Характеристики распределенной локационной системы со сверхширокополосным зондирующим сигналом
- Авторы: Кулагин В.В.1, Валуев В.В.2,3, Корниенко В.Н.4, Черепенин В.А.4
-
Учреждения:
- ФГБОУ ВО “Московский государственный университет им. М. В. Ломоносова”, Государственный астрономический институт им. П. К. Штернберга
- ФГБОУ ВО “Национальный исследовательский ядерный университет “МИФИ”
- ЗАО Научно-технический центр “Модуль”
- ФГБУ науки “Институт радиотехники и электроники им. В. А. Котельникова Российской академии наук”
- Выпуск: Том 88, № 1 (2024)
- Страницы: 100-106
- Раздел: Волновые явления: физика и применения
- URL: https://journals.rcsi.science/0367-6765/article/view/264558
- DOI: https://doi.org/10.31857/S0367676524010187
- EDN: https://elibrary.ru/RZNZPK
- ID: 264558
Цитировать
Полный текст
Аннотация
С помощью численных моделирований исследованы характеристики сверхширокополосной распределенной зондирующей системы для различных конфигураций сети и предложена ее оптимальная конфигурация. Показано, что разрешения по дальности и поперечной координате определяются характеристиками зондирующего импульса и могут достигать 2—3 сантиметров, что соответствует эффективному угловому разрешению в несколько десятков микрорадиан.
Полный текст
ВВЕДЕНИЕ
Ключевой тенденцией развития современных радиолокационных систем является расширение полосы зондирующего сигнала, что при достаточной ее ширине позволяет достичь сантиметрового разрешения по дальности. Сверхширокополосные системы могут быть реализованы с помощью применения радиофотонных технологий. Во многих странах активно разрабатываются новые типы радиофотонных радаров, такие как радиолокаторы с низкой вероятностью перехвата сигналов, в которых несущая частота радиолокационных сигналов может не только перестраиваться в процессе работы в широких пределах, но и одновременно могут излучаться зондирующие сигналы на нескольких несущих из разных диапазонов [1—6]. Наибольшие перспективы имеют распределенные в пространстве зондирующие комплексы [6—8] с когерентной совместной обработкой информации (MIMO в англоязычной литературе – multiple inputs, multiple outputs – много входов, много выходов). Это позволяет реализовать наблюдение целей с разных точек зрения, улучшить обнаружение и распознавание сложных целей, повысить отношение сигнал/шум и разрешение по дальности и поперечным координатам (по углам).
Наиболее интересна реализация в радиофотонных радарах режима радиовидения, т.е. получения изображения лоцируемого объекта в СВЧ диапазоне и автоматическое распознавание целей в реальном масштабе времени [6—9]. Эти возможности радиолокационных комплексов особенно важны для дистанционного высокоточного определения параметров целей. Такие комплексы могут применяться во многих областях, где требуется точный и детальный контроль окружающего пространства, в частности, в городах, на аэродромах, в морских и речных портах, на автомобильных дорогах, на поле боя и др. В то же время обеспечение вышеперечисленных функций оказалось практически невозможным в современных зондирующих системах, построенных на основе традиционных радиоэлектронных компонентов. Все эти качества могут быть наиболее полно реализованы только в радиофотонных зондирующих комплексах с возможностью оптической синхронизации всех процессов в различных частях распределенной системы.
