Current density in a nonlinear medium of carbon nanotubes under the action of diffraction free laser pulses
- Authors: Dvuzhilova Y.V.1, Dvuzhilov I.S.1, Konobeeva N.N.1, Belonenko M.B.1
-
Affiliations:
- Volgograd State University
- Issue: Vol 87, No 12 (2023)
- Pages: 1754-1758
- Section: Articles
- URL: https://journals.rcsi.science/0367-6765/article/view/232536
- DOI: https://doi.org/10.31857/S0367676523703027
- EDN: https://elibrary.ru/VAMRKO
- ID: 232536
Cite item
Full Text
Abstract
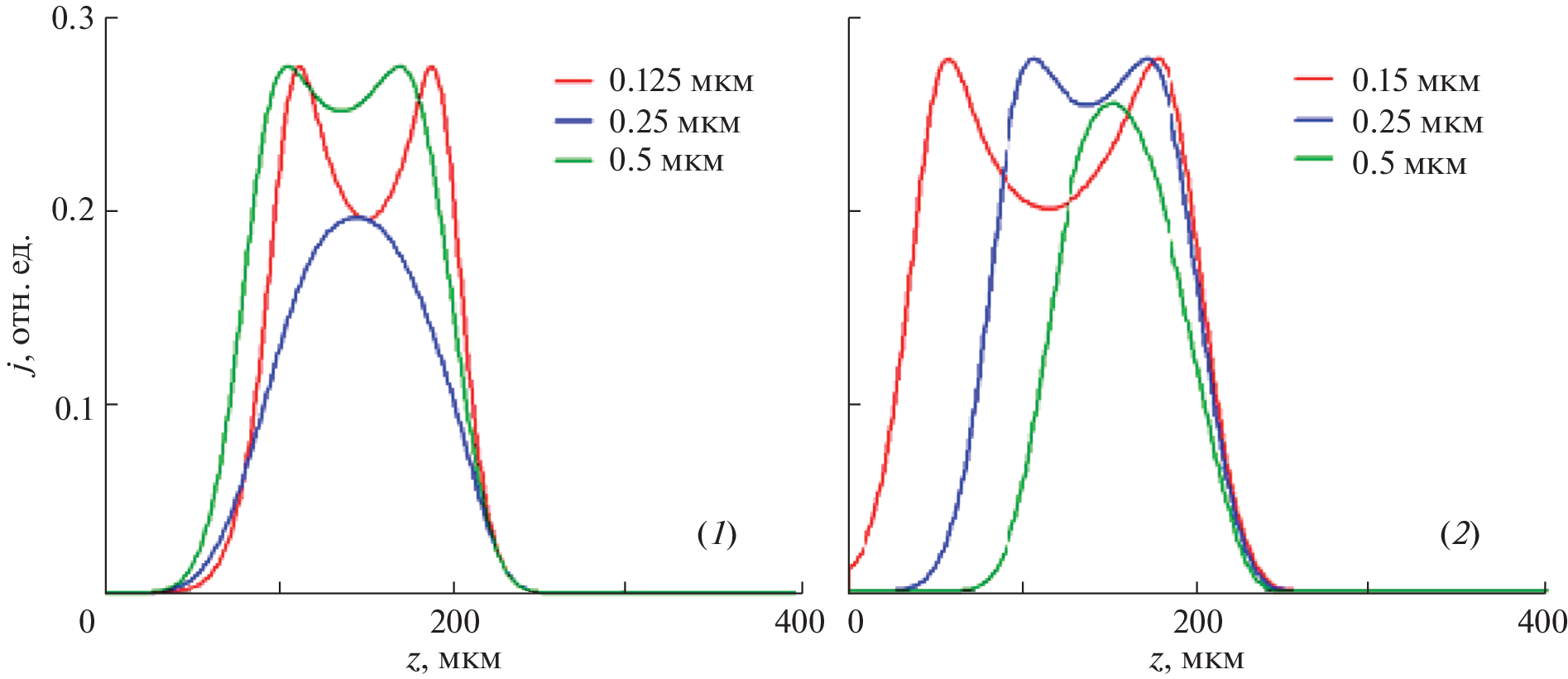
Based on the spatial distribution of the electric field strength of diffraction-free extremely short Bessel and Airy–Bessel optical pulses, patterns of the temporal evolution of the current density in a nonlinear array of semiconductor carbon nanotubes with a spatial modulation of the refractive index are constructed. The dependences of the maximum value of the current density on the modulation parameters of the refractive index of the medium are established.
