическое стекло К8 (ООО «Флюорит», Россия) и алюминиевую фольгу (Solve Grocery Store, Китай).
Синтез наночастиц золота
Наночастицы золота были получены жидкофазным химическим синтезом по двухстадийному зародышевому протоколу [19] с незначительными модификациями [20]. На первом этапе Au нанокластеры готовили путем смешивания 5 мл водного раствора ЦТАБ (0.2 М), 5 мл HAuCl4 (1 мМ) с 600 мкл NaBH4 (0.01 М). Затем были приготовлены 10-нм Au зародыши путем смешивания на магнитной мешалке 20 мл 0.1 М ЦТАХ, 15 мл 0.1 М аскорбиновой кислоты, 0.5 мл Au нанокластеров и 20 мл 0.5 мМ HAuCl4. Полученные наночастицы трижды центрифугировали при 20 000 g по 60 мин, финальный препарат Au зародышей ресуспендировали в 10 мл 0.01 М ЦТАХ. На втором этапе 10-нм Au зародыши доращивали до необходимых размеров по следующей методике. В стеклянной колбе смешивали 40 мл 0.1 М ЦТАХ, 2.6 мл 0.01 М АА и Au зародыши размером 10 нм, после чего добавляли по каплям 10 мл 2 мМ HAuCl4. Размер полученных наночастиц зависит от количества Au зародышей: для синтеза частиц размером 40 нм добавляли 500 мкл 10-нм Au зародышей, для 60 нм – 160 мкл, 80 нм – 70 мкл, 100 нм – 40 мкл. Полученные наночастицы центрифугировали при 4000–8000 g в зависимости от размера и ресуспендировали полученные осадки в 5 мл воды.
Синтез наночастиц серебра
Наночастицы серебра были получены жидкофазным химическим синтезом по аналогичному вышеописанному двухстадийному зародышевому протоколу. На первом этапе получали 40 нм Ag наночастицы на 10 нм Au зародышах следующим образом. В пластиковой пробирке с резьбовой крышкой смешивали 50 мл 0.02 М ЦТАХ, 0.5 мл 10 нм Au зародышей, 0.5 мл 0.1 М AgNO3 и 2.5 мл 0.1 М АА. Далее инкубировали полученную смесь при 70°C в течение 2 ч. Полученные наночастицы дважды центрифугировали при 8000 g по 15 мин, ресуспендировали осадок в 50 мл 0.01 М ЦТАХ, и фильтровали через шприцевые нейлонные фильтры с диаметром пор 0.22 мкм. На втором этапе полученные 40 нм Ag наночастицы использовали в качестве зародышей для доращивания Ag наночастиц необходимых размеров по следующей методике. В пробирке с резьбовой крышкой смешивали 8 мл 0.02 М ЦТАХ, 40 нм Ag зародыши, 0.1 мл 0.1 М AgNO3 и 0.4 мл 0.1 М АА. Далее инкубировали полученную смесь при 70°C в течение 2 ч. Размер полученных наночастиц зависит от количества Ag зародышей: для синтеза частиц размером 60 нм частиц добавляли 4 мл 40 нм Ag зародышей, для 80 нм – 2 мл, для 100 нм – 1 мл. Полученные наночастицы дважды центрифугировали при 4000–8000 g в зависимости от размера, ресуспендировали осадок в 1 мл 0.01 М ЦТАХ, и фильтровали через шприцевые нейлонные фильтры с диаметром пор 0.22 мкм.
Синтез наночастиц серебра по методу Леопольда–Лендла
Синтез наночастиц серебра проводили по методу Леопольда–Лендла [13] с незначительными модификациями [21]. При комнатной температуре при интенсивном перемешивании медленно по каплям добавляли 10 мл 10–2 М раствора нитрата серебра к 90 мл раствора гидрохлорида гидроксиламина и гидроксида натрия с концентрациями 1.67·10–3 и 3.33·10–3 М, соответственно. После завершения добавления нитрата серебра реакцию проводили в течение 30 мин. Полученный коллоидный раствор центрифугировали при 5000 g и ресуспендировали в 10 мл воды.
Характеристика наночастиц
Спектры экстинкции измеряли на спектрофотометре Specord S-300 (Analytik Jena, Германия). Изображения просвечивающей электронной микроскопии (ПЭМ) получали на микроскопе Libra 120 (Carl Zeiss, Германия) в Центре коллективного пользования исследовательским оборудованием в области физико-химической биологии и нанобиотехнологии «Симбиоз» ИБФРМ РАН, Саратов. Для измерений с помощью ПЭМ наночастицы дважды центрифугировали и повторно диспергировали в воде. 10 мкл отмытых наночастиц наносили на медную микроскопическую сеточку для ПЭМ с формваровой подложкой, изображения получали при напряжении 120 кВ.