Точность оценки координат одиночной цели и разрешение двух близких целей являются одними из наиболее важных параметров распределенных зондирующих систем. Полная ошибка позиционирования цели оказывается обратно пропорциональна произведению числа приемников на число излучателей [10], что стимулирует увеличивать их число. Вместе с тем важным критерием для несовпадающих положений приемника и передатчика является учет геометрического фактора – уменьшения чувствительности времени задержки сигнала к смещению цели при ее приближении к линии, соединяющей передатчик и приемник. Действительно, если цель находится непосредственно на этой линии, то время задержки сигнала не меняется при смещении цели вдоль линии, и ошибка позиционирования растет. В этом смысле максимальную чувствительность времени задержки сигнала к смещению цели обеспечивает расположение приемника вблизи передатчика, чтобы регистрировать отраженный в сторону передатчика сигнал. К сожалению, в распределенной системе это условие не всегда может быть выполнено. В [10] показано, что для числа передатчиков три и более оптимальным расположением при наблюдении единственной цели является их равномерное распределение на окружности, в центре которой находится цель (все дуги между передатчиками имеют одинаковый угловой размер). То же относится и к расположению приемников, при этом число передатчиков и приемников может быть различным. Более того, также оптимальными будет размещение нескольких различных наборов приемников и передатчиков, если в каждом наборе они расположены оптимальным образом, причем угол поворота разных наборов относительно друг друга роли не играет. Для оптимальных конфигураций с меньшим набором элементов, чем три передатчика плюс три приемника, аналитические выражения отсутствуют, в то же время наибольший практический интерес представляет оценка характеристик системы для умеренного числа передатчиков и приемников, поэтому численные моделирования играют здесь особую роль. Целью настоящей работы является численное исследование характеристик распределенной системы для различных конфигураций сети, содержащей один излучатель и несколько приемников.
МАТЕМАТИЧЕСКАЯ МОДЕЛЬ РАСПРЕДЕЛЕННОЙ СЕТИ
Математическая модель трехмерной распределенной сети передающих и приемных станций и код для проведения численных моделирований распространения и отражения зондирующих импульсов от различных целей разработаны в [11, 12]. Алгоритм формирования отраженных сигналов базируется на следующих предположениях:
- Каждый элементарный объект, отражающий электромагнитную волну, представляет собой точечный рассеиватель (“блестящая точка”) с заданной ЭПР, которая может зависеть от направления рассеивания. Сложный объект моделируется набором точечных рассеивателей.
- Объект может перемещаться в трехмерном пространстве по заданному закону.
- Источник электромагнитного поля предполагается изотропным (сферическая волна) с произвольно сложным временным профилем.
- Количество приемников и их взаимное расположение может быть произвольным.
- Множественные переотражения сигнала от нескольких целей не учитываются.
Алгоритм численного симулятора реализован с использованием объектно-ориентированного программирования, где введены классы “источник”, “приемник”, “рассеиватель”. Такой подход позволяет не только легко модифицировать и расширять наборы исследуемых объектов и их параметров, но также и конструировать сложные отражающие объекты, необходимые для моделирования реальных целей и их окружения. Для обработки принимаемых сигналов использовался корреляционный алгоритм. С помощью усреднения выделялась огибающая функции корреляции и находились ее максимумы, временное положение которых определялось суммой расстояний “источник – рассеиватель” и “рассеиватель – приемник”. Решая систему уравнений эллипсоидов для источника, всех приемников и максимумов, можно получить координаты блестящих точек.
В численных моделированиях распределенной сети для простоты рассматривалась двумерная конфигурация системы (дальность и одна поперечная координата, которая соответствует, например, азимуту), при этом сеть содержала один излучатель и три приемника (все изотропные цели также были изотропными отражающими точками). Такой набор является минимальным для двумерной конфигурации. Действительно, если приемник измеряет время задержки отраженного от цели сигнала, то это означает, что цель должна лежать на эллипсе, в фокусах которого располагаются приемник и излучатель (если приемник и излучатель находятся в одной и той же точке, то эллипс вырождается в окружность). В идеальном случае без шумов три приемника позволяют определить единственную точку на плоскости, где и находится цель.
В моделированиях использовалась модель гауссовского аддитивного шума, интенсивность которого определялась реальными шумами в системе, что позволяло исследовать характеристики системы в зависимости от величины шума. Поскольку с шумами система из трех уравнений с тремя неизвестными могла не иметь решений, точка пересечения трех эллипсов искалась на сетке, размер ячейки которой (2 см в моделированиях) определял минимальную ошибку найденного решения. Такой метод нахождения решений обеспечивал высокую скорость, что в сочетании с радиофотонной реализацией оптимальных приемников [13] позволяет существенно снизить требования к вычислительной аппаратуре.
