Formation of quasi unipolar pulses in nonequilibrium magnetized plasma channels
- Authors: Bogatskaya A.V.1,2, Volkova E.A.3, Popov A.M.1,2
-
Affiliations:
- Lomonosov Moscow State University
- Lebedev Physical Institute of the Russian Academy of Sciences
- Lomonosov Moscow State University, Skobeltsyn Institute of Nuclear Physics
- Issue: Vol 88, No 1 (2024)
- Pages: 74-79
- Section: Wave Phenomena: Physics and Applications
- URL: https://journals.rcsi.science/0367-6765/article/view/264550
- DOI: https://doi.org/10.31857/S0367676524010135
- EDN: https://elibrary.ru/SAHTOE
- ID: 264550
Cite item
Full Text
Abstract
The possibility of controlling both the spectral and polarization properties of THz pulses propagating in strongly nonequilibrium extended magnetized plasma channels formed by intense UV femtosecond laser pulses in nitrogen (air) is analyzed. The formation of quasiunipolar pulses with a nonzero electric area and a specific state of polarization is discussed. The transformation of such pulses upon leaving the region of a static magnetic field is analyzed.
Full Text
ВВЕДЕНИЕ
Источники ТГц-излучения в настоящее время широко используются в науке и технике [1–3]. Различные приложения в спектроскопии и материаловедении [1, 4–6] предполагают возможность изменять не только энергию терагерцового импульса, но и его частоту, спектральную ширину и состояние поляризации. Последнее время особый интерес представляют также (квази)униполярные импульсы, характеризующиеся ненулевой площадью электрического импульса [7–10] и вызывающие однонаправленное воздействие на заряженные частицы [11, 12].
Униполярные импульсы, или импульсы с ненулевой площадью электрического импульса, были впервые рассмотрены в [13], где площадь импульса была введена как интегрированная по времени напряженность электрического поля в любой точке пространства:
(1)
Для (квази)униполярных импульсов интеграл (1) имеет ненулевое значение. Такое определение площади импульса широко используется в ряде последних работ [8, 11, 12, 14–16]. С другой стороны, площадь импульса можно ввести и иначе, как интеграл по пространственным координатам [17]:
(2)
Очевидно, что эти определения не эквивалентны друг другу. Единственным исключением является одномерное распространение электромагнитной волны в недиспергирующей среде. Действительно, любая функция (c – скорость света в вакууме (или в среде без дисперсии) от запаздывающего/опережающего аргумента ) является решением волнового уравнения второго порядка:
(3)
Это означает, что для рассматриваемого случая интегралы (1) и (2) связаны соотношением:
(4)
не зависят от времени и пространственной координаты и могут иметь ненулевое значение даже в свободном пространстве.
В трехмерной геометрии ситуация является более сложной. Импульсы с ненулевой площадью могут возникать в различных средах [14–16, 18–22], в то время как в свободном пространстве распространение таких импульсов невозможно [23]. В частности, в [24] было показано, что степень униполярности импульса быстро падает после выхода импульса с ненулевой площадью в свободное пространство из плазменного канала. Поскольку к настоящему времени большая часть теоретических исследований, в которых анализировалось образование и распространение униполярных импульсов, была выполнена для одномерной геометрии, многие из полученных результатов должны быть дополнительно подтверждены для трехмерного случая.