Подготовка поверхности и иммобилизация золей
Подложки дважды подвергали ультразвуковой обработке в смеси водных растворов аммиака и перекиси водорода (NH3водн: H2O2водн: H2O = 1:1:6 v:v) в течение 30 мин при 50°C с последующей тщательной промывкой в деионизированной воде. После этого их выдерживали в сушильном шкафу при 120°C в течение 45 мин и затем погружали в 0.5% (v:v) раствор АПТЭС в воде и проводили их обработку ультразвуком при 50°C в течение 30 мин. По окончании этой процедуры, подложки тщательно промывали деионизированной водой и выдерживали в сушильном шкафу при 120°C в течение 12 мин. Подложки охлаждали до комнатной температуры и наносили золи в две зоны по 10 мкл, выдерживали их 2 ч в закрытой чашке Петри, высушивали под вакуумом и тщательно промывали деионизированной водой. Промытые подложки снова высушивали под вакуумом и хранили в пластиковых пробирках в атмосфере азота.
Регистрация ГКР-спектров
На поверхность ГКР-подложек наносили по 2 мкл 1⋅10–5 М раствора 4-ABT. Капле давали высохнуть, после чего проводили измерение сигнала. Спектры ГКР получали с помощью оптического сканирующего микроскопа Olympus BX51 (Olympus Corporation, Япония) на базе спектрометров ФОТОН-БИО (ООО «ФОТОН-БИО», Россия) с длинами волн лазерного излучения 532 (мощностью 5 мВт), 638 (30 мВт) и 785 нм (60 мВт). Диаметр лазерного пятна для всех источников излучения составлял 10 мкм. В результате регистрировались спектры 4-ABT на различных ГКР-поверхностях (при этом время экспозиции составляло 1 с при 20 кадрах записи) и рассчитывались средние значения и ошибки для всех измерений.
РЕЗУЛЬТАТЫ И ИХ ОБСУЖДЕНИЕ
Типичный спектр экстинкции свежесинтезированных коллоидов, используемых для приготовления плазмонных платформ, представлен на рисунках 1а и 2а. На рис. 1б-е и 2б-е показаны ПЭМ-изображения наночастиц, иллюстрирующие их геометрию. Средние размеры частиц, определенные путем обработки ПЭМ-изображений, и значения максимумов плазмонного резонанса, приведены в табл. 1.
Рис. 1. Спектры экстинкции (а); типичные ПЭМ-изображения свежеприготовленных коллоидов Au наночастиц с различными средними размерами: 10 (б); 40 (в); 60 (г); 80 (д); 100 нм (е). Масштабные линейки соответствуют 100 нм
Рис. 2. Спектры экстинкции (а); типичные ПЭМ-изображения свежеприготовленных коллоидов Ag наночастиц с различными средними размерами: 20 (по методике Леопольда–Лендла [13, 21]) (б); 40 (в); 60 (г); 80 (д); 100 нм (е). Масштабные линейки составляют 100 нм
Таблица 1. Характеристики коллоидов Au и Ag наночастиц
Образец | λmax, нм | Размер, нм |
Au-40 | 526 | 37.1 ± 5.4 |
Au-60 | 533 | 56.4 ± 7.2 |
Au-80 | 545 | 77.2 ± 6.2 |
Au-100 | 560 | 94.8 ± 8.6 |
416 | 20.0 ± 4.6 | |
Ag-40 | 450 | 41.2 ± 6.8 |
Ag-60 | 480 | 62.1 ± 7.5 |
Ag-80 | 498 | 80.6 ± 9.2 |
Ag-100 | 517 | 98.9 ± 9.7 |
Из представленных данных видно, что максимум поглощения коллоидов зависит от среднего размера и материала частиц. Полученные результаты позволяют предположить, что на ГКР-подложках с серебряными частицами интенсивность сигнала будет выше при длине волны лазера, находящегося в зеленой области спектра (532 нм), а с золотыми в красной области спектра (638 и 785 нм).
