Glass formation processes in fullerene mixtures
- Autores: Khairullina R.R.1, Khusnutdinoff R.M.1,2
-
Afiliações:
- Kazan (Volga Region) Federal University
- Udmurt Federal Research Center of the Ural Branch of the Russian Academy of Sciences
- Edição: Volume 87, Nº 11 (2023)
- Páginas: 1607-1612
- Seção: Articles
- URL: https://journals.rcsi.science/0367-6765/article/view/232490
- DOI: https://doi.org/10.31857/S0367676523702782
- EDN: https://elibrary.ru/GFLTWW
- ID: 232490
Citar
Texto integral
Resumo
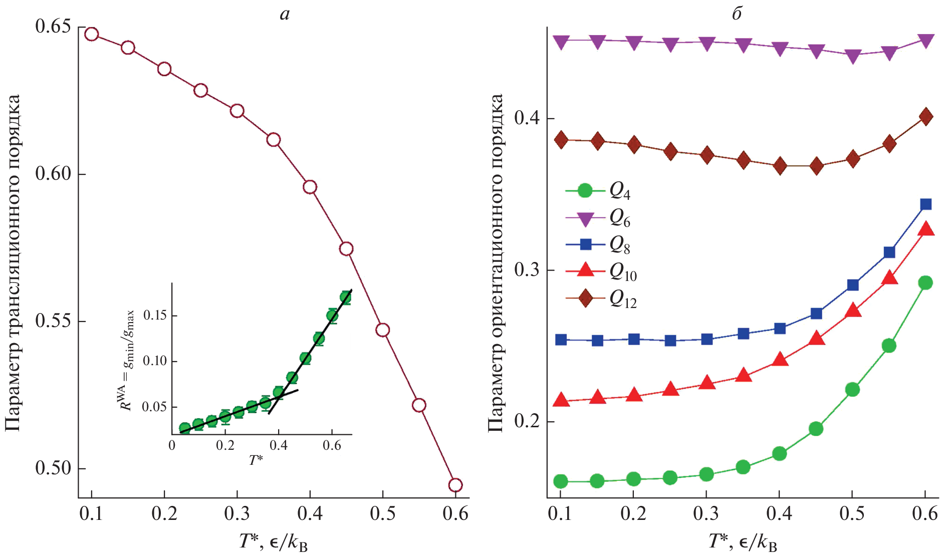
The local structural features of the A20B80 fullerene mixture (where A = C60 and B = C70) are studied by the molecular dynamics simulations for a wide temperature range, including the phase of an equilibrium liquid phase and a supercooled melt, in order to elucidate the mechanism of formation of the icosahedral short-range order in binary molecular liquids. Structural and cluster analyzes revealed the presence of icosahedral clusters in the supercooled melt phase and determined the critical glass transition temperature.
Sobre autores
R. Khairullina
Kazan (Volga Region) Federal University
Autor responsável pela correspondência
Email: raniya-art@mail.ru
Russia, 420008, Kazan
R. Khusnutdinoff
Kazan (Volga Region) Federal University; Udmurt Federal Research Center of the Ural Branch of the Russian Academy of Sciences
Email: raniya-art@mail.ru
Russia, 420008, Kazan; Russia, 426068, Izhevsk
Bibliografia
- Коваленко В.И., Хаматгалимов А.Р. // Усп. хим. 2006. Т. 75. № 11. С. 1094; Kovalenko V.I., Khamatgalimov A.R. // Russ. Chem. Pev. 2006. V. 75. No. 11. P. 981.
- Хаматгалимов А.Р., Коваленко В.И. // Рос. хим. журн. 2004. Т. 48. № 5. С. 28.
- Krätschmer W., Lamb L.D., Fostiropoulos K., Huffman D.R. // Nature. 1990. V. 347. P. 354.
- Kroto H.W., Heath J.R., O’Brien S.C. et al. // Nature. 1985. V. 318. P. 162.
