The effects of e-beam irradiation with doses up to 1 GGy on the propertie of titanium foil
- Authors: Sergeev P.B.1, Kovalets N.P.1,2, Kozhina E.P.1, Bedin S.A.1,2
- 
							Affiliations: 
							- Lebedev Physical Institute of the Russian Academy of Sciences, Troitsk Division
- Moscow State Pedagogical University
 
- Issue: Vol 87, No 12 (2023)
- Pages: 1819-1822
- Section: Articles
- URL: https://journals.rcsi.science/0367-6765/article/view/232557
- DOI: https://doi.org/10.31857/S0367676523703131
- EDN: https://elibrary.ru/QIXXOK
- ID: 232557
Cite item
Full Text
Abstract
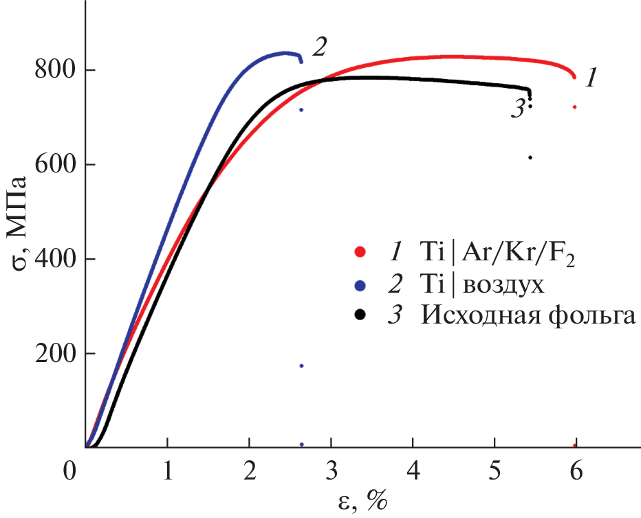
The properties of titanium foils that have been used for a long time in electron guns of e-beam-pumped excimer lasers have been studied. The tensile strength of these foils did not change when irradiated with e-beam pulses (300 keV) with doses up to 1 GGy. On the surface of Ti foils in contact with a fluorine-containing gas mixture during irradiation by e-beam, peaks corresponding to TiO2, TiN, and TiF were detected by Raman scattering.
Keywords
About the authors
P. B. Sergeev
Lebedev Physical Institute of the Russian Academy of Sciences, Troitsk Division
							Author for correspondence.
							Email: sergeevpb@lebedev.ru
				                					                																			                												                								Russia, 119991, Moscow						
N. P. Kovalets
Lebedev Physical Institute of the Russian Academy of Sciences, Troitsk Division; Moscow State Pedagogical University
														Email: sergeevpb@lebedev.ru
				                					                																			                												                								Russia, 119991, Moscow; Russia, 119991, Moscow						
E. P. Kozhina
Lebedev Physical Institute of the Russian Academy of Sciences, Troitsk Division
														Email: sergeevpb@lebedev.ru
				                					                																			                												                								Russia, 119991, Moscow						
S. A. Bedin
Lebedev Physical Institute of the Russian Academy of Sciences, Troitsk Division; Moscow State Pedagogical University
														Email: sergeevpb@lebedev.ru
				                					                																			                												                								Russia, 119991, Moscow; Russia, 119991, Moscow						
References
- Sergeev P.B. // J. Russ. Laser Res. 1993. V. 14. No 4. P. 237.
- Егоров И.С., Кайканов М.И., Ремнев Г.Е. // Изв. Томск. политехн. ун-та. 2013. Т. 322. № 2. С. 91.
- Sergeev P.B., Sergeev A.P. // Изв. вузов. Физика. 2006. № 11. (Приложение). С. 332.
- Сергеев П.Б., Морозов Н.В. // Опт. и спектроск. 2019. Т. 126. № 3. С. 280; Sergeev P.B., Morozov N.V. // Opt. Spectrosс. 2019. V. 126. No. 3. P. 200.
- Комаров Д.В., Коновалов С.В., Жуков Д.В. и др. // Ползуновский вестник. 2021. № 4. С. 129.
- Blanco-Pinzon C., Liu Z., Voisey K. et al. // Corrosion Sci. 2005. V. 47. P. 1251.
- Kiselyova E.S., Sypchenko V.S., Nikitenkov N. et al. // Lett. Materials. 2017. V. 7. No. 2. P. 117.
- Hardcastle F.D. // J. Arkansas Acad. Sci. 2011. V. 65. Art. No. 9.
- Gerasimova Y.V., Krylov A.S., Vtyurin A.N. et al. // Ferroelectrics. 2020. V. 568. P. 185.
- Gerasimova Y.V., Oreshonkov A.S., Laptash N.M. et al. // J. Raman Spectrosc. 2018. V. 49. No. 7. P. 1230.
- Wang Q.Z., Zhou F., Zhou Z.F. et al. // Surf. Coat. Technol. 2012. V. 206. P. 3777.
- Spengler W., Kaiser R., Christensen A.N. et al. // Phys. Rev. B. 1978. V. 17. No. 3. P. 1095.
- Tuschel D. // Spectroscopy. 2019. V. 34. No. 3. P. 10.
- Palliyaguru L., Kulathunga S.U., Jayarathna L.I. et al. // Int. J. Miner. Metall. Mater. 2020. V. 27. No. 6. P. 846.
- Hanaor D.A.H., Sorrell C.C. // J. Mater. Sci. 2011. V. 46. P. 855.
Supplementary files
 
				
			 
					 
						 
						 
						 
						 
				
 
  
  
  Email this article
			Email this article 