В результате экспериментов получены КР-спектры вещества 4-АВТ, которые показаны на рис. 3. Видно, что в зависимости от материала частиц и длины волны возбуждающего лазерного излучения изменяется соотношение интенсивностей характеристических полос спектра 4-АВТ. Это вызвано зависимостью спектрального положения пика плазмонного поглощения подложки от материала наночастиц и взаимодействием SH-группы анализируемого вещества с серебром и золотом [22]. Хорошо известно также, что аминотиофенол может димеризоваться на ГКР подложках с образованием димеркаптоазобензена, что существенно влияет на его спектр комбинационного рассеяния [23]. Для сравнительной оценки усиления ГКР различными подложками была выбрана линия спектра 1074 см-1 благодаря ее сохраняющейся относительно стабильной и высокой интенсивности от опыта к опыту.
Рис. 3. ГКР-cпектры 4-АВТ: наночастицы серебра, синтезированные по методике Леопольда–Лендла, λвозб = 532 нм (а); наночастицы серебра, синтезированные по методике Леопольда–Лендла, λвозб = 638 нм (б); наночастицы серебра, синтезированные по методике Леопольда–Лендла, λвозб = 785 нм (в); наночастицы золота с размером 60 нм, λвозб = 638 нм (г); наночастицы золота с размером 60 нм, λвозб = 785 нм (д)
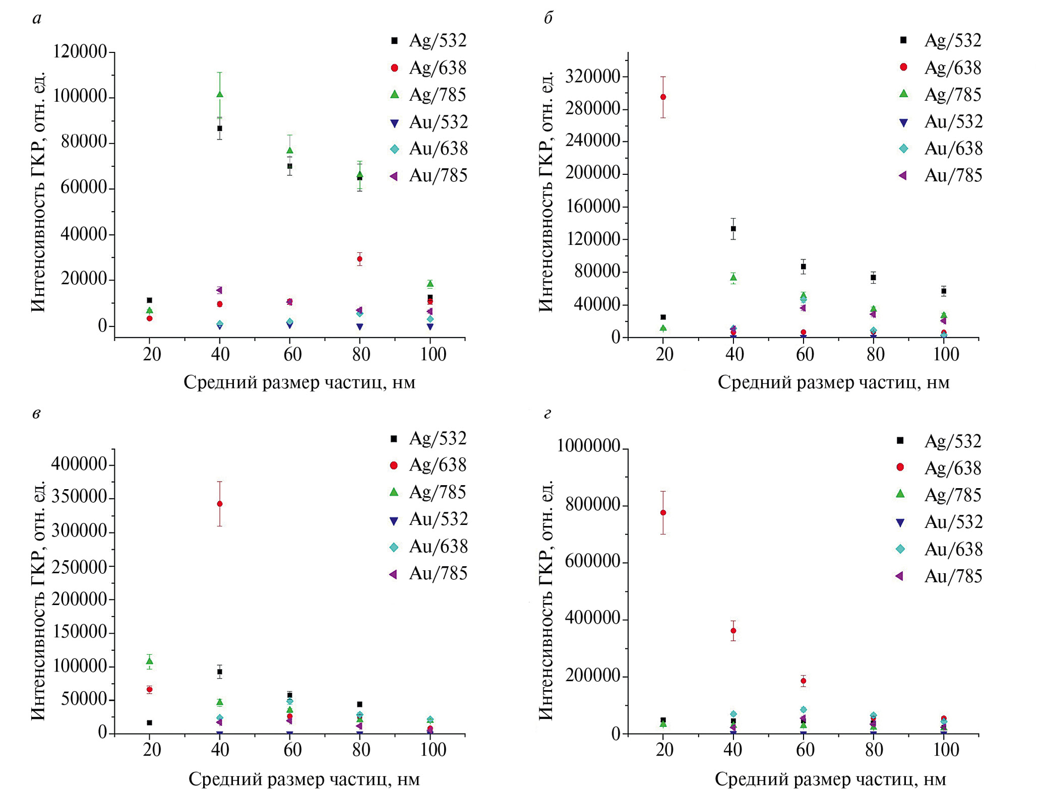
В результате опытов проанализировано 32 типа различных ГКР-подложек, полученных в результате иммобилизации частиц из перечисленных в табл. 1 золей на поверхность кремния, оксида кремния, стекла и алюминиевой фольги. Результаты представлены на рис. 4 и в табл. 2.