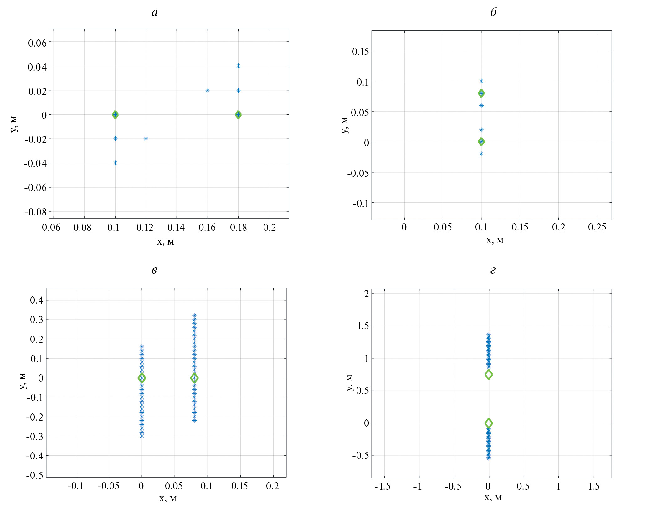
Для моделирований использовался импульс с несущей частотой 10 ГГц и полной длительностью 0.4 нс по уровню 1/е (рис. 1а). Характерный вид сигнала на выходе приемников для двух близко расположенных целей представлен без шума на рис. 1б, а на рис. 1в – с шумом. На рис. 1г показан сигнал на выходе корреляционной системы обработки. Величина шума во всех конфигурациях сети выбиралась таким образом, чтобы отношение сигнал/шум на всех приемниках составляло от 3 до 5—7 (несколько децибел). После приема отраженных сигналов проводилась их совместная корреляционная обработка и определялось наличие и положение целей. Для использованных параметров величина теоретического разрешения по дальности составляла 2—3 см.
Рис. 1. Характерный вид сигналов (амплитуда в относительных единицах, время в секундах) на выходах излучателя, приемника и системы обработки для двух близко расположенных целей: выходной сигнал излучателя (а), выходной сигнал приемника в отсутствие шума (б), выходной сигнал приемника с шумом (область сигнала выделена эллипсом) (в), сигнал на выходе корреляционной системы обработки (г).
КОНФИГУРАЦИЯ РАСПРЕДЕЛЕННОЙ СИСТЕМЫ И ОШИБКА ПОЗИЦИОНИРОВАНИЯ ЦЕЛИ
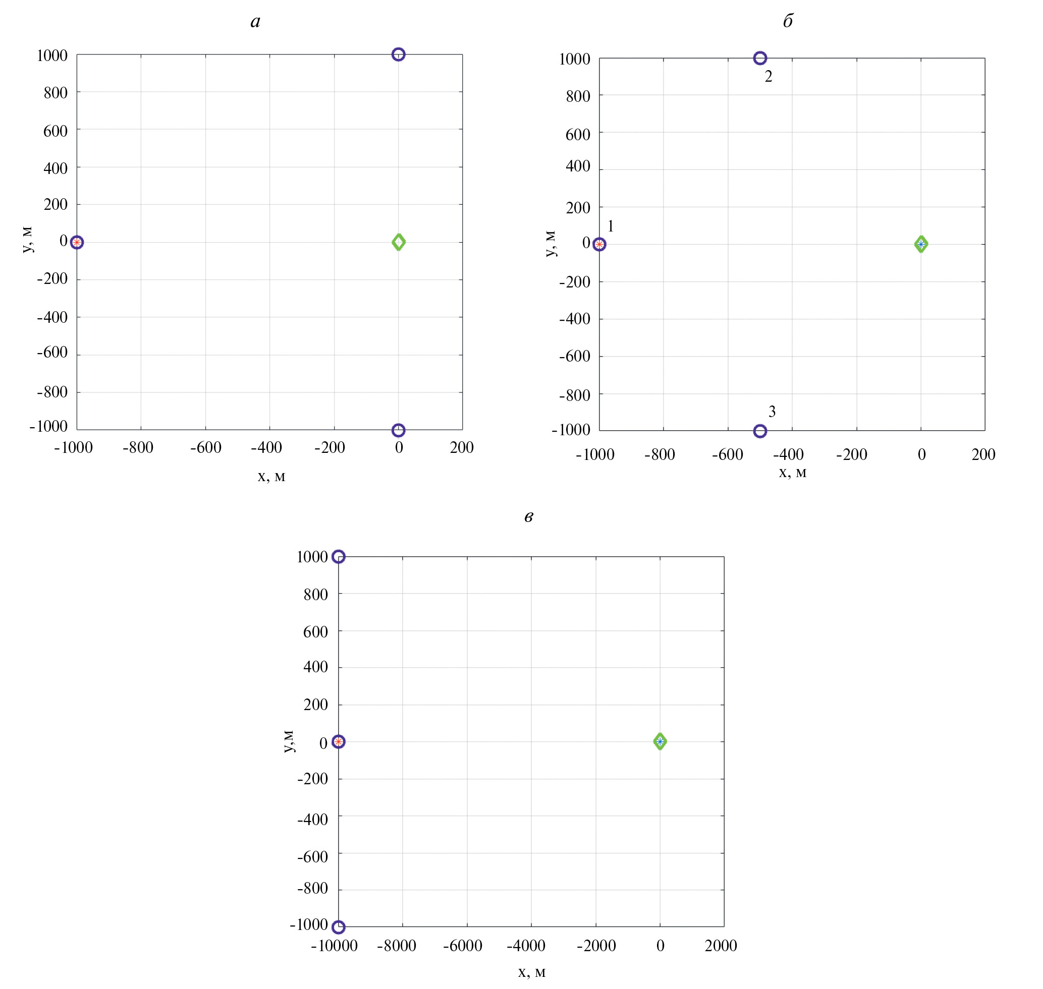
Были исследованы три варианта размещения приемных станций – два с близкой целью, когда расстояния между излучателем и приемниками сравнимы с расстоянием до цели (1 км, рис. 2а, б), и один с относительно удаленной целью, когда расстояние до цели (в данном случае 10 км) значительно (как минимум, на порядок) больше, чем расстояния между излучателем и приемниками (1 км, рис. 2в). Расположение приемников было симметричным относительно оси х, излучатель также располагался на оси х, цель находилась вблизи начала координат.
