Электронная пушка с автоэмиссионным катодом на основе углеродных нанотрубок для мощного клистрона с распределенным взаимодействием миллиметрового диапазона
- Авторы: Родякин В.Е.1, Аксенов В.Н.2
-
Учреждения:
- ФГБУ науки “Институт проблем лазерных и информационных технологий Российской академии наук” – филиал ФГУ “Федеральный научно-исследовательский центр “Кристаллография и фотоника” Российской академии наук”
- ФГБОУ ВО “Московский государственный университет имени М. В. Ломоносова”
- Выпуск: Том 88, № 1 (2024)
- Страницы: 85-88
- Раздел: Волновые явления: физика и применения
- URL: https://journals.rcsi.science/0367-6765/article/view/264553
- DOI: https://doi.org/10.31857/S0367676524010158
- EDN: https://elibrary.ru/SABDGW
- ID: 264553
Цитировать
Полный текст
Аннотация
Представлены результаты исследования возможности применения автоэмиссионных катодно-сеточных узлов в электронно-оптической системе клистрона с распределенным взаимодействием миллиметрового диапазона. Приводятся результаты теоретического анализа разработанной конструкции электронной пушки с высокой компрессией.
Полный текст
ВВЕДЕНИЕ
Полевая эмиссия холодных катодов является ведущим кандидатом на замену действующих термоэлектронных источников электронов в компактных терагерцовых электровакуумных усилителях и генераторах. Основой развития современных компактных вакуумных микроэлектронных систем являются холодные автоэлектронные катоды на основе массивов углеродных нано-трубок (УНТ), которые имеют несколько преимуществ перед термокатодами: отсутствие цепи накала, безинерционность, малые размеры, малый разброс эмитируемых электронов по энергиям. Тем не менее все еще существуют различные проблемы, мешающие созданию вакуумных устройств с холодным катодом из УНТ. Основной из них является трудность достижения стабильной плотности тока с протяженных катодов выше 1 А‧см–2. Однако в работе [1] сообщается о разработке катода на УНТ с плотностью тока 4.5 А‧см–2.
В обычных сеточных триодах с плоским холодным катодом из УНТ неоднородные распределения электрического поля часто появляются на поверхности катода. Такие устройства демонстрируют большие плотности эмиссионного тока непосредственно под сеткой из-за более высокого локального электрического поля с уменьшенным током эмиссии в центре отверстий сетки из-за более низкого эффективного электрического поля. В результате возникает большой ток перехвата и, следовательно, потеря электронов. Экспериментальные результаты показали, что низкая прозрачность луча может привести к малому току эмиссии, высоким потерям сетки, образованию дуг и нежелательной деформации сетки [2, 3].
В работе [4] была предложена новая архитектура с полевой эмиссией и двумя сетками на основе холодного катода УНТ. УНТ синтезируются непосредственно на поверхности катода. Первая разделительная сетка прикреплена к поверхности катода УНТ для формирования катодной матрицы УНТ. Вторая разделительная сетка отвечает за контролируемое извлечение электронов из эмиттеров УНТ. Распределение электрического поля на поверхности катода значительно лучше по сравнению с обычными плоскими катодами. Такие триодные катоды являются весьма перспективными для использования в электронных пушках электровакуумных микроэлектронных приборов.
В настоящей работе представлены результаты теоретического исследования конструкции и достижимых параметров электронной пушки с триодным катодом на основе УНТ для мощного клистрона с распределенным взаимодействием (КРВ) на частоту 105 ГГц при ускоряющем напряжении 15 кВ. Численные исследования проводились с использованием программного комплекса PARS [5]. В результате исследований и оптимизации параметров была разработана конструкция электронно-оптической системы прибора, обеспечивающая формирование электронного потока силой тока 200 мА и его дальнейшую транспортировку с коэффициентом токопрохождения 100% через систему взаимодействия КРВ.