Рис. 4. Интенсивность ГКР-линии 1074 см-1 вещества 4-АВТ в зависимости от среднего размера частиц, их материала и длины волны возбуждающего лазерного излучения на: кремнии (а); оксиде кремния (б); стекле (в) и фольге (г)
Таблица 2. Интенсивность ГКР-линии 1074 см-1 вещества 4-АВТ в зависимости от среднего размера частиц, их материала и длины волны возбуждающего излучения
Средний размер частиц, нм | Интенсивность ГКР-линии 1074 см-1 вещества 4-АВТ, отн. ед. | |||||||||||
Кремний | Окись кремния | Стекло | Фольга | |||||||||
Длина волны возбуждающего излучения, нм | ||||||||||||
532 | 638 | 785 | 532 | 638 | 785 | 532 | 638 | 785 | 532 | 638 | 785 | |
Серебро | ||||||||||||
20 | 11300 ± 1120 | 3400 ± 400 | 6700 ± 720 | 25000 ± 2580 | 295000 ± 30100 | 11100 ± 1120 | 16400 ± 1580 | 65600 ± 6710 | 107500 ± 11000 | 48200 ± 4780 | 775400 ± 78100 | 32400 ± 3190 |
40 | 86700 ± 8950 | 9600 ± 1020 | 101200 ± 10760 | 133000 ± 14500 | 6500 ± 700 | 72400 ± 7340 | 92500 ± 9340 | 342600 ± 3590 | 46000 ± 4780 | 45200 ± 4600 | 361900 ± 37100 | 28900 ± 2800 |
60 | 70000 ± 7120 | 10700 ± 1150 | 76600 ± 8030 | 86700 ± 7990 | 6600 ± 700 | 50700 ± 5090 | 56700 ± 5700 | 25900 ± 2610 | 34900 ± 3510 | 45000 ± 4620 | 185900 ± 19500 | 27700 ± 2790 |
80 | 65000 ± 6950 | 29300 ± 1980 | 66200 ± 6740 | 73300 ± 7640 | 6600 ± 660 | 34700 ± 3540 | 44000 ± 4450 | 25900 ± 2610 | 20400 ± 2110 | 37000 ± 3820 | 55000 ± 5680 | 22600 ± 2380 |
100 | 12400 ± 1260 | 10700 ± 1090 | 18200 ± 1850 | 56700 ± 5780 | 6100 ± 660 | 26900 ± 2710 | 5300 ± 600 | 8000 ± 750 | 19900 ± 1990 | 22300 ± 2220 | 54000 ± 5670 | 19600 ± 2150 |
Золото | ||||||||||||
40 | 260 ± 20 | 1100 ± 150 | 15700 ± 1620 | 180 ± 20 | 11300 ± 1120 | 10500 ± 1100 | 0 | 24000 ± 2510 | 17300 ± 1870 | 1200 ± 130 | 69400 ± 7150 | 22300 ± 2600 |
60 | 760 ± 80 | 2000 ± 220 | 10500 ± 1130 | 320 ± 30 | 46300 ± 4520 | 36300 ± 3540 | 0 | 48600 ± 4950 | 19500 ± 2130 | 0 | 84800 ± 8800 | 54800 ± 5850 |
80 | 0 | 5600 ± 580 | 7000 ± 850 | 320 ± 30 | 9000 ± 1030 | 28700 ± 2960 | 0 | 28600 ± 2960 | 11600 ± 1250 | 0 | 65000 ± 6800 | 34600 ± 3660 |
100 | 0 | 3100 ± 350 | 6450 ± 710 | 320 ± 30 | 3300 ± 410 | 20800 ± 2120 | 0 | 21700 ± 2210 | 5300 ± 610 | 0 | 43000 ± 4900 | 23600 ± 2500 |
Из представленных данных видно, что ГКР-интенсивность 4-АВТ на всех поверхностях с серебряными наночастицами выше таковой для поверхностей с золотыми частицами. Следует отметить, что уровень интенсивности сигнала зависит не только от типа, размера наночастиц и длины волны возбуждающего излучения, но и от материала подложки. Это проявляется как в абсолютных значениях интенсивности линии 1074 см-1, так и в положении ее максимумов интенсивности относительно длины волны лазера (выделены зеленым и желтым цветом). Мы полагаем, что данный эффект, в первую очередь, связан с различной «упаковкой» частиц в агрегаты при высушивании на различных типах подложек.
Было установлено, что предел обнаружения анализируемого вещества составляет 10–8 М. С учетом того факта, что при мечении, например, антител на одну детектирующую молекулу таких меток можно посадить несколько, полученные подложки являются перспективными для использования их в аптасенсорах и иммунохимическом анализе.