Рис. 2. Варианты размещения передающей и приемных станций: расстояние между излучателем и приемниками сравнимы с расстоянием до цели (а), (б), расстояние до цели на порядок больше, чем расстояния между излучателем и приемниками (по осям х и у разный масштаб) (в). Синие окружности – приемники, красная звезда – излучатель, зеленый ромб – истинное положение цели, синяя звезда (внутри ромба на рис. б и в) – формируемая по сигналам приемников отметка цели.
Численные моделирования показали, что одиночная цель хорошо определяется для всех вариантов размещения приемных станций. Отметка о цели имеет размер 2 см по оси у и 2 см по оси х даже с шумом (рис. 3а) для вариантов размещения на рис. 2а и 2б, т.е. фактически определяется размером ячейки сетки), а для конфигурации системы на рис. 2в размер отметки по оси у увеличивается до 56 см без шума (центр отметки совпадает с положением цели). Наличие шума в последнем случае приводит к укорочению отметки до 46—52 см и смещению ее центра относительно истинного положения цели до 10 см по вертикали (рис. 3б), при этом размер отметки по оси х остается прежним, т.е. определяется ячейкой сетки (смещения и увеличения отметки о цели нет). Таким образом, для одиночной цели в вариантах 2а и 2б (близкая цель) ошибка по дальности и поперечной координате составляют 2 см (что соответствует эффективной ошибке по азимуту 40 микрорадиан с учетом дальности до цели). В варианте 2в ошибка по углу возрастает до 56 микрорадиан, причем возникает смещение центра отметки цели по углу на 10 микрорадиан (необходимо отметить, что в моделированиях общий размер приемной системы по оси у составляет 2 км, что и определяет такое эффективное угловое разрешение). Очевидно, что последний случай вряд ли окажется пригодным для реализации режима радиовидения цели.
Рис. 3. Ошибка позиционирования одиночной цели: близкая цель (конфигурации на рис. 2а и 2б) (а); далекая цель (конфигурация на рис. 2в) (б).