КОНСТРУКЦИЯ ЭЛЕКТРОННОЙ ПУШКИ
Для детального исследования электронно-оптической системы с катодом на основе УНТ необходим весьма трудоемкий численный анализ с помощью трехмерных программ, позволяющий смоделировать как сам процесс автоэлектронной эмиссии, так и последующую динамику эмитированных электронов в приборе в условиях магнитной фокусировки. Однако для проведения оценочных расчетов можно разделить электронно-оптическую систему на два отдельных модуля. В качестве первого модуля будем рассматривать диодную часть прибора, которая состоит из непосредственно матричного УНТ катода и двух сеток, подобно той конструкции, что была описана в работе [4]. В качестве второго модуля будем рассматривать остальную часть прибора, включающую фокусирующий электрод, анод, магнитно-фокусирующую систему и систему взаимодействия. За счет экранирующего действия сеток первый модуль можно рассматривать отдельно, считая, что электростатические поля из второго модуля не проникают в область первого и не оказывают заметного влияния на движение электронов и автоэлектронную эмиссию в первом модуле. Характеристики электронов на второй сетке диодной пушки, включая плотность тока эмиссии и угловой разброс, могут быть получены либо в результате 3D численного анализа, либо по результатам экспериментальных измерений. В качестве левой границы второго модуля выступает вторая сетка триода, с границы которой эмитируются электроны с заданными плотностью тока и угловым разбросом.
Электронно-оптическая система выбранного для оценки прибора должна обеспечить транспортировку сплошного цилиндрического электронного пучка с током 200 мА в пролетном канале с радиусом 200 мкм. Поскольку требование компактности разрабатываемого КРВ ограничивает применение мощных соленоидов, то для фокусировки сформированного электронного пучка предполагается использовать систему на постоянных магнитах с индукцией магнитного поля на оси прибора Bz = 0.9 Тл. Плотность тока в таком электронном пучке должна составлять около 200 А‧см–2. При расчетах предполагалось, что катодный модуль обеспечивает плотность тока 2 А‧см–2. Поэтому разрабатываемая электронная пушка должна формировать электронный пучок с коэффициентом компрессии 120. Помимо очень высокой компрессии сложность задачи состояла в том, что катодно-сеточный узел имеет плоскую форму и не позволяет использовать классическую сходящуюся оптику пушки Пирса. Также при продвижении в миллиметровый и субмиллиметровый диапазоны проблемы формирования и фокусировки плотных электронных потоков усложняются значительным уменьшением размеров электронно-оптических систем, что затрудняет изготовление электродов электронной пушки с необходимой точностью. По этой причине в конструкции электронной пушки не использовались элементы со сложной для изготовления конфигурацией. Форма электродов пушки и осевое распределение магнитного поля были оптимизированы в результате многочисленных расчетов с помощью программы PARS. В силу аксиальной симметрии конструкции расчеты проводились в квазитрехмерном приближении с учетом радиальной и продольной компонент фокусирующего магнитного поля и электрических полей, а также с учетом всех трех компонент импульса электронов. При этом учитывалось влияние собственного пространственного заряда электронного пучка. При расчетах потенциал фокусирующего электрода и второй сетки, с поверхности которой осуществляется эмиссия электронов, относительно катода составлял 750 В.
РЕЗУЛЬТАТЫ ЧИСЛЕННЫХ ИССЛЕДОВАНИЙ
На рис. 1 представлены продольное распределение осевого магнитного поля (а), конструкция электронной пушки, эквипотенциали и траектории электронов при начальном нулевом угловом разбросе электронов, эмитированных с катодно-сеточного узла. Катодно-сеточный узел частично экранирован от фокусирующего магнитного поля. Величина индукции продольной компоненты магнитного поля на поверхности второй сетки равна 6.5 мТл. При данных параметрах обеспечивается формирование электронного пучка с максимальным радиусом 170 мкм и его 100% токопрохождение через канал транспортировки прибора.
Рис. 1. Распределение продольной компоненты фокусирующего магнитного поля на оси (а). Рассчитанные в программе PARS эквипотенциали и траектории электронов при нулевом угловом разбросе эмитированных электронов (б).