- Бражкин В.В., Ляпин А.Г., Ляпин С.Г. и др. // УФН. 1997. Т. 167. С. 1019; Brazhkin V.V., Lyapin A.G., Lyapin S.G. // Phys. Usp. 1997. V. 40. No. 6. P. 969.
- Елецкий А.В., Смирнов Б.М. // УФН. 1995. Т. 165. С. 977; Eletskii A.V., Smirnov B.M. // Phys. Usp. 1995. V. 38. P. 965.
- Бражкин В.В., Ляпин А.Г. // УФН. 1996. Т. 166. С. 893; Brazhkin V.V., Lyapin A.G. // Phys. Usp. 1996. V. 39. No. 6. P. 837.
- Агафонов С.С., Глазков В.П., Кокин И.Ф., Соменков В.А. // ФТТ. 2010. Т. 52. № 6. С. 1245; Agafonov S.S., Glazkov V.P., Kokin I.F., Somenkov V.A. // Phys. Solid State. 2010. V. 52. No. 6. P. 1329.
- Borisova P.A., Blanter M.S., Brazhkin V.V., Somenkov V.A., Filonenko V. P. // J. Phys. Chem. Solids. 2015. V. 83. P. 104.
- Хуснутдинов Р.М., Мокшин А.В., Тахавиев И.Д. // ФТТ. 2015. Т. 57. № 2. С. 393; Khusnutdinoff R.M., Mokshin A.V., Takhaviev I.D. // Phys. Solid State. 2015. V. 57. No. 2. P. 412.
- Хуснутдинов Р.М., Хайруллина Р.Р. // ФТТ. 2023. Т. 65. № 1. С. 164.
- Girifalco L.A. // J. Chem. Phys. 1991. V. 95. P. 5370.
- Kniaź K., Fischer J.E., Girifalco L.A. et al. // Solid State Commun. 1995. V. 96. P. 739.
- Zubov V.I., Zubov I.V. // J. Phys. Chem. B. 2005. V. 109. P. 14627.
- Хуснутдинов Р.М., Мокшин А.В. // Изв. РАН. Сер. физ. 2010. Т. 74. № 5. С. 677; Khusnutdinoff R.M., Mokshin A.V. // Bull. Russ. Acad. Sci. Phys. 2010. V. 74. No. 5. P. 640.
- Jakse N., Le Bacq O., Pasturel A. // Phys. Rev. B. 2004. V. 70. Art. No. 174203.
- Yan Z., Buldyrev S.V., Kumar P. et al. // Phys. Rev. E. 2007. V. 76. Art. No. 051201.
- Steinhardt P.J., Nelson D.R., Ronchetti M. // Phys. Rev. B. 1983. V. 28. P. 784.
- Lechner W., Dellago C. // J. Chem. Phys. 2008. V. 129. Art. No. 114707.
- Хуснутдинов Р.М., Хайруллина Р.Р., Юнусов М.Б. // ФТТ. 2023. Т. 65. № 2. С. 339.
- Wang C.C., Dong K.J., Yu A.B. // AIP Conf. Proc. 2013. V. 1542. P. 353.
- Pan S.-P., Feng S.-D., Qiao J.-W. et al. // Sci. Reports. 2015. V. 5. P. 16956.
- Блантер М.С., Бражкин В.В., Филоненко В.П., Борисова П.А.// Изв. РАН. Сер. физ. 2018. Т. 82. № 9. С. 1207; Blanter M.S., Brazhkin V.V., Filonenko V.P., Borisova P.A. // Bull. Russ. Acad. Sci. Phys. 2018. V. 82. No. 9. P. 1096.
- Борисова П.А., Блантер М.С., Бражкин В.В. и др. // Изв. РАН. Сер. физ. 2021. Т. 85. № 9. С. 990; Borisova P.A., Blanter M.S., Brazhkin V.V. et al. // Bull. Russ. Acad. Sci. Phys. 2021. V. 85. P. 765.
Arquivos suplementares





