Dependence of the temperature sensitivity on the shape of upconversion phosphors NaYF4:Yb,Er
- Authors: Zharkov D.K.1, Khasanov O.K.2, Saiko A.P.2, Pashkevich A.V.3, Lyadov N.M.1, Shmelev A.G.1, Nurtdinova L.A.1, Leontiev A.V.1, Mityushkin E.O.1, Nikiforov V.G.1
-
Affiliations:
- Federal Research Center “Kazan Scientific Center of the Russian Academy of Sciences”
- Scientific and Practical Materials Research Center, National Academy of Sciences of Belarus
- Institute for Nuclear Problems, Belarusian State University
- Issue: Vol 87, No 12 (2023)
- Pages: 1735-1743
- Section: Articles
- URL: https://journals.rcsi.science/0367-6765/article/view/232533
- DOI: https://doi.org/10.31857/S036767652370299X
- EDN: https://elibrary.ru/QTMLFQ
- ID: 232533
Cite item
Full Text
Abstract
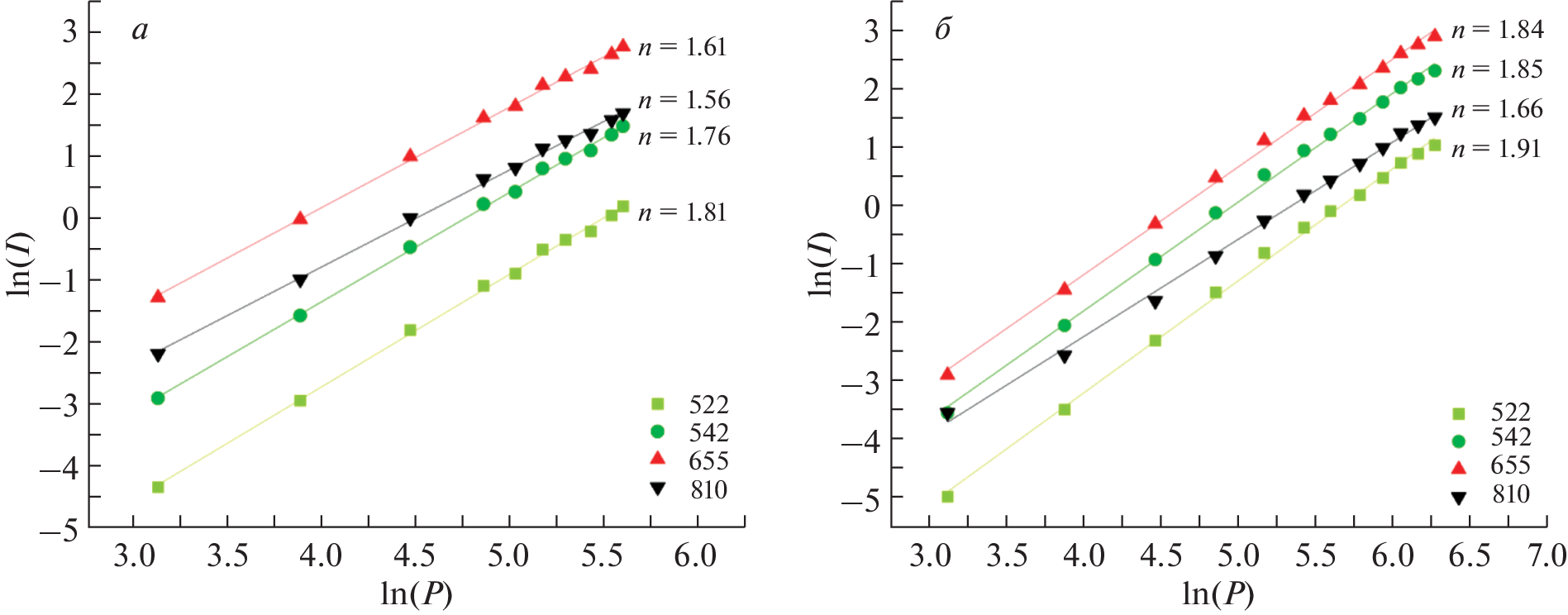
Varying the synthesis parameters, NaYF4:Yb,Er phosphors were obtained, which have pronounced upconversion properties upon excitation according to the expression of 980 nm waves. Based on the data of luminescent spectroscopy, it was found that there are 240–350 particles.
About the authors
D. K. Zharkov
Federal Research Center “Kazan Scientific Center of the Russian Academy of Sciences”
Author for correspondence.