МОДЕЛЬ
В основе данного исследования лежит предложенный в [17, 25] способ управления спектральными и поляризационными характеристиками ТГц-импульса, распространяющегося в канале фотоионизационной неравновесной замагниченной плазмы, создаваемой мощным фемтосекундным УФ лазерным импульсом. Основная идея основана на возможности усиления ТГц-сигнала в плазменном канале с сильно неравновесной функцией распределения электронов по скоростям (ФРЭС) с пичковой структурой, если положение этого пика находится в области растущего с энергией транспортного сечения рассеяния [26, 27]. Такие растущие с энергией электронов транспортные сечения рассеяния в практически важном диапазоне энергий в несколько электронвольт характерны для тяжелых инертных газов, а также для молекулы азота. Дополнительное использование статического магнитного поля, направленного вдоль оси канала, вследствие возможного циклотронного резонанса позволяет перестраивать частоту усиливаемого ТГц-излучения, а также существенно изменять его поляризационные свойства [17, 25]. В отличие от плазменного канала в ксеноне, исследованного в [17, 28], азотная (или воздушная) плазма характеризуется большей величиной усиления ТГц-поля, но при этом гораздо более быстрой релаксацией первоначально сильно неравновесной ФРЭС, что обусловлено наличием низколежащих колебательных состояний молекулы азота. В [27] было показано, что время релаксации ФРЭС в азоте при атмосферном давлении не превышает 10–20 пс. В результате оказывается возможным усиление переднего фронта ТГц-импульса, в то время как его задняя часть не усиливается или даже поглощается. Как результат, оказывается возможным возникновение ТГц-импульсов с ненулевой электрической площадью и необычными поляризационными состояниями, которые не могут быть описаны привычными понятиями линейной, круговой или эллиптической поляризации.
В работе мы используем модель распространения ТГц-импульса в неравновесной замагниченной плазме, предложенную ранее в [17], для случая замагниченной плазмы в ксеноне. Она основана на самосогласованном решении трехмерного волнового уравнения второго порядка в цилиндрической (ρ, z) геометрии (ось z направлена вдоль оси канала) для напряженности электрического поля ТГц-импульса:
(5)
совместно с системой кинетических уравнений Больцмана для эволюции ФРЭС в различных пространственных точках канала:
(6)
Здесь — электрическое поле ТГц-импульса, — индукция статического магнитного поля, St(f ) — интеграл столкновений, включающий себя как упругие, так и неупругие столкновения,
(7)
– ток в плазме, индуцированный распространяющимся ТГц-импульсом, — концентрация электронов в канале, созданная импульсом УФ-излучения. Более детально уравнение Больцмана в двучленном приближении и конкретный вид интеграла столкновений в азотной плазме обсуждаются в [29]. Мы полагали также, что газ находится при атмосферном давлении (концентрация 2.5 ⋅ 1019 см–3) и температуре 0.025 эВ. ТГц-импульс на входе в канал полагался линейно поляризованным вдоль оси x и задавался в виде:
(8)
.
Здесь E0 — амплитуда электрического поля, ω0 — несущая частота, ρ0 — поперечный радиус импульса, zp — “полудлина” импульса, а z0 — положение его центра тяжести относительно лидирующего УФ-импульса, находящегося в точке z = 0. Важно отметить, что заданный импульс (8) характеризуется нулевой площадью Радиальное распределение электронной плотности в канале задавалось в виде:
(9)
Ниже мы полагали см–3. Для создания канала с такой концентрацией электронов необходима интенсивность излучения ∼1012 Вт/см2, причем плазма оказывается практически прозрачной для излучения, что позволяет сформировать протяженный канал с однородной вдоль его оси концентрацией электронов на длине не менее L = 30 см.
Начальная ФРЭС полагалась сферически симметричной и характеризовалась гауссовым распределением центрированным относительно энергии ε0 = 1.87 эВ (такая энергия соответствует трехфотонной ионизации молекулы кислорода излучением третьей гармоники титан-сапфирового лазера) и шириной ∆e = 0.1 эВ.
По аналогии с [17, 24] уравнение (5) решалось численно на сетке, двигающейся вместе с лидирующим УФ-импульсом, координата которого удовлетворяет условию z – ct = 0 в любой момент времени. Мы полагали ρ0 = 1.5 см, ω0 = 2 ⋅ 1012 с–1, параметр zp = 0.02356 см, что соответствует полудлительности импульса τp = zp / c ≈ 7.855 ⋅ 10–13 с. Начальное положение ТГц-импульса z0 = –5zp ≈ –0.117 см.