По итогам исследования установлено, что для работы на лазерах с длиной волны возбуждающего излучения 532, 638 и 785 нм возможно создание универсальных ГКР-подложек на основе коллоидных растворов, полученных жидкофазным химическим методом со средним размером частиц серебра 40 нм и по методу Леопольда–Лендла со средним размером 20 нм. Показан высокий потенциал их применимости в аптасенсорах и иммунохимическом анализе. В дальнейших исследованиях мы планируем рассмотреть другие способы получения ГКР-поверхностей и разработать на их основе высокочувствительные оптические сенсоры для детектирования биологических объектов.
Исследование выполнено при поддержке Российского научного фонда (проект № 19-72-30003).
About the authors
A. Yu. Subekin
Moscow Institute of Physics and Technology
Email: kukushvi@mail.ru
Russian Federation, Dolgoprudny
T. E. Pylaev
Saratov Scientific Center of the Russian Academy of Sciences; Razumovsky Saratov State Medical University of the Ministry of Health of the Russian Federation
Email: kukushvi@mail.ru
Russian Federation, Saratov; Saratov
V. I. Kukushkin
Osipyan Institute of Solid-State Physics of the Russian Academy of Sciences
Author for correspondence.
Email: kukushvi@mail.ru
Russian Federation, Chernogolovka
E. V. Rudakova
Federal Research Center for Problems of Chemical Physics and Medicinal Chemistry of the Russian Academy of Sciences
Email: kukushvi@mail.ru
Russian Federation, Chernogolovka
B. N. Khlebtsov
Saratov Scientific Center of the Russian Academy of Sciences
Email: kukushvi@mail.ru
Russian Federation, Saratov
References
- Федеральный закон № 492 от 30 декабря 2020 г.
- https://emergency.cdc.gov/agent/agentlist-category.asp.
- https://www.who.int/health-topics/biological-weapons.
- Конвенция о запрещении биологического и токсинного оружия от 10 апреля 1972 г.
- https://стопкоронавирус.рф.
- Darwish I.A. // Int. J. Biomed. Sci. 2006. V. 2. P. 217.
- Bojorge R.N., Salgado A.M., Valdman B. // Braz. J. Chem. Eng. 2009. V. 26. No. 2. P. 227.
- Zhou L., Zhou J., Feng Z. et al. // Analyst. 2016. V. 141. P. 2534.
- Lim C.Y., Granger J.H., Porter M.D. // Analyt. Chim. Acta X. 2019. V. 1. Art. No. 100002.
- Kamorachaia K., Sakamoto K., Laochareonsukc R. // RSC Advances. 2016. V. 6. P. 97791.
- Byzova N.A., Zvereva E.A., Zherdev A.V. et al. // Analyt. Chim. Acta. 2011. V. 701. No. 2. P. 209.
- Dzantiev B.B., Urusov A.E., Zherdev A.V. // Biotechnol. Acta. 2013. V. 6. No. 4. P. 94.
- Leopold N., Lendl B. // J. Phys. Chem. B. 2003. V. 107. P. 5723.
- Крутяков Ю.А., Кудринский А.А., Оленин А.Ю., Лисичкин Г.В. // Усп. химии. 2008. Т. 77. № 3. С. 242.
- Lee P.C., Meisel D. // J. Phys. Chem. 1982. V. 86. P. 3391.
- Лисичкин Г.В. Модифицированные кремнеземы в сорбции, катализе и хроматографии. М.: Химия, 1986. 247 с.
- Чукин Г.Д. Строение оксида алюминия и катализаторов гидрообессеривания. Механизмы реакций. М.: Тип. «Паладин»: Принта, 2010. 288 с.
- Копицын Д.С., Котелев М.С., Зиангирова М.Ю. и др. // Башкир. хим. журн. 2014. Т. 21. № 4. С. 104.
- Zheng Y., Zhong X., Li Zh., Xia Y. // Part. Part. Syst. Charact. 2014. V. 31. P. 266.
- Khlebtsov B.N., Tumskiy R.S., Burov A.M. et al. // ACS Appl. Nano Mater. 2019. V. 2. No. 8. P. 5020.
- Zavyalova E., Ambartsumyan O., Zhdanov G. et al. // Nanomaterials. 2021. V. 11. No. 6. P. 1394.
- Кукушкин В.И., Астраханцева А.С., Морозова Е.Н. // Изв. РАН. Сер. физ. 2021. T. 85. № 2. С. 182; Kukushlin V.I., Astrakhantseva A.S., Morozova E.N. // Bull. Russ. Acad. Sci. Phys. 2021. V. 85. No. 2. P. 133.
- Canpean V., Astilean S. // Spectrochim. Acta Part A. 2012. V. 96. P. 862.
Supplementary files