ПРОСТРАНСТВЕННОЕ РАЗРЕШЕНИЕ ДВУХ БЛИЗКИХ ЦЕЛЕЙ
Разрешающая способность распределенной зондирующей сети также исследовалась с помощью численных моделирований. Две цели удалялись друг от друга, пока не фиксировалось появление провала в функции корреляции на выходе системы обработки сигнала, что говорило о различении двух близких отражающих точек, при этом запаздывания сигналов определялись по положениям максимумов корреляционной функции. Для варианта на рис. 2а две близкие цели с одинаковой эффективной поверхностью рассеяния разрешались, если расстояние между ними становилось 8 см и более при их расположении как вдоль оси х, так и вдоль оси у, причем разрешение с шумом и без шума было приблизительно одинаковым (рис. 4а и 4б, разрешение с шумом). При меньшем расстоянии между целями отображалась только одна отметка, находящаяся между истинными положениями целей. Для варианта на рис. 2б разрешение по у оставалось прежним, а разрешение по х ухудшалось до 9 см (около 10%). Эти значения согласуются с оценкой возможного разрешения, полученной исходя из длительности и формы зондирующего импульса.
Рис. 4. Разрешение двух близких целей с одинаковой эффективной поверхностью рассеяния: конфигурация на рис. 2а (а и б); конфигурация на рис. 2в (в и г); цели расположены вдоль оси х (а и в); цели расположены вдоль оси у (б и г).
Хорошее разрешение по у обеспечивается сильным разнесением приемников по этой оси. На качественном уровне это может рассматриваться как эффективное измерение дальности не только по оси х, но и по оси у с соответствующим разрешением, определяемом характеристиками импульса. Поэтому распределенная система имеет намного лучшее разрешение по поперечным координатам по сравнению с одиночными локаторами с фазированной антенной решеткой (ФАР), и только при увеличении размера ФАР до поперечного (по оси у) размера распределенной системы разрешения по у оказываются сравнимы. При этом необходимо подчеркнуть, что в случае распределенной системы общее количество приемников может быть на порядки меньшим, чем для ФАР (так называемая разреженная ФАР).
Для варианта на рис. 2в разрешение близких целей, расположенных вдоль оси х, осуществляется при расстоянии между ними 9 см (рис. 4в), что приблизительно соответствует вариантам на рис. 2а и 2б. Для целей, расположенных вдоль оси у, разрешение наступает при расстоянии между ними 75 см (рис. 4г), при этом смещение центра отметок целей по вертикали достигает в последнем случае 40 см, а длина отметки составляет около 54 см, как и для одиночной цели. Замечен эффект мерцания, когда при раздвижении целей появляется то одна, то две отметки, пока расстояние между целями не станет достаточно большим, что связано с интерференцией отраженных от целей импульсов. Усложняя процедуру обработки, в частности, учитывая ширину корреляционного пика от двух целей или определяя корреляцию принятого сигнала не с одиночным импульсом, а с двойным импульсом, который является суммой двух одиночных отраженных импульсов от близких целей с определенным расстоянием между ними, разрешение можно еще повысить при умеренных шумах.
ЗАКЛЮЧЕНИЕ
В работе исследованы характеристики распределенной сети передающих и приемных станций и показано, что такая система является эффективным средством обнаружения и различения целей, в том числе состоящих из набора близких блестящих точек. Надежное распознавание целей с малой эффективной поверхностью рассеяния и определение их параметров может базироваться на построении распределенной многоконтурной сети достаточного размера, состоящей из приемников и передатчиков, каждый из которых будет иметь ограниченный радиус действия. При этом общие высокие характеристики внутри каждого контура и на всей площади распределенной сети будут достигаться требуемым количеством ее контуров и узлов. Размер и параметры отдельного контура (мощность излучателей, чувствительность приемников) определяются характеристиками цели, при этом мощность передатчиков может быть снижена при уменьшении размеров отдельного контура. Кроме того, возможно построение неоднородной сети, когда размер контура выбирается в зависимости от окружающей обстановки (городская застройка – поле или лес) и меняется при переходе от одной части сети к другой. Также в урбанизированном окружении возможно применение приемников, расположенных на беспилотных летательных аппаратах, что существенно повышает мобильность и другие характеристики системы, а также возможность ее адаптации под возникающие потребности (координаты мобильных приемников могут определяться с помощью стационарных узлов сети).