ОБСУЖДЕНИЕ РЕЗУЛЬТАТОВ
Использованные нами параметры начального импульса означают, что он содержит практически один период колебания поля волны. Именно такие короткие ТГц-импульсы были получены в недавних экспериментах с использованием двухцветного лазерного излучения [30–32]. Такие импульсы характеризуются широкой спектральной полосой. Именно этот факт позволяет перестраивать в широком диапазоне частоту ТГц-сигнала в процессе усиления затравочного импульса в плазме канала [24]. Мы рассматриваем значения индукции магнитного поля B0 = 0 – 4 ⋅ 105 Гc, что соответствует диапазону циклотронных частот вплоть до ΩB = (eB0 / mc = 7 ⋅ 1012 с–1). Отметим, что в условиях ΩB > ω0 при усилении импульса его длительность примерно сохраняется. Как результат, число периодов колебаний поля возрастает, импульс становится многоцикловым, а поляризация излучения трансформируется от линейной поляризации к почти круговой [25]. Наоборот, в режиме ΩB < ω0 происходит понижение неcущей частоты излучения, что приводит к появлению импульсов с ненулевой площадью электрического поля (квазиуниполярных импульсов).
Для количественного описания униполярности импульсов обычно вводят фактор униполярности с помощью выражения:
(10)
где S(t ) — введенная с помощью (2) площадь импульса. В нашем случае электрическое поле имеет x и y — компоненты, т.е. фактически площадь импульса является векторной величиной:
(11)
Естественным обобщением выражения (10) для фактора униполярности в таком случае является выражение:
(12)
эквивалентное выражению (10) для случая линейной поляризации. Нетрудно видеть, что величина U может изменяться в пределах 0–2.
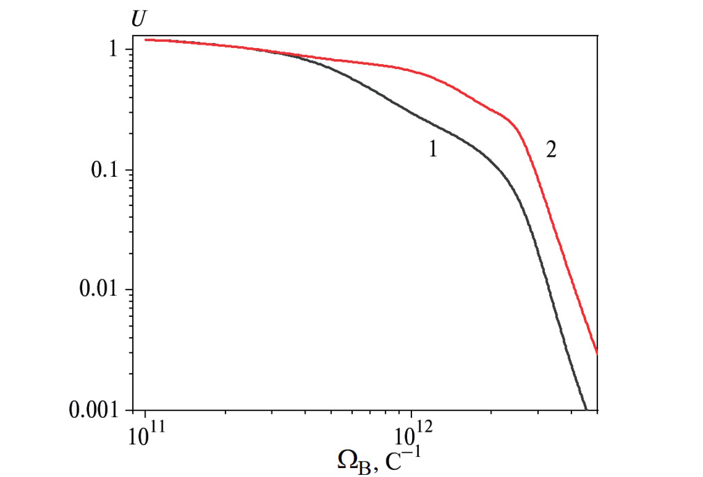
Результаты расчетов фактора униполярности в зависимости от циклотронной частоты и интенсивности начального ТГц-импульса приведены на рис. 1 и 2 соответственно. Как и ожидалось, фактор униполярности возрастает с увеличением пиковой интенсивности начального импульса, что обусловлено более быстрой релаксацией пичковой структуры начальной ФРЭС. С другой стороны, более эффективно импульсы с ненулевой электрической площадью формируются в относительно слабых полях, когда условие циклотронного резонанса ΩB ≈ ω0 навязывает усиление только низкочастотной части спектра затравочного импульса (см. рис. 1). На этом же рисунке построена зависимость, соответствующая конечной длине соленоида, создающего магнитное поле. Эта зависимость будет обсуждаться ниже.
Рис. 1. Фактор униполярности на длине пробега в плазме канала длиной 30 см в однородном магнитном поле без учета (1) и с учетом (2) изменения индукции магнитного поля на выходе из соленоида в зависимости от величины циклотронной частоты. Пиковое значение интенсивности в начальном импульсе 104 Вт/см2.