About the authors
Yu. V. Dvuzhilova
Volgograd State University
Email: dvuzhilov.ilya@volsu.ru
Russia, 400062, Volgograd
I. S. Dvuzhilov
Volgograd State University
Author for correspondence.
Email: dvuzhilov.ilya@volsu.ru
Russia, 400062, Volgograd
N. N. Konobeeva
Volgograd State University
Email: dvuzhilov.ilya@volsu.ru
Russia, 400062, Volgograd
M. B. Belonenko
Volgograd State University
Email: dvuzhilov.ilya@volsu.ru
Russia, 400062, Volgograd
References
- Jarutis V., Matijošius A., Trapani P.D. // Opt. Lett. 2009. V. 34. P. 2129.
- Matijošius A., Jarutis V., Piskarskas A. // Opt. Express. 2010. V. 18. P. 8767.
- Елецкий А.В. // УФН. 1997. Т. 167. № 9. С. 945; Eletskii A.V. // Phys. Usp. 1997. V. 40. No. 9. P. 899.
- Dresselhaus M.S., Dresselhaus G., Eklund P.C. Science of fullerenes and carbon nanotubes. San Diego: Academic Press, 1996. 965 p.
- Харрис П. Углеродные нанотрубы и родственные структуры. Новые материалы ХХI в. М.: Техносфера. 2003. 336 с.
- Tu Y., Huang Z.P., Wang D.Z. et al. // Appl. Phys. Lett. 2002. V. 80. No. 21. P. 4018.
- Teo K.B.K., Chhowalla M., Amaratunga G.A.J. et al. // Appl. Phys. Lett. 2001. V. 79. No. 10. P. 1534.
- Belonenko M.B., Dvuzhilov I.S., Nevzorova Y.V. et al. // J. Nano. Electron. Phys. 2016. V. 8. No. 3. Art. No. 03042.
- Белоненко М.Б., Двужилов И.С., Невзорока Ю.В. // Опт. и спектроск. 2016. Т. 121. № 5. С. 789; Belonenko M.B., Dvuzhilov I.S., Nevzorova Y.V. // Opt. Spectrosс. 2016. V. 121. No. 5. P. 739.
- Двужилова Ю.В., Белоненко А.М., Двужилов И.С., Белоненко М.Б. // Изв. РАН. Сер. физ. 2020. Т. 84. № 12. С. 1743; Dvuzhilova Y.V., Belonenko A.M., Dvuzhilov I.S., Belonenko M.B. // Bull. Russ. Acad. Sci. Phys. 2020. V. 84. No. 12. P. 1483.
- Двужилова Ю.В., Двужилов И.С., Челнынцев И.А. и др. // Изв. РАН. Сер. физ. 2022. Т. 86. № 6. С. 797; Dvuzhilova Y.V., Dvuzhilov I.S., Chelnyntsev I.A. et al. // Bull. Russ. Acad. Sci. Phys. 2022. V. 86. No. 6. P. 669.
- Поляновский В.М. // Физ. и техн. полупровод. 1980. Т. 14. № 6. С. 1215.
- Ландау Л.Д. Лившиц Е.М. Физическая кинетика. М.: Физматлит. 1979. С. 275.
- Волощенко Ю.И., Рыжов Ю.Н., Сотин В.Е. // ЖТФ. 1981. Т. 51. С. 902.
Supplementary files