Email: dzharkov@list.ru
Russia, 420000, Kazan
O. K. Khasanov
Scientific and Practical Materials Research Center, National Academy of Sciences of Belarus
Email: dzharkov@list.ru
Belarus, 220072, Minsk
A. P. Saiko
Scientific and Practical Materials Research Center, National Academy of Sciences of Belarus
Email: dzharkov@list.ru
Belarus, 220072, Minsk
A. V. Pashkevich
Institute for Nuclear Problems, Belarusian State University
Email: dzharkov@list.ru
Belarus, 220006, Minsk
N. M. Lyadov
Federal Research Center “Kazan Scientific Center of the Russian Academy of Sciences”
Email: dzharkov@list.ru
Russia, 420000, Kazan
A. G. Shmelev
Federal Research Center “Kazan Scientific Center of the Russian Academy of Sciences”
Email: dzharkov@list.ru
Russia, 420000, Kazan
L. A. Nurtdinova
Federal Research Center “Kazan Scientific Center of the Russian Academy of Sciences”
Email: dzharkov@list.ru
Russia, 420000, Kazan
A. V. Leontiev
Federal Research Center “Kazan Scientific Center of the Russian Academy of Sciences”
Email: dzharkov@list.ru
Russia, 420000, Kazan
E. O. Mityushkin
Federal Research Center “Kazan Scientific Center of the Russian Academy of Sciences”
Email: dzharkov@list.ru
Russia, 420000, Kazan
V. G. Nikiforov
Federal Research Center “Kazan Scientific Center of the Russian Academy of Sciences”
Email: dzharkov@list.ru
Russia, 420000, Kazan
References
- Zeng S., Ren G., Xu C., Yang Q. // Cryst. Engin. Comm. 2011. V. 13. No. 5. P. 1384.
- Ren G., Zeng S., Hao J. // J. Phys. Chem. C. 2011. V. 115. No. 41. P. 20141.
- Zharkov D.K., Leontyev A.V., Shmelev A.G. et al. // Micromachines. 2023. V. 14. No. 5. P. 1075.
- Жарков Д.К., Шмелев А.Г., Леонтьев А.В. и др. // Изв. РАН. Сер. физ. 2020. Т. 84. № 3. С. 317; Zharkov D.K., Shmelev A.G., Leontyev A.V. et al. // Bull. Russ. Acad. Sci. Phys. 2020. V. 84. No. 3. P. 241.
- Zharkov D.K., Shmelev A.G., Leontyev A.V. et al. // J. Phys. Conf. Ser. 2019. V. 1283. Art. No. 012015.
- Шмелев А.Г., Никифоров В.Г., Жарков Д.K. и др. // ЖТФ. 2022. Т. 92. № 7. С. 993; Shmelev A.G., Nikiforov V.G., Zharkov D.K. et al. // Tech. Phys. 2022. V. 67. No. 4. P. 283.
- Zharkov D.K., Shmelev A.G., Leontyev A.V. et al. // Laser Phys. Lett. 2020. V. 17. No. 7. Art. No. 075901.
- Шмелев А.Г., Жарков Д.К., Леонтьев А.В. и др. // Изв. РАН. Сер. физ. 2022. Т. 86. № 12. С. 1719; Shmelev A.G., Zharkov D.K., Leontyev A.V. et al. // Bull. Russ. Acad. Sci. Phys. 2022. V. 86. No. 12. P. 1463.
- Балашов В.В., Горбаченя К.Н., Герке М.Н. и др. // Изв. РАН. Сер. физ. 2022. Т. 86. № 6. С. 879; Bala-shov V.V., Gorbachenya K.N., Gerke M.N. et al. // Bull. Russ. Acad. Sci. Phys. 2022. V. 86. No. 6. P. 738.
- Раджабов Е.А., Шендрик Р.Ю., Панкратов В. // Опт. и спектроск. 2023. Т. 131. № 4. С. 466.
- Jia F., Li G., Yang B. et al. // Nanotechnol. Rev. 2019. V. 8. No. 1. P. 1.
- Dou Q.Q., Guo H.C., Ye E. // Mater. Sci. Engin. C. 2014. V. 45. P. 635.
- Li C., Lin J. // J. Mater Chem. 2010. V. 20. P. 6831.
- Zheng H., Chen B., Yu H. et al. // RSC Advances. 2014. V. 4. P. 47556.
- Huang X., Han S., Huang W. et al. // Chem. Soc. Rev. 2013. V. 42. P. 173.
- Jia M., Liu G., Sun Z. et al. // Inorg. Chem. 2018. V. 57. No. 3. P. 1213.
- Wang Q., Liao M., Lin Q. et al. // J. Alloys Compounds. 2021. V. 850. Art. No. 156744.
- Runowski M., Woźny P., Lis S. et al. // Adv. Mater. Tech. 2020. V. 5. No. 4. Art. No. 1901091.
- Li P., Jia M., Liu G. et al. // ACS Appl. Bio Mater. 2019. V. 2. No. 4. P. 1732.
Supplementary files