Рис. 2. Фактор униполярности на длине пробега в плазме канала длиной 30 см в однородном магнитном поле в зависимости от пиковой интенсивности начального импульса для значений циклотронной частоты ΩB = 2 ⋅ 1012 c–1 (1) и ΩB = 5 ⋅ 1011 c–1 (2).
Следует отметить, что поляризационные свойства квазиуниполярных импульсов, возникающих в замагниченной плазме, являются очень необычными [24]. Степень их униполярности возрастает с ростом интенсивности затравочного импульса и уменьшением отношения ΩB / ω0. При этом состояние поляризации такого импульса нельзя охарактеризовать обычными терминами линейной, круговой или эллиптической поляризации. В данном случае вектор электрического поля рисует в пространстве довольно сложную кривую, которая демонстрирует действие электрической силы в изменяющемся направлении, что обеспечивает толчок для поступательного и вращательного движения электрона в молекулах. Мы предполагаем, что такие импульсы будут представлять особый интерес для спектроскопии макромолекул и хиральных структур. Необычные поляризационные свойства экстремально коротких импульсов также обсуждаются в обзоре [33], в котором анализируются эксперименты по генерации ТГц-импульсов при оптической накачке кристаллов Bi2Te3.
С практической точки зрения важным является вопрос о трансформации параметров импульсов, полученных в замагниченной плазме, при их выходе из области магнитного поля. Если считать, что плазменный канал создавался внутри протяженного соленоида, то на его оси индукция магнитного поля может быть записана в виде:
(13)
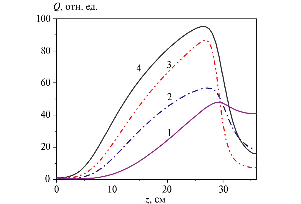
где R — радиус соленоида, а L — координата границы соленоида. В расчетах мы полагали L = 30 см и R = 2 cм. Как видно из (13), магнитное поле резко спадает на расстоянии порядка R вблизи границы соленоида. Проведенные расчеты показали, что параметры импульса, полученные в плазменном канале, существенно изменяются при выходе из области магнитного поля. В качестве примера на рис. 3 приведены результаты расчетов энергии импульса Q с заданной начальной энергией при их движении вдоль канала для различных значений циклотронной частоты. Как видно, после выхода из канала наблюдается резкое уменьшение энергии, особенно в области больших значений циклотронной частоты. Это понятно, если вспомнить, что режим усиления в отсутствие магнитного поля реализуется лишь для низких частот ω < vtr, где vtr — транспортная частота столкновений [26]. В частности, при значениях циклотронной частоты большей 5 ⋅ 1012 с–1 на расстоянии 3R = 6 см от торца соленоида энергия импульса убывает практически до начального значения энергии затравочного импульса. С другой стороны, падение полной энергии импульса сопровождается некоторым возрастанием фактора униполярности (см. данные на рис. 1, кривая 2, где приведены данные по изменению этой величины при движении импульса вдоль плазменного канала длиной 30 см как с учетом, так и без учета наличия торца соленоида). Эти изменения особенно заметны в области значений циклотронных частот ΩB ≥ 1012 с–1, т.е. в диапазоне параметров, когда в отсутствие внешнего магнитного поля эффект усиления отсутствует. Существенно меняются и поляризационные свойства таких импульсов. В качестве примера на рис. 4 представлены приосевые распределения электрического поля волны после выхода из области магнитного поля, соответствующего циклотронной частоте ΩB = 4 ⋅ 1012 с–1, и поляризационные состояния такого импульса Ey(Ex). Как видно, поглощение высокочастотных спектральных компонент импульса на выходе из области магнитного поля ведет к кардинальному изменению пространственной структуры импульса и изменению его частоты. По-видимому, можно говорить о формировании чирпированного импульса с “красным” чирпом. При этом поляризационное состояние такого импульса (см. рис. 4б) является очень сложным.