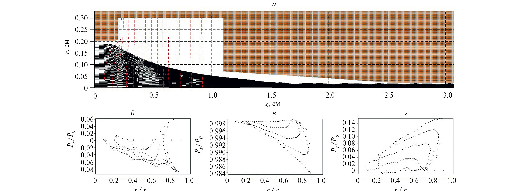
Данная конструкция была исследована на устойчивость фокусировки к угловому разбросу эмитированных с катодно-сеточного узла электронов. При этом предполагалось, что угловое распределение является однородным, что соответствует результатам, полученным в работе [6]. В результате исследований было установлено, что конструкция позволяет обеспечить 100% токопрохождение в приборе при условии, что начальный угловой разброс эмитированных электронов не превышает 2°. Большой коэффициент компрессии в данной конструкции приводит к сильному влиянию аберрации со стороны электродов электронной пушки и снижает стабильность фокусировки. На рис. 2а приведены результаты расчета траекторий электронов пучка для случая углового разброса эмитированных электронов 2°. Максимальный радиус сформированного электронного пучка составляет 190 мкм. Также на рис. 2 представлены распределения радиальной (б), продольной (в), и угловой (г) компонент импульсов электронов в выходном сечении электронной пушки. Величина поперечного эмиттанса пучка, характеризующего его фазовый объем, в этом сечении составляет 40 мрад‧мм.
Рис. 2. Рассчитанные в программе PARS эквипотенциали и траектории электронов (а), распределения продольной (б), поперечной (в) и угловой (г) компонент импульсов электронов в электронном пучке в выходном сечении электронной пушки при угловом разбросе эмитированных электронов 2°.
Для проверки полученных с помощью комплекса программ PARS результатов расчета был проведен трехмерный численный анализ формирования и транспортировки электронного пучка через систему взаимодействия с помощью программы CST Studio Suite [7]. Для этого в среде этой программы была построена теоретическая модель разработанной электронной пушки. На рис. 3а представлен разрез модели электронной пушки без магнитной фокусирующей системы. Траектории электронов, установившиеся в результате итераций по пространственному заряду, для случая начального углового разброса 2° представлены на рис. 3б. Изображенные на рисунке траектории показывают, что в статическом режиме в системе взаимодействия клистрона не происходит оседания электронов на стенки трубы дрейфа. Максимальный радиус сформированного электронного пучка составил 190 мкм, что полностью согласуется с результатами, полученными с помощью программы PARS.
Рис. 3. Конструкция электронной пушки (а) и траектории электронов, рассчитанные с помощью программы CST Studio (б).
ЗАКЛЮЧЕНИЕ
В результате исследований разработана конструкция частично магнитно-экранированной электронной пушки с катодом на УНТ с коэффициентом компрессии, равным 120, обеспечивающая формирование и 100% токопрохождение электронного потока с силой тока 200 мА через систему взаимодействия прибора в статическом режиме. Значение полной энергии полученного электронного потока, равное 3 кВт, при разработке эффективной конструкции системы взаимодействия КРВ позволит получить выходную мощность клистрона от 300 до 800 Вт.
Работа выполнена в рамках темы государственного задания ФНИЦ “Кристаллография и фотоника” РАН (в части “Эффективные мультиспектральные источники излучения и технологии на их основе”).
Об авторах
В. Е. Родякин
ФГБУ науки “Институт проблем лазерных и информационных технологий Российской академии наук” – филиал ФГУ “Федеральный научно-исследовательский центр “Кристаллография и фотоника” Российской академии наук”
Автор, ответственный за переписку.
Email: vrodyakin@mail.ru
Россия, Шатура
В. Н. Аксенов
ФГБОУ ВО “Московский государственный университет имени М. В. Ломоносова”
Email: vrodyakin@mail.ru
Физический факультет и Международный лазерный центр
Россия, МоскваСписок литературы
- Wei W., Yixiong Z., Xinyu Y. et al. // Proc. IVEC-2015. (Beijing, 2015) P. 1.
- Chen Q., Yuan X., Zhang Y. et al. // J. Nanoelectron. Optoelectron. 2018. V. 13. P. 1265.
- Yuan X., Zhang Y., Yang H. et al. // IEEE Electron Device Lett. 2015. V. 36. P. 399.
- Field M., Kimura T., Atkinson J. et al. // IEEE Trans. Electron Devices. 2018. V. 65. No. 6. P. 2122.
- Родякин В.Е., Пикунов В.М., Аксенов В.Н. // Журн. радиоэлектрон. 2019. № 6. С. 21.
- Iacobucci S., Fratini M., Rizzo A. et.al. // J. Appl. Phys. 2016. V. 120. Art. No. 164305.
- https://www.3ds.com/products-services/simulia/products/cst-studio-suite.
Дополнительные файлы