Для оптимальной конфигурации распределенной сети (близкая цель) ошибка позиционирования одиночной цели по дальности и поперечной координате определяется шириной полосы зондирующего импульса и может достигать 2—3 сантиметров для полосы порядка 3 ГГц. При этом разрешение двух близких целей оказывается несколько хуже (8—10 см) и зависит еще и от других параметров зондирующего импульса (форма и т.п.). Эффективное угловое разрешение такой системы может составлять 40 микрорадиан и лучше, что значительно превышает угловые разрешения современных зондирующих комплексов с ФАР. При этом сети со сравнимыми размерами и с симметричным относительно направления на цель расположением приемных станций имеют близкие характеристики, если цель находится на одинаковой дальности. Для дальних целей разрешение по дальности по-прежнему определяется шириной полосы зондирующего импульса, а разрешение по поперечной координате существенно зависит от размера распределенной сети. Существенно, что использованный алгоритм вычисления положения цели является устойчивым, т.е. наличие шума слабо влияет на обнаружение и различение целей при отношении сигнал/шум порядка 6—10 дБ и выше.
Работа поддержана Российским фондом фундаментальных исследований (проект № 19-29-06108-мк).
Об авторах
В. В. Кулагин
ФГБОУ ВО “Московский государственный университет им. М. В. Ломоносова”, Государственный астрономический институт им. П. К. Штернберга
Автор, ответственный за переписку.
Email: victorvkulagin@yandex.ru
Россия, Москва
В. В. Валуев
ФГБОУ ВО “Национальный исследовательский ядерный университет “МИФИ”;ЗАО Научно-технический центр “Модуль”
Email: victorvkulagin@yandex.ru
Россия, Москва; Москва
В. Н. Корниенко
ФГБУ науки “Институт радиотехники и электроники им. В. А. Котельникова Российской академии наук”
Email: victorvkulagin@yandex.ru
Россия, Москва
В. А. Черепенин
ФГБУ науки “Институт радиотехники и электроники им. В. А. Котельникова Российской академии наук”
Email: victorvkulagin@yandex.ru
Россия, Москва
Список литературы
- Ghelfi P., Laghezza F., Scotti F. et al. // Nature. 2014. V. 507. P. 341.
- Ghelfi P., Laghezza F., Scotti F. et al. // J. Light. Technol. 2016. V. 34. No. 2. P. 500.
- Zhang F., Guo Q., Pan S. // Sci. Reports. 2017. V. 7. No. 1. P. 1.
- Xiao X., Li S., Peng S. et al. // Opt. Express. 2018. V. 26. No. 26. P. 33783.
- Serafino G., Scotti F., Lemb L. et al. // J. Light. Technol. 2019. V. 37. No. 2. P. 643.
- Pan S., Zhang Y. // J. Light. Technol. 2020. V. 38. P. 5450.
- Fan B., Zhang F., Ma C. et al. // IEEE Photon. Technol. Lett. 2020. V. 32. No. 21. P. 1397.
- Dong J., Zhang F., Jiao Z. et al. // Opt. Express. 2020. V. 28. No. 13. P. 19113.
- Zhang F., Guo Q., Wang Z. et al. // Opt. Express. 2017. V. 25. No. 14. P. 16274.
- Godrich H., Haimovich A.M., Blum R.S. // IEEE Trans. Inform. Theory. 2010. V. 56. P. 2783.
- Корниенко В.Н., Кулагин В.В. // Сб. тр. “Волны-2021. Физика и применение микроволн”. М., 2021. С. 13.
- Корниенко В.Н., Кулагин В.В. // Сб. тр. “Волны-2022. Физика и применение микроволн”. М., 2022. С. 33.
- Кулагин В.В., Валуев В.В., Буркитбаев Д. и др. // Изв. РАН. Сер. физ. 2023. Т. 87. № 1. C. 49; Kulagin V.V., Valuev V.V., Burkitbaev D. et al. // Bull. Russ. Acad. Sci. Phys. 2023. V. 87. No. 1. P. 40.
Дополнительные файлы