Рис. 3. Зависимость энергии ТГц-импульса в относительных единицах от длины пути в плазменном канале. Граница соленоида находится в точке z = 30 см. Пиковая интенсивность в начальном импульсе составляет 104 Вт/см2. Циклотронные частоты в плазме канала (в обратных секундах) составляют: (1) 5×1011, (2) 1012, (3) 2×1012, (4) 4×1012.
Рис. 4. Приосевые пространственные распределения электрических полей Ex, Ey (a) и зависимость Ey(Ex) (б) в ТГц-импульсе после распространения на расстояние 36 см в замагниченном плазменном канале. Торец канала находится в точке z = 30 см. Значение циклотронной частоты в канале ΩB = 4 ⋅ 1012 с–1, начальное пиковое значение интенсивности 104 Вт/см2, несущая частота начального импульса ω0 = 2 ⋅ 1012 с–1. Вектор электрического поля вращается против часовой стрелки.
В любом случае возможные эксперименты по взаимодействию интенсивных и в том числе квазиуниполярных ТГц-импульсов с различными микроскопическими объектами должны проводиться достаточно близко к торцу соленоида, где индукция магнитного поля еще достаточно велика.
ЗАКЛЮЧЕНИЕ
Таким образом, мы рассмотрели особенности генерации квазиуниполярных ТГц-импульсов в неравновесном воздушном (азотном) канале замагниченной плазмы, образованном в результате многофотонной ионизации газа фемтосекундным УФ лазерным импульсом. Изменение индукции статического магнитного поля, направленного вдоль оси канала, обеспечивает возможность перестройки несущей частоты терагерцового импульса в пределах его спектральной ширины и трансформации линейной поляризации импульса в круговую. Полученные (квази)униполярные импульсы могут обладать необычными поляризационными свойствами, не сводящимися к линейной, круговой или эллиптической поляризации. Проведенные исследования актуальны для ТГц-спектроскопии, поскольку предлагают новые подходы к анализу ударного воздействия на квантовые системы как при поступательном, так и при вращательном движении.
Работа выполнена при поддержке Российского научного фонда (проект № 22-22-00225).
About the authors
A. V. Bogatskaya
Lomonosov Moscow State University;Lebedev Physical Institute of the Russian Academy of Sciences
Email: alexander.m.popov@gmail.com
Faculty of Physics
Russian Federation, Moscow; MoscowE. A. Volkova
Lomonosov Moscow State University, Skobeltsyn Institute of Nuclear Physics
Email: alexander.m.popov@gmail.com
Russian Federation, Moscow
A. M. Popov
Lomonosov Moscow State University; Lebedev Physical Institute of the Russian Academy of Sciences
Author for correspondence.
Email: alexander.m.popov@gmail.com
Faculty of Physics
Russian Federation, Moscow; MoscowReferences
- Tonouchi M. // Nature Photon. 2007. V. 1. P. 105.
- Kampfrath T., Tanaka K., Nelson K. // Nature Photon. 2013. V. 7. P. 680.
- Jepsen P., Cooke D., Koch M. // Laser Photon. Rev. 2011. V. 5. P. 124.
- Yang X., Zhao X., Yang K. et al. // Trends Biotechnol. 2016. V. 34. No. 10. P. 810.
- Hoshina H., Morisawa Y., Sato H. et al. // Phys. Chem. Chem. Phys. 2011. V. 13. P. 9173.
- Katletz S., Pfleger M., Pühringer H. et al. // Opt. Express. 2012. V. 20. P. 23025.
- Розанов Н.Н. // Опт. и спектроск. 2009. Т. 107. С. 761; Rosanov N.N. // Opt. Spectrosc. 2009. V. 107. No. 5. P. 721.
- Arkhipov R., Arkhipov M., Pakhomov A. et al. // Laser Phys. Lett. 2022. V. 19. Art. No. 043001.
- Chai X., Ropagnol X., Raeis-Zadeh S.-M. et al. // Phys. Rev. Lett. 2018. V. 121. Art. No. 143901.
- Sychugin S., Novokovskaya A., Bakunov M. // Phys. Rev. A. 2022. V. 105. Art. No. 053528.
- Arkhipov R., Pakhomov A., Arkhipov M. et al. // Opt. Lett. 2019. V. 44. P. 1202.
- Pakhomov A., Arkhipov M., Rosanov N., Arkhipov R. // Phys. Rev. A. 2022. V. 105. Art. No. 043103.
- Бессонов Е.Г. // ЖЭТФ 1981. Т. 80. С. 852; Bessonov E.G. // Sov. Phys. JETP 1981. V. 80. P. 433.
- Pakhomov A.V., Arkhipov R.M., Arkhipov M.V. et al. // Sci. Reports. 2019. V. 9. P. 7444.
- Arkhipov M.V., Arkhipov R.M., Pakhomov A.V. et al. // Opt. Lett. 2017. V. 42. P. 2189.
- Bakunov M.I., Maslov A.V., Tsarev M.V. // Phys. Rev. A 2017. V. 95. Art. No. 063817.
- Bogatskaya A.V., Volkova E.A., Popov A.M. // Plasma Sources Sci. Technol. 2022. V. 31. No. 9. Art. No. 095009.
- Tsarev M.V., Bakunov M.I. // Opt. Express. 2019. V. 27. P. 5154.
- Kozlov V.V., Rosanov N.N., Angelis C.D., Wabnitz S. // Phys. Rev. A. 2011. V. 84. Art. No. 023818.
- Архипов Р.М., Архипов М.В., Розанов Н.Н. // Квант. электрон. 2020. Т. 50. № 9. С. 801; Arkhipov R.M., Arkhipov M.V., Rosanov N.N. // Quant. Electron. 2020. V. 50. No. 9. P. 801.
- Shou Y., Hu R., Gong Z., Yu J. et al. // New J. Physics. 2021. V. 23. Art. No. 053003.
- Архипов М.В., Архипов Р.М., Розанов Н.Н. // Опт. и спектроск. 2021. Т. 129. № 3. С. 1173; Arkhipov M.V., Arkhipov R.M., Rosanov N.N. // Opt. Spectrosc. 2021. V. 129. No. 3. P. 1193.
- Reimann K. // Rep. Progr. Phys. 2007. V. 70. P. 1597.
- Bogatskaya A.V., Volkova E.A., Popov A.M. // Photonics. 2023. V. 10. P. 113.
- Bogatskaya A.V., Gnezdovskaia N.E., Popov A.M. // Phys. Rev. E. 2020. V. 102. Art. No. 043202.
- Богацкая А.В., Попов А.М. // Письма в ЖЭТФ 2013. Т. 97. № 7. С. 388; Bogatskaya A.V., Popov A.M. // JETP Lett. 2013. V. 97. No. 7. P. 388.
- Bogatskaya A.V., Volkova E.A., Popov A.M. // J. Physics D. 2014. V. 47. Art. No. 185202.
- Bogatskaya A.V., Volkova E.A., Popov A.M. // Phys. Rev. E. 2022. V. 105. Art. No. 055203.
- Bogatskaya A.V., Volkova E.A., Popov A.M. // Phys. Rev. E. 2021. V. 104. Art. No. 025202.
- Balčiūnas T., Lorenc D., Ivanov M. et al. // Opt. Exp. 2015. V. 23. P. 15278.
- Seifert T., Jaiswal S., Sajadi M. et al. // Appl. Phys. Lett. 2017. V. 110. Art. No. 252402.
- Zhang D., Bai Y., Zeng Y. et al. // IEEE Photon. J. 2022. V. 14. No. 1. Art. No. 5910605.
- Архипов Р.М., Архипов М.В., Пахомов А.В. и др. // Письма в ЖЭТФ 2023. Т. 117. № 1. С. 10; Arkhipov R.M., Arkhipov M.V., Pakhomov A.V. et al. // JETP Lett. 2023. V. 117. No. 1. P. 8.
Supplementary files







